Numerical Simulation of Drag Reduction on a Square Rod Detached with Two Control Rods at Various Gap Spacing via Lattice Boltzmann Method
Abstract
1. Introduction
2. Lattice Boltzmann Method
3. Problem Statement, Boundary Conditions, and Important Parameters
4. Code Validity and Grid Independence Study
5. Results and Discussion
5.1. Analysis of Flow Modes
5.1.1. Single Bluff Body (SBB) Flow Mode
5.1.2. Without Rolled up Shear Layer Reattachment (WSLR) Flow Mode
5.1.3. Rolled up Shear Layer Reattachment (RSLR) Flow Mode
5.1.4. Steady Flow (SF) Mode
5.1.5. Critical Flow (CF) Mode
5.1.6. Fully Developed Vortex Street (FDVS) Flow Mode
5.1.7. Two Rows Vortex Street (TRVS) Flow Mode
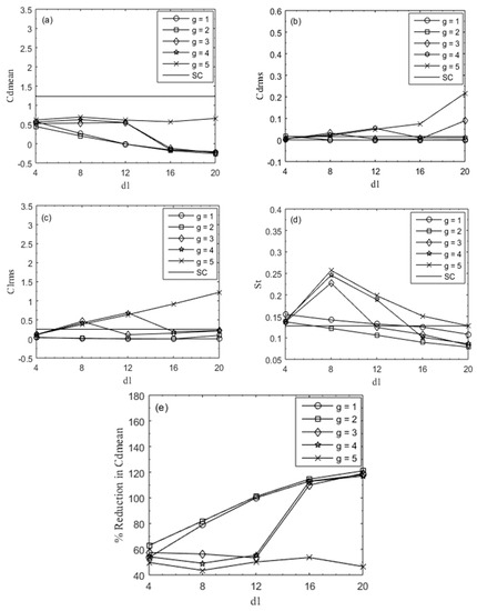
5.2. Force Statistics
6. Conclusions
- (1)
- By varying g and d1, seven different flow modes were observed in this study: (i) single bluff body; (ii) without rolled up shear layer reattachment; (iii) rolled up shear layer reattachment; (iv) steady flow; (v) fully developed vortex street; (vi) critical flow; and (vii) two row vortex street flow modes.
- (2)
- The vortex shedding is completely suppressed at (g, d1) = (1, 12), (2, 12), and (2, 16) for steady flow mode.
- (3)
- It is observed that at highest gap spacing, that is g = 5, the effect of the control rods on the main rod vanishes. As a result, maximum values of Cdmean and St are investigated at (g, d1) = (5, 8).
- (4)
- It is found that the main rod experiences a negative drag force at (g, d1) = (1, 12), (2, 12), (1, 16), (2, 16), (3, 16), (4, 16), (1, 20), (2, 20), (3, 20), and (4, 20) due to the effect of thrust.
- (5)
- The maximum reduction in Cdmean was 121%, examined at (g, d1) = (2, 20) and minimum reduction at (g, d1) = (5, 8), which was 43.6%. Therefore, it was concluded that the maximum size of control rods with a moderate gap spacing plays an important role for reducing more drag force and suppress vortex shedding as compared to maximum gap spacing with small sizes of control rods.
- (6)
- The present numerical study shows that the lattice Boltzmann method is an effective technique to solve the problems of flow behind bluff bodies.
Author Contributions
Funding
Acknowledgments
Conflicts of Interest
Nomenclature
| Cd | component of drag force |
| Cl | component of lift force |
| Cdmean | mean drag coefficient |
| Cdrms | root-mean-square value of drag coefficient |
| Clrms | root-mean-square value of lift coefficient |
| d | size of main rod |
| d1 | size of control rods |
| Fd | in-line force component |
| fi | particle density distribution function |
| fi(eq) | particle equilibrium distribution function |
| Fl | transverse force component |
| fs | vortex shedding frequency |
| g | spacing value |
| Ld | downstream distance |
| Lu | upstream distance |
| Re | Reynolds number |
| s | distance between main rod and control rods |
| St | Strouhal number |
| U∞ | uniform inflow velocity |
| Q | number of particles |
| Greek Symbols | |
| ωi | weighting coefficients |
| τ | stability parameter |
| ν | kinematic viscosity |
| ρ | density of fluid particle |
References
- Mittal, S.; Raghuvanshi, A. Control of vortex shedding behind circular rod for flows at low Reynolds numbers. Int. J. Numer. Methods Fluids 2001, 35, 421–447. [Google Scholar] [CrossRef]
- Zhao, M.; Cheng, L.; Teng, B.; Liang, D.F. Numerical simulation of viscous flow past two circular rods of different diameters. Appl. Ocean Res. 2005, 27, 39–55. [Google Scholar] [CrossRef]
- Turki, S. Numerical simulation of passive control on vortex shedding behind square rod using splitter plate. Eng. Appl. Comput. Fluid Mech. 2008, 2, 514–524. [Google Scholar]
- Kuo, C.H.; Chen, C.C. Passive control of wake on by two small control rods at Reynolds number. J. Fluids Struct. 2009, 25, 1021–1028. [Google Scholar] [CrossRef]
- Malekzadeh, S.; Sohankar, A. Reduction of fluid forces and heat transfer on a square rod in a laminar flow regime using a control plate. Int. J. Heat Fluid Flow 2012, 34, 15–27. [Google Scholar] [CrossRef]
- Ali, M.S.M.; Doolan, C.J.; Wheatley, V. Low Reynolds number flow over a square rod with a detached flat plate. Int. J. Heat Fluid Flow 2012, 36, 133–141. [Google Scholar] [CrossRef]
- Wu, H.; Sun, D.P.; Lu, L.; Teng, B.; Tang, G.Q.; Song, J.N. Experimental investigation on the suppression of vortex-induced vibration of long flexible riser by multiple control rods. J. Fluids Struct. 2012, 30, 115–132. [Google Scholar] [CrossRef]
- Bao, Y.; Tao, J. The passive control of wake flow behind a circular rod by parallel dual plates. J. Fluids Struct. 2013, 37, 201–219. [Google Scholar] [CrossRef]
- Gupta, A. Suppression of Vortex Shedding in Flow around Square Rod Using Control Rod; Department of Mechanical Engineering, Indian Institute of Technology: Kanpur, India, 2013; pp. 1–13. [Google Scholar]
- Islam, S.U.; Rahman, H.; Abbasi, W.S.; Noreen, U.; Khan, A. Suppression of fluid force on flow past a square rod with a detached flat plate at low Reynolds number for various spacing ratios. J. Mech. Sci. Technol. 2014, 28, 4969–4978. [Google Scholar] [CrossRef]
- Lu, L.; Liu, M.M.; Teng, B.; Cui, Z.D.; Tang, G.Q.; Zhao, M.; Cheng, L. Numerical investigation of fluid flow past circular rod with multiple control rods at low Reynolds number. J. Fluids Struct. 2014, 48, 235–259. [Google Scholar] [CrossRef]
- Vamsee, G.R.; de Tena, M.L.; Tiwari, S. Effect of arrangement of inline control plate on flow past square rod. Prog. Comput. Fluid Dyn. 2014, 14, 277–294. [Google Scholar] [CrossRef]
- Islam, S.U.; Rahman, H.; Abbasi, W.S.; Shahina, T. Lattice Boltzmann study of wake structures and force statistics for various gap spacings between a square rod with a detached flat plate. Arab. J. Sci. Eng. 2015, 40, 2169–2182. [Google Scholar] [CrossRef]
- Islam, S.U.; Manzoor, R.; Islam, Z.U.; Kalsoom, S.; Zhou, C.Y. A computational study of drag reduction and vortex shedding suppression of flow past a square rod in presence of small control rods. AIP Adv. 2017, 7, 045119. [Google Scholar] [CrossRef]
- Islam, S.U.; Manzoor, R.; Zhou, C.Y. Effect of Reynolds number on flow past a square rod in presence of multiple control rods at various gap spacings. Arab. J. Sci. Eng. 2017, 42, 1049–1064. [Google Scholar] [CrossRef]
- Islam, S.U.; Manzoor, R.; Khan, U.; Nazeer, G.; Hassan, S. Drag reduction on a square rod using multiple detached control rods. KSCE J. Civ. Eng. 2017, 22, 2023–2034. [Google Scholar] [CrossRef]
- Chen, S.; Doolen, G. Lattice Boltzmann method for fluid flows. Annu. Rev. Fluid Mech. 1998, 30, 329–364. [Google Scholar] [CrossRef]
- Wolf-Gladrow, D.A. Lattice-Gas Cellular Automata and Lattice Boltzmann Models-An introduction; Springer: Berlin/Heidelberg, Germany, 2005. [Google Scholar]
- Sukop, M.C.; Thorne, D.T. Lattice Boltzmann Modeling: An Introduction for Geoscientists and Engineers; Springer: Berlin/Heidelberg, Germany, 2006. [Google Scholar]
- Mohammad, A.A. Lattice Boltzmann Method: Fundamentals and Engineering Applications with Computer Codes; Springer: London, UK, 2011. [Google Scholar]
- Guo, Z.; Liu, H.; Luo, L.S.; Xu, K. A comparative study of the LBE and GKS methods for 2D near incompressible laminar flows. J. Comput. Phys. 2008, 227, 4955–4976. [Google Scholar] [CrossRef]
- Cheng, M.; Whyte, D.S.; Lou, J. Numerical simulation of flow around a square rod in uniform-shear flow. J. Fluids Struct. 2007, 23, 207–226. [Google Scholar] [CrossRef]
- Okajima, A. Strouhal of rectangular rods. J. Fluid Mech. 1982, 123, 379–398. [Google Scholar] [CrossRef]
- Norberg, C. Flow around rectangular cylinders: Pressure forces and wake frequencies. J. Wind Eng. Ind. Aerodyn. 1993, 49, 187–196. [Google Scholar] [CrossRef]
- Sohankar, A.; Davidson, L.; Norberg, C. Numerical simulation of unsteady flow around a square two-dimensional rod. In Proceedings of the Twelfth Australasian Fluid Mechanics Conference, Sydney, Australia, 10–15 December 1995. [Google Scholar]
- Robichuax, J.; Balachandar, S.; Vanka, S.P. Three-dimensional floquet instability of the wake of a square rod. Phys. Fluids 1999, 11, 560–578. [Google Scholar] [CrossRef]
- Abograis, A.S.; Alshayji, A.E. Reduction of Fluid Forces on a square rod in a laminar flow using passive control methods. In Proceedings of the COMSOL Conference in Boston, Boston, MA, USA, 9–11 October 2013. [Google Scholar]
- Zdravkovich, M.M. Review and classification of various aerodynamic and hydrodynamic means for suppressing vortex shedding. J. Wind Eng. Ind. Aerodyn. 1981, 7, 145–189. [Google Scholar] [CrossRef]
- Igarashi, T.; Suzuki, K. Characteristics of the flow around three circular rods arranged inline. Bull. JSME 1984, 27, 2397–2404. [Google Scholar] [CrossRef]
- Sewatkar, C.M.; Patel, R.; Sharma, A.; Agrawal, A. Flow around six in-line square rods. J. Fluid Mech. 2012, 710, 195–233. [Google Scholar] [CrossRef]
- Zdravkovich, M.M. Review of flow interference between two circular rods in various arrangements. J. Fluids Eng. 1977, 99, 618–633. [Google Scholar] [CrossRef]
- Islam, S.U.; Abbasi, W.S.; Rahman, H.; Naheed, R. Numerical investigation of wake modes for flow past three tandem rods using the multi-relaxation-time lattice Boltzmann method for different gap spacings. J. Braz. Soc. Mech. Sci. Eng. 2016, 36, 799–812. [Google Scholar] [CrossRef]
- Harichandan, A.B.; Roy, R. Numerical investigation of low Reynolds number flow past two and three circular rods using unstructured grid CFR scheme. Int. J. Heat Fluid Flow 2010, 31, 154–171. [Google Scholar] [CrossRef]
- Abbasi, W.S.; Islam, S.U.; Rahman, H.; Manzoor, R. Numerical investigation of fluid-solid interaction for flow around three square rods. AIP Adv. 2018, 8, 025221. [Google Scholar] [CrossRef]















| 10 Points | 20 Points | 40 Points | |
|---|---|---|---|
| Cdmean | 1.211 (1.69%) | 1.2320 (2.3%) | 1.262 |
| Cdrms | 0.019 (16.7%) | 0.0161 (8.2%) | 0.0150 |
| Clrms | 0.2802 (9.8%) | 0.256 (7.1%) | 0.242 |
| Re | Cdmean (Re = 100) | St (Re = 100) | Cdmean (Re = 150) | St (Re = 150) |
|---|---|---|---|---|
| Present | 1.4868 | 0.1499 | 1.508 | 0.1549 |
| Experimental [23] | 1.60 | 0.141 | 1.492 | 0.142 |
| Experimental [24] | 1.512 | 0.1402 | 1.450 | 0.150 |
| Numerical [25] | 1.444 | 0.145 | 1.408 | 0.161 |
| Numerical [26] | 1.54 | 0.154 | 1.56 | 0.164 |
| Numerical [27] | 1.480 | 0.140 | 1.474 | 0.1528 |
| Cases | L × H (g = 1) | L × H (g = 2) | L × H (g = 3) | L × H (g = 4) | L × H (g = 5) |
|---|---|---|---|---|---|
| d1 = 4 | 889 × 221 | 929 × 221 | 969 × 221 | 1009 × 221 | 1049 × 221 |
| d1 = 8 | 897 × 221 | 937 × 221 | 977 × 221 | 1017 × 221 | 1057 × 221 |
| d1 = 12 | 905 × 221 | 945 × 221 | 985 × 221 | 1025 × 221 | 1065 × 221 |
| d1 = 16 | 913 × 221 | 953 × 221 | 993 × 221 | 1033 × 221 | 1073 × 221 |
| d1 = 20 | 921 × 221 | 961 × 221 | 1001 × 221 | 1041 × 221 | 1081 × 221 |
© 2020 by the authors. Licensee MDPI, Basel, Switzerland. This article is an open access article distributed under the terms and conditions of the Creative Commons Attribution (CC BY) license (http://creativecommons.org/licenses/by/4.0/).
Share and Cite
Manzoor, R.; Khalid, A.; Khan, I.; Shams-Ul-Islam; Baleanu, D.; Nisar, K.S. Numerical Simulation of Drag Reduction on a Square Rod Detached with Two Control Rods at Various Gap Spacing via Lattice Boltzmann Method. Symmetry 2020, 12, 475. https://doi.org/10.3390/sym12030475
Manzoor R, Khalid A, Khan I, Shams-Ul-Islam, Baleanu D, Nisar KS. Numerical Simulation of Drag Reduction on a Square Rod Detached with Two Control Rods at Various Gap Spacing via Lattice Boltzmann Method. Symmetry. 2020; 12(3):475. https://doi.org/10.3390/sym12030475
Chicago/Turabian StyleManzoor, Raheela, Asma Khalid, Ilyas Khan, Shams-Ul-Islam, Dumitru Baleanu, and Kottakkaran Sooppy Nisar. 2020. "Numerical Simulation of Drag Reduction on a Square Rod Detached with Two Control Rods at Various Gap Spacing via Lattice Boltzmann Method" Symmetry 12, no. 3: 475. https://doi.org/10.3390/sym12030475
APA StyleManzoor, R., Khalid, A., Khan, I., Shams-Ul-Islam, Baleanu, D., & Nisar, K. S. (2020). Numerical Simulation of Drag Reduction on a Square Rod Detached with Two Control Rods at Various Gap Spacing via Lattice Boltzmann Method. Symmetry, 12(3), 475. https://doi.org/10.3390/sym12030475

