Next Article in Journal
Dichotomy of Baryons as Quantum Hall Droplets and Skyrmions: Topological Structure of Dense Matter
Previous Article in Journal
Spin Experimentation with Unpolarized Colliding Beams at the LHC
Previous Article in Special Issue
Spin Quantization in Heavy Ion Collision
 
 
Font Type:
Arial Georgia Verdana
Font Size:
Aa Aa Aa
Line Spacing:
Column Width:
Background:
Review

Description of (Hyper-)Fragments in Hadron-Induced Reactions

by
Theodoros Gaitanos
Department of Physics, Aristotle University of Thessaloniki, GR-54124 Thessaloniki, Greece
Symmetry 2021, 13(10), 1887; https://doi.org/10.3390/sym13101887
Submission received: 14 September 2021 / Revised: 28 September 2021 / Accepted: 29 September 2021 / Published: 7 October 2021

Abstract

In this article we review the important role of non-equilibrium dynamics in reactions induced by ions and hadron beams to understand the fragmentation processes inside hadronic media. We discuss the single-particle dynamics in specific sources such as spectators in heavy-ion collisions and residual nuclear targets in hadron-induced reactions. Particular attention is given to the dynamics of hyperons. We further discuss the question regarding the onset of local instabilities, which are relevant for the appearance of fragmentation phenomena in nuclear reactions. We apply the theoretical formalism, that is, semi-classical transport embedded with statistical methods of nuclear fragmentation, to reactions induced by light ions and hadron beams. We discuss the results of nuclear fragmentation and, in particular, examine the formation of hypernuclei. Such studies are important for obtaining a deeper understanding of the equation of state in fragmenting matter and are relevant for forthcoming experiments, such as PANDA at FAIR and J-PARC in Japan.

1. Introduction

A major aspect of reactions between nuclei is the study of fragmentation phenomena inside nuclear or hadronic media; see, for example, References [1,2,3,4,5,6,7,8,9,10,11,12,13]. This task is related to the nuclear equation of state (EoS) at various baryonic densities. In the low density regime of the nuclear EoS, phase transition phenomena appear. Here, one may suppose a liquid to gas phase transition occurs, driving the excited matter to freeze out into a state of the lowest energy, consisting of free particles and bound clusters [14]. In general, the internal nature of the clusters can be nucleons (protons and neutrons) but these fragments can include a portion of strangeness degrees of freedom in terms of bound hyperons, that is, Λ , Σ , Ξ , and Ω baryons. The inner compositions of the fragments depends on the reaction type. At low beam energies, the produced fragments are purely nucleonic. However, at higher energies close and above the heavy hyperon thresholds, the pre-equilibrium reaction dynamics allow for the formation of fragments with bound hyperons. Note that the process of fragment formation can be a long-term process. It takes place inside nuclear/hadronic environments not only at baryon densities close to saturation and below, but beyond saturation, too.
The exploration of in-medium fragmentation phenomena disguises various challenging facets, such as the study of exotic nuclei beyond ordinary nuclei; the study of radioactive beams; the interpretation of the origin of cosmic rays and radionuclide charts; and the deeper understanding of exotic nuclear level states in hypernuclear spectroscopy [15,16]. The investigation of fragmentation is therefore an important step forward to obtaining a better understanding of the nuclear and hadronic EoS; this will be not only crucial for nuclear physics but also for nuclear astrophysics as well, in, for instance, the exploration of neutron star physics and supernovae phenomena [17]. It is worthwhile to mention that fragmentation studies are very helpful for technical applications in medical physics, e.g., to find improved methods against cancer [18,19].
The study of fragmentation phenomena is challenging from the theoretical point of view as well. The main challenging aspect in the theoretical descriptions of fragmentation relies on the mechanism leading to fluctuations in non-equilibrium dynamics of nuclear reactions. This topic involves a theoretical treatment of strong interacting many-body systems inside media. The basic theoretical fundamentals exist and rely on the Green’s functions formalism for non-equilibrium dynamics; see a comprehensive review and detailed derivation of the original work in References [20,21]. Here, the Kadanoff–Baym equations are key. They contain all information for the exact description of the whole dynamics of nuclear reactions, starting from non-equilibrium intermediate stages up to the final freeze-out configurations (free nucleons, free-produced baryons and mesons, and fragments). In the spirit of an exact treatment, these dynamical equations must be solved together with the Dirac–Brueckner–Hartree–Fock (DBHF) equations. The DBHF equations model the nuclear/hadronic in-medium interaction, which has to be known at each phase-space point during the dynamical process of the reaction. The main advantage of this formalism, that is, the hybrid treatment of the Kadanoff–Baym and DBHF equations, not only concerns its exactness. At first, one has an understanding of the microscopic basis of, e.g., many-body in-medium interactions and in-medium correlations. Furthermore, it provides the theoretical concepts necessary for approximations in practical applications. These lead to the well-known transport equations as approximative treatments of the exact microscopic formalism mentioned above.
The concept of transport equations was introduced in the past by Boltzmann in the year 1872. Boltzmann’s formulation of a classical transport equation was based on Liouville’s theorem. Vlasov extended Boltzmann’s Ansatz by including a mean-field potential and it was completed by the famous work of Uehling and Uhlenbeck with the introduction of Pauli blocking effects in binary collisions. Since these earlier novel developments, various theoretical aspects of transport dynamics occurred. Kadanoff and Baym derived the kinetic equations from non-relativistic quantum statistics in a microscopic way. Danielewicz introduced another microscopic derivation of the kinetic equations and applied them for the first time in simulations of heavy-ion collisions. Bertsch and Das Gupta continued the transport simulations, focusing their studies on mean-field and collision dynamics. A historical review of these pioneering works can be found in References [22,23,24,25,26]. A modern microscopic and fully covariant formulation of relativistic kinetic equations gave Botermans and Malfliet the inspiration for the microscopic DBHF theory [20,21,27]. Since then, various transport models based on non-relativistic and relativistic kinetic theories emerged in the literature. They are known as Boltzmann–Uehling–Uhlenbeck (BUU), relativistic BUU (RBUU), Giessen-BUU (GiBUU), Hadron-string Dynamics (HSD), Quantum Molecular Dynamics (QMD), relativistic QMD, Fermionic Molecular Dynamics (FMD), and Antisymmetrized Molecular Dynamics (AMD); see References [28,29,30,31,32,33,34,35,36,37,38,39,40,41].
The common feature of these transport theoretical approaches is the semi-classical description of the pre-equilibrium dynamics of nuclear reactions. They provide full information on the single-particle dynamics. Despite the AMD and FMD models, they do not account for the evolution of physical phase space fluctuations; however, they do give access to the onset of local instabilities in phase-space, in which fragmentation processes appear.
A standard approach to gaining information on fragmentation within semi-classical transport models is the phenomenological coalescence models [42,43,44,45,46,47]. Coalescence models were found to work well in violent fireball-like dynamics of heavy-ion collisions, with the formation of light clusters through nucleon coalescence. In such dilute matter at the freeze-out, secondary effects are negligible. However, the situation in hadron-induced reactions is quite different. Compression–expansion effects appear here only moderately and the fragment formation involves long-term periods (compared to the short-lived explosive dynamics in heavy-ion collisions). Here, a statistical description of the process is preferable. The whole dynamical picture in hadron-induced reactions is therefore modeled by a combination of dynamical transport models and statistical approaches. A well known statistical model designed for the formation of bound clusters is the statistical multi-fragmentation (SMM) model [48]. The SMM model assumes an equilibrated source and describes its decay statistically. It includes also secondary effects in terms of a sequential evaporation and fission of pre-excited fragments.
This review proceeds as follows. In Section 2, we present the main features of a transport equation. We do not give a derivation but we discuss the major approximations leading to the final kinetic equation, which is widely applied in the literature to the dynamics of nuclear and hadronic systems. In Section 3, we present results related to the fragmentation in reactions induced be heavy-ions and hadron beams. In this context, we discuss some technical, but important aspects that should be considered for a proper phenomenological description of fragments within semi-classical transport equations. Finally, we show and discuss results concerning possible formations of clusters with bound hyperons, the so-called hyper-clusters or hypernuclei. This review ends up with a summary and conclusions.

2. Semi-Classical Transport Description of Nuclear Reactions

The theoretical background towards to transport equations is based on the covariant description of strongly interacting many-body hadronic matter [20,21]. The key quantity are the non-equilibrium Green’s functions. These are formed from bi-linear products of Dirac spinors at different places in the phase space. One distinguishes between Green’s functions at different orders of particle correlations. The simplest case is the one-particle Green’s function (no correlation), which will become important below. It is followed by the two-particle Green’s function and so on. Each type of Green’s function obeys its own Dyson equation, leading to a hierarchy of equations of an infinite order. Note, however, these equations are not independent from each other; the Dyson equation for the one-particle Green’s function depends on the two-particle Green’s function, the Dyson equation for the two-particle Green’s function depends on the three-particle Green’s function, and so on. Note that the order of the operator arguments does matter because of non-equilibrium. Thus, one must separate between the advanced and retarded Green’s functions. It becomes obvious that an exact treatment of these many-body highly correlated problems is not possible and approximations are necessary.
The first approximation addresses a truncation of this hierarchy. In the spirit of the Schwinger–Keldysh formalism, one should restrict up to the two-particle Green’s functions, which is connected to the one-particle Green’s functions. This prescription leads to a set of four transport equations for the correlated and advanced/retarded one-particle Green’s functions. They are known in the literature as the famous Kadanoff–Baym equations. The advanced/retarded Green’s functions are physically related to the spectral properties of the system, while one of the correlated Green’s function is directly linked to the one-body phase distribution or one-body phase-space density. The latter quantity is the relevant one, for which a kinetic transport equation can be obtained. The desired transport equation is directly connected to the microscopic DBHF theory.
The transport equation for the one-body phase-space density is still too complex for practical applications. The so-called gradient expansion is the next approximation, where one assumes smooth fields in phase-spaces. It can be interpreted as a semi-classical approximation considering the Taylor-series truncation in the order of the . In this context, the word semi-classical may be confusing. This is indeed a classical approximation, however, as we will see in the final form of the transport equation below, a quantal feature will still be retained in the collision integral.
At this stage one arrives to a transport which consists of a Vlasov or a drift term and a collision term. The first term will be responsible for the dynamical evolution of the one-body phase-space density due to the nuclear potential, while the second term is relevant for the binary collisions between these densities at different phase-space points. The next approximation involves both terms but with emphasis on the collision aspect. Due to the medium, the phase-space density is generally off-shell. Here, one should apply the quasi-particle approximation and place the phase-space density on-shell. This approach simplifies the transport equation. Indeed, the phase-space density depends on six (instead of seven) variables and particularly reduces the integrals in the collision term.
After performing the above approximation steps, one may obtain the final kinetic transport equation, which is known in the literature as the relativistic BUU-equation (RBUU).
m * x μ m * k * ν x μ k ν * μ k m * k μ m * k * ν k μ k ν * μ x f ( x , k ) = 1 2 d 4 k 2 E k 2 * ( 2 π ) 3 d 4 k 3 E k 3 * ( 2 π ) 3 d 4 k 4 E k 4 * ( 2 π ) 3 W ( k k 2 | k 3 k 4 ) ( 2 π ) 4 δ 4 k + k 2 k 3 k 4 × [ f ( x , k 3 ) f ( x , k 4 ) 1 f ( x , k ) 1 f ( x , k 2 ) f ( x , k ) f ( x , k 2 ) 1 f ( x , k 3 ) 1 f ( x , k 4 ) ] .
The left-hand side is the drift term, in which the phase-space density f ( x , k ) is evolved due to the nuclear potential gradients. The nuclear potential is hidden in the kinetic momenta k ν * and effective mass m * , which both can depend on single-particle momentum, apart from the spatial or density-dependence. The nuclear potential V Σ v Σ s ( Σ v denotes the time-like component Σ 0 of the vector. Self-energy is related to the effective quantities m * and k * μ via the Lorentz components of the hadron self-energy Σ = Σ s γ μ Σ μ . The scalar part modifies the bare hadron mass, namely m * = M Σ s , while the vector self-energy affects the momentum, namely k * μ = k μ Σ μ . Within the quasi-particle approximation, the relativistic dispersion between the energy and momentum occurs for these effective quantities. The EoS enters into the transport dynamics through these effective quantities, although the corresponding potential does influence the binary collisions on the right-hand side.
The right-hand side describes short-range correlations in terms of local binary collisions. For each two-body collision process, bot directions are possible if the Pauli Blocking ( 1 f ) factors allow it. The physical quantity here is the transition probability W, for which the cross-section for a particular process is hidden. The delta-function finally ensures energy-momentum conservation for each binary collision. At a glance, one might not expect any EoS dependence here. However, the EoS does affect the collision term in particle production processes. Particle production, such as nucleonic resonances, can occur even at low relativistic energies through the production/absorption of the light pions. The threshold condition is important in the producing processes. For quasi-particles, the condition is given by effective masses and momenta, that is, s * m 3 * + m 4 * with s * being the cms energy of the initial channel. Thus, the potential or, equally, the underlying EoS affects collision processes close to their production thresholds.
The numerical solution of the above transport equation using the standard test-particle method [28,29,30,31,32,33,34,35,36,37,38,39,40,41] provides full information on the evolution of the one-body phase-space density or equivalently of the particles (nucleons and produced mesons and baryons) of each simulation event. The physical input is a model for the potentials of various particles and cross-sections for binary collision elastic and inelastic processes. The latter are mainly taken from the particle-data group for known cross-sections as well as from models of elementary particle scattering. Concerning the nuclear EoS, one should usually adopt a parameterization with realistic bulk properties, such as binding energy at saturation and the nuclear compression modulus. In intermediate energy reactions, apart from nucleons, the particles produced may be nucleonic resonances, hyperons, pions, and kaons. The nucleonic resonances experience the same potential as the nucleons, pions evolve due to the Coulomb, and kaons propagate via potentials taken from, e.g., the chiral effective field theory.
The full information obtained from such transport calculations involves the one-body dynamics and not the propagation of fluctuations, except for two-body collisions. In order to describe fragments within such transport simulations, one should adopt coalescence in the phase-space or should use additional statistical models of fragment formation, e.g., the SMM model, at freeze-out. For spectator fragmentation in heavy-ion collisions and for fragmentation in hadron-induced reactions, the hybrid approach of pre-equilibrium transport and statistical fragmentation revealed to work astonishingly well. The details of such hybrid calculations are the topic of the next section.
Before continuing into the discussion of results, it is necessary to briefly summarize the classes of parameters, entering into such theoretical approaches. The various approximations one makes before arriving at the final transport equation imply various parameters, which can be categorized into numerical and physical ones. The first class of technical parameters involve the numerical accuracy of the theoretical simulations. These are the parameters for the reference density Wood-Saxon profiles used to adjust the initial configuration, that is, the radius, surface thickness and normalization constants. They are fixed by the RTF calculations. Furthermore, the grid size in the coordinate and momentum space, the time step, and the number of test-particles per nucleon are the other numerical-like parameters. They are fixed in such a way to ensure a precise numerical stability that is as good as possible.
The physical class of parameters is more involved. These parameters enter into different parts of the theoretical transport equation. At first, there are parameters for the nuclear potential of the nucleons and the produced particles, that is, the paramaters for the hadronic EoS: meson-nucleon coupling strengthens and eventually parameters for self-interactions between the iso-scalar and scalar meson appear. For the nucleonic sector, various parameterizations in the literature exist, as cited in the introduction. One should usually adopt such a nuclear EoS parameterization with appropriate values for the bulk-saturation properties. Among the produced particles, the pions, kaons, and hyperons are the most relevant for this study. Pions propagate by the Coulomb-field of the hadronic medium. For particles with strangeness (kaons and hyperons), one should adopt potentials from the chiral effective field theory.
Besides the influence of the hadronic potentials, the particles may undergo binary collision processes during a transport simulation. The physical parameters here are those which are responsible for the energy dependence of elastic and inelastic cross -sections. These are taken from known experimental analyses, e.g., from the particle-data group, for elementary scattering. For experimentally unknown processes, one should impose isospin-relations and a detailed balance. Furthermore, one should use microscopic calculations for the cross-sections in the strangeness sector. The microscopic models are, in principle, parameter-free. That is, they fix their parameters in elementary scattering through partial wave techniques and then produce predictions for in-medium studies.
Finally, there are coalescence parameters for the description of fragments with strangeness degrees of freedom. These are the coalescence parameters in the coordinate and momentum space. They are fixed to describe experimental charge distributions in heavy-ion collisions at intermediate relativistic energies.

3. Results and Discussion

Note that we used natural units if not explicitly specified. For instance, for the time, the unit fm/c is used, as is standard in elementary particle physics and hadron physics. For other quantities such as energy, momentum, and masses, the unit MeV is used with = c = 1 .
An appropriate description of the fragment production in transport simulations embedded with statistical fragmentation methods as an afterburner involves a numerical simulation treatment which is as precise as possible. The accuracy of the numerical method influences the stability of the calculations against numerical noises. This depends on technical parameters. The number of simulation events or equivalently the number of test particles used for a simulation, the functional form of the test particles, and the grid in the phase-space for the numerical calculation of partial derivatives are some typical examples that one has to address in order to attain a precise as possible numerical realization of a transport simulation.
Indeed, the crucial quantity which drives the fragmentation mechanism of a matter is the excitation energy, apart from the mass and charge numbers of such an excited matter source. The excitation energy per nucleon of a fragmenting source can have a quite small value, much smaller when compared to the binding energy per nucleon. Conversely, apart from mass and charge numbers, one has to extract the excitation energy from a transport calculation at times close to the freeze-out, that is, closely at the end of the reaction. Therefore, an inaccurate numerical treatment of such a simulation leads to temporal instabilities in various quantities, such as through artificially emitted particles and fluctuations in local densities and energies. Small numerical energy fluctuations can, conversely, lead to inaccurate results in fragmentation, since the mechanism of fragmentation (fission, evaporation, and multi-fragmentation) depends strongly on the excitation energy.
A precise as possible numerical treatment of a transport simulation can be achieved by using the same energy functionals in both the reference density profile and in the mean-field for the construction of the initial nucleus according to the reference densities. This involves not only potential parameters but a kind of approximation as well. In our case, the local density approximation is of interest. Thus, for the preparation of the reference density, a relativistic Thomas–Fermi (RTF) method was used considering the transport simulation was performed with relativistic nuclear fields. Details of such a prescription can be found in Reference [49]. We demonstrate this in the first figures below.
We started with the temporal evolution of the nuclear fields, as depicted in Figure 1. Here, the scalar (panels on the left) and the vector (panels on the right) self-energies at the center of a Sn-nucleus at rest are shown at various times as indicated. The figures on the top are calculations using a reference density for the construction of the initial nucleus configuration, which is not consistent with the actual nuclear potential adopted in the simulation. The results in the bottom figures show the calculations that used the same physics in both the preparation of the reference density and in the transport simulation. The effect on the stability is quite obvious. An inconsistent treatment led to large fluctuations in the nuclear potential. Indeed, fluctuations in the range of around 50 MeV were observed in the self-energies. This value is quite significant and comparable with the optical potential value at zero kinetic energy for saturated nuclear matter.
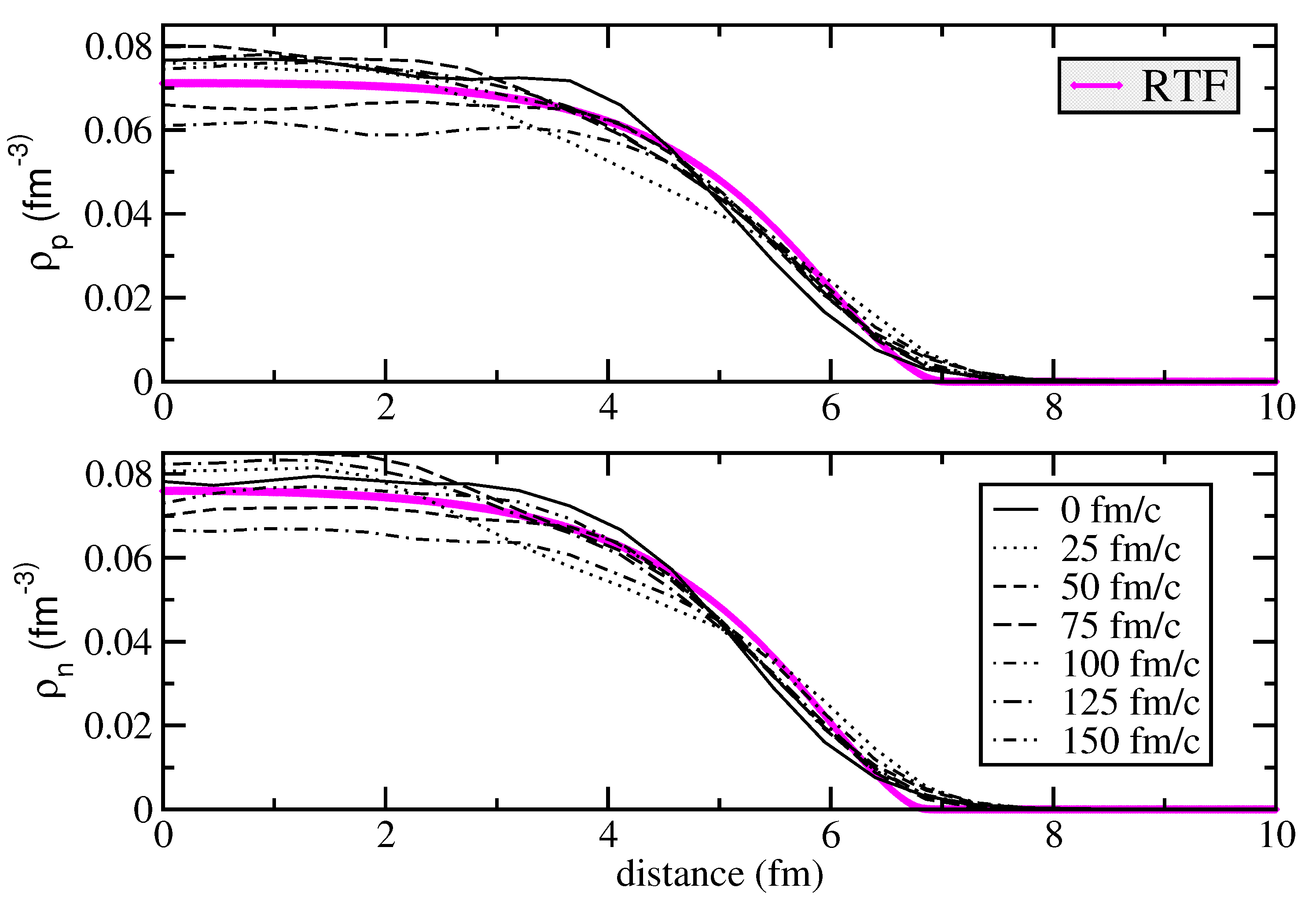
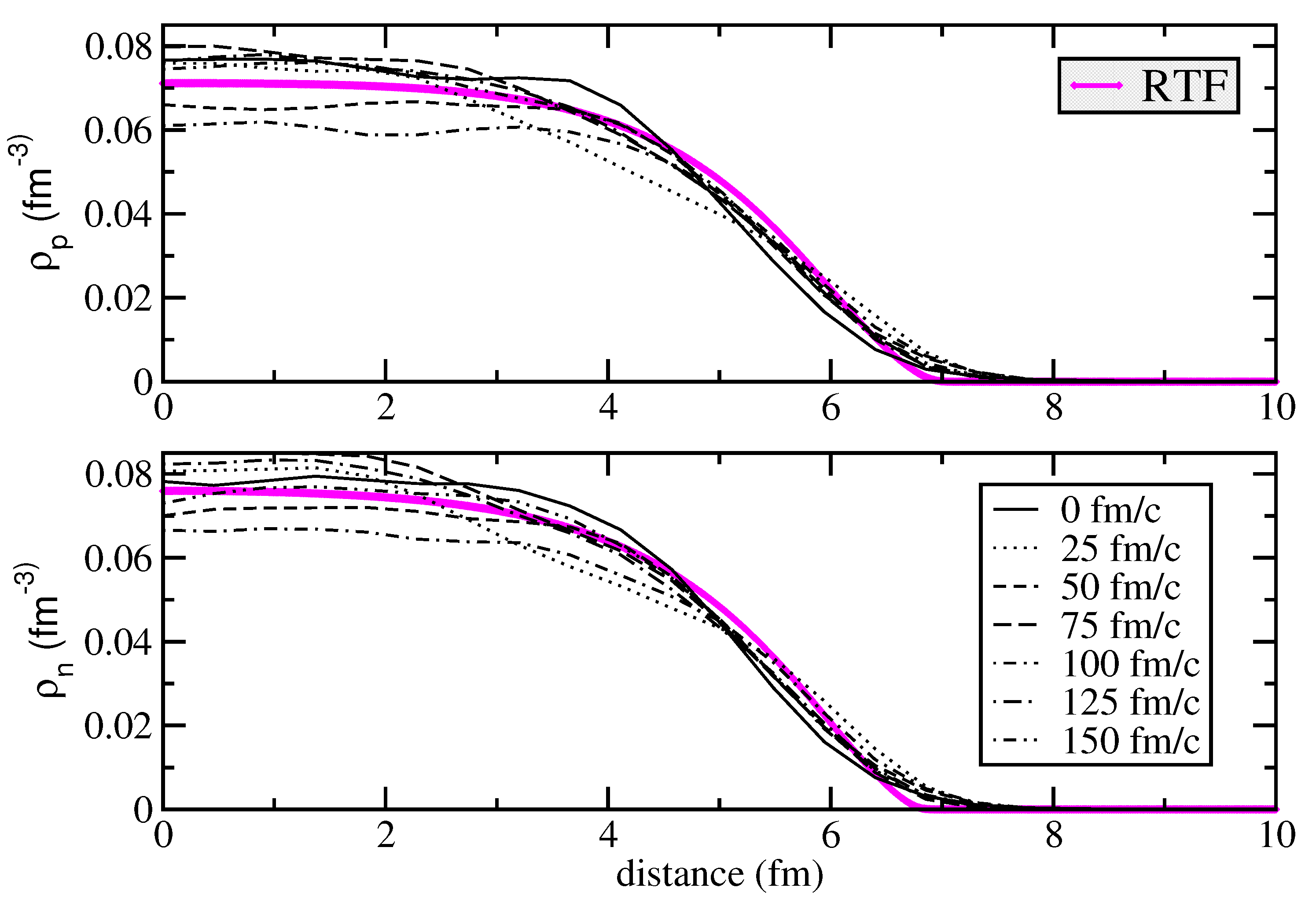
Instabilities in the nuclear potential influence other quantities too. Figure 2 shows the time evolution of the density profiles of protons and neutrons, as indicated, for the same nucleus as in the previous figure. The RTF curves denote again the reference density profiles of protons and neutrons within a relativistic Thomas–Fermi (RTF) approximation. The other curves show the transport results for these densities at various times, however, by using a different density profile as the reference. From the first sign, the numerical fluctuations did not seem to be very large, however, they were significant in extracting the excitation energy at the freeze-out.
The stability of the initial nucleus improved largely by using the same physics for the determination of the reference densities and for the dynamical simulation. This is shown in the next Figure 3, where the same picture as in Figure 2 is displayed but here is within a consistent calculation. Indeed, one can immediately realize the improvement in stability in terms of the temporal evolution of the density profiles.
The numerical effects discussed above are summarized in Figure 4 in terms of the binding energy per nucleon and the rms radius again for the same nucleus as above. The binding energy in the transport calculation obviously did not follow the RTF value (standard initialization curve) as it should have been when using different physics for the reference density and simulated ones. Aprt from this, a significant fluctuation in time occurred, which could have affected the results of the statistical fragmentation method. The accuracy of the transport results with the reference RTF value and, in particular, the energy conservation results largely were improved in the consistent treatment (new initialization curve). This can be seen in the evolution of the nucleus rms radius as well, where the artificial oscillation almost disappeared in the consistent description. Note that, in general, any numerical oscillations of the rms radius lead to an artificial particle emission with the consequence of inaccurate values for the mass, charge numbers, and excitation energy. In particular, an inconsistent initialization leads to fragmentation results depending on the time at which one switches from the dynamical calculation to the statistical method.
With a consistent treatment of the initial configuration and a quite precise simulation against numerical issues, we continue the discussion into actual calculations concerning the question regarding the onset of fragmentation in nuclear reactions. We chose the complex case of a heavy-ion collision with collision parameters as indicated in Figure 5 and will discuss the fragmentation of spectator matter. The curves show transport calculations at three different centralities for the mass number (top-left), local density at the center of the spectator (bottom-left), its excitation energy (top-right) and, most important, the local pressure again at the center of the spectator (bottom-right) as function of time.
The pressure was a clear indicator concerning the onset of fragmentation phenomena of a local source in the nuclear reactions. The pressure density was calculated with standard-field theoretical methods, that is, from the energy-momentum tensor at different times based on only the knowledge of the phase-space distribution function. It is shown in this figure (bottom-right panel) that the pressure became, after a time of around 45 fm/c negative values, almost independent of the centrality. This is a strong indication that the local system (the spectator) will enter into instability regions of the nuclear phase diagram after this time. That is, inside the spectator matter, the matter will locally collapse into clusters according to the negative pressure gradients and fragmentation will set in. Therefore, with a transport calculation, one can predict the onset of fragmentation, which can be modeled with statistical models afterwards. The input parameters for such statistical fragmentation models include usually the mass, charge numbers, and, in particular, the excitation energy of the source under consideration. These quantities are shown in the other panels of Figure 5. It was observed that after the formation of the spectator matter, the mass number, local density, and excitation energy remained almost constant for time scales close to the onset of instabilities; that is, at times around 40–50 fm/c. All these features together indicate that the spectator approached local equilibrium at the stage close to the onset of fragmentation. We thus determine the time required to switch from dynamical transport approaches to statistical approaches by providing the physical input for these statistical descriptions. This method is suitable not only for heavy-ion reactions but, in general, for hadron-induced reactions as well. We again mention the importance of good numerical stability for such transport simulations. An inaccurate numerical realization would lead to significant fluctuations of the above spectator results.
Applications of hybrid calculations, that is, transport simulations with the SMM method as an afterburner, are shown in the next figures for hadron-induced reactions. Typical examples are shown in Figure 6 and Figure 7 for the mass and charge distributions of different fragments. In these proton-induced calculations, we used the same method as discussed above in determining the onset of the statistical fragmentation method. Again, close to this onset time, the excited target source showed an equilibrium configuration. That is, physical quantities such as mass and charge numbers, as well as its energy, were constant in time. It is shown that the hybrid simulations were able to describe the fragmentation data not only qualitatively (charge distributions) but quantitatively as well (various isotopic distributions). We predicted the fission and evaporation fragments rather well, while for the multi-fragmentation part, no data were available.
The physical origin of the various scenarios of the fragment formation can be interpreted as an interplay between the pre-equilibrium dynamics (transport description) and the statistical de-excitation of a considered source (SMM method). The dynamical evolution of the reaction distributes the energy among the nucleons and produced particles according to the local evolution of the mean-field potential, as well as according to the various elastic and inelastic binary collision processes; this continues until the system reaches a freeze-out and (at least locally) reaches an equilibrated configuration. The pre-equilibrium dynamics are thus responsible for the amount of excitation a considered source will experience at freeze-out. The dynamical description within the transport is also responsible for the possible emission of free nucleons at freeze-out, which is also called pre-equilibrium emission. The excitation energy of a freeze-out source plays a particular role in this process, as the fragment formation mechanism depends rather strongly on the source’s excitation energy. The de-excitation into clusters and emitted nucleons is then modeled by them, provided by the fragmentation method, that is, the SMM prescription. This hybrid description is pictured in Figure 7. The evaporation aspect on the right originates from rather peripheral proton-induced reactions with a quite low excitation of the residual nucleus. Conversely, the multi-fragmentation aspect on the left side of this figure is the result from the most central (low impact parameters) part of the proton-induced collisions. Here, the proton may penetrate deep inside the target nucleus, causing a high excitation due to elastic and inelastic collision processes. For more detailed comparisons with fragmentation data, we refer the reader to Reference [52]. Additionally, similar systematic studies related to the physical origins of fragmentation, that is, multi-fragmentation, fission, and evaporation processes, can be found, for instance, in References [9,53].
Since a combination of dynamical transport models and statistical approaches works fairly well for the description of fragmentation, it is worthwhile to extend such fragmentation studies for the description of an another interesting aspect, namely the hypernuclei. As discussed in the introduction, hypernuclear studies are very useful for many reasons. They are suitable tools for nuclear spectroscopy and for obtaining a better understanding of the still poorly understood strangeness aspect of the EoS.
Figure 8 shows the results of transport calculations for heavy-ion collisions with parameters as indicated. The bottom-left panel shows the rapidity spectrum of the produced single-strangeness Λ and Σ hyperons. At first, both hyperon types show a similar rapidity distribution because the same nuclear field with appropriate quark-counting for the coupling constants was used. The broadness of the rapidity spectrum of these hyperons is more interesting, which will be important for the formation of hyperfragments. Such broad spectra occur mainly due to the secondary re-scattering of the primarily produced hyperons. Typical secondary channels involving hyperons undergo strangeness-exchange scattering and elastic hyperon-nucleon binary collisions, as well as further collision processes involving kaons and pions. These secondary scatterings “weakens” the initially picked hyperon spectrum around spectator rapidities and establish it as more broad at the late freeze-out times of the simulation, at which the onset of fragmentation may set in.
The top-left panel shows the produced light fragments of spectator matter. Here, the fragments, as calculated with the SMM method, are obviously produced close to spectator rapidities. However, the corresponding rapidity spectra of the hyperons are broad enough to allow a possible coalescence with the spectator SMM fragments; that is, in particular, a coalescence in the momentum and simultaneously in thw coordinate space at freeze-out. With this rather strict coalescence, we identifed hyperfragments in the spectator matter. The parameters chosen were the Fermi-momentum for the coalescence in the momentum space and 3 fm for the corresponding coalescence value in the coordinate space. With these parameters, one can reproduce the experimental charge distributions of the FOPI collaboration. The results concerning the spectator single-strangeness hyperfragments are shown at the top-right and bottom-right panels of Figure 8 for He-isotopes. They were produced inside the spectator momentum region as well, although with rather low multiplicities relative to the abundance of the pure nucleonic fragments (top-left panel for comparison). In particular, their multiplicities are up to two orders of magnitude smaller. Note that due to the phenomenological phase-space coalescence, excited hyperfragments may be included in these results. Thus, one may expect lower yields after a secondary de-excitation of these hyperclusters. The existence of Σ hypernuclei in these calculations are allowed due to the same attractive character of the Σ nucleon potential as for the Λ nucleon potential. A more systematic study would indicate light hyperfragment yields with only a few μ b cross-sections. This depends quite significantly on the secondary re-scattering involving hyperons, which is not so pronounced for a collision between light nuclei as compared to a collision with heavy-ions such Au. The first experimental results concerning hypernuclear production in collisions between light ions were predicted by the HypHI collaboration [54] and more systematic theoretical studies followed, for instance, in References [55,56].
Another interesting topic here concerns the possible formation of multi-strangeness hypernuclei. This task is related to the interaction in the double-strangeness sector of the hadronic EoS and beyond. The formation of bound multi-strangeness finite nuclear systems requires a copied production of hyperons that can be captured inside a fragmenting source. This is indeed a challenging task for both experimental and theoretical communities. The PANDA project at GSI, FAIR, is a promising experimental example. For PANDA, they proposed a two-step reaction using primarily anti-proton and secondary Ξ beams on light nuclear targets [57]. The reasons of doing so are discussed in the next figures.
Figure 9 shows the rapidity distributions of produced hyperons in anti-proton-induced reactions. One can observe that the single-strangeness hyperons dominate the strangeness momentum spectra. In particular, the production yields of the double-strangeness Ξ baryons were by several orders of magnitude lower in comparison at these intermediate relativistic energies. Thus, one may not expect multi-strangeness hypernuclei production to a satisfactorily degree. In fact, the production cross-sections for single-strangeness hyperons were largely bigger than the corresponding Ξ production cross-sections in anti-proton proton annihilation collisions. The Ξ baryons, which appear in these calculations, are mainly produced by secondary processes involving the (anti-)kaon mesons. The idea behind the PANDA project is to use the low-momentum tail of these primarily produced Ξ hyperons as a secondary beam with the opportunity to create desired abundances of multi-strangeness hypernuclei.
A picture of such low energy Ξ induced reactions is depicted in Figure 10. The rapidity spectra of the produced hyperons, as indicated, are shown by using two different interactions for the in-medium Ξ interaction; for more details, see Reference [58]. The left part of this figure shows the produced Λ hyperons in terms of their rapidity. Here, secondary re-scattering weakens the rapidity spectrum, as well, making the formation of double Λ Λ hypernuclei possible. The right panels in this figure are very interesting. They show the produced Ξ hyperons. In particular, the bound Ξ baryons are depicted (thick solid curves) using both versions of the in-medium Ξ interaction. It can indeed be observed that a significant amount of the cascade particles were captured inside the residual excited target nucleus. Note that the bound particles were identified as those with their radial distance less than the radius of the initial target nucleus, in adddition to 2 fm. Furthermore, these spectra were determined at the final stage of the reaction. The cascade capture by the target nucleus is thus quite a strong indication for a possible formation of double-strangeness Ξ hypernuclei depending on the underlying in-medium Ξ interaction.
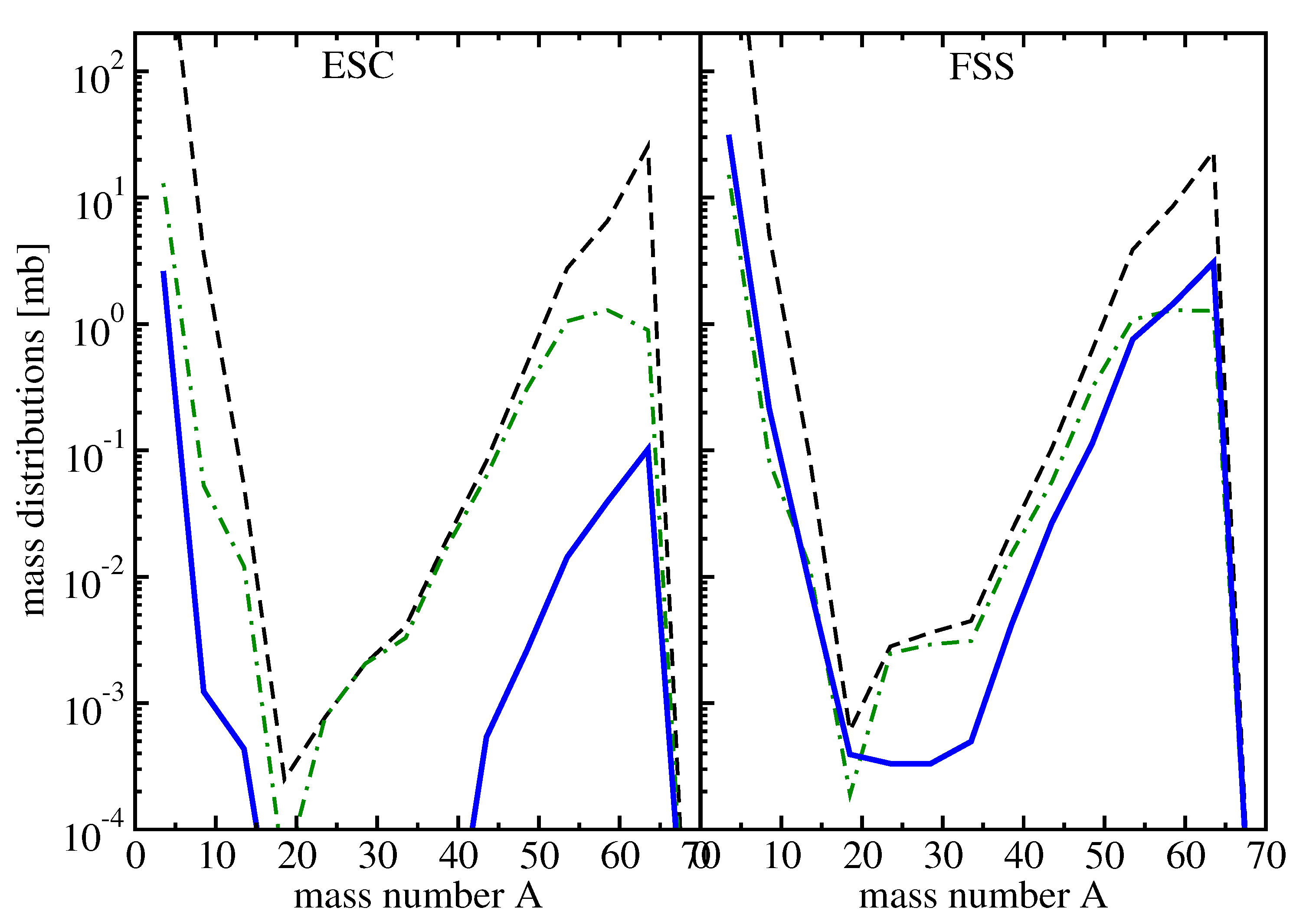
A momentum-space coalescence between the captured cascade hyperons and SMM fragments led to the results of double-strangeness hypernuclei, as displayed in Figure 11, for reactions induced by low-energy Ξ beams. The mass distributions were obtained by using two different versions for the in-medium Ξ interaction. One may notice a copious production of double Λ hypernuclei, as compared to the pure nucleonic fragment spectra. Indeed, a large amount of the produced Λ hyperons were captured inside the target nucleus due to their attractive potential, as well as due to secondary re-scattering. Interestingly, one can observe a significant production of double-strangeness Ξ hypernuclei for both types of the hybrid calculations. Therefore, such transport studies provide not only for a better understanding of the single-strangeness sector of the in-medium hadronic interaction, but also for the in-medium multi-strangeness interactions as well. Furthermore, these calculations support the PANDA proposal concerning an observable production of multi-strangeness hypernuclei using low-energy secondary Ξ beams.
In this section, we presented and discussed some specific results related to fragmentation and hyperfragments in reactions induced by ions and hadron beams. This field of research is rather wide and is a topic studied by other groups as well. We presented some of them in the introduction, however, here we will mention other similar studies. Similar investigations related to fragmentation exist in Reference [59]; in this study, they applied antisymmetrized molecular dynamics (AMD), which is a rather successful concept, although limited to the low-energy sector. A main advantage of AMD-like models is that they can address correlations dynamically. A detailed application of this approach can be found in References [60,61]. In this regard, the review article in Reference [62] is worth mentioning, which summarizes the present status of AMD and other transport approaches. In particular, it contains a more detailed discussion on possible treatments of dynamical fluctuations. The treatment of correlations is a quite non-trivial task for obvious reasons. However, it is still an object of very recent investigations. A theoretical application can be found in Reference [63]. This work is based on the microscopic Green’s function formalism for non-equilibrium processes but goes beyond the well-known mean-field concept and includes correlations. Further studies concerning at least an approximative treatment of fluctuations in actual applications can be found in Reference [64]. A similar work using hybrid methods for pre-equilibrium dynamics and fragment formation via coalescence exists in the literature; see, for instance, Reference [65] for an application towards high relativistic energies. For a more detailed study related to hybrid methods, we referred to the work [66], in which the Parton–Hadron String Dynamics (PHSD) transport approach embedded with fragment methods as an afterburner is discussed. In this work, further methods beyond a coalescence prescription are employed, in particular, for the formation of hyperfragments; these include the minimum spanning tree and the simulated annealing clusterization algorithm methods. Finally, we would like to mention the recent experimental studies related to the production of hypernuclei as found in References [67,68,69].

4. Summary

In this review, we discussed the dynamics of nuclear reactions induced by heavy-ion and hadron beams at intermediate relativistic energies. The dynamics of such reactions involves various aspects, such as collective flows, the production of elementary particles, and thermodynamical properties and processes related to fragmentation. We focused on the description of fragmentation in nuclear dynamics by means of a hybrid transport theoretical description.
We introduced microscopic formalism, leading to a relativistic transport equation, and discussed the necessary approximations for practical applications. Transport equations describe the pre-equilibrium dynamics of the one-body phase-space without the dynamical information of higher correlations. The latter are, however, crucial for the formation of fragments. To also include fragmentation into the transport descriptions, we introduced and discussed the hybrid methods widely used in the literature; that is, a transport treatment of the non-equilibrium dynamics until it approaches a stable equilibrated configuration (at least locally), followed by switching to a statistical description for the fragmentation of the equilibrated configuration. We emphasized the difficulties that may appear in such a hybrid treatment. We discussed them in the results of the transport calculations for a single nucleus at rest.
We started the presentation of the results by discussing the question regarding the onset of fragmentation in nuclear reactions. The examination of the local pressure density, which can be determined by a transport calculation, does provide the answer regarding the appearance of local instabilities. In the literature, these are known as spinodal instabilities. The pressure density as well as other thermodynamical properties such as energy densities and temperatures can be calculated at each time and at each position during a transport simulation from only the knowledge of the one-body phase-space distribution function. Depending on the source under consideration, one performs the thermodynamical analysis (calculation of the pressure density) at the center a specific source, e.g., at the center of a fireball or a spectator, at each time step of a transport simulation. This way, one can imagine a dynamical picture when the local system enters into an instability region. Thus, one can have a good estimation time regarding when to switch from the dynamical transport to a statistical fragmentation model.
With this theoretical framework, we presented typical results regarding the nuclear fragmentation from spectator decay in heavy-ion collisions and from residual target decay in hadron-induced reactions. We discussed the results of various isotopic fragment distributions. The comparisons with the available data showed quite a good description of the theoretical hybrid model. The most interesting part, however, concerned a possible formation of exotic fragments including strangeness degrees of freedom; that is, hypernuclei. We presented and discussed the results in detail related to hypernuclei in different reaction scenarios, i.e., in spectator fragmentation of heavy-ion collisions and in residual target fragmentation in hadron-induced reactions. The results indicated a single-strangeness hypernuclear production in intermediate energy heavy-ion collisions. However, it was revealed that hadron-induced reactions, in particular, those induced by secondary low-energy cascade beams, provide the key for multi-strangeness hyperfragment production with significantly observable abundances. We conclude by mentioning the importance of such fragmentation studies for the future experiments at FAIR/GSI which may help to better constrain the still poorly understood strangeness sector of the hadronic equation of state. We also emphasize the relevance of these studies for nuclear astrophysics as well, as they are important for supernovae dynamics of dilute clusterized matter. Furthermore, they are relevant for the physics of neutron stars and neutron star dynamics, in addition.

Funding

This research received no external funding.

Institutional Review Board Statement

Not applicable.

Informed Consent Statement

Not applicable.

Acknowledgments

This work was partially supported by the European Union’s Horizon 2020 research and innovation program under grant agreement number 824093.

Conflicts of Interest

The authors declare no conflict of interest.

References

  1. Schuettauf, A.; Kunze, W.D.; Woerner, A.; Begemann-Blaich, M.; Blaich, T.; Bowman, D.R.; Charity, R.J.; Cosmo, A.; Ferrero, A.; Gelbke, C.K.; et al. Universality of spectator fragmentation at relativistic bombarding energies. Nucl. Phys. A 1996, 607, 457. [Google Scholar] [CrossRef]
  2. Reisdorf, W.; Andronic, A.; Averbeck, R.; Benabderrahmane, M.L.; Hartmann, O.N.; Herrmann, N.; Hildenbrand, K.D.; Kang, T.I.; Kim, Y.J.; Kis, M.; et al. Systematics of central heavy ion collisions in the 1 AGeV regime. Nucl. Phys. A 2010, 848, 366. [Google Scholar] [CrossRef]
  3. Botvina, A.S.; Mishustin, I.N.; Begemann-Blaich, M.; Hubele, J.; Imme, G.; Iori, I.; Kreutz, P.; Kunde, G.J.; Kunze, W.D.; Lindenstruth, V.; et al. Multifragmentation of spectators in relativistic heavy ion reactions. Nucl. Phys. A 1995, 584, 737. [Google Scholar] [CrossRef]
  4. Bauer, W.; Post, U.; Dean, D.R.; Mosel, U. The Nuclear Lattice Model of Proton Induced Multifragmentation Reactions. Nucl. Phys. A 1986, 452, 699. [Google Scholar] [CrossRef]
  5. Wada, R.; Keutgen, T.; Hagel, K.; Ma1, Y.G.; Wang, J.; Murray, M.; Qin, L.; Smith, P.; Natowitz, J.B.; Alfarro, R.; et al. Reaction dynamics and multifragmentation in Fermi energy heavy ion reactions. Phys. Rev. C 2004, 69, 044610. [Google Scholar] [CrossRef]
  6. Botvina, A.S.; Mishustin, I.N. Multifragmentation reactions and properties of hot stellar matter at sub-nuclear densities. Phys. Rev. C 2005, 72, 048801. [Google Scholar] [CrossRef]
  7. Ogilvie, C.A.; Adloff, J.C.; Begemann-Blaich, M.; Bouissou, P.; Hubele, J.; Imme, G.; Kreutz, P.; Kunde, G.J.; Leray, S.; Lindenstruth, V.; et al. The Rise and fall of multifragment emission. Phys. Rev. Lett. 1991, 67, 1214–1217. [Google Scholar] [CrossRef]
  8. Bastian, N.U.; Batyuk, P.; Blaschke, D.; Danielewicz, P.; Ivanov, Y.B.; Karpenko, I.; Röpke, G.; Rogachevsky, O.; Wolter, H.H. Light cluster production at NICA. Eur. Phys. J. A 2016, 52, 244. [Google Scholar] [CrossRef]
  9. Assimakopoulou, A.; Souliotis, G.A.; Bonasera, A.; Botvina, A.; Nicolis, N.G.; Veselsky, M. Microscopic description of proton-induced spallation reactions with the Constrained Molecular Dynamics (CoMD) Model. J. Phys. G Nucl. Part. Phys. 2019, 46, 075104. [Google Scholar] [CrossRef]
  10. Fèvre, A.L.; Aichelin, J.; Hartnack, C.; Leifels, Y. FRIGA: A new approach to identify isotopes and hypernuclei in n-body transport models. Phys. Rev. C 2019, 100, 034904. [Google Scholar] [CrossRef]
  11. Mallik, S.; Chaudhuri, G.; Gulminelli, F.; Gupta, S.D. Statistical and dynamical bimodality in multifragmentation reactions. arXiv 2021, arXiv:2101.06036. [Google Scholar]
  12. Botvina, A.S.; Buyukcizmeci, N.; Bleicher, M. Coupling dynamical and statistical mechanisms for baryonic cluster production in nucleus collisions of intermediate and high energies. Phys. Rev. C 2021, 103, 064602. [Google Scholar] [CrossRef]
  13. Gläßel, S.; Kireyeu, V.; Voronyuk, V.; Aichelin, J.; Blume, C.; Bratkovskaya, E.; Coci, G.; Kolesnikov, V.; Winn, M. Cluster and hyper-cluster production in relativistic heavy-ion collisions within the PHQMD approach. arXiv 2021, arXiv:2106.14839. [Google Scholar]
  14. Pochodzalla, J.; Mohlenkamp, T.; Rubehn, T.; Schuttauf, A.; Worner, A.; Zude, E.; Begemann-Blaich, M.; Blaich, T.; Emling, H.; Ferrero, A.; et al. Probing the nuclear liquid - gas phase transition. Phys. Rev. Lett. 1995, 75, 1040–1043. [Google Scholar] [CrossRef] [PubMed]
  15. Henning, W.F. Physics with energetic radioactive ion beams. Nucl. Instrum. Methods B 1997, 126, 1. [Google Scholar] [CrossRef][Green Version]
  16. Le Gentil, E.; Aumann, T.; Bacri, C.O.; Benlliure, J.; Bianchin, S.; Boehmer, M.; Boudard, A.; Brzychczyk, J.; Casarejos, E.; Combet, M.; et al. Coincidence Measurement of Residues and Light Particles in the Reaction 56Fe+p at 1 GeV per Nucleon with the Spallation Reactions Setup SPALADIN. Phys. Rev. Lett. 2008, 100, 022701. [Google Scholar] [CrossRef]
  17. Fischer, T.; Typel, S.; Röpke, G.; Bastian, N.U.F.; Martínez-Pinedo, G. Medium modifications for light and heavy nuclear clusters in simulations of core collapse supernovae – Impact on equation of state and weak interactions. Phys. Rev. C 2020, 102, 055807. [Google Scholar] [CrossRef]
  18. Haberer, T.; Becher, W.; Schardt, D.; Kraft, G. Magnetic scanning system for heavy ion therapy. Nucl. Instr. Meth. A 1993, 330, 296. [Google Scholar] [CrossRef]
  19. Eickhoff, H.; Haberer, T.; Kraft, G.; Krause, U.; Poppensieker, K.; Richter, M.; Steiner, R. The GSI Cancer Therapy Project. In Proceedings of the 1997 Particle Accelerator Conference (Cat. No.97CH36167), Vancouver, BC, Canada, 16 May 1997; Volume 3, pp. 3801–3803. [Google Scholar] [CrossRef]
  20. Botermans, W.; Malfliet, R. A Relativistic Quantum Kinetic Equation for Nucleus Nucleus Collisions. Phys. Lett. B 1988, 215, 617. [Google Scholar] [CrossRef][Green Version]
  21. Botermans, W.; Malfliet, R. Quantum transport theory of nuclear matter. Phys. Rep. 1990, 198, 115. [Google Scholar] [CrossRef]
  22. Boltzmann, L. Correlation between Diffusion Equation and Schrödinger Equation. Wien. Ber. 1872, 66, 275. [Google Scholar]
  23. Uehling, E.A.; Uhlenbeck, G.E. Transport Phenomena in Einstein-Bose and Fermi-Dirac Gases. I. Phys. Rev. 1933, 43, 552. [Google Scholar] [CrossRef]
  24. Kadanoff, L.P.; Baym, G. Quantum Statistical Mechanics; Benjamin: New York, NY, USA, 1962. [Google Scholar]
  25. Danielewicz, P. Quantum theory of nonequilibrium processes, I. Ann. Phys. 1984, 152, 239. [Google Scholar] [CrossRef]
  26. Bertsch, G.F.; Das Gupta, S. A guide to microscopic models for intermediate energy heavy ion collisions. Phys. Rep. 1988, 160, 189. [Google Scholar] [CrossRef]
  27. De Groot, S.R.; van Leeuwen, W.A.; van Weert, C.G. Relativistic Kinetic Theory; North-Holland: Amsterdam, The Netherlands, 1980. [Google Scholar]
  28. Danielewicz, P.; Lacey, R.; Lynch, W.G. Determination of the Equation of State of Dense Matter. Science 2002, 298, 1592. [Google Scholar] [CrossRef]
  29. Fuchs, C.; Wolter, H. The relativistic Landau-Vlasov method in heavy-ion collisions. Nucl. Phys. A 1995, 589, 732. [Google Scholar] [CrossRef]
  30. Gaitanos, T.; Di Toro, M.; Typel, S.; Baran, V.; Fuchs, C.; Greco, V.; Wolter, H.H. On the Lorentz structure of the symmetry energy. Nucl. Phys. A 2004, 732, 24. [Google Scholar] [CrossRef]
  31. Blaettel, B.; Koch, V.; Mosel, U. Transport-theoretical analysis of relativistic heavy-ion collisions. Rep. Prog. Phys. 1993, 56, 1. [Google Scholar] [CrossRef]
  32. Buss, S.; Gaitanos, T.; Gallmeister, K.; van Hees, H.; Kaskulov, M.; Lalakulich, O.; Larionov, A.B.; Leitner, T.; Weil, J.; Mosel, U. Transport-theoretical description of nuclear reactions. Phys. Rep. 2012, 512, 1. [Google Scholar] [CrossRef]
  33. Ehehalt, W.; Cassing, W. Relativistic transport approach for nucleus-nucleus collisions from SIS to SPS energies. Nucl. Phys. A 1996, 602, 449. [Google Scholar] [CrossRef]
  34. Aichelin, J. “Quantum” molecular dynamics—A dynamical microscopic n-body approach to investigate fragment formation and the nuclear equation of state in heavy ion collisions. Phys. Rep. 1991, 202, 233. [Google Scholar] [CrossRef]
  35. Hartnack, C.; Puri, R.K.; Aichelin, J.; Konopka, J.; Bass, S.A.; Stoecker, H.; Greiner, W. Modelling the many-body dynamics of heavy ion collisions: Present status and future perspective. Eur. Phys. J. 1998, A1, 151. [Google Scholar] [CrossRef]
  36. Huang, S.W.; Faessler, A.; Li, G.Q.; Khoa, D.T.; Lehmann, E.; Matina, M.A.; Ohtsuka, N.; Puri, R.K. Quantum molecular dynamics and particle production in heavy ion collisions. Prog. Part. Nucl. Phys. 1993, 30, 105. [Google Scholar] [CrossRef]
  37. Sorge, H.; Stoecker, H.; Greiner, W. Poincare Invariant Hamiltonian Dynamics: Modeling Multi - Hadronic Interactions in a Phase Space Approach. Annals Phys. 1989, 192, 266. [Google Scholar] [CrossRef]
  38. Maruyama, T.; Huang, S.W.; Ohtsuka, N.; Guoqiang, L.; Faessler, A.; Aichelin, J. Lorentz-covariant description of intermediate energy heavy-ion reactions in relativistic quantum molecular dynamics. Nucl. Phys. A 1991, 534, 720. [Google Scholar] [CrossRef]
  39. Bass, S.A.; Belkacem, M.; Bleicher, M.; Brandstetter, M.; Bravina, L.; Ernst, C.; Gerland, L.; Hofmann, M.; Hofmann, S.; Konopka, J.; et al. Microscopic models for ultrarelativistic heavy ion collisions. Prog. Part. Nucl. Phys. 1998, 41, 255. [Google Scholar] [CrossRef]
  40. Feldmeier, H. Fermionic molecular dynamics. Nucl. Phys. A 1990, 515, 147. [Google Scholar] [CrossRef]
  41. Ono, A.; Horiuchi, H.; Maruyama, T.; Ohnishi, A. Fragment formation studied with antisymmetrized version of molecular dynamics with two-nucleon collisions. Phys. Rev. Lett. 1992, 68, 2898. [Google Scholar] [CrossRef]
  42. Toneev, V.D.; Gudima, K.K. Particle emission in light and heavy ion reactions. Nucl. Phys. A 1983, 400, 173. [Google Scholar] [CrossRef]
  43. Botvina, A.S.; Steinheimer, J.; Bleicher, M. Formation of exotic baryon clusters in ultrarelativistic heavy-ion collisions. Phys. Rev. C 2017, 96, 014913. [Google Scholar] [CrossRef]
  44. Neubert, W.; Botvina, A.S. Limits of complete equilibration of fragments produced in central Au on Au collisions at intermediate energies. Eur. Phys. J. A 2003, 17, 559. [Google Scholar] [CrossRef][Green Version]
  45. Scheibl, R.; Heinz, U. Coalescence and flow in ultrarelativistic heavy ion collisions. Phys. Rev. C 1999, 59, 1585. [Google Scholar] [CrossRef]
  46. Sombun, S.; Tomuang, K.; Limphirat, A.; Hillmann, P.; Herold, C.; Steinheimer, J.; Yan, Y.; Bleicher, M. Deuteron production from phase-space coalescence in the UrQMD approach. Phys. Rev. C 2019, 99, 014901. [Google Scholar] [CrossRef]
  47. Blum, K.; Takimoto, M. Nuclear coalescence from correlation functions. Phys. Rev. C 2019, 99, 044913. [Google Scholar] [CrossRef]
  48. Bondorf, J.P.; Botvina, A.S.; Iljinov, A.S.; Mishustin, I.N.; Sneppen, K. Statistical multifragmentation of nuclei. Phys. Rep. 1995, 257, 133. [Google Scholar] [CrossRef]
  49. Gaitanos, T.; Larionov, A.B.; Lenske, H.; Mosel, U. Breathing mode in an improved transport approach. Phys. Rev. C 2010, 81, 054316. [Google Scholar] [CrossRef]
  50. Benlliure, J.; Armbruster, P.; Bernas, M.; Boudard, A.; Dufour, J.P.; Enqvist, T.; Legrain, R.; Leray, S.; Mustapha, B.; Rejmund, F.; et al. Isotopic production cross sections of fission residues in 197Au-on-proton collisions at 800 MeV. Nucl. Phys. A 2001, 683, 513. [Google Scholar] [CrossRef]
  51. Rejmund, F.; Mustapha, B.; Armbruster, P.; Benlliure, J.; Bernas, M.; Boudard, A.; Dufour, J.P.; Enqvist, T.; Legrain, R.; Leray, R.; et al. Measurement of isotopic cross sections of spallation residues in 800 MeV 197Au+p collision. Nucl. Phys. A 2001, 683, 540. [Google Scholar] [CrossRef][Green Version]
  52. Gaitanos, T.; Lenske, H.; Mosel, U. Fragment formation in proton induced reactions within a BUU transport model. Phys. Lett. B 2008, 663, 197. [Google Scholar] [CrossRef][Green Version]
  53. Botvina, A.S.; Buyukcizmeci, N.; Ergun, A.; Ogul, R.; Bleicher, M.; Pochodzalla, J. Formation of hypernuclei in evaporation and fission processes. Phys. Rev. C 2016, 94, 054615. [Google Scholar] [CrossRef]
  54. Rappold, C.; Saito, T.R.; Bertini, O.; Bianchin, S.; Bozkurt, V.; Kim, E.; Kavatsyuk, M.; Ma, Y.; Maas, F.; Minami, S.; et al. Hypernuclear production cross section in the reaction of 6Li + 12C at 2A GeV. Phys. Lett. B 2015, 747, 129. [Google Scholar] [CrossRef]
  55. Gaitanos, T.; Lenske, H.; Mosel, U. Formation of hypernuclei in high energy reactions within a covariant transport model. Phys. Lett. B 2009, 675, 297. [Google Scholar] [CrossRef]
  56. Buyukcizmeci, N.; Botvina, A.S.; Ogul, R.; Bleicher, M. Evaluation of hypernuclei in relativistic ion collisions. Eur. Phys. J. A 2020, 56, 210. [Google Scholar] [CrossRef]
  57. Barucca, G.; Davi, F.; Lancioni, G.; Mengucci, P.; Montalto, L.; Natali, P.P.; Paone, N.; Rinaldi, D.; Scalise, L.; Krusche, B.; et al. PANDA Phase One. Eur. Phys. J. A 2021, 57, 184. [Google Scholar] [CrossRef]
  58. Gaitanos, T.; Lenske, H. Production of multi-strangeness hypernuclei and the YN-interaction. Phys. Lett. B 2014, 737, 256. [Google Scholar] [CrossRef]
  59. Ono, A. Dynamics of clusters and fragments in heavy-ion collisions. Prog. Part. Nucl. Phys. 2019, 105, 139. [Google Scholar] [CrossRef]
  60. Camaiani, A.; Casini, G.; Piantelli, S.; Ono, A.; Bonnet, E.; Alba, R.; Barlini, S.; Borderie, B.; Bougault, R.; Ciampi, C.; et al. Isospin diffusion measurement from the direct detection of a quasiprojectile remnant. Phys. Rev. C 2021, 103, 014605. [Google Scholar] [CrossRef]
  61. Han, R.; Chen, Z.; Wada, R.; Ono, A.; Tian, G.; Shi, F.; Zhang, X.; Liu, B.; Sun, H. Effects of cluster correlations on fragment emission in 12C + 12C at 50 MeV/nucleon. arXiv 2020, arXiv:2011.09800. [Google Scholar]
  62. Colonna, M. Collision dynamics at medium and relativistic energies. Prog. Part. Nucl. Phys. 2020, 113, 103775. [Google Scholar] [CrossRef]
  63. Lin, H.; Mahzoon, H.; Rios, A.; Danielewicz, P. Dynamics of one-dimensional correlated nuclear systems within non-equilibrium Green’s function theory. Ann. Phys. 2020, 420, 168272. [Google Scholar] [CrossRef]
  64. Lin, H.; Danielewicz, P. One-body Langevin dynamics in heavy-ion collisions at intermediate energies. Phys. Rev. C 2019, 99, 024612. [Google Scholar] [CrossRef]
  65. Hillmann, P.; Kaefer, K.; Steinheimer, J.; Vovchenko, V.; Bleicher, M. Coalescence, the thermal model and multi-fragmentation: The energy and volume dependence of light nuclei production in heavy ion collisions. arXiv 2021, arXiv:2109.05972v1. [Google Scholar]
  66. Aichelin, J.; Bratkovskaya, E.; Le Fevre, A.; Kireyeu, V.; Kolesnikov, V.; Leifels, Y.; Voronyuk, V.; Coci, G. Parton–Hadron–Quantum–Molecular Dynamics (PHQMD)—A Novel Microscopic N–Body Transport Approach for Heavy–Ion Collisions, Dynamical Cluster Formation and Hypernuclei Production. Phys. Rev. C 2020, 101, 044905. [Google Scholar] [CrossRef]
  67. Saito, T.R.; Ekawa, H.; Nakagawa, M. Novel method for producing very-neutron-rich hypernuclei via charge-exchange reactions with heavy ion projectiles. Eur. Phys. J. A 2021, 57, 159. [Google Scholar] [CrossRef]
  68. Barucca, G.; Davi, F.; Lancioni, G.; Mengucci, P.; Montalto, L.; Natali, P.P.; Paone, N.; Rinaldi, D.; Scalise, L.; Erni, W.; et al. The potential of Λ and Ξ studies with PANDA at FAIR. Eur. Phys. J. A 2021, 57, 154. [Google Scholar] [CrossRef]
  69. Rodrıguez-Sanchez, J.L.; David, J.C.; Hirtz, J.; Kelic-Heil, A.; Saito, T.R.; Scheidenberger, C.; Tanaka, Y.K. Production of Strange Particles and Hypernuclei in Spallation and Fragmentation Reactions. JPS Conf. Proc. 2020, 32, 010086. [Google Scholar]
Figure 1. Radial dependence of the scalar (left panels) and vector (right panels) self-energies for a single Sn-nucleus at rest at various times, as indicated inside the box at the top-right. The thick curves at each panel denote the RTF calculation, while the black curves denote the transport calculations. The two panels on the top indicate the calculations that used a consistent initialization prescription (new initialization, abbreviated as “new init” below). The two panels on the bottom show transport calculations that used a reference density for the initialization, which was not consistent with the nuclear potential in the transport description (standard initialization, abbreviated as “std init” below).
Figure 1. Radial dependence of the scalar (left panels) and vector (right panels) self-energies for a single Sn-nucleus at rest at various times, as indicated inside the box at the top-right. The thick curves at each panel denote the RTF calculation, while the black curves denote the transport calculations. The two panels on the top indicate the calculations that used a consistent initialization prescription (new initialization, abbreviated as “new init” below). The two panels on the bottom show transport calculations that used a reference density for the initialization, which was not consistent with the nuclear potential in the transport description (standard initialization, abbreviated as “std init” below).
Symmetry 13 01887 g001
Figure 2. Same as in Figure 1 but here the proton (panel on the top) and neutron (panel on the bottom) densities are shown using the standard initialization method.
Figure 2. Same as in Figure 1 but here the proton (panel on the top) and neutron (panel on the bottom) densities are shown using the standard initialization method.
Symmetry 13 01887 g002
Figure 3. Same as in Figure 2 but using the consistent initialization (new initialization).
Figure 3. Same as in Figure 2 but using the consistent initialization (new initialization).
Symmetry 13 01887 g003
Figure 4. Time dependence of the binding energy per nucleon (panel on the top) and the rms radius (panel on the bottom) for the same nucleus as in the previous figures. Transport calculations using the standard initialization (“std init”) and new initialization (“new init”) prescriptions are shown, as indicated. The thick circle symbol in the panel on the top shows the RTF value for the binding energy per nucleon.
Figure 4. Time dependence of the binding energy per nucleon (panel on the top) and the rms radius (panel on the bottom) for the same nucleus as in the previous figures. Transport calculations using the standard initialization (“std init”) and new initialization (“new init”) prescriptions are shown, as indicated. The thick circle symbol in the panel on the top shows the RTF value for the binding energy per nucleon.
Symmetry 13 01887 g004
Figure 5. Time evolution of the mass number (top-left), density (bottom-left), excitation energy (top-right), and pressure density (bottom-right), extracted from the center of the spectator matter. These transport calculations were performed for Au+Au heavy-ion collisions at 0.4 AGeV beam energy per nucleon and at three different centralities. The centrality increased at each panel in the direction from bottom to top.
Figure 5. Time evolution of the mass number (top-left), density (bottom-left), excitation energy (top-right), and pressure density (bottom-right), extracted from the center of the spectator matter. These transport calculations were performed for Au+Au heavy-ion collisions at 0.4 AGeV beam energy per nucleon and at three different centralities. The centrality increased at each panel in the direction from bottom to top.
Symmetry 13 01887 g005
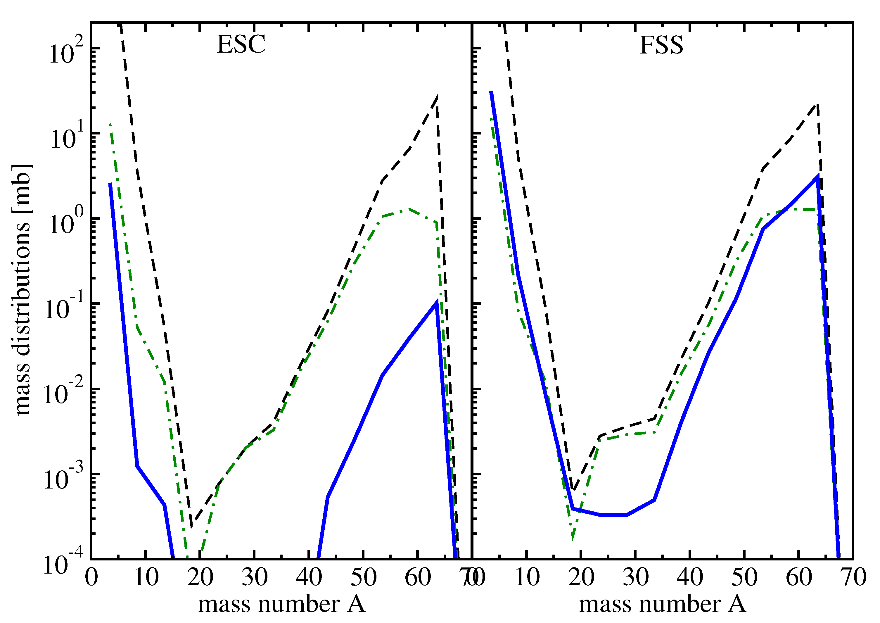
Figure 6. Mass distributions of various isotopic fragments for proton-induced reactions, as indicated. The hybrid transport+SMM calculations are compared with data from References [50,51].
Figure 6. Mass distributions of various isotopic fragments for proton-induced reactions, as indicated. The hybrid transport+SMM calculations are compared with data from References [50,51].
Symmetry 13 01887 g006
Figure 7. Same as in Figure 6 but for the charge distributions of all nucleonic fragments. The data are taken from the same Reference as in the previous figure.
Figure 7. Same as in Figure 6 but for the charge distributions of all nucleonic fragments. The data are taken from the same Reference as in the previous figure.
Symmetry 13 01887 g007
Figure 8. Transport calculations for the heavy-ion collision N i + N i at a beam energy of 3 AGeV and at an impact parameter of b = 2 fm. The rapidity distributions (normalized to the rapidity of the initial beam) of various particles are shown. Top-left: light fragments 3 He (black) and 4 He (red). Top-right: 3 He Λ (black) and 3 3 He Σ (red). Bottom-left: Λ (black) and Σ hyperons (red). Bottom-right: 4 He Λ (black) and 4 He Σ (red). All the curves for the fragments refer to spectator fragmentation using the combined transport+SMM method. The curves for the hyperons are the results of the transport calculation.
Figure 8. Transport calculations for the heavy-ion collision N i + N i at a beam energy of 3 AGeV and at an impact parameter of b = 2 fm. The rapidity distributions (normalized to the rapidity of the initial beam) of various particles are shown. Top-left: light fragments 3 He (black) and 4 He (red). Top-right: 3 He Λ (black) and 3 3 He Σ (red). Bottom-left: Λ (black) and Σ hyperons (red). Bottom-right: 4 He Λ (black) and 4 He Σ (red). All the curves for the fragments refer to spectator fragmentation using the combined transport+SMM method. The curves for the hyperons are the results of the transport calculation.
Symmetry 13 01887 g008
Figure 9. Anti-proton-induced reaction on the Cu target at three beam energies, as indicated. Rapidity distributions of various hyperons, as indicated, are shown. The transport calculations were extracted by using two different versions for the in-medium Ξ interaction (FSS and ESC).
Figure 9. Anti-proton-induced reaction on the Cu target at three beam energies, as indicated. Rapidity distributions of various hyperons, as indicated, are shown. The transport calculations were extracted by using two different versions for the in-medium Ξ interaction (FSS and ESC).
Symmetry 13 01887 g009
Figure 10. Ξ induced reactions on a Cu target at the cascade beam energies as indicated inside the panels on the left are shown. Again, two versions for the in-medium Ξ interaction were used in these transport calculations (FSS and ESC labels). The panels on the left show the rapidity spectra of Λ hyperons. The panels on the right show the same quantity but for the cascade particles. The lower thick curves indicate the Ξ hyperons that were bound inside the target nucleus.
Figure 10. Ξ induced reactions on a Cu target at the cascade beam energies as indicated inside the panels on the left are shown. Again, two versions for the in-medium Ξ interaction were used in these transport calculations (FSS and ESC labels). The panels on the left show the rapidity spectra of Λ hyperons. The panels on the right show the same quantity but for the cascade particles. The lower thick curves indicate the Ξ hyperons that were bound inside the target nucleus.
Symmetry 13 01887 g010
Figure 11. Mass distributions for purely nucleonic fragments (dashed curves), for double-strangeness Λ Λ hyperfragments (dot-dashed curves), and finally for double-strangeness Ξ hyperfragments (thick solid curves). The transport calculations, again with the two versions of the in-medium cascade potential (FSS and ESC labels), are shown combined with the SMM method for the formation of nucleonic fragments. The production of hyperfragments was performed by a phase-space coalescence. The considered reactions are Ξ induced reactions on a Cu target at a cascade energy of 0.3 AGeV.
Figure 11. Mass distributions for purely nucleonic fragments (dashed curves), for double-strangeness Λ Λ hyperfragments (dot-dashed curves), and finally for double-strangeness Ξ hyperfragments (thick solid curves). The transport calculations, again with the two versions of the in-medium cascade potential (FSS and ESC labels), are shown combined with the SMM method for the formation of nucleonic fragments. The production of hyperfragments was performed by a phase-space coalescence. The considered reactions are Ξ induced reactions on a Cu target at a cascade energy of 0.3 AGeV.
Symmetry 13 01887 g011
Publisher’s Note: MDPI stays neutral with regard to jurisdictional claims in published maps and institutional affiliations.

Share and Cite

MDPI and ACS Style

Gaitanos, T. Description of (Hyper-)Fragments in Hadron-Induced Reactions. Symmetry 2021, 13, 1887. https://doi.org/10.3390/sym13101887

AMA Style

Gaitanos T. Description of (Hyper-)Fragments in Hadron-Induced Reactions. Symmetry. 2021; 13(10):1887. https://doi.org/10.3390/sym13101887

Chicago/Turabian Style

Gaitanos, Theodoros. 2021. "Description of (Hyper-)Fragments in Hadron-Induced Reactions" Symmetry 13, no. 10: 1887. https://doi.org/10.3390/sym13101887

APA Style

Gaitanos, T. (2021). Description of (Hyper-)Fragments in Hadron-Induced Reactions. Symmetry, 13(10), 1887. https://doi.org/10.3390/sym13101887

Note that from the first issue of 2016, this journal uses article numbers instead of page numbers. See further details here.

Article Metrics

Back to TopTop