Study of Liquid Viscosity Effects on Hydrodynamic Forces on an Oscillating Circular Cylinder Underwater Using OpenFOAM®
Abstract
:1. Introduction
2. Calculation Method and Numerical Verification
2.1. Calculation Method
2.2. Hydrodynamic Force on Structure
2.3. Verification of the Numerical Model
3. Preparation for Numerical Simulations of a Circular Cylinder Oscillating Underwater
3.1. Numerical Setup
3.2. Grid Dependency Test
4. Comparison of the Results and Analysis of the Forces and Flow Field
4.1. Hydrodynamic Force Results
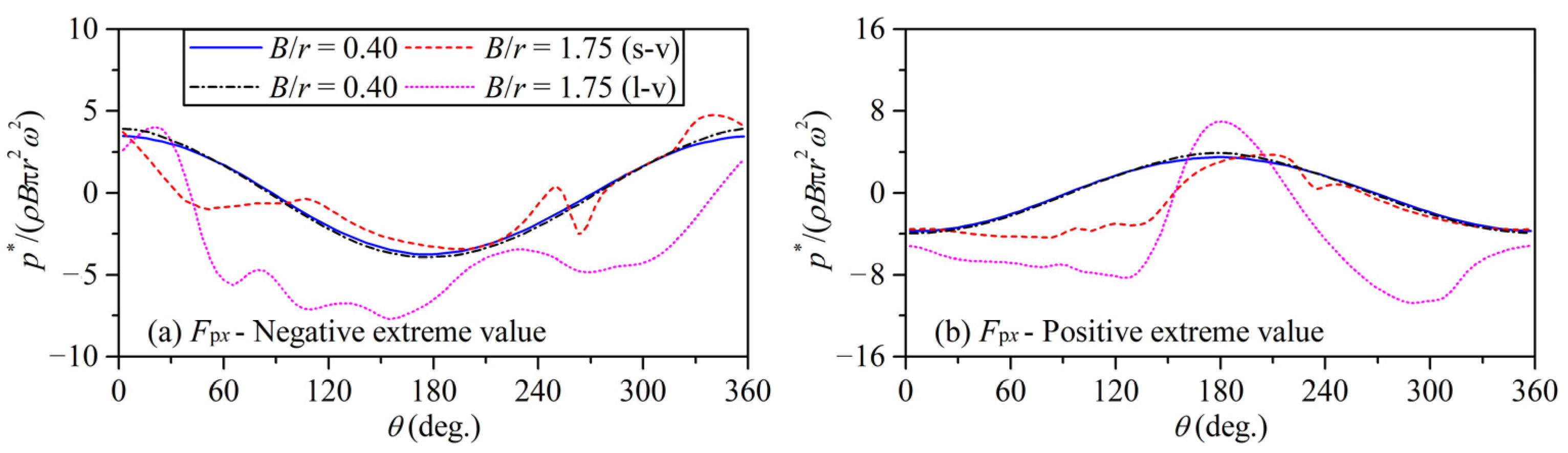
4.2. Resolution and Phase Relation of Force
4.3. Viscous Flow Fields around the Cylinder
5. Conclusions
- There is a significant difference among the groups of viscous fluid results and potential flow solutions for the fundamental frequency hydrodynamic forces along the harmonic motion direction. The reasons for the phenomenon are the different proportions of the viscous shear forces in the resultant forces and the different levels of vortex effects on the pressure forces.
- Because viscous shear forces take up a larger proportion of the resultant force, the zero-frequency, double-frequency, and triple-frequency hydrodynamic forces at the large amplitudes along the harmonic motion direction under the larger viscosity are larger than the other groups of results.
- The wave radiation caused the asymmetric distribution of the vortices in the vertical direction above and below the cylinder, and influences the pressure forces in the cases with horizontal harmonic motions. This reason results in the gaps among the results of the zero-frequency and the double-frequency vertical forces based on the different theories and various viscosities.
- Because the vortex motion is behind the cylinder motion, and the hysteresis is more significant under the larger liquid viscosity, the phase-hysteresis phenomenon in varying degrees is shown from the comparisons of the pressure forces among the groups of viscous fluid results and potential flow solutions.
- Due to the stronger hysteresis of the large-viscosity fluid flow, the viscous shear forces reach their extremums at the moment the fluid velocity remains in the opposite direction of the cylinder motion. Hence, compared with the results under the small liquid viscosity, the phase-advance phenomenon of the viscous shear forces is obvious under the larger liquid viscosity.
- Under the larger liquid viscosity, the more significant phase-hysteresis of the pressure forces and the larger contribution provided by the viscous shear forces results in the horizontal forces reaching the extremums at a certain moment when the cylinder moves from the oscillation endpoint to the center.
Author Contributions
Funding
Institutional Review Board Statement
Informed Consent Statement
Conflicts of Interest
References
- Wu, G.X. Hydrodynamic forces on a submerged circular cylinder undergoing large-amplitude motion. J. Fluid Mech. 1993, 254, 41–58. [Google Scholar] [CrossRef]
- Rahman, M.; Bhatta, D.D. Evaluation of added mass and damping coefficient of an oscillating circular cylinder. Appl. Math. Model. 1993, 17, 70–79. [Google Scholar] [CrossRef]
- Tyvand, P.A.; Miloh, T. Free-surface flow due to impulsive motion of a submerged circular cylinder. J. Fluid Mech. 1995, 286, 67–101. [Google Scholar] [CrossRef]
- Tyvand, P.A.; Miloh, T. Free-surface flow generated by a small submerged circular cylinder starting from rest. J. Fluid Mech. 1995, 286, 103–116. [Google Scholar] [CrossRef]
- Wu, G.X.; Eatock Taylor, R. Time stepping solutions of the two-dimensional non-linear wave radiation problem. Ocean Eng. 1995, 22, 785–798. [Google Scholar] [CrossRef]
- Greenhow, M.; Moyo, S. Water entry and exit of horizontal circular cylinders. Philos. Trans. R. Soc. 1997, A355, 551–563. [Google Scholar] [CrossRef]
- Liu, Y.M.; Zhu, Q.; Yue, D.K.P. Nonlinear radiated and diffracted waves due to the motions of a submerged circular cylinder. J. Fluid Mech. 1999, 382, 263–282. [Google Scholar] [CrossRef]
- Kent, C.P.; Choi, W. An explicit formulation for the evolution of nonlinear surface waves interacting with a submerged body. Int. J. Numer. Methods Fluids 2007, 55, 1019–1038. [Google Scholar] [CrossRef]
- Guerber, E.; Benoit, M.; Grilli, S.T.; Buvat, C. Modeling of fully nonlinear wave interactions with moving submerged structures. In Proceedings of the International Offshore and Polar Engineering Conference, Beijing, China, 20–25 June 2010; pp. 529–536. Available online: https://www.mendeley.com/catalogue/6952d253-6fcb-3338-b04f-b515f1db78b3/ (accessed on 8 August 2021).
- Guerber, E.; Benoit, M.; Grilli, S.T.; Buvat, C. A fully nonlinear implicit model for wave interactions with submerged structures in forced or free motion. Eng. Anal. Bound. Elem. 2012, 36, 1151–1163. [Google Scholar] [CrossRef] [Green Version]
- Guilmineau, E.; Queutey, P. A numerical simulation of vortex shedding from an oscillating circular cylinder. J. Fluids Struct. 2002, 16, 773–794. [Google Scholar] [CrossRef]
- Yang, S.J.; Chang, T.R.; Fu, W.S. Numerical simulation of flow structures around an oscillating rectangular cylinder in a channel flow. Comput. Mech. 2005, 35, 342–351. [Google Scholar] [CrossRef]
- Wu, Y.L.; Shu, C. Application of local DFD method to simulate unsteady flows around an oscillating circular cylinder. Int. J. Numer. Methods Fluids 2008, 58, 1223–1236. [Google Scholar] [CrossRef]
- Pham, A.H.; Lee, C.Y.; Seo, J.H.; Chun, H.H.; Kim, H.J.; Yoon, H.S.; Kim, J.H.; Park, D.W.; Park, I.R. Laminar flow past an oscillating circular cylinder in cross flow. J. Mar. Sci. Technol.-Taiwan 2010, 18, 361–368. [Google Scholar] [CrossRef]
- Peter, S.; De, A.K. Characteristics of the wake behind a transversely oscillating cylinder near a wall. J. Fluids Eng. 2017, 139, 031201. [Google Scholar] [CrossRef]
- Mittal, S. Three-dimensional instabilities in flow past a rotating cylinder. J. Appl. Mech. 2004, 71, 89–95. [Google Scholar] [CrossRef] [Green Version]
- Rao, A.; Leontini, J.; Thompson, M.C.; Hourigan, K. Three-dimensionality in the wake of a rotating cylinder in a uniform flow. J. Fluid Mech. 2013, 717, 1–29. [Google Scholar] [CrossRef]
- Wang, Q.; Kou, Y.F.; Zhu, R.Q.; Chen, H. 3D effects on vortex-shedding flow and hydrodynamic coefficients of a vertically oscillating cylinder with a bottom-attached disk. China Ocean Eng. 2017, 31, 428–437. [Google Scholar] [CrossRef]
- Jacono, D.L.; Bourguet, R.; Thompson, M.C.; Leontini, J.S. Three-dimensional mode selection of the flow past a rotating and inline oscillating cylinder. J. Fluid Mech. 2018, 855, R3. [Google Scholar] [CrossRef]
- Teng, B.; Mao, H.F.; Lu, L. Numerical simulation of nonlinear water wave action on submerged horizontal circular cylinder. In Proceedings of the Asia-Pacific Workshop on Marine Hydrodynamics, Vladivostok, Russia, 9–13 September 2014; Available online: http://ir.nsfc.gov.cn/handle/00001903-5/408901 (accessed on 8 August 2021).
- Teng, B.; Mao, H.F.; Lu, L. Viscous effects on wave forces on a submerged horizontal circular cylinder. China Ocean Eng. 2018, 32, 245–255. [Google Scholar] [CrossRef]
- Jiang, S.C.; Teng, B.; Bai, W.; Gou, Y. Numerical simulation of coupling effect between ship motion and liquid sloshing under wave action. Ocean Eng. 2015, 108, 140–454. [Google Scholar] [CrossRef]
- Chen, L.F.; Sun, L.; Zhang, J.; Hillis, A.J.; Plummer, A.R. Numerical study of roll motion of a 2-D floating structure in viscous flow. J. Hydrodyn. 2016, 28, 544–563. [Google Scholar] [CrossRef] [Green Version]
- Gao, J.L.; Zang, J.; Chen, L.F.; Chen, Q.; Ding, H.Y.; Liu, Y.Y. On hydrodynamic characteristics of gap resonance between two fixed bodies in close proximity. Ocean Eng. 2019, 173, 28–44. [Google Scholar] [CrossRef]
- Chen, L.F.; Taylor, P.H.; Draper, S.; Wolgamot, H. 3-D numerical modelling of greenwater loading on fixed ship-shaped FPSOs. J. Fluids Struct. 2019, 84, 283–301. [Google Scholar] [CrossRef]
- Teng, B.; Mao, H.F.; Ning, D.Z.; Zhang, C.W. Viscous numerical examination of hydrodynamic forces on a submerged horizontal circular cylinder undergoing forced oscillation. J. Hydrodyn. 2019, 31, 887–899. [Google Scholar] [CrossRef]
- Hsiao, Y.; Tsai, C.L.; Chen, Y.L.; Wu, H.L.; Hsiao, S.C. Simulation of wave-current interaction with a sinusoidal bottom using OpenFOAM. Appl. Ocean Res. 2020, 94, 101998. [Google Scholar] [CrossRef]
- Lu, L.; Tan, L.; Zhou, Z.B. Two-dimensional numerical study of gap resonance coupling with motions of floating body moored close to a bottom- mounted wall. Phys. Fluids 2020, 32, 092101. [Google Scholar] [CrossRef]
- Gao, J.L.; He, Z.W.; Zang, J.; Chen, Q.; Ding, H.Y.; Wang, G. Topographic effects on wave resonance in the narrow gap between fixed box and vertical wall. Ocean Eng. 2019, 180, 97–107. [Google Scholar] [CrossRef]
- Gao, J.L.; Zhou, X.J.; Zhou, L.; Zang, J.; Chen, H.Z. Numerical investigation on effects of fringing reefs on low-frequency oscillations within a harbor. Ocean Eng. 2019, 172, 86–95. [Google Scholar] [CrossRef]
- Gao, J.L.; He, Z.W.; Zang, J.; Chen, Q.; Ding, H.Y.; Wang, G. Numerical investigations of wave loads on fixed box in front of vertical wall with a narrow gap under wave actions. Ocean Eng. 2020, 206, 107–323. [Google Scholar] [CrossRef]
- Zhuang, Y.; Wan, D.C. Numerical simulation of ship motion fully coupled with sloshing tanks by naoe-FOAM-SJTU solver. Eng. Comput. 2019, 36, 2787–2810. [Google Scholar] [CrossRef]
- Chen, X.; Zhou, Y.L.; Wan, D.C. Numerical study of 3-D liquid sloshing in an elastic tank by MPS-FEM coupled method. J. Ship Res. 2019, 63, 143–153. [Google Scholar] [CrossRef] [Green Version]
- Liu, Z.H.; Zhuang, Y.; Wan, D.C. Numerical Study of Focused Wave Interactions with a Single-Point Moored Hemispherical-Bottomed Buoy. Int. J. Offshore Polar Eng. 2020, 30, 53–61. [Google Scholar] [CrossRef]
- Chen, H.F.; Zou, Q.P. Effects of following and opposing vertical current shear on nonlinear wave interactions. Appl. Ocean Res. 2019, 89, 23–25. [Google Scholar] [CrossRef]
- Weller, H.G.; Tabor, G.; Jasak, H.; Fureby, C. A tensorial approach to computational continuum mechanics using object oriented techniques. J. Comput. Phys. 1998, 12, 620–631. [Google Scholar] [CrossRef]
- Jacobsen, N.G.; Fuhrman, D.R.; Fredsøe, J. A wave generation toolbox for the open-source CFD library: OpenFOAM. Int. J. Numer. Methods Fluids 2012, 70, 1073–1088. [Google Scholar] [CrossRef]
- Chaplin, J.R. Non-linear forces on a horizontal cylinder beneath waves. J. Fluid Mech. 1984, 147, 449–464. [Google Scholar] [CrossRef]
- Fenton, J.D. A fifth-order Stokes theory for steady waves. J. Waterw. Port Coast. Ocean Eng. 1985, 111, 216–234. [Google Scholar] [CrossRef] [Green Version]
- Sarpkaya, T.; Isaacson, M.; Wehausen, J.V. Mechanics of Wave Forces on Offshore Structures. J. Appl. Mech. 1982, 49, 466–467. [Google Scholar] [CrossRef]
- Zhou, B.Z.; Ning, D.Z.; Teng, B.; Song, W.H. The numerical simulation of fully nonlinear deep-water waves. Acta Oceanol. Sin. 2011, 33, 27–35. [Google Scholar]

















| Case | B/r | Kc | υ = 1.0 × 10−6 (m2/s) | υ = 1.0 × 10−4 (m2/s) | ||
|---|---|---|---|---|---|---|
| kr = 0.1 | kr = 1.0 | kr = 0.1 | kr = 1.0 | |||
| ω = 3.31 rad/s | ω = 9.90 rad/s | ω = 3.31 rad/s | ω = 9.90 rad/s | |||
| β = 1.0 × 104 | β = 3.14 × 104 | β = 1.0 × 102 | β = 3.14 × 102 | |||
| Re | Re | Re | Re | |||
| 1 | 0.20 | 0.63 | 6.26 × 103 | 1.98 × 104 | 6.26 × 10 | 1.98 × 102 |
| 2 | 0.40 | 1.26 | 1.25 × 104 | 3.96 × 104 | 1.25 × 102 | 3.96 × 102 |
| 3 | 0.60 | 1.88 | 1.88 × 104 | 5.94 × 104 | 1.88 × 102 | 5.94 × 102 |
| 4 | 0.80 | 2.51 | 2.51 × 104 | 7.92 × 104 | 2.51 × 102 | 7.92 × 102 |
| 5 | 1.00 | 3.14 | 3.13 × 104 | 9.90 × 104 | 3.13 × 102 | 9.90 × 102 |
| 6 | 1.25 | 3.93 | 3.92 × 104 | 1.24 × 105 | 3.92 × 102 | 1.24 × 103 |
| 7 | 1.50 | 4.71 | 4.70 × 104 | 1.49 × 105 | 4.70 × 102 | 1.49 × 103 |
| 8 | 1.75 | 5.50 | 5.48 × 104 | 1.73 × 105 | 5.48 × 102 | 1.73 × 103 |
| Mesh | N-L | N-H | N-S | N-R | N-T |
|---|---|---|---|---|---|
| M1 | 30 | 6 | 24 | 8 | 2.57 × 104 |
| M2 | 60 | 12 | 60 | 12 | 9.46 × 104 |
| M3 | 100 | 20 | 120 | 24 | 2.18 × 105 |
| M4 | 120 | 24 | 160 | 32 | 3.22 × 105 |
Publisher’s Note: MDPI stays neutral with regard to jurisdictional claims in published maps and institutional affiliations. |
© 2021 by the authors. Licensee MDPI, Basel, Switzerland. This article is an open access article distributed under the terms and conditions of the Creative Commons Attribution (CC BY) license (https://creativecommons.org/licenses/by/4.0/).
Share and Cite
Mao, H.; He, Y.; Wu, G.; Lin, J.; Ji, R. Study of Liquid Viscosity Effects on Hydrodynamic Forces on an Oscillating Circular Cylinder Underwater Using OpenFOAM®. Symmetry 2021, 13, 1806. https://doi.org/10.3390/sym13101806
Mao H, He Y, Wu G, Lin J, Ji R. Study of Liquid Viscosity Effects on Hydrodynamic Forces on an Oscillating Circular Cylinder Underwater Using OpenFOAM®. Symmetry. 2021; 13(10):1806. https://doi.org/10.3390/sym13101806
Chicago/Turabian StyleMao, Hongfei, Yanli He, Guanglin Wu, Jinbo Lin, and Ran Ji. 2021. "Study of Liquid Viscosity Effects on Hydrodynamic Forces on an Oscillating Circular Cylinder Underwater Using OpenFOAM®" Symmetry 13, no. 10: 1806. https://doi.org/10.3390/sym13101806
APA StyleMao, H., He, Y., Wu, G., Lin, J., & Ji, R. (2021). Study of Liquid Viscosity Effects on Hydrodynamic Forces on an Oscillating Circular Cylinder Underwater Using OpenFOAM®. Symmetry, 13(10), 1806. https://doi.org/10.3390/sym13101806

