Non-Extensive Thermodynamics Effects in the Cosmology of f(T) Gravity
Abstract
1. Introduction
Historical Review and Introductory Remarks
2. Essential Features of Gravity
- Torsion tensorwhere is the covariant form of the tetrad field in the four dimensional spacetime and its dual, which is the contravariant one, is given by . It is well-known that tetrad fields transform to a locally Lorentz frame, and the standard definition of the torsion is the anti–commutation of the connection coefficients. From the covariant and contravariant tetrads, we can define the orthogonality conditions as follows,
- Contortion TensorThe contortion tensor is skew symmetric in its first pair of indices as it is clear from Equation (10).
- Superpotentialwhich is a skew symmetric in the last pair of indices.
3. Including Non-Extensive Thermodynamics Effects in Gravity
- The Black Hole entropyThe black hole entropy, namely the Bekenstein−Hawking entropy, is defined as follows [81],which is also known as the horizon entropy. Equation (23) is totally proportional to the area A of the apparent horizon (), with the radius of the horizon being defined as , where H is the Hubble parameter. For the non-flat case the radius of the horizon takes the form [82],
- Entropy and Linkage
3.1. Late-Time Evolution of the Universe
3.2. Evolution Including Relativistic Matter
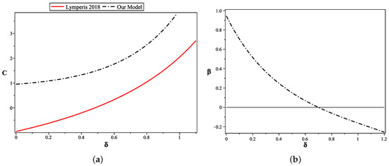
3.3. The Distance Modulus within Non-Extensive -Gravity
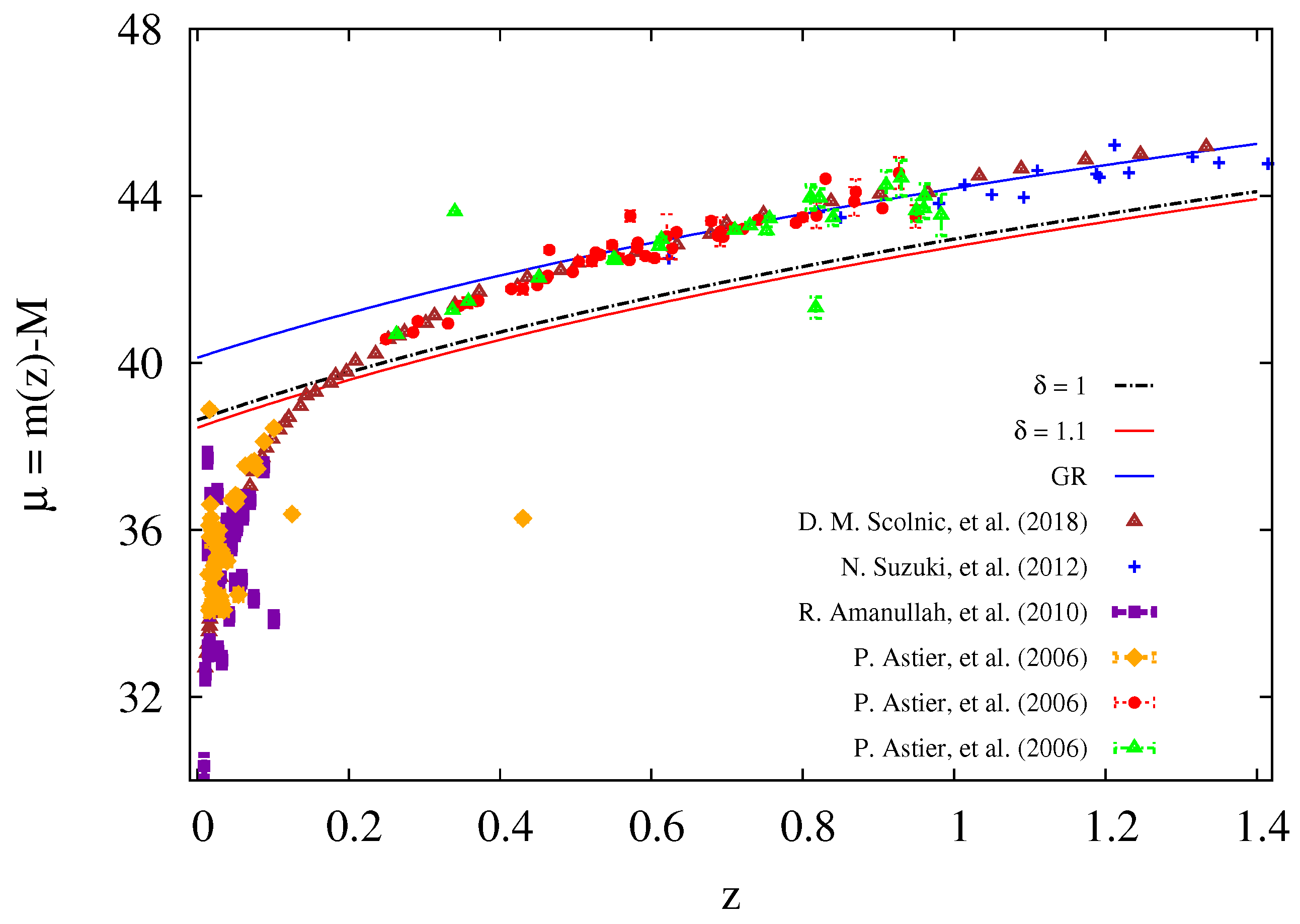
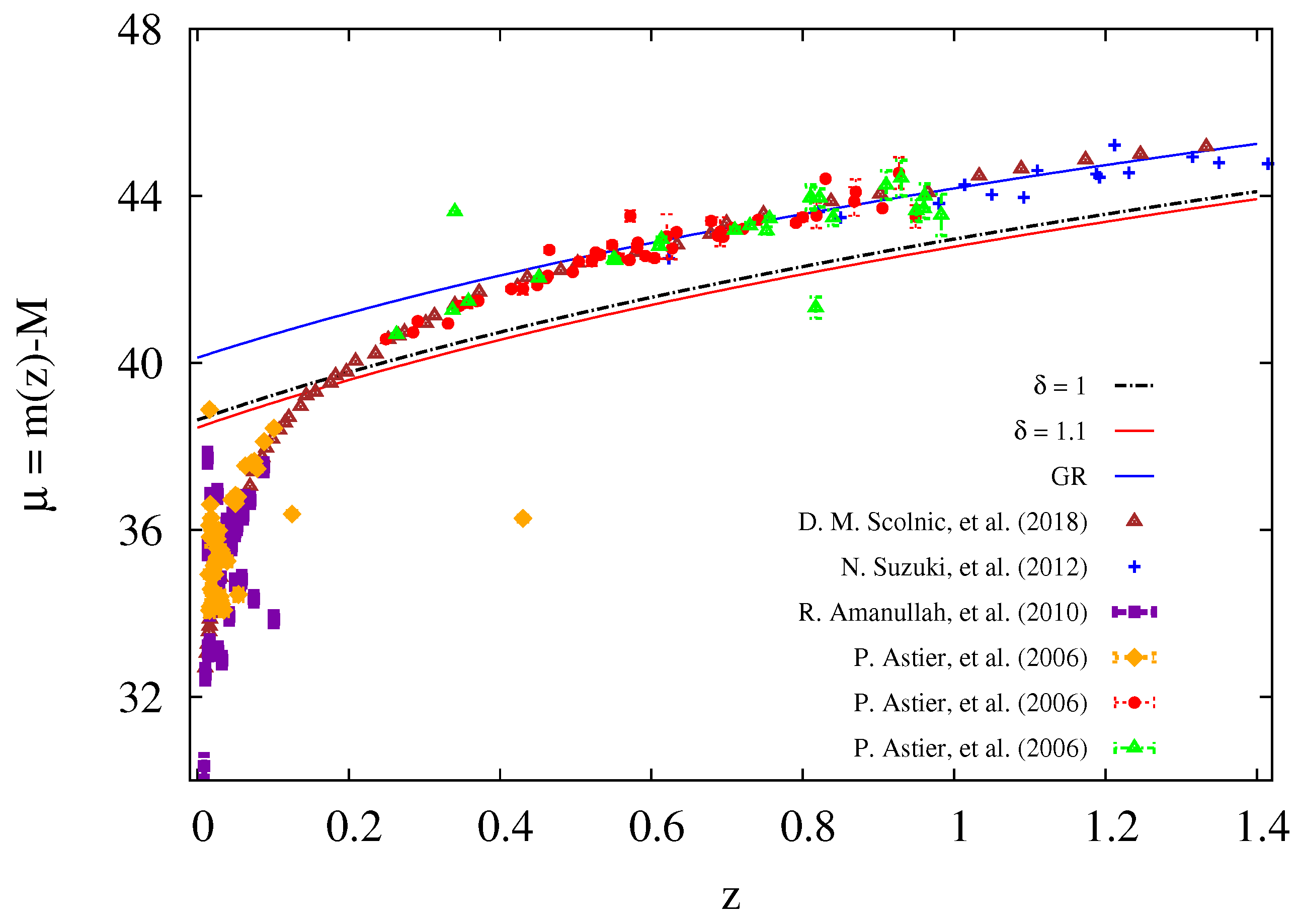
4. Results of Our Numerical Analysis and Confrontation with the Observations
5. Conclusions
Author Contributions
Funding
Institutional Review Board Statement
Informed Consent Statement
Data Availability Statement
Conflicts of Interest
References
- Boltzmann, L. Weitere Studien über das Wärmegleichgewicht unter Gasmolekülen; Springer: Berlin/Heidelberg, Germany, 1970; pp. 115–225. [Google Scholar]
- Gibbs, J.W. Elementary Principles in Statistical Mechanics: Developed with Especial Reference to the Rational Foundations of Thermodynamics; C. Scribner’s Sons: New York, NY, USA, 1902. [Google Scholar]
- Reif, F. Fundamentals of Statistical and Thermal Physics; Waveland Press, Inc.: Long Grove, IL, USA, 2009. [Google Scholar]
- Tsallis, C. Possible generalization of Boltzmann-Gibbs statistics. J. Stat. Phys. 1988, 52, 479–487. [Google Scholar] [CrossRef]
- Tsallis, C. Introduction to Nonextensive Statistical Mechanics: Approaching a Complex World; Springer Science & Business Media: New York, NY, USA, 2009. [Google Scholar]
- Umarov, S.; Tsallis, C. On multivariate generalizations of the q-central limit theorem consistent with nonextensive statistical mechanics. In Complexity, Metastability, and Nonextensivity; Abe, S., Herrmann, H., Quarati, P., Rapisarda, A., Tsallis, C., Eds.; American Institute of Physics Conference Series; American Institute of Physics: College Park, MD, USA, 2007; Volume 965, pp. 34–42. [Google Scholar]
- Rath, R.; Tripathy, S.; Chatterjee, B.; Sahoo, R.; Kumar Tiwari, S.; Nath, A. Violation of Wiedemann-Franz Law for Hot Hadronic Matter created at NICA, FAIR and RHIC Energies using Non-extensive Statistics. Eur. Phys. J. A 2019, 55, 125. [Google Scholar] [CrossRef]
- Tsallis, C. Nonextensive statistical mechanics: A brief review of its present status. arXiv 2002, arXiv:cond-mat/0205571. [Google Scholar] [CrossRef]
- Tsallis, C. Computational applications of nonextensive statistical mechanics. J. Comput. Appl. Math. 2009, 227, 51–58. [Google Scholar] [CrossRef]
- Gell-Mann, M. The Quark and the Jaguar: Adventures in the Simple and the Complex; Macmillan: New York, NY, USA, 1995. [Google Scholar]
- Holovatch, Y.; Kenna, R.; Thurner, S. Complex systems: Physics beyond physics. Eur. J. Phys. 2017, 38, 023002. [Google Scholar] [CrossRef]
- Tsallis, C. Nonextensive statistical mechanics: Applications to high energy physics. Eur. Phys. J. Web Conf. 2011, 13, 05001. [Google Scholar] [CrossRef]
- Plastino, A.; Plastino, A. Stellar polytropes and Tsallis’ entropy. Phys. Lett. A 1993, 174, 384–386. [Google Scholar] [CrossRef]
- Plastino, A.; Plastino, A.R. Tsallis entropy and Jaynes’ Information Theory formalism. Braz. J. Phys. 1999, 29, 50–60. [Google Scholar] [CrossRef]
- Plastino, A.R. Sq entropy and selfgravitating systems. Europhys. News 2005, 36, 208–210. [Google Scholar] [CrossRef][Green Version]
- Megías, E.; Menezes, D.P.; Deppman, A. Nonextensive thermodynamics with finite chemical potentials and protoneutron stars. Eur. Phys. J. Web Conf. 2014, 80, 40. [Google Scholar] [CrossRef]
- Abe, S.; Okamoto, Y. Nonextensive Statistical Mechanics and Its Applications; Springer Science & Business Media: Berlin/Heidelberg, Germany, 2001; Volume 560. [Google Scholar]
- Riess, A.G.; Strolger, L.G.; Tonry, J.; Casertano, S.; Ferguson, H.C.; Mobasher, B.; Chornock, R. Type Ia supernova discoveries at z > 1 from the Hubble Space Telescope: Evidence for past deceleration and constraints on dark energy evolution. Astrophys. J. 2004, 607, 665–687. [Google Scholar] [CrossRef]
- Rubin, V.C.; Ford, W.K., Jr.; Thonnard, N. Extended rotation curves of high-luminosity spiral galaxies. IV. Systematic dynamical properties, Sa -> Sc. Astrophys. J. 1978, 225, L107–L111. [Google Scholar] [CrossRef]
- Faber, S.M.; Gallagher, J.S. Masses and mass-to-light ratios of galaxies. Annu. Rev. Astron. Astrophys. 1979, 17, 135–187. [Google Scholar] [CrossRef]
- Fabricant, D.; Lecar, M.; Gorenstein, P. X-ray measurements of the mass of M 87. Astrophys. J. 1980, 241, 552–560. [Google Scholar] [CrossRef]
- Abbott, R.; Abbott, T.D.; Abraham, S.; Acernese, F.; Ackley, K.; Adams, C.; Agatsuma, K. GW190521: A Binary Black Hole Merger with a Total Mass of 150M⊙. Phys. Rev. Lett. 2020, 125, 101102. [Google Scholar] [CrossRef]
- Abbott, R.; Abbott, T.D.; Abraham, S.; Acernese, F.; Ackley, K.; Adams, C.; Agatsuma, K. GW190814: Gravitational Waves from the Coalescence of a 23 Solar Mass Black Hole with a 2.6 Solar Mass Compact Object. Astrophys. J. Lett. 2020, 896, L44. [Google Scholar] [CrossRef]
- Astashenok, A.V.; Capozziello, S.; Odintsov, S.D.; Oikonomou, V.K. Extended Gravity Description for the GW190814 Supermassive Neutron Star. Phys. Lett. B 2020, 811, 135910. [Google Scholar] [CrossRef]
- Nashed, G.G.L.; Capozziello, S. Charged spherically symmetric black holes in f(R) gravity and their stability analysis. Phys. Rev. 2019, 99, 104018. [Google Scholar] [CrossRef]
- Elizalde, E.; Nashed, G.; Nojiri, S.; Odintsov, S. Spherically symmetric black holes with electric and magnetic charge in extended gravity: Physical properties, causal structure, and stability analysis in Einstein’s and Jordan’s frames. Eur. Phys. J. C 2020, 80, 109. [Google Scholar] [CrossRef]
- Nashed, G.; Hanafy, W.E.; Odintsov, S.; Oikonomou, V. Thermodynamical correspondence of f(R) gravity in Jordan and Einstein frames. arXiv 2019, arXiv:1912.03897. [Google Scholar]
- Unzicker, A.; Case, T. Translation of Einstein’s Attempt of a Unified Field Theory with Teleparallelism. arXiv 2005, arXiv:physics/0503046. [Google Scholar]
- De Andrade, V.; Guillen, L.; Pereira, J. Teleparallel gravity: An Overview. In Proceedings of the 9th Marcel Grossmann Meeting on Recent Developments in Theoretical and Experimental General Relativity, Gravitation and Relativistic Field Theories (MG 9), Rome, Italy, 2–8 July 2000. [Google Scholar]
- Nashed, G. Charged and Non-Charged Black Hole Solutions in Mimetic Gravitational Theory. Symmetry 2018, 10, 559. [Google Scholar] [CrossRef]
- Aldrovandi, R.; Pereira, J.; Vu, K. Selected topics in teleparallel gravity. Braz. J. Phys. 2004, 34, 1374–1380. [Google Scholar] [CrossRef]
- Maluf, J.W. The teleparallel equivalent of general relativity. Ann. Phys. 2013, 525, 339–357. [Google Scholar] [CrossRef]
- Shirafuji, T.; Nashed, G.G.L.; Hayashi, K. Energy of General Spherically Symmetric Solution in the Tetrad Theory of Gravitation. Prog. Theor. Phys. 1996, 95, 665–678. [Google Scholar] [CrossRef]
- De Andrade, V.C.; Pereira, J.G. Gravitational Lorentz force and the description of the gravitational interaction. Phys. Rev. D 1997, 56, 4689–4695. [Google Scholar] [CrossRef]
- El Hanafy, W.; Nashed, G.G.L. Exact teleparallel gravity of binary black holes. Astrophys. Space Sci. 2016, 361, 68. [Google Scholar] [CrossRef]
- Nashed, G.G.L.; Capozziello, S. Magnetic black holes in Weitzenböck geometry. Gen. Relativ. Gravit. 2019, 51, 50. [Google Scholar] [CrossRef]
- Nashed, G. Charged axially symmetric solution and energy in teleparallel theory equivalent to general relativity. Eur. Phys. J. C 2006, 49, 851–857. [Google Scholar] [CrossRef]
- Nashed, G.G.L.; Shirafuji, T. Reissner—NordströM Space—Time in The Tetrad Theory Of Gravitation. Int. J. Mod. Phys. D 2007, 16, 65–79. [Google Scholar] [CrossRef]
- Ulhoa, S.C.; Da Rocha Neto, J.F.; Maluf, J.W. The Gravitational Energy Problem for Cosmological Models in Teleparallel Gravity. Int. J. Mod. Phys. D 2010, 19, 1925–1935. [Google Scholar] [CrossRef]
- Capozziello, S.; Cardone, V.F.; Farajollahi, H.; Ravanpak, A. Cosmography in f(T) gravity. Phys. Rev. D 2011, 84. [Google Scholar] [CrossRef]
- Nojiri, S.; Odintsov, S.D. Unified cosmic history in modified gravity: From theory to Lorentz non-invariant models. Phys. Rep. 2011, 505, 59–144. [Google Scholar] [CrossRef]
- Nojiri, S.; Odintsov, S.D. Introduction to Modified Gravity and Gravitational Alternative for Dark Energy. Int. J. Geom. Methods Mod. Phys. 2007, 4, 115–145. [Google Scholar] [CrossRef]
- Nojiri, S.; Odintsov, S.; Oikonomou, V. Modified gravity theories on a nutshell: Inflation, bounce and late-time evolution. Phys. Rep. 2017, 692, 1–104. [Google Scholar] [CrossRef]
- Bengochea, G.R. Observational information for f(T) theories and Dark Torsion. Phys. Lett. B 2011, 695, 405–411. [Google Scholar] [CrossRef]
- Karami, K.; Abdolmaleki, A. f(T) modified teleparallel gravity as an alternative for holographic and new agegraphic dark energy models. Res. Astron. Astrophys. 2013, 13, 757–771. [Google Scholar] [CrossRef]
- Dent, J.B.; Dutta, S.; Saridakis, E.N. f(T) gravity mimicking dynamical dark energy. Background and perturbation analysis. J. Cosmol. Astropart. Phys. 2011, 2011, 9. [Google Scholar] [CrossRef]
- Cai, Y.F.; Chen, S.H.; Dent, J.B.; Dutta, S.; Saridakis, E.N. Matter bounce cosmology with the f(T) gravity. Class. Quantum Gravity 2011, 28, 215011. [Google Scholar] [CrossRef]
- Awad, A.M.; Capozziello, S.; Nashed, G.G.L. D-dimensional charged Anti-de-Sitter black holes in f(T) gravity. J. High Energy Phys. 2017, 7, 136. [Google Scholar] [CrossRef]
- Nashed, G.G.L. A special exact spherically symmetric solution in f(T) gravity theories. Gen. Relativ. Gravit. 2013, 45, 1887–1899. [Google Scholar] [CrossRef]
- Shirafuji, T.; Nashed, G.G.L. Energy and momentum in the tetrad theory of gravitation. Prog. Theor. Phys. 1997, 98, 1355–1370. [Google Scholar] [CrossRef]
- Mai, Z.F.; Lü, H. Black holes, dark wormholes, and solitons in f(T) gravities. Phys. Rev. D 2017, 95, 124024. [Google Scholar] [CrossRef]
- Ferraro, R.; Fiorini, F. Born-Infeld gravity in Weitzenböck spacetime. Phys. Rev. D 2008, 78, 124019. [Google Scholar] [CrossRef]
- Fiorini, F.; Ferraro, R. A Type Of Born-Infeld Regular Gravity And Its Cosmological Consequences. Int. J. Mod. Phys. A 2009, 24, 1686–1689. [Google Scholar] [CrossRef]
- Cardone, V.F.; Radicella, N.; Camera, S. Accelerating f(T) gravity models constrained by recent cosmological data. Phys. Rev. D 2012, 85, 124007. [Google Scholar] [CrossRef]
- Myrzakulov, R. Accelerating universe from f(T) gravity. Eur. Phys. J. C 2011, 71. [Google Scholar] [CrossRef]
- Yang, R.J. New types of f(T) gravity. Eur. Phys. J. C 2011, 71, 1752. [Google Scholar] [CrossRef]
- Bamba, K.; Odintsov, S.D.; Sáez-Gómez, D. Conformal symmetry and accelerating cosmology in teleparallel gravity. Phys. Rev. D 2013, 88, 084042. [Google Scholar] [CrossRef]
- Camera, S.; Cardone, V.F.; Radicella, N. Detectability of torsion gravity via galaxy clustering and cosmic shear measurements. Phys. Rev. D 2014, 89, 083520. [Google Scholar] [CrossRef]
- Nashed, G.L. FRW in quadratic form of f(T) gravitational theories. Gen. Relativ. Gravit. 2015, 47, 75. [Google Scholar] [CrossRef]
- Nashed, G.G.L. Spherically symmetric charged-dS solution in f(T) gravity theories. Phys. Rev. D 2013, 88, 104034. [Google Scholar] [CrossRef]
- Wang, T. Static solutions with spherical symmetry in f(T) theories. Phys. Rev. D 2011, 84, 024042. [Google Scholar] [CrossRef]
- Maluf, J.W. Hamiltonian formulation of the teleparallel description of general relativity. J. Math. Phys. 1994, 35, 335–343. [Google Scholar] [CrossRef]
- Arcos, H.I.; Pereira, J.G. Torsion Gravity. Int. J. Mod. Phys. D 2004, 13, 2193–2240. [Google Scholar] [CrossRef]
- Aldrovandi, R.; Pereira, J.G. Teleparallel Gravity: An Introduction; Springer Science & Business Media: Berlin/Heidelberg, Germany, 2012; Volume 173. [Google Scholar]
- Li, B.; Sotiriou, T.P.; Barrow, J.D. f(T) gravity and local Lorentz invariance. Phys. Rev. 2011, 83, 064035. [Google Scholar] [CrossRef]
- Sotiriou, T.P.; Li, B.; Barrow, J.D. Generalizations of teleparallel gravity and local Lorentz symmetry. Phys. Rev. D 2011, 83. [Google Scholar] [CrossRef]
- Hayashi, K.; Shirafuji, T. New general relativity. Phys. Rev. D 1979, 19, 3524–3553. [Google Scholar] [CrossRef]
- Capozziello, S.; De Laurentis, M. Extended Theories of Gravity. Phys. Rep. 2011, 509, 167–321. [Google Scholar] [CrossRef]
- Riess, A.G.; Filippenko, A.V.; Challis, P.; Clocchiatti, A.; Diercks, A.; Garnavich, P.M.; Leibundgut, B.R.U.N.O. Observational evidence from supernovae for an accelerating universe and a cosmological constant. Astron. J. 1998, 116, 1009–1038. [Google Scholar] [CrossRef]
- Perlmutter, S.; Aldering, G.; Goldhaber, G.; Knop, R.A.; Nugent, P.; Castro, P.G.; Hook, I.M. Measurements of Ω and Λ from 42 high redshift supernovae. Astrophys. J. 1999, 517, 565–586. [Google Scholar] [CrossRef]
- Nojiri, S.; Odintsov, S.D. Modified gravity with negative and positive powers of the curvature: Unification of the inflation and of the cosmic acceleration. Phys. Rev. D 2003, 68, 123512. [Google Scholar] [CrossRef]
- Odintsov, S.; Oikonomou, V. Unification of Inflation with Dark Energy in f(R) Gravity and Axion Dark Matter. Phys. Rev. D 2019, 99, 104070. [Google Scholar] [CrossRef]
- Odintsov, S.; Oikonomou, V. Geometric Inflation and Dark Energy with Axion F(R) Gravity. Phys. Rev. D 2020, 101, 044009. [Google Scholar] [CrossRef]
- Cai, Y.F.; Capozziello, S.; De Laurentis, M.; Saridakis, E.N. f(T) teleparallel gravity and cosmology. Rep. Prog. Phys. 2016, 79, 106901. [Google Scholar] [CrossRef] [PubMed]
- Bengochea, G.R.; Ferraro, R. Dark torsion as the cosmic speed-up. Phys. Rev. D 2009, 79, 124019. [Google Scholar] [CrossRef]
- Linder, E.V. Einstein’s Other Gravity and the Acceleration of the Universe. Phys. Rev. D 2010, 81, 127301. [Google Scholar] [CrossRef]
- Nunes, R.C. Structure formation in f(T) gravity and a solution for H0 tension. J. Cosmol. Astropart. Phys. 2018, 5, 52. [Google Scholar] [CrossRef]
- Einstein, A. On a stationary system with spherical symmetry consisting of many gravitating masses. Ann. Math. 1939, 40, 922–936. [Google Scholar] [CrossRef]
- Awad, A.; El Hanafy, W.; Nashed, G.; Saridakis, E.N. Phase Portraits of general f(T) Cosmology. J. Cosmol. Astropart. Phys. 2018, 2, 52. [Google Scholar] [CrossRef]
- Nashed, G.; El Hanafy, W. A Built-in Inflation in the f(T)-Cosmology. Eur. Phys. J. C 2014, 74, 3099. [Google Scholar] [CrossRef]
- Hawking, S.W. Black holes and thermodynamics. Phys. Rev. D 1976, 13, 191. [Google Scholar] [CrossRef]
- Bamba, K.; Geng, C.Q. Thermodynamics of cosmological horizons in f(T) gravity. J. Cosmol. Astropart. Phys. 2011, 1111, 008. [Google Scholar] [CrossRef]
- Wald, R.M. Black hole entropy is the Noether charge. Phys. Rev. D 1993, 48, R3427–R3431. [Google Scholar] [CrossRef] [PubMed]
- Iyer, V.; Wald, R.M. Some properties of the Noether charge and a proposal for dynamical black hole entropy. Phys. Rev. D 1994, 50, 846–864. [Google Scholar] [CrossRef] [PubMed]
- Gu, W.; Li, M.; Miao, R.X. A New Entropic Force Scenario and Holographic Thermodynamics. Sci. China Phys. Mech. Astron. 2011, 54, 1915–1924. [Google Scholar] [CrossRef][Green Version]
- Miao, R.X.; Li, M.; Miao, Y.G. Violation of the first law of black hole thermodynamics in f(T) gravity. J. Cosmol. Astropart. Phys. 2011, 11, 033. [Google Scholar] [CrossRef]
- Tsallis, C.; Baldovin, F.; Cerbino, R.; Pierobon, P. Introduction to Nonextensive Statistical Mechanics and Thermodynamics. arXiv 2003, arXiv:cond-mat/0309093. [Google Scholar]
- Lyra, M.L.; Tsallis, C. Nonextensivity and Multifractality in Low-Dimensional Dissipative Systems. Phys. Rev. Lett. 1998, 80, 53–56. [Google Scholar] [CrossRef]
- Tsallis, C.; Cirto, L.J. Black hole thermodynamical entropy. Eur. Phys. J. C 2013, 73, 2487. [Google Scholar] [CrossRef]
- Cai, R.G.; Kim, S.P. First law of thermodynamics and Friedmann equations of Friedmann-Robertson-Walker universe. J. High Energy Phys. 2005, 2, 050. [Google Scholar] [CrossRef]
- Lymperis, A.; Saridakis, E.N. Modified cosmology through nonextensive horizon thermodynamics. Eur. Phys. J. C 2018, 78, 993. [Google Scholar] [CrossRef]
- Hamilton, A.J. General Relativity, Black Holes, and Cosmology. 2018. Available online: https://jila.colorado.edu/~ajsh/astr3740_17/grbook.pdf (accessed on 1 January 2021).
- Roos, M. Introduction to Cosmology; John Wiley & Sons: Hoboken, NJ, USA, 2015. [Google Scholar]
- Azmi, M.; Cleymans, J. The Tsallis Distribution at Large Transverse Momenta. Eur. Phys. J. C 2015, 75, 430. [Google Scholar] [CrossRef]
- Cleymans, J.; Lykasov, G.; Parvan, A.; Sorin, A.; Teryaev, O.; Worku, D. Systematic properties of the Tsallis distribution: Energy dependence of parameters in high energy p–p collisions. Phys. Lett. B 2013, 723, 351–354. [Google Scholar] [CrossRef]
- Aghanim, N.; Akrami, Y.; Ashdown, M.; Aumont, J.; Baccigalupi, C.; Ballardini, M.; Battye, R. Planck 2018 results. VI. Cosmological parameters. Astron. Astrophys. 2018, 641, A6. [Google Scholar]
- Ade, P.; Aghanim, N.; Arnaud, M.; Ashdown, M.; Aumont, J.; Baccigalupi, C.; Battaner, E. Planck 2015 results. XIII. Cosmological parameters. Astron. Astrophys. 2016, 594, A13. [Google Scholar] [CrossRef]
- Suzuki, N.; Rubin, D.; Lidman, C.; Aldering, G.; Amanullah, R.; Barbary, K.; Barrientos, L.F.; Botyanszki, J.; Brodwin, M.; Connolly, N.; et al. The Hubble Space Telescope Cluster Supernova Survey. V. Improving the Dark-energy Constraints above z > 1 and Building an Early-type-hosted Supernova Sample. Astrophys. J. 2012, 746, 85. [Google Scholar] [CrossRef]
- Amanullah, R.; Lidman, C.; Rubin, D.; Aldering, G.; Astier, P.; Barbary, K.; Burns, M.S.; Conley, A.; Dawson, K.S.; Deustua, S.E.; et al. Spectra and Hubble Space Telescope Light Curves of Six Type Ia Supernovae at 0.511 < z < 1.12 and the Union2 Compilation. Astrophys. J. 2010, 716, 712–738. [Google Scholar] [CrossRef]
- Astier, P.; Guy, J.; Regnault, N.; Pain, R.; Aubourg, E.; Balam, D.; Basa, S.; Carlberg, R.G.; Fabbro, S.; Fouchez, D.; et al. The Supernova Legacy Survey: Measurement of ΩM, ΩΛ and w from the first year data set. Astron. Astrophys. 2006, 447, 31–48. [Google Scholar] [CrossRef]
- Scolnic, D.; Jones, D.O.; Rest, A.; Pan, Y.C.; Chornock, R.; Foley, R.J.; Rodney, S. The Complete Light-curve Sample of Spectroscopically Confirmed SNe Ia from Pan-STARRS1 and Cosmological Constraints from the Combined Pantheon Sample. Astrophys. J. 2018, 859, 101. [Google Scholar] [CrossRef]
- Riess, A.G.; Strolger, L.G.; Casertano, S.; Ferguson, H.C.; Mobasher, B.; Gold, B.; Challis, P.J.; Filippenko, A.V.; Jha, S.; Li, W.; et al. New Hubble space telescope discoveries of type Ia supernovae at z ≥ 1: Narrowing constraints on the early behavior of dark energy. Astrophys. J. 2007, 659, 98. [Google Scholar] [CrossRef]
- Nesseris, S.; Basilakos, S.; Saridakis, E.; Perivolaropoulos, L. Viable f(T) models are practically indistinguishable from ΛCDM. Phys. Rev. D 2013, 88, 103010. [Google Scholar] [CrossRef]
- Nunes, R.C.; Pan, S.; Saridakis, E.N. New observational constraints on f(T) gravity from cosmic chronometers. J. Cosmol. Astropart. Phys. 2016, 8, 11. [Google Scholar] [CrossRef]
- Basilakos, S.; Nesseris, S.; Anagnostopoulos, F.; Saridakis, E. Updated constraints on f(T) models using direct and indirect measurements of the Hubble parameter. J. Cosmol. Astropart. Phys. 2018, 8, 8. [Google Scholar] [CrossRef]
- Bamba, K.; Nashed, G.G.L.; El Hanafy, W.; Ibraheem, S.K. Bounce inflation in f(T) Cosmology: A unified inflaton-quintessence field. Phys. Rev. 2016, 94, 083513. [Google Scholar] [CrossRef]





Publisher’s Note: MDPI stays neutral with regard to jurisdictional claims in published maps and institutional affiliations. |
© 2021 by the authors. Licensee MDPI, Basel, Switzerland. This article is an open access article distributed under the terms and conditions of the Creative Commons Attribution (CC BY) license (http://creativecommons.org/licenses/by/4.0/).
Share and Cite
Shalaby, A.G.; Oikonomou, V.K.; Nashed, G.G.L. Non-Extensive Thermodynamics Effects in the Cosmology of f(T) Gravity. Symmetry 2021, 13, 75. https://doi.org/10.3390/sym13010075
Shalaby AG, Oikonomou VK, Nashed GGL. Non-Extensive Thermodynamics Effects in the Cosmology of f(T) Gravity. Symmetry. 2021; 13(1):75. https://doi.org/10.3390/sym13010075
Chicago/Turabian StyleShalaby, Asmaa G., Vasilis K. Oikonomou, and Gamal G. L. Nashed. 2021. "Non-Extensive Thermodynamics Effects in the Cosmology of f(T) Gravity" Symmetry 13, no. 1: 75. https://doi.org/10.3390/sym13010075
APA StyleShalaby, A. G., Oikonomou, V. K., & Nashed, G. G. L. (2021). Non-Extensive Thermodynamics Effects in the Cosmology of f(T) Gravity. Symmetry, 13(1), 75. https://doi.org/10.3390/sym13010075

