Possible Physical Basis of Mirror Symmetry Effect in Racemic Mixtures of Enantiomers: From Wallach’s Rule, Nonlinear Effects, B–Z DNA Transition, and Similar Phenomena to Mirror Symmetry Effects of Chiral Objects
Abstract
1. Introduction
2. Wallach’s Rule
3. Chiral Superstructures from Achiral Molecules, Chiral and Racemic Fields
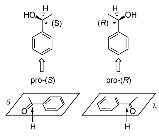
4. Nonlinear Effects, Asymmetric Induction and Chiral Adsorption
5. Possible Physical Background of Wallach’s Rule and Similar Phenomena
6. B–Z DNA Transition
7. Chirality Inversion Points or Mirror Image Effect of Moving Objects
8. Chiral Trajectories of Moving Objects as an External Chiral Inductor
9. External or Internal Chiral Inductors. Chiral or Racemic Water Flows
10. Mirror Symmetry Effect in Biology
11. Mirror Symmetry Effect in Physics
12. Conclusions
Author Contributions
Funding
Conflicts of Interest
References
- Wallach, O. Zur Kenntniss der Terpene und der ätherischen Oele. Justus Liebig’s Ann. Chem. 1895, 286, 90–118. [Google Scholar] [CrossRef]
- Brock, C.P.; Schweizer, W.B.; Dunitz, J.D. On the validity of Wallach’s rule: On the density and stability of racemic crystals compared with their chiral counterparts. J. Am. Chem. Soc. 1991, 113, 9811–9820. [Google Scholar] [CrossRef]
- Ernst, K.-H. On the Validity of Calling Wallach’s Rule Wallach’s Rule. Isr. J. Chem. 2017, 57, 24–30. [Google Scholar] [CrossRef]
- Bredikhin, A.A.; Lazarev, S.N.; Bredikhina, Z.A.; Savel, D.V.; Vandyukova, I.I.; Gubaidullin, A.T.; Litvinov, I.A. Crystallization of chiral compounds. 1. Spectroscopic, thermochemical, and crystallographic investigation of homochiral and racemic glycidyl p-toluenesulfonate. Russ. Chem. Bull. 2003, 52, 846–852. [Google Scholar] [CrossRef]
- Slepukhin, P.A.; Gruzdev, D.A.; Chulakov, E.N.; Levit, G.L.; Krasnov, V.P.; Charushin, V.N. Structures of the racemate and (S)-enantiomer of 7,8-difluoro-3-methyl-2,3-dihydro-4H-[1,4]benzoxazine. Russ. Chem. Bull. 2011, 60, 955–960. [Google Scholar] [CrossRef]
- Sakurai, T.; Masuda, Y.; Sato, H.; Yamagishi, A.; Kawaji, H.; Atake, T.; Hori, K. A Comparative Study on Chiral and Racemic 12-Hydroxyoctadecanoic Acids in the Solutions and Aggregation States: Does the Racemic Form Really Form a Gel? Bull. Chem. Soc. Jpn. 2010, 83, 145–150. [Google Scholar] [CrossRef]
- Navare, P.S.; MacDonald, J.C. Investigation of Stability and Structure in Three Homochiral and Heterochiral Crystalline Forms of 3-Phenyllactic Acid. Cryst. Growth Des. 2011, 11, 2422–2428. [Google Scholar] [CrossRef]
- Krishnaswamy, S.; Patil, M.T.; Shashidhar, M.S. Comparison of racemic epi-inosose and (-)-epi-inosose. Acta Crystallogr. C 2011, 67, o435–o438. [Google Scholar] [CrossRef]
- Kitoh, S.-I.; Kunimoto, K.-K.; Funaki, N.; Senda, H.; Kuwae, A.; Hanai, K.J. Crystal structures and vibrational spectra of racemic and chiral 4-phenyl-1,3-oxazolidine-2-thione. Chem. Crystallogr. 2002, 32, 547–553. [Google Scholar] [CrossRef]
- Friscic, T.; Fabian, L.; Burley, J.C.; Reid, D.G.; Duer, M.J.; Jones, W. Exploring the relationship between cocrystal stability and symmetry: Is Wallach’s rule applicable to multi-component solids? Chem. Commun. 2008, 1644–1646. [Google Scholar] [CrossRef]
- Sørensen, H.O.; Larsen, S. Hydrogen bonding in enantiomericversusracemic mono-carboxylic acids; a case study of 2-phenoxypropionic acid. Acta Crystallogr. B Struct. Sci. 2003, 59, 132–140. [Google Scholar] [CrossRef] [PubMed]
- Snyder, S.E.; Volkers, P.I.; Engebretson, D.A.; Lee, W.; Pirkle, W.H.; Carey, J.R. Strong enantioselective self-recognition of a small chiral molecule. Org. Lett. 2007, 9, 2341–2343. [Google Scholar] [CrossRef]
- Jeong, K.S.; Kim, D.E.; Lee, E.; Jhon, Y.H.; Han, H.; Kim, J.; Jeong, N. Crystal structures of (2-substituted-5-N-tosyl)bicyclo[3.3.0]-5-azacyclooct-2-enone: A pseudo achiral crystal from enantiopure compound and a counter-example of Wallach’s rule. Tetrahedron Asymmetry 2009, 20, 1736–1741. [Google Scholar] [CrossRef]
- Cai, W.; He, J.; Li, W.; Katrusiak, A. Anomalous compression of a weakly CH⋯O bonded nonlinear optical molecular crystal. J. Mater. Chem. C 2014, 2, 6471–6476. [Google Scholar] [CrossRef]
- Willer, R.L.; Storey, R.F.; Deschamps, J.; Parrish, D.; Kendrick, J.; Leusen, F.J.J. Synthesis, Prediction, and Determination of Crystal Structures of (R/S)- and (S)-1,6-Dinitro-3,8-dioxa-1,6-diazaspiro[4.4]nonane-2,7-dione. Cryst. Growth Des. 2012, 12, 5292–5297. [Google Scholar] [CrossRef]
- Podsiadło, M.; Patyk, E.; Katrusiak, A. Chiral aggregation hierarchy in high-pressure resolved 2-butanol and 2,3-butanediol. CrystEngComm 2012, 14, 6419–6423. [Google Scholar] [CrossRef]
- Khrustalev, V.N.; Sandhu, B.; Bentum, S.; Fonari, A.; Krivoshein, A.V.; Timofeeva, T.V. Absolute Configuration and Polymorphism of 2-Phenylbutyramide and alpha-Methyl-alpha-phenylsuccinimide. Cryst. Growth Des. 2014, 14, 3360–3369. [Google Scholar] [CrossRef]
- Patrick, B.O.; Brock, C.P. S,S-1,2-Dicyclohexylethane-1,2-diol and its racemic compound: A striking exception to Wallach’s rule. Acta Crystallogr. B 2006, 62, 488–497. [Google Scholar] [CrossRef]
- Kennedy, A.R.; Morrison, C.A.; Briggs, N.E.B.; Arbuckle, W. Density and Stability Differences Between Enantiopure and Racemic Salts: Construction and Structural Analysis of a Systematic Series of Crystalline Salt Forms of Methylephedrine. Cryst. Growth Des. 2011, 11, 1821–1834. [Google Scholar] [CrossRef]
- Cai, W.; Marciniak, J.; Andrzejewski, M.; Katrusiak, A. Pressure Effect on d,l-Mandelic Acid Racemate Crystallization. J. Phys. Chem. C 2013, 117, 7279–7285. [Google Scholar] [CrossRef]
- Assaad, T.; Rukiah, M. Powder X-ray study of racemic (2RS,3RS)-5-amino-3-[4-(3-methoxyphenyl)piperazin-1-yl]-1,2,3,4-tetrahydronaphtha len-2-ol. Acta Crystallogr. C 2011, 67, o469–o472. [Google Scholar] [CrossRef] [PubMed]
- Husin, H.; Leong, Y.-K.; Liu, J. Molecular attributes of an effective steric agent: Yield stress of dispersions in the presence of pure enantiomeric and racemate malic acids. Adv. Powder Tech. 2012, 23, 459–464. [Google Scholar] [CrossRef]
- Sanabria, C.M.; Gomez, S.L.; Palma, A.; Cobo, J.; Glidewell, C. Four 1-naphthyl-substituted tetrahydro-1,4-epoxy-1-benzazepines: Hydrogen-bonded structures in one, two and three dimensions. Acta Crystallogr. C 2010, 66, o540–o546. [Google Scholar] [CrossRef]
- Marthi, K.; Larsen, S.; Ács, M.; Fogassy, E. Enantiomer associations in the crystal structures of racemic and (2S,3S)-(+)-3-hydroxy-2-(4-methoxyphenyl)-2,3-dihydro-1,5-benzothiazepin-4(5H)-one. J. Mol. Struct. 1996, 374, 347–355. [Google Scholar] [CrossRef]
- Luger, P.; Weber, M. DL-Cysteine at 298K. Acta Crystallogr. C Cryst. Struct. Commun. 1999, 55, 1882–1885. [Google Scholar] [CrossRef]
- Pella, E.; Restelli, R. Binary phase diagram of the enantiomers of indoprofen. Mikrochim. Acta 1983, 79, 65–74. [Google Scholar] [CrossRef]
- Xie, S.; Nusbaum, D.A.; Stein, H.J.; Pink, M. 4-(3-Methoxy-phen-yl)-2,6-dimethyl-cyclo-hex-3-enecarboxylic acid. Acta Crystallogr. E Struct. Rep. Online 2010, 66, o1443–o1449. [Google Scholar] [CrossRef]
- Blazis, V.J.; Koeller, K.J.; Rath, N.P.; Spilling, C.D. Application of Wallach’s Rule in a Comparison of the X-ray Crystal Structures of the Racemate and the (S) Enantiomer of (1-Hydroxy-3-phenyl-2-propenyl) Dimethylphosphonate. Acta Crystallogr. B Struct. Sci. 1997, 53, 838–842. [Google Scholar] [CrossRef]
- Dunitz, J.D.; Gavezzotti, A. Proteogenic amino acids: Chiral and racemic crystal packings and stabilities. J. Phys. Chem. B 2012, 116, 6740–6750. [Google Scholar] [CrossRef]
- Studniarz, S.A. The Solubility of Chiral Enantiomers and Racemates as a Function of Enthalpy Differences in the Crystalline solids and Activity Coefficients in the Solution. In Proceedings of the Abstracts 37th Middle Atlantic Regional Meeting of the American Chemical Society, New Brunswick, NJ, USA, 22–25 May 2005; p. GENE-543. [Google Scholar]
- Tu, T.; Maris, T.; Wuest, J.D. Crystal Structures of Spiroborates Derived from [1,1′-Binaphthalene]-2,2′-diol (BINOL). Cryst. Growth Des. 2008, 8, 1541–1546. [Google Scholar] [CrossRef]
- Wałejko, P.; Paradowska, K.; Szeleszczuk, Ł.; Wojtulewski, S.; Baj, A. Racemic crystals of trolox derivatives compared to their chiral counterparts: Structural studies using solid-state NMR, DFT calculations and X-ray diffraction. J. Mol. Struct. 2018, 1156, 290–300. [Google Scholar] [CrossRef]
- Marciniak, J.; Andrzejewski, M.; Cai, W.; Katrusiak, A. Wallach’s Rule Enforced by Pressure in Mandelic Acid. J. Phys. Chem. C 2014, 118, 4309–4313. [Google Scholar] [CrossRef]
- Cai, W.; Katrusiak, A. Enantiomeric crystallization of (±)-trans-1,2-diaminocyclohexane under pressure. CrystEngComm 2011, 13, 6742–6746. [Google Scholar] [CrossRef]
- Pidcock, E. Achiral molecules in non-centrosymmetric space groups. Chem. Commun. 2005, 3457–3459. [Google Scholar] [CrossRef] [PubMed]
- Pavlov, V.A.; Mistryukov, E.A.; Duddeck, H.; Vinogradov, M.G.; Snatzke, G. Stereochemistry in cross-coupling reaction of crotyl alcohol derivatives and arylmagnesium bromides on trans-bis-1S, 2S- and trans-bis-1R,2R- (diphenylphosphino) cyclopentanenickel dibromide. J. Mol. Catal. 1993, 79, 55–74. [Google Scholar] [CrossRef]
- Kim, J.U.; Schollmeyer, D.; Brehmer, M.; Zentel, R. Simple chiral urea gelators, (R)- and (S)-2-heptylurea: Their gelling ability enhanced by chirality. J. Colloid. Interface Sci. 2011, 357, 428–433. [Google Scholar] [CrossRef] [PubMed]
- Perlovich, G.L.; Kurkov, S.V.; Hansen, L.K.; Bauer-Brandl, A. Thermodynamics of sublimation, crystal lattice energies, and crystal structures of racemates and enantiomers: (+)- and (+/-)-ibuprofen. J. Pharm. Sci. 2004, 93, 654–666. [Google Scholar] [CrossRef] [PubMed]
- Benson, N.; Snelder, N.; Ploeger, B.; Napier, C.; Sale, H.; Birdsall, N.J.; Butt, R.P.; van der Graaf, P.H. Estimation of binding rate constants using a simultaneous mixed-effects method: Application to monoamine transporter reuptake inhibitor reboxetine. Br. J. Pharmacol. 2010, 160, 389–398. [Google Scholar] [CrossRef]
- Okuyama, K.; Morimoto, T.; Narita, H.; Kawaguchi, T.; Mizuno, K.; Bachinger, H.P.; Wu, G.; Noguchi, K. Two crystal modifications of (Pro-Pro-Gly)4-Hyp-Hyp-Gly-(Pro-Pro-Gly)4 reveal the puckering preference of Hyp(X) in the Hyp(X):Hyp(Y) and Hyp(X):Pro(Y) stacking pairs in collagen helices. Acta Crystallogr. D Biol. Crystallogr. 2010, 66, 88–96. [Google Scholar] [CrossRef]
- Xu, F.; Khan, I.J.; McGuinness, K.; Parmar, A.S.; Silva, T.; Murthy, N.S.; Nanda, V. Self-assembly of left- and right-handed molecular screws. J. Am. Chem. Soc. 2013, 135, 18762–18765. [Google Scholar] [CrossRef]
- Lin, S.Y.; Xu, G.F.; Zhao, L.; Guo, Y.N.; Guo, Y.; Tang, J. Observation of slow magnetic relaxation in triple-stranded lanthanide helicates. Dalton Trans. 2011, 40, 8213–8217. [Google Scholar] [CrossRef] [PubMed]
- Pavlov, V.A.; Shushenachev, Y.V.; Zlotin, S.G. Chiral and Racemic Fields Concept for Understanding of the Homochirality Origin, Asymmetric Catalysis, Chiral Superstructure Formation from Achiral Molecules, and B-Z DNA Conformational Transition. Symmetry 2019, 11, 649. [Google Scholar] [CrossRef]
- Le, K.V.; Takezoe, H.; Araoka, F. Chiral Superstructure Mesophases of Achiral Bent-Shaped Molecules—Hierarchical Chirality Amplification and Physical Properties. Adv. Mater. 2017, 29, 1602737. [Google Scholar] [CrossRef] [PubMed]
- Otani, T.; Araoka, F.; Ishikawa, K.; Takezoe, H. Enhanced optical activity by achiral rod-like molecules nanosegregated in the B4 structure of achiral bent-core molecules. J. Am. Chem. Soc. 2009, 131, 12368–12372. [Google Scholar] [CrossRef]
- Hough, L.E.; Spannuth, M.; Nakata, M.; Coleman, D.A.; Jones, C.D.; Dantlgraber, G.; Tschierske, C.; Watanabe, J.; Korblova, E.; Walba, D.M.; et al. Chiral isotropic liquids from achiral molecules. Science 2009, 325, 452–456. [Google Scholar] [CrossRef]
- Takanishi, Y.; Shin, G.J.; Jung, J.C.; Choi, S.-W.; Ishikawa, K.; Watanabe, J.; Takezoe, H.; Toledano, P. Observation of very large chiral domains in a liquid crystal phase formed by mixtures of achiral bent-core and rod molecules. J. Mater. Chem. 2005, 15, 4020–4024. [Google Scholar] [CrossRef]
- Kim, K.; Kim, H.; Jo, S.Y.; Araoka, F.; Yoon, D.K.; Choi, S.W. Photomodulated Supramolecular Chirality in Achiral Photoresponsive Rodlike Compounds Nanosegregated from the Helical Nanofilaments of Achiral Bent-Core Molecules. ACS Appl. Mater. Interfaces 2015, 7, 22686–22691. [Google Scholar] [CrossRef]
- Nagayama, H.; Varshney, S.K.; Goto, M.; Araoka, F.; Ishikawa, K.; Prasad, V.; Takezoe, H. Spontaneous deracemization of disc-like molecules in the columnar phase. Angew. Chem. Int. Ed. Engl. 2010, 49, 445–448. [Google Scholar] [CrossRef]
- Gortz, V.; Goodby, J.W. Enantioselective segregation in achiral nematic liquid crystals. Chem. Commun. 2005, 3262–3264. [Google Scholar] [CrossRef]
- Zhang, C.; Diorio, N.; Lavrentovich, O.D.; Jakli, A. Helical nanofilaments of bent-core liquid crystals with a second twist. Nat. Commun. 2014, 5, 3302. [Google Scholar] [CrossRef]
- Hazen, R.M.; Sholl, D.S. Chiral selection on inorganic crystalline surfaces. Nat. Mater. 2003, 2, 367–374. [Google Scholar] [CrossRef]
- Bonner, W.A.; Kavasmaneck, P.R.; Martin, F.S.; Flores, J.J. Asymmetric adsorption of alanine by quartz. Science 1974, 186, 143–144. [Google Scholar] [CrossRef] [PubMed]
- Weissbuch, I.; Addadi, L.; Leiserowitz, L. Molecular recognition at crystal interfaces. Science 1991, 253, 637–645. [Google Scholar] [CrossRef]
- Koretsky, C.M.; Sverjensky, D.A.; Sahai, N. A model of surface site types on oxide and silicate minerals based on crystal chemistry; implications for site types and densities, multi-site adsorption, surface infrared spectroscopy, and dissolution kinetics. Am. J. Sci. 1998, 298, 349–438. [Google Scholar] [CrossRef]
- Dana, E.S. A Text-book of Mineralogy: With an Extended Treatise on Crystallography and Physical Mineralogy; John Wiley & Sons: New York, NY, USA, 1898; Available online: https://www.doc-developpement-durable.org/file/Mines-Mineurs/Livres/Dana-s%20textbook%20of%20Mineralogy.pdf (accessed on 28 May 2020).
- Hazen, R.M.; Filley, T.R.; Goodfriend, G.A. Selective adsorption of L- and D-amino acids on calcite: Implications for biochemical homochirality. Proc. Natl. Acad. Sci. USA 2001, 98, 5487–5490. [Google Scholar] [CrossRef] [PubMed]
- Van Cappellen, P.; Charlet, L.; Stumm, W.; Wersin, P. A surface complexation model of the carbonate mineral-aqueous solution interface. Geochim. Cosmochim. Acta 1993, 57, 3505–3518. [Google Scholar] [CrossRef]
- Stipp, S.L.; Hochella, M.F. Structure and bonding environments at the calcite surface as observed with X-ray photoelectron spectroscopy (XPS) and low energy electron diffraction (LEED). Geochim. Cosmochim. Acta 1991, 55, 1723–1736. [Google Scholar] [CrossRef]
- Bąbel, M. Crystal lography and genesis of the giant intergrowths of gypsum from the Miocene evaporites of Poland. Arch. Miner. 1990, 44, 103–135. [Google Scholar]
- Cody, A.M.; Cody, R.D. Chiral habit modifications of gypsum from epitaxial-like adsorption of stereospecific growth inhibitors. J. Cryst. Growth 1991, 113, 508–519. [Google Scholar] [CrossRef]
- Kondepudi, D.K.; Kaufman, R.J.; Singh, N. Chiral symmetry breaking in sodium chlorate crystallizaton. Science 1990, 250, 975–976. [Google Scholar] [CrossRef]
- Kondepudi, D.K.; Laudadio, J.; Asakura, K. Chiral Symmetry Breaking in Stirred Crystallization of 1,1‘-Binaphthyl Melt. J. Am. Chem. Soc. 1999, 121, 1448–1451. [Google Scholar] [CrossRef]
- Asakura, K.; Soga, T.; Uchida, T.; Osanai, S.; Kondepudi, D.K. Probability distributions of enantiomeric excess in unstirred and stirred crystallization of 1,1’-binaphthyl melt. Chirality 2002, 14, 85–89. [Google Scholar] [CrossRef] [PubMed]
- Viedma, C. Chiral symmetry breaking during crystallization: Complete chiral purity induced by nonlinear autocatalysis and recycling. Phys. Rev. Lett. 2005, 94, 065504. [Google Scholar] [CrossRef] [PubMed]
- Pavlov, V.; Pavlova, T. Paradoxes of Symmetry: Homochirality; Cryptochiral Reactions; Chiral Field, Memory, and Induction; Chiral and Racemic Environment. Curr. Org. Chem. 2017, 21, 872–888. [Google Scholar] [CrossRef][Green Version]
- Pavlov, V.A.; Zlotin, S.G. Homochirality, Stochastic Chiral Reactions, Spontaneous Chiral Ordering of Achiral Molecules, and Similar Chiral Effects. Is there a Physical Basis for these Mirror Symmetry Breaking Phenomena?**. Curr. Org. Chem. 2018, 22, 2029–2054. [Google Scholar] [CrossRef]
- Han, B.; Shen, F.; Su, H.; Zhang, X.; Shen, Y.; Zhang, T. Self-assembly of achiral monomer into left-handed helical polyanthracene nanofibers. Mater. Express 2016, 6, 88–92. [Google Scholar] [CrossRef]
- El-Hachemi, Z.; Arteaga, O.; Canillas, A.; Crusats, J.; Llorens, J.; Ribo, J.M. Chirality generated by flows in pseudocyanine dye J-aggregates: Revisiting 40 years old reports. Chirality 2011, 23, 585–592. [Google Scholar] [CrossRef]
- Ribo, J.M.; Crusats, J.; Sagues, F.; Claret, J.; Rubires, R. Chiral sign induction by vortices during the formation of mesophases in stirred solutions. Science 2001, 292, 2063–2066. [Google Scholar] [CrossRef]
- Micali, N.; Engelkamp, H.; van Rhee, P.G.; Christianen, P.C.; Monsu Scolaro, L.; Maan, J.C. Selection of supramolecular chirality by application of rotational and magnetic forces. Nat. Chem. 2012, 4, 201–207. [Google Scholar] [CrossRef]
- Pavlov, V.A.; Spitsina, N.I.; Klabunovsky, E.I. Enantioselective hydrogenation in a cholesteric liquid crystal as a chiral matrix. Bull. Acad. Sci. USSR Div. Chem. Sci. 1982, 31, 2509. [Google Scholar] [CrossRef]
- Pavlov, V.A.; Spitsina, N.I.; Klabunovsky, E.I. Enantioselective hydrogenation in cholesteryl tridecanoate as a chiral liquid-crystalline matrix. Bull. Acad. Sci. USSR Div. Chem. Sci. 1983, 32, 1501–1503. [Google Scholar] [CrossRef]
- Ding, K.; Ishii, A.; Mikami, K. Super High Throughput Screening (SHTS) of Chiral Ligands and Activators: Asymmetric Activation of Chiral Diol-Zinc Catalysts by Chiral Nitrogen Activators for the Enantioselective Addition of Diethylzinc to Aldehydes. Angew. Chem. Int. Ed. 1999, 38, 497–501. [Google Scholar] [CrossRef]
- Vyskočil, Š.; Jaracz, S.; Smrcina, M.; Štícha, M.; Hanuš, V.; Polášek, M.; Kočovský, P. Synthesis of N-Alkylated and N-Arylated Derivatives of 2-Amino-2‘-hydroxy-1,1‘-binaphthyl (NOBIN) and 2,2‘-Diamino-1,1‘-binaphthyl and Their Application in the Enantioselective Addition of Diethylzinc to Aromatic Aldehydes†. J. Org. Chem. 1998, 63, 7727–7737. [Google Scholar] [CrossRef]
- Le Goanvic, D.; Holler, M.; Pale, P. Chiral tridentate versus bidentate pyridines as catalysts in the enantioselective alkylation of benzaldehyde with diethylzinc. Tetrahedron: Asymmetry 2002, 13, 119–121. [Google Scholar] [CrossRef]
- Rosner, T.; Sears, P.J.; Nugent, W.A.; Blackmond, D.G. Kinetic Investigations of Product Inhibition in the Amino Alcohol-Catalyzed Asymmetric Alkylation of Benzaldehyde with Diethylzinc. Org. Lett. 2000, 2, 2511–2513. [Google Scholar] [CrossRef]
- Satyanarayana, T.; Abraham, S.; Kagan, H.B. Nonlinear effects in asymmetric catalysis. Angew. Chem. Int. Ed. Engl. 2009, 48, 456–494. [Google Scholar] [CrossRef] [PubMed]
- Puchot, C.; Samuel, O.; Dunach, E.; Zhao, S.; Agami, C.; Kagan, H.B. Nonlinear effects in asymmetric synthesis. Examples in asymmetric oxidations and aldolization reactions. J. Am. Chem. Soc. 1986, 108, 2353–2357. [Google Scholar] [CrossRef]
- Guillaneux, D.; Zhao, S.-H.; Samuel, O.; Rainford, D.; Kagan, H.B. Nonlinear Effects in Asymmetric Catalysis. J. Am. Chem. Soc. 1994, 116, 9430–9439. [Google Scholar] [CrossRef]
- Kitamura, M.; Okada, S.; Suga, S.; Noyori, R. Enantioselective addition of dialkylzincs to aldehydes promoted by chiral amino alcohols. Mechanism and nonlinear effect. J. Am. Chem. Soc. 1989, 111, 4028–4036. [Google Scholar] [CrossRef]
- Noyori, R.; Kitamura, M. Enantioselective Addition of Organometallic Reagents to Carbonyl Compounds: Chirality Transfer, Multiplication, and Amplification. Angew. Chem. Int. Ed. Eng. 1991, 30, 49–69. [Google Scholar] [CrossRef]
- Noyori, R.; Suga, S.; Oka, H.; Kitamura, M. Self and nonself recognition of chiral catalysts: The origin of nonlinear effects in the amino-alcohol catalyzed asymmetric addition of diorganozincs to aldehydes. Chem. Rec. 2001, 1, 85–100. [Google Scholar] [CrossRef] [PubMed]
- Ercolani, G. Principles for designing an achiral receptor promoting asymmetric autocatalysis with amplification of chirality. Tetrahedron Asymmetry 2014, 25, 405–410. [Google Scholar] [CrossRef]
- Tsukamoto, M.; Gopalaiah, K.; Kagan, H.B. Equilibrium of homochiral oligomerization of a mixture of enantiomers. Its relevance to nonlinear effects in asymmetric catalysis. J. Phys. Chem. B 2008, 112, 15361–15368. [Google Scholar] [CrossRef] [PubMed]
- Balsells, J.; Costa, A.M.; Walsh, P.J. Temperature-dependent nonlinear effects and catalyst evolution in the asymmetric addition of diethylzinc to benzaldehyde. Israel J. Chem. 2001, 41, 251–262. [Google Scholar] [CrossRef]
- Steigelmann, M.; Nisar, Y.; Rominger, F.; Goldfuss, B. Homo- and Heterochiral Alkylzinc Fencholates: Linear or Nonlinear Effects in Dialkylzinc Additions to Benzaldehyde. Chem. Eur. J. 2002, 8, 5211–5218. [Google Scholar] [CrossRef]
- Chen, Y.K.; Costa, A.M.; Walsh, P.J. Substrate Dependence of Nonlinear Effects: Mechanistic Probe and Practical Applications. J. Am. Chem. Soc. 2001, 123, 5378–5379. [Google Scholar] [CrossRef]
- Zarotti, P.; Knöpfel, T.F.; Aschwanden, P.; Carreira, E.M. Nonlinear Effects with Diastereomeric Ligand Mixtures in Enantioselective, Catalytic Additions of Terminal Alkynes Involving Copper–PINAP Complexes. ACS Catal. 2012, 2, 1232–1234. [Google Scholar] [CrossRef]
- Demir, A.S.; Eymur, S. Nonlinear effects in proline–thiourea host–guest complex catalyzed aldol reactions in nonpolar solvents. Tetrahedron Asymmetry 2010, 21, 405–409. [Google Scholar] [CrossRef]
- Soai, K.; Shibata, T.; Morioka, H.; Choji, K. Asymmetric autocatalysis and amplification of enantiomeric excess of a chiral molecule. Nature 1995, 378, 767–768. [Google Scholar] [CrossRef]
- Soai, K.; Shibata, T.; Sato, I. Enantioselective automultiplication of chiral molecules by asymmetric autocatalysis. Acc. Chem. Res. 2000, 33, 382–390. [Google Scholar] [CrossRef]
- Soai, K.; Kawasaki, T. Discovery of asymmetric autocatalysis with amplification of chirality and its implication in chiral homogeneity of biomolecules. Chirality 2006, 18, 469–478. [Google Scholar] [CrossRef] [PubMed]
- Soai, K.; Soai, K.; Kawasaki, T. (S)-Diphenyl(1-methylpyrrolidin-2-yl)methanol. In Encycl. of Reag. for Org. Synthesis; John Wiley & Sons, Ltd.Hoboken, NJ, USA. pp. 1–33. [CrossRef]
- Kawasaki, T.; Uchida, M.; Kaimori, Y.; Sasagawa, T.; Matsumoto, A.; Soai, K. Enantioselective Synthesis Induced by the Helical Molecular Arrangement in the Chiral Crystal of Achiral Tris(2-hydroxyethyl) 1,3,5-Benzenetricarboxylate in Conjunction with Asymmetric Autocatalysis. Chem. Lett. 2013, 42, 711–713. [Google Scholar] [CrossRef]
- Schiaffino, L.; Ercolani, G. Amplification of chirality and enantioselectivity in the asymmetric autocatalytic Soai reaction. ChemPhysChem 2009, 10, 2508–2515. [Google Scholar] [CrossRef] [PubMed]
- Sato, I.; Urabe, H.; Ishiguro, S.; Shibata, T.; Soai, K. Amplification of chirality from extremely low to greater than 99.5 % ee by asymmetric autocatalysis. Angew. Chem. Int. Ed. Engl. 2003, 42, 315–317. [Google Scholar] [CrossRef]
- Bryliakov, K.P. Dynamic Nonlinear Effects in Asymmetric Catalysis. ACS Catalysis 2019, 9, 5418–5438. [Google Scholar] [CrossRef]
- Pavlov, V.A. C2 and C1 Symmetry of chiral auxiliaries in catalytic reactions on metal complexes. Tetrahedron 2008, 64, 1147–1179. [Google Scholar] [CrossRef]
- Pavlov, V.A.; Pavlova, T.N. Asymmetric metal complex catalysis in the series of monofunctional substrates: The lower the catalyst symmetry, the higher the enantioselectivity. Russ. Chem. Rev. 2010, 79, 881–905. [Google Scholar] [CrossRef]
- Pavlov, V.A.; Pavlova, T.N. Influence of the Cn Symmetry of Chiral Catalyst on the Enantioselectivity of Reactions. Curr. Org. Chem. 2012, 16, 305–321. [Google Scholar] [CrossRef]
- Pavlov, V.A.; Pavlova, T.N. Asymmetric induction in reactions catalyzed by metal complexes. Russ. Chem. Rev. 2012, 81, 823–854. [Google Scholar] [CrossRef]
- Pavlov, V.A. Mechanisms of asymmetric induction in catalytic hydrogenation, hydrosilylation and cross-coupling on metal complexes. Russ. Chem. Rev. 2002, 71, 33–48. [Google Scholar] [CrossRef]
- Pavlov, V.A. Structural and configurational relationships ‘metal complex–substrate–product’ in asymmetric catalytic hydrogenation, hydrosilylation and cross-coupling reactions. Russ. Chem. Rev. 2001, 70, 1037–1065. [Google Scholar] [CrossRef]
- Thomson, R.J.; Jackson, W.R.; Haarburger, D.; Klabunovsky, E.I.; Pavlov, V.A. The Stereochemistry of Organometallic Compounds. XXIX. Synthesis of Steroidal 1,4-Diphosphine, 1,3-Diphosphine and 1,6-Diphosphine and Their Evaluation as Ligands in Metal Catalyzed Asymmetric Synthesis. Aust. J. Chem. 1987, 40, 1083–1106. [Google Scholar] [CrossRef]
- Kiabutnovskii, B.I.; Vedenyapin, A.A.; Karpeiskaya, E.I.; Pavlov, V.A. Enantioselective Hydrogenation on Dissymmetric Cu-Ni and Pd- Catalysts. In Studies in Surface Science and Catalysis; Seivama, T., Tanabe, K., Eds.; Elsevier: Amsterdam, The Netherlands, 1981; Volume 7, pp. 390–401. [Google Scholar] [CrossRef]
- Brown, M.K.; Blewett, M.M.; Colombe, J.R.; Corey, E.J. Mechanism of the enantioselective oxidation of racemic secondary alcohols catalyzed by chiral Mn(III)-salen complexes. J. Am. Chem. Soc. 2010, 132, 11165–11170. [Google Scholar] [CrossRef]
- Petit-Garrido, N.; Ignes-Mullol, J.; Claret, J.; Sagues, F. Chiral selection by interfacial shearing of self-assembled achiral molecules. Phys. Rev. Lett. 2009, 103, 237802. [Google Scholar] [CrossRef] [PubMed]
- Berg, A.M.; Patrick, D.L. Preparation of chiral surfaces from achiral molecules by controlled symmetry breaking. Angew. Chem. Int. Ed. Engl. 2005, 44, 1821–1823. [Google Scholar] [CrossRef]
- Cai, Y.; Bernasek, S.L. Adsorption-induced asymmetric assembly from an achiral adsorbate. J. Am. Chem. Soc. 2004, 126, 14234–14238. [Google Scholar] [CrossRef]
- Karakalos, S.; Zaera, F. Amplification of Enantioselectivity on Solid Surfaces Using Nonchiral Adsorbates. J. Phys. Chem. C 2015, 119, 13785–13790. [Google Scholar] [CrossRef]
- Izumi, Y. Modified Raney Nickel (MRNi) Catalyst: Heterogeneous Enantio-Differentiating (Asymmetric) Catalyst. In Advances in Catalysis; Eley, D.D., Pines, H., Weisz, P.B., Eds.; Academic Press: New York, NY, USA, 1983; Volume 32, pp. 215–271. [Google Scholar]
- Tai, A.; Harada, T. Tailored Metal Catalysts; Iwasawa, Y., Ed.; Reidel: Dordrecht, The Netherlands, 1986. [Google Scholar]
- Krylov, O.V. Heterogeneous Catalysis; Akademkniga: Moscow, Russia, 2004; p. 679. (In Russian) [Google Scholar]
- Raval, R. Chiral expression from molecular assemblies at metal surfaces: Insights from surface science techniques. Chem. Soc. Rev. 2009, 38, 707–721. [Google Scholar] [CrossRef]
- Linares, M.; Minoia, A.; Brocorens, P.; Beljonne, D.; Lazzaroni, R. Expression of chirality in molecular layers at surfaces: Insights from modelling. Chem. Soc. Rev. 2009, 38, 806–816. [Google Scholar] [CrossRef]
- Elemans, J.A.; De Cat, I.; Xu, H.; De Feyter, S. Two-dimensional chirality at liquid-solid interfaces. Chem. Soc. Rev. 2009, 38, 722–736. [Google Scholar] [CrossRef]
- Ernst, K.H. Surface chemistry: Single handedness in flatland. Nat. Chem. 2017, 9, 195–196. [Google Scholar] [CrossRef] [PubMed]
- Ernst, K.-H. Supramolecular Surface Chirality. In Supramolecular Chirality; Crego-Calama, M., Reinhoudt, D.N., Eds.; Springer: Berlin/Heidelberg, Germany, 2006; pp. 209–252. [Google Scholar] [CrossRef]
- Barlow, S.M.; Raval, R. Complex organic molecules at metal surfaces: Bonding, organisation and chirality. Surf. Sci. Rep. 2003, 50, 201–341. [Google Scholar] [CrossRef]
- Humblot, V.; Lorenzo, M.O.; Baddeley, C.J.; Haq, S.; Raval, R. Local and global chirality at surfaces: Succinic acid versus tartaric acid on Cu110. J. Am. Chem. Soc. 2004, 126, 6460–6469. [Google Scholar] [CrossRef] [PubMed]
- Forster, M.; Dyer, M.S.; Persson, M.; Raval, R. Tailoring homochirality at surfaces: Going beyond molecular handedness. J. Am. Chem. Soc. 2011, 133, 15992–16000. [Google Scholar] [CrossRef] [PubMed]
- Zaera, F. Chiral Modification of Solid Surfaces: A Molecular View. J. Phys. Chem. C 2008, 112, 16196–16203. [Google Scholar] [CrossRef]
- Lorenzo, M.O.; Haq, S.; Bertrams, T.; Murray, P.; Raval, R.; Baddeley, C.J. Creating Chiral Surfaces for Enantioselective Heterogeneous Catalysis: R,R-Tartaric Acid on Cu(110). J. Phys. Chem. B 1999, 103, 10661–10669. [Google Scholar] [CrossRef]
- Amharar, Y.; Petit, S.; Sanselme, M.; Cartigny, Y.; Petit, M.-N.l.; Coquerel, G.r. Crystal Structures, Dehydration Mechanism, and Chiral Discrimination in the Solid State of a Hydantoin Derivative. Cryst. Growth Des. 2011, 11, 2453–2462. [Google Scholar] [CrossRef]
- Singh, G.; Chan, H.; Baskin, A.; Gelman, E.; Repnin, N.; Kral, P.; Klajn, R. Self-assembly of magnetite nanocubes into helical superstructures. Science 2014, 345, 1149–1153. [Google Scholar] [CrossRef]
- Curie, P. Sur la symétrie dans les phénomènes physiques, symétrie d’un champ électrique et d’un champ magnétique. J. Phys. Theor. Appl. 1894, 3, 393–415. [Google Scholar] [CrossRef]
- Klabunovski, J.I. L’origine de la vie. Quelques aspects du probleme; Gauthier-Villars: Paris, France, 1962; pp. 152–162. [Google Scholar]
- Green, M.M.; Peterson, N.C.; Sato, T.; Teramoto, A.; Cook, R.; Lifson, S. A helical polymer with a cooperative response to chiral information. Science 1995, 268, 1860–1866. [Google Scholar] [CrossRef]
- Lifson, S.; Felder, C.E.; Green, M.M. Helical conformations, internal motion, and helix sense reversal in polyisocyanates and the preferred helix sense of an optically active polyisocyanate. Macromolecules 1992, 25, 4142–4148. [Google Scholar] [CrossRef]
- Celik-Aktas, A.; Zuo, J.M.; Stubbins, J.F.; Tang, C.; Bando, Y. Double-helix structure in multiwall boron nitride nanotubes. Acta Crystallogr. A 2005, 61, 533–541. [Google Scholar] [CrossRef] [PubMed]
- Zhi, C.; Bando, Y.; Tang, C.; Golberg, D. Boron nitride nanotubes. Mater. Sci. Eng. R 2010, 70, 92–111. [Google Scholar] [CrossRef]
- Ma, R.; Bando, Y.; Sato, T. Controlled Synthesis of BN Nanotubes, Nanobamboos, and Nanocables. Adv. Mater. 2002, 14. [Google Scholar] [CrossRef]
- Zhigang Wang, D. A helix theory for molecular chirality and chiral interaction. Mendeleev Commun. 2004, 14, 244–247. [Google Scholar] [CrossRef]
- Wang, D.Z. Conservation of helical asymmetry in chiral interactions. Tetrahedron 2005, 61, 7125–7133. [Google Scholar] [CrossRef]
- Wang, D.Z. Catalyst–substrate helical character matching determines enantiomeric excess. Tetrahedron 2005, 61, 7134–7143. [Google Scholar] [CrossRef]
- Wang, D.Z. Conservation of helicity and helical character matching in chiral interactions. Chirality 2005, 17, S177–S182. [Google Scholar] [CrossRef]
- Giri, S.; Wang, D.Z.; Chattaraj, P.K. Catalyst electronic polarizability and enantiomeric excess in asymmetric hydrogenation. Tetrahedron 2010, 66, 4560–4563. [Google Scholar] [CrossRef]
- Rouhi, A.M. Conservation of Helical Asymmetry. Chem. Eng. News Arch. 2003, 81, 34–35. [Google Scholar] [CrossRef]
- Han, P.; Wang, R.; Wang, D.Z. Electronic polarizability-based stereochemical model for Sharpless AD reactions. Tetrahedron 2011, 67, 8873–8878. [Google Scholar] [CrossRef]
- Wells, R.D. Non-B DNA conformations, mutagenesis and disease. Trends Biochem. Sci. 2007, 32, 271–278. [Google Scholar] [CrossRef]
- Wells, R.D.; Dere, R.; Hebert, M.L.; Napierala, M.; Son, L.S. Advances in mechanisms of genetic instability related to hereditary neurological diseases. Nucleic Acids. Res. 2005, 33, 3785–3798. [Google Scholar] [CrossRef]
- Zhang, H.; Yu, H.; Ren, J.; Qu, X. Reversible B/Z-DNA transition under the low salt condition and non-B-form polydApolydT selectivity by a cubane-like europium-L-aspartic acid complex. Biophys. J. 2006, 90, 3203–3207. [Google Scholar] [CrossRef] [PubMed]
- Mirkin, S.M. DNA structures, repeat expansions and human hereditary disorders. Curr. Opin. Struct. Biol. 2006, 16, 351–358. [Google Scholar] [CrossRef] [PubMed]
- Bacolla, A.; Wells, R.D. Non-B DNA conformations, genomic rearrangements, and human disease. J. Biol. Chem. 2004, 279, 47411–47414. [Google Scholar] [CrossRef] [PubMed]
- Lupski, J.R. Genomic disorders: Structural features of the genome can lead to DNA rearrangements and human disease traits. Trends Genet. 1998, 14, 417–422. [Google Scholar] [CrossRef]
- Lupski, J.R.; Stankiewicz, P. Genomic Disorders: The Genomic BAsis of Desease; Humana Press: Berlin, Germany, 2006. [Google Scholar]
- Wells, R.D.; Ashizawa, T. (Eds.) Genetic Instabilities and Neurological Diseases; Academic Press: Houston, TX, USA, 2006. [Google Scholar]
- Harvey, S.C. DNA structural dynamics: Longitudinal breathing as a possible mechanism for the B ⇄ Z transition. Nucleic Acids Res. 1983, 11, 4867–4878. [Google Scholar] [CrossRef]
- Ha, S.C.; Lowenhaupt, K.; Rich, A.; Kim, Y.G.; Kim, K.K. Crystal structure of a junction between B-DNA and Z-DNA reveals two extruded bases. Nature 2005, 437, 1183–1186. [Google Scholar] [CrossRef]
- Kim, D.; Reddy, S.; Kim, D.Y.; Rich, A.; Lee, S.; Kim, K.K.; Kim, Y.G. Base extrusion is found at helical junctions between right- and left-handed forms of DNA and RNA. Nucleic Acids Res. 2009, 37, 4353–4359. [Google Scholar] [CrossRef] [PubMed]
- Kim, D.; Hur, J.; Han, J.H.; Ha, S.C.; Shin, D.; Lee, S.; Park, S.; Sugiyama, H.; Kim, K.K. Sequence preference and structural heterogeneity of BZ junctions. Nucleic Acids Res. 2018, 46, 10504–10513. [Google Scholar] [CrossRef] [PubMed]
- Subramani, V.K.; Ravichandran, S.; Bansal, V.; Kim, K.K. Chemical-induced formation of BZ-junction with base extrusion. Biochem. Biophys. Res. Commun. 2019, 508, 1215–1220. [Google Scholar] [CrossRef] [PubMed]
- Hopkins, R.C. Transitions between B-DNA and Z-DNA: A dilemma. J. Theor. Biol. 1983, 101, 327–333. [Google Scholar] [CrossRef]
- Bothe, J.R.; Lowenhaupt, K.; Al-Hashimi, H.M. Sequence-specific B-DNA flexibility modulates Z-DNA formation. J. Am. Chem. Soc. 2011, 133, 2016–2018. [Google Scholar] [CrossRef]
- Li, H.; Xiao, J.; Li, J.; Lu, L.; Feng, S.; Droge, P. Human genomic Z-DNA segments probed by the Z alpha domain of ADAR1. Nucleic Acids Res. 2009, 37, 2737–2746. [Google Scholar] [CrossRef] [PubMed]
- Lee, J.; Kim, Y.G.; Kim, K.K.; Seok, C. Transition between B-DNA and Z-DNA: Free energy landscape for the B-Z junction propagation. J. Phys. Chem. B 2010, 114, 9872–9881. [Google Scholar] [CrossRef]
- Premilat, S.; Albiser, G. Helix-helix transitions in DNA: Fibre X-ray study of the particular cases poly(dG-dC). poly(dG-dC) and poly(dA). 2poly(dT). Eur. Biophys. J. 1999, 28, 574–582. [Google Scholar] [CrossRef]
- Pohl, F.M.; Jovin, T.M. Salt-induced co-operative conformational change of a synthetic DNA: Equilibrium and kinetic studies with poly(dG-dC). J. Mol. Biol. 1972, 67, 375–396. [Google Scholar] [CrossRef]
- Zacharias, W.; Martin, J.C.; Wells, R.D. A condensed form of (dG-dC)n.cntdot.(dG-dC)n as an intermediate between the B- and Z- conformations induced by sodium acetate. Biochemistry 2002, 22, 2398–2405. [Google Scholar] [CrossRef]
- Wang, A.J.; Quigley, G.J.; Kolpak, F.J.; van der Marel, G.; van Boom, J.H.; Rich, A. Left-handed double helical DNA: Variations in the backbone conformation. Science 1981, 211, 171–176. [Google Scholar] [CrossRef] [PubMed]
- Wang, A.H.; Quigley, G.J.; Kolpak, F.J.; Crawford, J.L.; van Boom, J.H.; van der Marel, G.; Rich, A. Molecular structure of a left-handed double helical DNA fragment at atomic resolution. Nature 1979, 282, 680–686. [Google Scholar] [CrossRef] [PubMed]
- Behe, M.; Felsenfeld, G. Effects of methylation on a synthetic polynucleotide: The B--Z transition in poly(dG-m5dC).poly(dG-m5dC). Proc. Natl. Acad. Sci. USA 1981, 78, 1619–1623. [Google Scholar] [CrossRef] [PubMed]
- Russell, W.C.; Precious, B.; Martin, S.R.; Bayley, P.M. Differential promotion and suppression of Z leads to B transitions in poly[d(G-C)] by histone subclasses, polyamino acids and polyamines. EMBO J. 1983, 2, 1647–1653. [Google Scholar] [CrossRef] [PubMed]
- Pohl, F.M. Polymorphism of a synthetic DNA in solution. Nature 1976, 260, 365–366. [Google Scholar] [CrossRef]
- Feigon, J.; Wang, A.H.; van der Marel, G.A.; Van Boom, J.H.; Rich, A. A one- and two-dimensional NMR study of the B to Z transition of (m5dC-dG)3 in methanolic solution. Nucleic Acids Res. 1984, 12, 1243–1263. [Google Scholar] [CrossRef]
- Zimmer, C.; Tymen, S.; Marck, C.; Guschlbauer, W. Conformational transitions of poly(dA-dC).poly(dG-dT) induced by high salt or in ethanolic solution. Nucleic Acids Res. 1982, 10, 1081–1091. [Google Scholar] [CrossRef][Green Version]
- van de Sande, J.H.; McIntosh, L.P.; Jovin, T.M. Mn2+ and other transition metals at low concentration induce the right-to-left helical transformation of poly[d(G-C)]. EMBO J. 1982, 1, 777–782. [Google Scholar] [CrossRef]
- Pohl, F.M.; Jovin, T.M.; Baehr, W.; Holbrook, J.J. Ethidium Bromide as a Cooperative Effector of a DNA Structure. Proc. Natl. Acad. Sci. USA 1972, 69, 3805–3809. [Google Scholar] [CrossRef]
- Mirau, P.A.; Kearns, D.R. The effect of Intercalating drugs on the kinetics of the B to Z transition of poly(dG–dC). Nucleic Acids Res. 1983, 11, 1931–1941. [Google Scholar] [CrossRef][Green Version]
- Zacharias, W.; Larson, J.E.; Klysik, J.; Stirdivant, S.M.; Wells, R.D. Conditions which cause the right-handed to left-handed DNA conformational transitions. Evidence for several types of left-handed DNA structures in solution. J. Biol. Chem. 1982, 257, 2775–2782. [Google Scholar]
- Wu, Z.; Tian, T.; Yu, J.; Weng, X.; Liu, Y.; Zhou, X. Formation of sequence-independent Z-DNA induced by a ruthenium complex at low salt concentrations. Angew. Chem. Int. Ed. Engl. 2011, 50, 11962–11967. [Google Scholar] [CrossRef] [PubMed]
- Johnson, A.; Qu, Y.; Van Houten, B.; Farrell, N. B↑ Z DNA conformational changes induced by a family of dinuclear bis(platinum) complexes. Nucleic Acids Res. 1992, 20, 1697–1703. [Google Scholar] [CrossRef] [PubMed][Green Version]
- Xu, Y.; Zhang, Y.X.; Sugiyama, H.; Umano, T.; Osuga, H.; Tanaka, K. (P)-helicene displays chiral selection in binding to Z-DNA. J. Am. Chem. Soc. 2004, 126, 6566–6567. [Google Scholar] [CrossRef] [PubMed]
- Boulikas, T. Evolutionary consequences of nonrandom damage and repair of chromatin domains. J. Mol. Evol. 1992, 35, 156–180. [Google Scholar] [CrossRef]
- Scarfí, M.R.; Sannino, A.; Perrotta, A.; Sarti, M.; Mesirca, P.; Bersani, F. Evaluation of Genotoxic Effects in Human Fibroblasts after Intermittent Exposure to 50 Hz Electromagnetic Fields: A Confirmatory Study. Radiat. Res. 2005, 164, 270–276. [Google Scholar] [CrossRef]
- Lopez-Diaz, B.; Mercado-Saenz, S.; Martinez-Morillo, M.; Sendra-Portero, F.; Ruiz-Gomez, M.J. Long-term exposure to a pulsed magnetic field (1.5 mT, 25 Hz) increases genomic DNA spontaneous degradation. Electromagn. Biol. Med. 2014, 33, 228–235. [Google Scholar] [CrossRef]
- Kim, J.; Ha, C.S.; Lee, H.J.; Song, K. Repetitive exposure to a 60-Hz time-varying magnetic field induces DNA double-strand breaks and apoptosis in human cells. Biochem. Biophys. Res. Commun. 2010, 400, 739–744. [Google Scholar] [CrossRef]
- Ivancsits, S.; Diem, E.; Pilger, A.; Rüdiger, H.W.; Jahn, O. Induction of DNA strand breaks by intermittent exposure to extremely-low-frequency electromagnetic fields in human diploid fibroblasts. Mutat. Res. Genet. Toxicol. Environ. Mutagen. 2002, 519, 1–13. [Google Scholar] [CrossRef]
- Wolf, F.I.; Torsello, A.; Tedesco, B.; Fasanella, S.; Boninsegna, A.; D’Ascenzo, M.; Grassi, C.; Azzena, G.B.; Cittadini, A. 50-Hz extremely low frequency electromagnetic fields enhance cell proliferation and DNA damage: Possible involvement of a redox mechanism. Biochim. Biophys. Acta. 2005, 1743, 120–129. [Google Scholar] [CrossRef]
- Igarashi, A.; Kobayashi, K.; Matsuki, H.; Endo, G.; Haga, A. Evaluation of damage in DNA molecules resulting from very-low-frequency magnetic fields by using bacterial mutation repairing genetic system. IEEE Trans. Magn. 2005, 41, 4368–4370. [Google Scholar] [CrossRef]
- Lai, H.; Singh, N.P. Magnetic-field-induced DNA strand breaks in brain cells of the rat. Environ. Health Perspect. 2004, 112, 687–694. [Google Scholar] [CrossRef] [PubMed]
- Ruiz-Gómez, M.J.; Martínez-Morillo, M. Electromagnetic fields and the induction of DNA strand breaks. Electromagn. Biol. Med. 2009, 28, 201–214. [Google Scholar] [CrossRef] [PubMed]
- McNamee, J.P.; Bellier, P.V.; Chauhan, V.; Gajda, G.B.; Lemay, E.; Thansandote, A. Evaluating DNA Damage in Rodent Brain after Acute 60 Hz Magnetic-Field Exposure. Radiat. Res. 2005, 164, 791–797. [Google Scholar] [CrossRef] [PubMed]
- Li, S.H.; Chow, K.C. Magnetic field exposure induces DNA degradation. Biochem. Biophys. Res. Commun. 2001, 280, 1385–1388. [Google Scholar] [CrossRef] [PubMed]
- Williams, P.A.; Ingebretsen, R.J.; Dawson, R.J. 14.6 mT ELF magnetic field exposure yields no DNA breaks in model system Salmonella, but provides evidence of heat stress protection. Bioelectromagnetics 2006, 27, 445–450. [Google Scholar] [CrossRef]
- Kondepudi, D.K.; Asakura, K. Chiral Autocatalysis, Spontaneous Symmetry Breaking, and Stochastic Behavior. Acc. Chem. Res. 2001, 34, 946–954. [Google Scholar] [CrossRef]
- Kondepudi, D.K.; Bullock, K.L.; Digits, J.A.; Hall, J.K.; Miller, J.M. Kinetics of chiral symmetry breaking in crystallization. J. Am. Chem. Soc. 1993, 115, 10211–10216. [Google Scholar] [CrossRef]
- McBride, J.M.; Carter, R.L. Spontaneous Resolution by Stirred Crystallization. Angew. Chem. Int. Ed. Engl. 1991, 30, 293–295. [Google Scholar] [CrossRef]
- Tomsett, M.; Maffucci, I.; Le Bailly, B.A.F.; Byrne, L.; Bijvoets, S.M.; Lizio, M.G.; Raftery, J.; Butts, C.P.; Webb, S.J.; Contini, A.; et al. A tendril perversion in a helical oligomer: Trapping and characterizing a mobile screw-sense reversal. Chem. Sci. 2017, 8, 3007–3018. [Google Scholar] [CrossRef]
- Dzhanibekov effect or tennis racket theorem (Wolfram Community forum discussion about the Dzhanibekov Effect or tennis racket theorem). The effect was called after cosmonaut Vladimir Dzhanibecov who documented it in space, aboard the Soviet space station Salyut 7, in 1985. Available online: https://mathoverflow.net/questions/81960/the-dzhanibekov-effect-an-exercise-in-mechanics-or-ficition-explain-mathemat (accessed on 28 May 2020).
- Bryson, B. Short History of Nearly Everything; Marsh Adency Ltd.: London, UK, 2003; Available online: https://www.goodreads.com/book/show/21.A_Short_History_of_Nearly_Everything (accessed on 28 May 2020).
- Taxue, L.; Butler, R.; Banerjee, S.K.; van der Voo, R. Essentials of Paleomagnetism; University of California Press: Berkeley, CA, USA, 2009; Available online: https://earthref.org/MagIC/books/Tauxe/Essentials/ (accessed on 28 May 2020).
- Pavlov, V.A.; Klabunovskii, E.I. The origin of homochirality in nature: A possible version. Russ. Chem. Rev. 2015, 84, 121–133. [Google Scholar] [CrossRef]
- Pavlov, V.; Klabunovskii, E. Homochirality Origin in Nature: Possible Versions. Curr. Org. Chem. 2014, 18, 93–114. [Google Scholar] [CrossRef]
- Breslow, R. Formation of L Amino Acids and D Sugars, and Amplification of their Enantioexcesses in Aqueous Solutions, Under Simulated Prebiotic Conditions. Isr. J. Chem. 2011, 51, 990–996. [Google Scholar] [CrossRef]
- Weissbuch, I.; Lahav, M. Crystalline architectures as templates of relevance to the origins of homochirality. Chem. Rev. 2011, 111, 3236–3267. [Google Scholar] [CrossRef] [PubMed]
- Lahav, M.; Weissbuch, I.; Shavit, E.; Reiner, C.; Nicholson, G.J.; Schurig, V. Parity violating energetic difference and enantiomorphous crystalsp-caveats; reinvestigation of tyrosine crystallization. Orig. Life Evol. Biosph. 2006, 36, 151–170. [Google Scholar] [CrossRef] [PubMed]
- Meierhenrich, U.J. Amino Acids and the Asymmetry of Life. Eur. Rev. 2013, 21, 190–199. [Google Scholar] [CrossRef]
- Evans, A.C.; Meinert, C.; Giri, C.; Goesmann, F.; Meierhenrich, U.J. Chirality, photochemistry and the detection of amino acids in interstellar ice analogues and comets. Chem. Soc. Rev. 2012, 41, 5447–5458. [Google Scholar] [CrossRef] [PubMed]
- Lente, G. Open system approaches in deterministic models of the emergence of homochirality. Chirality 2010, 22, 907–913. [Google Scholar] [CrossRef]
- Pizzarello, S. The chemistry of life’s origin: A carbonaceous meteorite perspective. Acc. Chem. Res. 2006, 39, 231–237. [Google Scholar] [CrossRef]
- Jorissen, A.; Cerf, C. Asymmetric Photoreactions as the Origin of Biomolecular Homochirality: A Critical Review. Orig. Life Evol. Biosph. 2002, 32, 129–142. [Google Scholar] [CrossRef]
- Podlech, J. Origin of organic molecules and biomolecular homochirality. Cell. Mol. Life Sci. 2001, 58, 44–60. [Google Scholar] [CrossRef]
- Carroll, J.D. A new definition of life. Chirality 2009, 21, 354–358. [Google Scholar] [CrossRef] [PubMed]
- Barron, L.D. True and false chirality and absolute asymmetric synthesis. J. Am. Chem. Soc. 1986, 108, 5539–5542. [Google Scholar] [CrossRef]
- He, Y.J.; Qi, F.; Qi, S.C. Earth’s orbital chirality and driving force of biomolecular evolution. Med. Hypotheses 2001, 56, 493–496. [Google Scholar] [CrossRef] [PubMed]
- He, Y.J.; Qi, F.; Qi, S.C. Periodicity of Earth’s orbital chirality and possible mechanism of biological rhythms. Med. Hypotheses 2000, 55, 253–256. [Google Scholar] [CrossRef] [PubMed]
- He, Y.J.; Qi, F.; Qi, S.C. Effect of earth’s orbital chirality on elementary particles and unification of chiral asymmetries in life on different levels. Med. Hypotheses 2000, 54, 783–785. [Google Scholar] [CrossRef] [PubMed]
- He, Y.J.; Ql, F.; Ql, S.C. Effect of chiral helical force field on molecular helical enantiomers and possible origin of biomolecular homochirality. Med. Hypotheses 1998, 51, 125–128. [Google Scholar] [CrossRef]
- Stone, E.C.; Cummings, A.C.; McDonald, F.B.; Heikkila, B.C.; Lal, N.; Webber, W.R. Voyager 1 explores the termination shock region and the heliosheath beyond. Science 2005, 309, 2017–2020. [Google Scholar] [CrossRef] [PubMed]
- Shu, F.H. The Physical Universe: An Introduction to Astronomy; University Science Books; Mill Valley, Calif: Sasalito, CA, USA, 1982; Available online: https://www.researchgate.net/publication/234289751_Book-Review_-_the_Physical_Universe_-_an_Introduction_to_Astronomy (accessed on 28 May 2020).
- Maoz, D. Astrophysics in a Nutshell; Princeton University Press: Princeton, NJ, USA, 2007; p. 268. [Google Scholar]
- Decker, R.B.; Krimigis, S.M.; Roelof, E.C.; Hill, M.E.; Armstrong, T.P.; Gloeckler, G.; Hamilton, D.C.; Lanzerotti, L.J. Voyager 1 in the foreshock, termination shock, and heliosheath. Science 2005, 309, 2020–2024. [Google Scholar] [CrossRef]
- Vidal-Madjar, A.; Laurent, C.; Bruston, P.; Audouze, J. Is the solar system entering a nearby interstellar cloud. Astrophys. J. 1978, 223. [Google Scholar] [CrossRef][Green Version]
- Abbott, B.P.; Abbott, R.; Abbott, T.D.; Abernathy, M.R.; Acernese, F.; Ackley, K.; Adams, C.; Adams, T.; Addesso, P.; Adhikari, R.X.; et al. Observation of Gravitational Waves from a Binary Black Hole Merger. Phys. Rev. Lett. 2016, 116, 061102. [Google Scholar] [CrossRef]
- Fischbach, E.; Buncher, J.B.; Gruenwald, J.T.; Jenkins, J.H.; Krause, D.E.; Mattes, J.J.; Newport, J.R. Time-Dependent Nuclear Decay Parameters: New Evidence for New Forces? Space Sci. Rev. 2009, 145, 285–335. [Google Scholar] [CrossRef]
- Fischbach, E.; Chen, K.J.; Gold, R.E.; Goldsten, J.O.; Lawrence, D.J.; McNutt, R.J.; Rhodes, E.A.; Jenkins, J.H.; Longuski, J. Solar influence on nuclear decay rates: Constraints from the MESSENGER mission. Astrophys. Space Sci. 2011, 337, 39–45. [Google Scholar] [CrossRef]
- Sturrock, P.A.; Buncher, J.B.; Fischbach, E.; Javorsek, D., II; Jenkins, J.H.; Mattes, J.J. Concerning the Phases of the Annual Variations of Nuclear Decay Rates. Astrophys. J. 2011, 737. [Google Scholar] [CrossRef]
- Silverman, M.P. Search for anomalies in the decay of radioactive Mn-54. EPL Europhys. Lett. 2016, 114, 62001. [Google Scholar] [CrossRef]
- O’Keefe, D.; Morreale, B.L.; Lee, R.H.; Buncher, J.B.; Jenkins, J.H.; Fischbach, E.; Gruenwald, T.; Javorsek, D.; Sturrock, P.A. Spectral content of 22Na/44Ti decay data: Implications for a solar influence. Astrophys. Space Sci. 2013, 344, 297–303. [Google Scholar] [CrossRef]
- Norman, E.B.; Browne, E.; Shugart, H.A.; Joshi, T.H.; Firestone, R.B. Evidence against correlations between nuclear decay rates and Earth–Sun distance. Astroparticle Phys. 2009, 31, 135–137. [Google Scholar] [CrossRef]
- Norman, E.B.; Rech, G.A.; Browne, E.; Larimer, R.M.; Dragowsky, M.R.; Chan, Y.D.; Isaac, M.C.P.; McDonald, R.J.; Smith, A.R. Influence of physical and chemical environments on the decay rates of 7Be and 40K. Phys. Lett. B 2001, 519, 15–22. [Google Scholar] [CrossRef][Green Version]
- Ivanova, T.A.; Kuznettsov, S.N.; Logachev, Y.I.; Sosnovetc, E.N. North-south asymmetry and anisotropy of solar cosmic rays during the flare of April18, 1972. Kosmicheskie issledovaniya 1976, 14, 235–238. (In Russian) [Google Scholar]
- Svirzhevsky, N.S.; Svirzhevskaya, A.K.; Bazilevskaya, G.A.; Stozhkov, Y.I. North–South asymmetry in cosmic ray fluxes as measured in the stratosphere and in selected solar wind parameters in the near-Earth space. Adv. Space Res. 2005, 35, 671–676. [Google Scholar] [CrossRef]
- El-Borie, M.A.; El-Abshehy, M.; Talaat, S.; Taleb, W.M.A. North-south asymmetry in solar, interplanetary, and geomagnetic indices. Astrophysics 2012, 55, 127–139. [Google Scholar] [CrossRef]
- Tarasov, V.N. Sayana-Shushenskaya accident: Facts and hypotheses. Sci. Life 2013, 7, 18–30. (In Russian) [Google Scholar]
- Kurzin, V.B.; Seleznev, V.S. Mechanism of emergence of intense vibrations of turbines on the Sayano-Shushensk hydro power plant. J. Appl. Mech. Tech. Phys. 2010, 51, 590–597. [Google Scholar] [CrossRef]
- Lobanovsky Yu, I. Self-oscillations of pressure system and destruction of hydraulic units. Hydraul. Eng. 2010, 7, 39–45. Available online: http://www.plotina.net/experts/lobanovsky-2010/ (accessed on 28 May 2020).
- Tarasov, V.N. Hydroelastic vibrations of hydropower units of hydro power plant. Hydraul. Eng. 2012, 1, 26–36. (In Russian) [Google Scholar]
- Toga, A.W.; Thompson, P.M. Mapping brain asymmetry. Nat. Rev. Neurosci. 2003, 4, 37–48. [Google Scholar] [CrossRef]
- Sun, T.; Walsh, C.A. Molecular approaches to brain asymmetry and handedness. Nat. Rev. Neurosci. 2006, 7, 655–662. [Google Scholar] [CrossRef]
- Grove, E.A.; Fukuchi-Shimogori, T. Generating the cerebral cortical area map. Annu. Rev. Neurosci. 2003, 26, 355–380. [Google Scholar] [CrossRef]
- Geschwind, D.H.; Miller, B.L. Molecular approaches to cerebral laterality: Development and neurodegeneration. Am. J. Med. Genet. 2001, 101, 370–381. [Google Scholar] [CrossRef]
- Corballis, M.C. Mirror-Image Equivalence and Interhemispheric Mirror-Image Reversal. Front. Hum. Neurosci. 2018, 12, 140. [Google Scholar] [CrossRef]
- Stoyanov, Z.; Decheva, L.; Pashalieva, I.; Nikolova, P. Brain asymmetry, immunity, handedness. Open Med. 2012, 7, 1–8. [Google Scholar] [CrossRef]
- Corballis, M.C. Bilaterally Symmetrical: To Be or Not to Be? Symmetry 2020, 12, 326. [Google Scholar] [CrossRef]
- Corballis, M.C.; Beale, I.L. The Psychology of left and Right; Lawrence Erlbaum Associates: Hillsdale, NJ, USA, 1976; p. 240. [Google Scholar]
- Needham, R. Right and Left: Essays on Dual Symbolic Classification; University of Chicago Press: Chicago, IL, USA, 1973; Available online: https://muse.jhu.edu/article/598336/pdf (accessed on 28 May 2020).
- Lozano, M.; Estalrrich, A.; Bondioli, L.; Fiore, I.; Bermudez de Castro, J.M.; Arsuaga, J.L.; Carbonell, E.; Rosas, A.; Frayer, D.W. Right-handed fossil humans. Evol. Anthropol. 2017, 26, 313–324. [Google Scholar] [CrossRef] [PubMed]
- Rizzolatti, G.; Craighero, L. The mirror-neuron system. Annu. Rev. Neurosci. 2004, 27, 169–192. [Google Scholar] [CrossRef] [PubMed]
- Casile, A. Joining forces: Motor control meets mirror neurons: Comment on “Grasping synergies: A motor-control approach to the mirror neuron mechanism” by D’Ausilio, Bartoli, and Maffongelli. Phys. Life. Rev. 2015, 12, 111–113. [Google Scholar] [CrossRef] [PubMed]
- Rizzolatti, G.; Sinigaglia, C. The mirror mechanism: A basic principle of brain function. Nat. Rev. Neurosci. 2016, 17, 757–765. [Google Scholar] [CrossRef]
- Iacoboni, M. Imitation, empathy, and mirror neurons. Annu. Rev. Psychol 2009, 60, 653–670. [Google Scholar] [CrossRef]
- Ulmer, S.; Mooser, A.; Blaum, K.; Braeuninger, S.; Franke, K.; Kracke, H.; Leiteritz, C.; Matsuda, Y.; Nagahama, H.; Ospelkaus, C.; et al. The magnetic moments of the proton and the antiproton. J. Phys. Conf. Ser. 2014, 488, 1–7. [Google Scholar] [CrossRef]
- Ulmer, S.; Mooser, A.; Nagahama, H.; Sellner, S.; Smorra, C. Challenging the standard model by high-precision comparisons of the fundamental properties of protons and antiprotons. Philos. Trans. A Math. Phys. Eng. Sci. 2018, 376, 1–12. [Google Scholar] [CrossRef]
- Nagahama, H.; Smorra, C.; Sellner, S.; Harrington, J.; Higuchi, T.; Borchert, M.J.; Tanaka, T.; Besirli, M.; Mooser, A.; Schneider, G.; et al. Sixfold improved single particle measurement of the magnetic moment of the antiproton. Nat. Commun. 2017, 8, 14084. [Google Scholar] [CrossRef]
- Davankov, V. Chirality as an inherent general property of matter. Chirality 2006, 18, 459–461. [Google Scholar] [CrossRef]
- Davankov, V.A. Biological Homochirality on the Earth, or in the Universe? A Selective Review. Symmetry 2018, 10, 749. [Google Scholar] [CrossRef]
- Kozyrev, N.A. On the Possibility of Experimental Investigation of the Properties of Time; Time and Philosophy: Prague, Czech Republic, 1971; pp. 111–132. [Google Scholar]
- Kozyrev, N.A. Selected Works; Leningrad State University: Saint Petersburg, Russia, 1991; p. 488. (In Russian) [Google Scholar]
- Kozyrev, N.A. Possibility of experimental study of the properties of time. Abraham Zelmanov J. 2012, 5, 188–220. [Google Scholar]
- Margerison, T. Causal Mechanics—The Russin Scientific Dispute; New Scientists: London, UK, 1959. [Google Scholar]
- Levich, A.P. A Substantial Interpretation of N. A. Kozyrev’s Conception of Time; World Scientific: Hackensack, NJ, USA, 1996; pp. 1–42. [Google Scholar]
- Kasatkina, E.A.; Shimolov, O.L.; Raspopov, O.M. Ozone "mini-holes" initiated by solar protons in the northern and southern polar caps. Geomagnetism Aeronomiya 1998, 38, 30–36. [Google Scholar]
- Sabburg, J.; Parisi, A.; Wong, J.; Meldrum, L. Preliminary UV, ozone and cloud comparison between Southern and Northern Hemisphere, sub-tropical latitude sites during 1996/1997. J. Atmos. Solar Terr. Phys. 2001, 63, 1623–1629. [Google Scholar] [CrossRef][Green Version]
- Watt-Meyer, O.; Frierson, D.M.W.; Fu, Q. Hemispheric Asymmetry of Tropical Expansion Under CO2 Forcing. Geophys. Res. Lett. 2019, 46, 9231–9240. [Google Scholar] [CrossRef]
- Dunn, R.R.; Agosti, D.; Andersen, A.N.; Arnan, X.; Bruhl, C.A.; Cerda, X.; Ellison, A.M.; Fisher, B.L.; Fitzpatrick, M.C.; Gibb, H.; et al. Climatic drivers of hemispheric asymmetry in global patterns of ant species richness. Ecol. Lett. 2009, 12, 324–333. [Google Scholar] [CrossRef]










































R1Y (Y = OR) R1= ![]() | Complex | CH3CH(Ph)CHCH2 ee% (Conf.) |
|---|---|---|
![]() | NiBr2(R,R)-dpcp | 52(S) |
| NiBr2(S,S)-dpcp | 42(R) | |
![]() | NiBr2(R,R)-dpcp | 67(S) |
| NiBr2(S,S)-dpcp | 58(R) |
| L | ee% | Config. Product | Ref. |
|---|---|---|---|
| 1 | 8 | S | [74] |
| 2 | 8 | R | [75] |
| 3 | 26 | S | [74] |
| 4 | 20 | R | [74] |
| 5 | 4 | S | [76] |
![]() | ![]() | ![]() | |
| 1 R = OH (C2) 2 R = NMePh (C2) | 3 R = NH2 (C2) 4 R = OH (C2) | 5 (C2) | |
| Name | Conformation | Name | Conformation |
|---|---|---|---|
| Cruciform | ![]() | Slipped (hairpin) structures | ![]() |
| Triplex | ![]() | Left-handed Z-DNA | ![]() |
© 2020 by the authors. Licensee MDPI, Basel, Switzerland. This article is an open access article distributed under the terms and conditions of the Creative Commons Attribution (CC BY) license (http://creativecommons.org/licenses/by/4.0/).
Share and Cite
Pavlov, V.A.; Shushenachev, Y.V.; Zlotin, S.G. Possible Physical Basis of Mirror Symmetry Effect in Racemic Mixtures of Enantiomers: From Wallach’s Rule, Nonlinear Effects, B–Z DNA Transition, and Similar Phenomena to Mirror Symmetry Effects of Chiral Objects. Symmetry 2020, 12, 889. https://doi.org/10.3390/sym12060889
Pavlov VA, Shushenachev YV, Zlotin SG. Possible Physical Basis of Mirror Symmetry Effect in Racemic Mixtures of Enantiomers: From Wallach’s Rule, Nonlinear Effects, B–Z DNA Transition, and Similar Phenomena to Mirror Symmetry Effects of Chiral Objects. Symmetry. 2020; 12(6):889. https://doi.org/10.3390/sym12060889
Chicago/Turabian StylePavlov, Valerii A., Yaroslav V. Shushenachev, and Sergey G. Zlotin. 2020. "Possible Physical Basis of Mirror Symmetry Effect in Racemic Mixtures of Enantiomers: From Wallach’s Rule, Nonlinear Effects, B–Z DNA Transition, and Similar Phenomena to Mirror Symmetry Effects of Chiral Objects" Symmetry 12, no. 6: 889. https://doi.org/10.3390/sym12060889
APA StylePavlov, V. A., Shushenachev, Y. V., & Zlotin, S. G. (2020). Possible Physical Basis of Mirror Symmetry Effect in Racemic Mixtures of Enantiomers: From Wallach’s Rule, Nonlinear Effects, B–Z DNA Transition, and Similar Phenomena to Mirror Symmetry Effects of Chiral Objects. Symmetry, 12(6), 889. https://doi.org/10.3390/sym12060889











