Using Neighborhood Rough Set Theory to Address the Smart Elderly Care in Multi-Level Attributes
Abstract
1. Introduction
- (1)
- (2)
- The principal component analysis is reduced, and the mutual influence between evaluation indexes is eliminated by replacing the original variables with several principal components with larger contributions. This study is necessary to delete irrelevant or unimportant attributes to eliminate the interference of irrelevant features when using the data with higher dimensions [15];
- (3)
- Effective feature extraction in deep learning: Data-driven deep learning analysis has been developed and applied in many fields. The ability to fit and extract features has been improved by combining multiple processing layers in a variety of data analysis tasks [16];
- (4)
- The attribute reduction of rough set theory is an extension of the theory of modeling ambiguity and imprecision [17]. The designed attribute table is composed of multiple, highly reliable symmetric attributes in the adopted theoretical model. There are overlapping among the various attributes, and the symmetric attributes should be deleted to prevent their reduction effects [18,19,20].
2. Literature Review
3. Method
3.1. The Theorem of Neighborhood Rough Set
3.2. Steps to Calculate Importance Based on Neighborhood Rough Set
3.3. Verification of Neighborhood Rough Set Attribute Reduction Program
4. Results
4.1. Analysis of the Importance of Primary and Secondary Condition Attributes
4.2. Conditional Attribute Reduction Results and Verification
4.3. Analysis of Symmetric Attributes in Adopting Smart Elderly Care Based on the Importance of Condition Attributes
5. Implications
- (1)
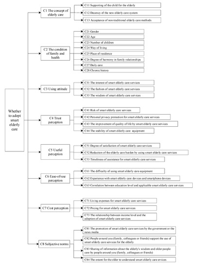
- Building a multi-level attribute set block diagram to forecast the main demand attributes of smart elderly care service. In the case of big data, there are many attributes which affect the acceptance of smart elderly care. To conveniently assign the importance of condition attribute relative to decision attributes after attribute reduction and the analysis of data conditional attributes are classified and divided before attribute reduction. In this way, the reduction algorithm can process the data more efficiently and accurately.
- (2)
- Reducing the influence attributes of wisdom endowment acceptability by using neighborhood rough sets. To better evaluate the demand attributes of smart elderly care. This study adopts the neighborhood rough set to carry out attribute reduction for multiple conditional attributes. The purpose is to eliminate redundant attributes and extract the main influencing attributes of the demand for smart elderly care. This study provides a valuable reference for the development of smart elderly care service in the future.
- (3)
- Building the mathematical model to find the best . The rough set of the neighborhood is used to reduce the attributes of the condition attributes to get more accurate results of the attribute reduction. Furthermore, the selection of the neighborhood radius is important. Therefore, if the optimal radius is selected, the value must be best. This study has been established to calculate the mathematical model of optimal λ. Firstly, the step size is 0.01 to change the parameter value getting different values of . Secondly, it has been analyzed the effect of smaller or larger value on the attribute reduction result of the neighborhood rough set. This study is good to select the optimal value and get a more objective attribute reduction result. This λ value guarantees the symmetry of reduction results and classification accuracy, and gets a more objective attribute reduction result.
- (4)
- Verifying the result of attribute reduction by sensitivity analysis. This study used the neighborhood rough set theory to obtain the reduction results. Based on the importance of the conditional attribute to the decision attribute, the sensitivity analysis of the conditional attribute can verify whether the reduction result of the attribute is correct. The methods of attribute reduction and verification of reduction results used to make it as a valuable study direction to find knowledge directly from MSIS without losing information and problems, such as evaluating indoor air quality level of buildings is solved [30,54]. Neighborhood rough set was used to reduce conditional attributes and verify by the method of sensitivity analysis. This study provides a reference for future problems to reduce attribute and verification of attribute reduction results.
- (5)
- Attribute reduction results by using neighborhood rough set, are of significance for the smart the elderly care service and the future development of management. This study has been combined with the integration of smart elderly theory and practice in the context of Chinese characteristics. In addition, this study makes a comprehensive analysis of these influencing attributes and promotes the reform and development of intelligent elderly care. The results present gender and living expenses for smart services are two condition attributes that play a key role in the adoption of smart elderly care service. In addition, the condition attribute of daily care is also an important factor to consider.
- (6)
- The results show that the condition attribute of decency of the new elderly care system also has a certain impact on the adoption of smart services. Contemporary society needs to take the essence and discard the dross of traditional ideas change the traditional ideas, such as raising children for old age and publicize new smart services with the progress of society, and the development of intelligent technology. In addition, the condition attribute of a place of residence has a certain impact on the adoption of smart services. Elderly people living in rural areas are more likely to adopt smart services.
6. Conclusions
Author Contributions
Funding
Conflicts of Interest
References
- Chen, H.M.; Li, T.R.; Luo, C.; Horng, S.J.; Wang, G.Y. A Decision-Theoretic Rough Set Approach for Dynamic Data Mining. IEEE Trans. Fuzzy Syst. 2015, 23, 1958–1970. [Google Scholar] [CrossRef]
- Fan, X.D.; Zhao, W.D.; Wang, C.Z.; Huang, Y. Attribute reduction based on max-decision neighborhood rough set model. Knowl. Based Syst. 2018, 151, 16–23. [Google Scholar] [CrossRef]
- Chen, H.M.; Li, T.R.; Cai, Y.; Luo, C.; Fujita, H. Parallel attribute reduction in dominance-based neighborhood rough set. Inf. Sci. 2016, 373, 351–368. [Google Scholar] [CrossRef]
- Chen, Y.M.; Zeng, Z.Q.; Lu, J.W. Neighborhood rough set reduction with fish swarm algorithm. Soft Comput. 2017, 21, 6907–6918. [Google Scholar] [CrossRef]
- Gokalp, H.; de Folter, J.; Verma, V.; Fursse, J.; Jones, R.; Clarke, M. Integrated Telehealth and Telecare for Monitoring Frail Elderly with Chronic Disease. Telemed. E Health 2018, 24, 940–957. [Google Scholar] [CrossRef]
- Karlsen, C.; Moe, C.E.; Haraldstad, K.; Thygesen, E. Caring by telecare? A hermeneutic study of experiences among older adults and their family caregivers. J. Clin. Nurs. 2019, 28, 1300–1313. [Google Scholar] [CrossRef]
- Mudzimbabwe, W. A simple numerical solution for an optimal investment strategy for a DC pension plan in a jump diffusion model. J. Comput. Appl. Math. 2019, 360, 55–61. [Google Scholar] [CrossRef]
- Nathan, V.; Paul, S.; Prioleau, T.; Niu, L.; Mortazavi, B.J.; Cambone, S.A.; Veeraraghavan, A.; Sabharwal, A.; Jafari, R. A Survey on Smart Homes for Aging in Place Toward solutions to the specific needs of the elderly. IEEE Signal Process. Mag. 2018, 35, 111–119. [Google Scholar] [CrossRef]
- Wang, M.H.; Wang, X.; Yang, L.T.; Deng, X.J.; Yi, L.Z. Multi-sensor fusion based intelligent sensor relocation for health and safety monitoring in BSNs. Inf. Fusion 2020, 54, 61–71. [Google Scholar] [CrossRef]
- Hamilton, E.C.; Saiyed, F.; Miller, C.C.; Eguia, A.; Fonseca, A.C.; Baum, G.P.; Tsao, K.J.; Austin, M.T. The digital divide in adoption and use of mobile health technology among caregivers of pediatric surgery patients. J. Pediatr. Surg. 2018, 53, 1478–1493. [Google Scholar] [CrossRef]
- Niehaves, B.; Plattfaut, R. Internet adoption by the elderly: Employing IS technology acceptance theories for understanding the age-related digital divide. Eur. J. Inf. Syst. 2014, 23, 708–726. [Google Scholar] [CrossRef]
- Wu, Y.H.; Damnee, S.; Kerherve, H.; Ware, C.; Rigaud, A.S. Bridging the digital divide in older adults: A study from an initiative to inform older adults about new technologies. Clin. Interv. Aging 2015, 10, 193–201. [Google Scholar] [CrossRef]
- Cuomo, S.; Galletti, A.; Marcellino, L.; Navarra, G.; Toraldo, G. On GPU-CUDA as preprocessing of fuzzy-rough data reduction by means of singular value decomposition. Soft Comput. 2018, 22, 1525–1532. [Google Scholar] [CrossRef]
- Phillips, R.D.; Watson, L.T.; Wynne, R.H.; Blinn, C.E. Feature reduction using a singular value decomposition for the iterative guided spectral class rejection hybrid classifier. ISPRS J. Photogramm. Remote Sens. 2009, 64, 107–116. [Google Scholar] [CrossRef]
- Verma, V.S.; Jha, R.K.; Ojha, A. Digital watermark extraction using support vector machine with principal component analysis based feature reduction. J. Vis. Commun. Image Represent. 2015, 31, 75–85. [Google Scholar] [CrossRef]
- Farias, G.; Dormido-Canto, S.; Vega, J.; Ratta, G.; Vargas, H.; Hermosilla, G.; Alfaro, L.; Valencia, A. Automatic feature extraction in large fusion databases by using deep learning approach. Fusion Eng. Des. 2016, 112, 979–983. [Google Scholar] [CrossRef]
- Xu, F.; Xing, Z.Y.; Yin, H.D. Attribute reductions and concept lattices in interval-valued intuitionistic fuzzy rough set theory: Construction and properties. J. Intell. Fuzzy Syst. 2016, 30, 1231–1242. [Google Scholar] [CrossRef]
- Dearing, J.W.; Cox, J.G. Diffusion of Innovations Theory, Principles, And Practice. Health Aff. 2018, 37, 183–190. [Google Scholar] [CrossRef]
- Hoque, R.; Sorwar, G. Understanding factors influencing the adoption of mHealth by the elderly: An extension of the UTAUT model. Int. J. Med. Inform. 2017, 101, 75–84. [Google Scholar] [CrossRef]
- Pal, D.; Triyason, T.; Funilkul, S.; Chutimaskul, W. Smart Homes and Quality of Life for the Elderly: Perspective of Competing Models. IEEE Access 2018, 6, 8109–8122. [Google Scholar] [CrossRef]
- Pawlak, Z. Rough set. Int. J. Comput. Inform. Sci. 1982, 11, 341–356. [Google Scholar] [CrossRef]
- Akram, M.; Arshad, M. Fuzzy Rough Graph Theory with Applications. Int. J. Comput. Intell. Syst. 2019, 12, 90–107. [Google Scholar] [CrossRef]
- Bo, C.; Zhang, X.; Shao, S.; Smarandache, S. Multi-Granulation Neutrosophic Rough Sets on a Single Domain and Dual Domains with Applications. Symmetry 2018, 10, 296. [Google Scholar] [CrossRef]
- Multi-Granulation Rough Set for Incomplete Interval-Valued Decision Information Systems Based on Multi-Threshold Tolerance Relation. Symmetry 2018, 10, 208. [CrossRef]
- Kim, E.H.; Gellis, Z.D.; Bradway, C.K.; Kenaley, B. Depression care services and telehealth technology use for homebound elderly in the United States. Aging Ment. Health 2019, 23, 1164–1173. [Google Scholar] [CrossRef]
- Wei, W.; Liang, J.Y. Information fusion in rough set theory: An overview. Inf. Fusion 2019, 48, 107–118. [Google Scholar] [CrossRef]
- Thuy, N.N.; Wongthanavasu, S. On reduction of attributes in inconsistent decision tables based on information entropies and stripped quotient sets. Expert Syst. Appl. 2019, 137, 308–323. [Google Scholar] [CrossRef]
- Lei, L.; Chen, W.; Xue, Y.; Liu, W. A comprehensive evaluation method for indoor air quality of buildings based on rough sets and a wavelet neural network. Build. Environ. 2019, 162, 106296. [Google Scholar] [CrossRef]
- Chen, M.C.; Yuan, J.L.; Li, L.; Liu, D.L.; He, Y. Heuristic attribute reduction and resource-saving algorithm for energy data of data centers. Knowl. Inf. Syst. 2019, 61, 277–299. [Google Scholar] [CrossRef]
- Wu, W.-W.; Lee, Y.-T.; Tseng, M.-L.; Chiang, Y.-H. Data mining for exploring hidden patterns between KM and its performance. Knowl. Based Syst. 2010, 23, 397–401. [Google Scholar] [CrossRef]
- Che, X.Y.; Mi, J.S. Attributes set reduction in multigranulation approximation space of a multi-source decision information system. Int. J. Mach. Learn. Cybern. 2019, 10, 2297–2311. [Google Scholar] [CrossRef]
- Abbas, S.M.; Alam, K.A.; Shamshirband, S. A Soft-Rough Set Based Approach for Handling Contextual Sparsity in Context-Aware Video Recommender Systems. Mathematics 2019, 7, 740. [Google Scholar] [CrossRef]
- Ramírez-Correa, P.; Grandón, E.E.; Ramírez-Santana, M.; Belmar Órdenes, L. Explaining the Use of Social Network Sites as Seen by Older Adults: The Enjoyment Component of a Hedonic Information System. Int. J. Environ. Res. Public Health 2019, 16, 1673. [Google Scholar] [CrossRef]
- Camero, A.; Alba, E. Smart City and information technology: A review. Cities 2019, 93, 84–94. [Google Scholar] [CrossRef]
- Bunders, D.J.; Varró, K. Problematizing data-driven urban practices: Insights from five Dutch ‘smart cities’. Cities 2019, 93, 145–152. [Google Scholar] [CrossRef]
- Song, Y.; Chen, Y.-Y. Information and communication technology among early and late middle-aged adults in urban China: Daily use and anticipated support in old age. Aust. J. Ageing 2019, 38, e85–e92. [Google Scholar] [CrossRef]
- De Breij, S.; Deeg, D.J.H. Macro-level determinants of post-retirement health and health inequalities: A multilevel analysis of 18 European countries. Eur. J. Public Health 2018, 28, 308. [Google Scholar] [CrossRef]
- Wu, K.J.; Liao, C.J.; Tseng, M.L.; Hu, J.; Lim, M.; Tan, K. Toward Sustainability: Using Big Data to Explore Decisive Supply Chain Risk Factors Under Uncertainty. J. Clean. Prod. 2017, 142, 663–676. [Google Scholar] [CrossRef]
- Chen, X.J.; Li, D.; Wang, X.; Yang, X.B.; Li, H.M. Rough intuitionistic type-2 fuzzy c-means clustering algorithm for MR image segmentation. IET Image Process. 2019, 13, 607–614. [Google Scholar] [CrossRef]
- Ding, W.P.; Lin, C.T.; Prasad, M. Hierarchical co-evolutionary clustering tree-based rough feature game equilibrium selection and its application in neonatal cerebral cortex MRI. Expert Syst. Appl. 2018, 101, 243–257. [Google Scholar] [CrossRef]
- Huang, W.T.; Kong, F.Z.; Zhao, X.Z. Spur bevel gearbox fault diagnosis using wavelet packet transform and rough set theory. J. Intell. Manuf. 2018, 29, 1257–1271. [Google Scholar] [CrossRef]
- Sahu, M.; Nagwani, N.K. Optimal Channel Selection on Electroencephalography (EEG) Device Data Using Feature Re-Ranking and Rough Set Theory on Eye State Classification Problem. J. Med. Imaging Health Inform. 2018, 8, 214–222. [Google Scholar] [CrossRef]
- Tian, X.Y. Research on the realization path of smart old-age care in Suzhou based on intelligent recommendation system. J. Intell. Fuzzy Syst. 2018, 35, 3051–3063. [Google Scholar] [CrossRef]
- Zhang, N.; Gao, X.Y.; Yu, T.Y. Heuristic Approaches to Attribute Reduction for Generalized Decision Preservation. Appl. Sci. 2019, 9, 2841. [Google Scholar] [CrossRef]
- Wang, C.Z.; Shi, Y.P.; Fan, X.D.; Shao, M.W. Attribute reduction based on k-nearest neighborhood rough sets. Int. J. Approx. Reason. 2019, 106, 18–31. [Google Scholar] [CrossRef]
- Hu, Q.H.; Yu, D.R.; Liu, J.F.; Wu, C.X. Neighborhood rough set based heterogeneous feature subset selection. Inf. Sci. 2008, 178, 3577–3594. [Google Scholar] [CrossRef]
- Liu, H.C.; Wang, L.E.; Li, Z.W.; Hu, Y.P. Improving Risk Evaluation in FMEA with Cloud Model and Hierarchical TOPSIS Method. IEEE Trans. Fuzzy Syst. 2019, 27, 84–95. [Google Scholar] [CrossRef]
- Li, W.Q.; Zhao, C.H.; Gao, F.R. Linearity Evaluation and Variable Subset Partition Based Hierarchical Process Modeling and Monitoring. IEEE Trans. Ind. Electron. 2018, 65, 2683–2692. [Google Scholar] [CrossRef]
- Qian, J.; Lv, P.; Yue, X.D.; Liu, C.H.; Jing, Z.J. Hierarchical attribute reduction algorithms for big data using MapReduce. Knowl. Based Syst. 2015, 73, 18–31. [Google Scholar] [CrossRef]
- Peek, S.T.M.; Luijkx, K.G.; Vrijhoef, H.J.M.; Nieboer, M.E.; Aarts, S.; van der Voort, C.S.; Rijnaard, M.D.; Wouters, E.J.M. Understanding changes and stability in the long-term use of technologies by seniors who are aging in place: A dynamical framework. BMC Geriatr. 2019, 19, 236. [Google Scholar] [CrossRef]
- Chu, L.; Chen, H.W.; Cheng, P.Y.; Ho, P.K.; Weng, I.T.; Yang, P.L.; Chien, S.E.; Tu, Y.C.; Yang, C.C.; Wang, T.M.; et al. Identifying Features that Enhance Older Adults’ Acceptance of Robots: A Mixed Methods Study. Gerontology 2019, 65, 441–450. [Google Scholar] [CrossRef]
- Dogruel, L.; Joeckel, S.; Bowman, N.D. The use and acceptance of new media entertainment technology by elderly users: Development of an expanded technology acceptance model. Behav. Inform. Technol. 2015, 34, 1052–1063. [Google Scholar] [CrossRef]
- Pal, D.; Funilkul, S.; Vanijja, V.; Papasratorn, B. Analyzing the Elderly Users’ Adoption of Smart-Home Services. IEEE Access 2018, 6, 51238–51252. [Google Scholar] [CrossRef]
- Sang, B.B.; Yang, L.; Chen, H.M.; Xu, W.H.; Guo, Y.T.; Yuan, Z. Generalized multi-granulation double-quantitative decision-theoretic rough set of multi-source information system. Int. J. Approx. Reason. 2019, 115, 157–179. [Google Scholar] [CrossRef]





| Table of Conditional Attribute Assignment | |
|---|---|
| C11 Supporting of the child for the elderly | strongly disagree = 1; uncertain = 2; totally agree = 3 |
| C12 Decency of the new elderly care system | strongly disagree = 1; uncertain = 2; totally agree = 3 |
| C13 Acceptance of non-traditional elderly care methods | strongly disagree = 1; uncertain = 2; totally agree = 3 |
| C21 Gender | male = 1; female = 2; |
| C22 Age | 60–65 years = 1; 66–70 years = 2; 71–75 years = 3; 76–80 years = 4; over 80 years old = 5 |
| C23 Number of children | no children = 1; 1 = 2; 2–3 = 3; 3–5 = 4; more than 5 = 5 |
| C24 Way of living | living alone = 1; living with spouse = 2; same generation in the second generation = 3; same generation in the third generation = 4 |
| C25 Place of residence | town = 1; country = 2 |
| C26 Degree of harmony in family relationships | very harmonious = 1; average = 2; less harmonious = 3 |
| C27 Daily care | children = 1; self = 2; babysitter = 3; mutual care with his wife = 4; others (care facilities community neighbors relatives etc.) = 5 |
| C28 Chronic history | no = 1; one = 2; two and more = 3 |
| C31 The interest of smart elderly care services | strongly disagree = 1; uncertain = 2; totally agree = 3 |
| C32 The fashion of smart elderly care services | strongly disagree = 1; uncertain = 2; totally agree = 3 |
| C33 The wisdom of smart elderly care services | strongly disagree = 1; uncertain = 2; totally agree = 3 |
| C41 Risk of smart elderly care services | strongly disagree = 1; uncertain = 2; totally agree = 3 |
| C42 Personal privacy protection for smart elderly care services | strongly disagree = 1; uncertain = 2; totally agree = 3 |
| C43 The improvement of quality of life by smart elderly care services | strongly disagree = 1; uncertain = 2; totally agree = 3 |
| C44 The stability of smart elderly care equipment | strongly disagree = 1; uncertain = 2; totally agree = 3 |
| C51 Degree of satisfaction of smart elderly care services | strongly disagree = 1; uncertain = 2; totally agree = 3 |
| C52 Weaken level of the elderly care burden of smart elderly care services | strongly disagree = 1; uncertain = 2; totally agree = 3 |
| C53 Timeliness of assistance for smart elderly care services | strongly disagree = 1; uncertain = 2; totally agree = 3 |
| C61 The difficulty of using smart elderly care equipment | strongly disagree = 1; uncertain = 2; totally agree = 3 |
| C62 Experience with smart elderly care devices and smartphone devices | strongly disagree = 1; uncertain = 2; totally agree = 3 |
| C63 Correlation between education level and applicable smart elderly care services | primary school and below = 1; junior high school = 2; high school or technical school = 3; college = 4; undergraduate and above = 5 |
| C71 Living expenses for smart elderly care services | strongly disagree = 1; uncertain = 2; totally agree = 3 |
| C72 Pricing for smart elderly care services | strongly disagree = 1; uncertain = 2; totally agree = 3 |
| C73 The relationship between income level and the adoption of smart elderly care services | below 1000 yuan = 1; 1001–3000 yuan = 2; 3001–5000 yuan = 3; 5001–8000 yuan = 4; Above 8000 yuan = 5 |
| C81 The promotion of smart elderly care services by the government or the news media | strongly disagree = 1; uncertain = 2; totally agree = 3 |
| C82 People around you (family colleagues or friends) support the use of smart elderly care services for the elderly | strongly disagree = 1; uncertain = 2; totally agree = 3 |
| C83 Sharing of information about the elderly’s wisdom and elderly care by people around you (family colleagues or friends) | strongly disagree = 1; uncertain = 2; totally agree = 3 |
| C84 The extent for the older to understand smart elderly care services | strongly disagree = 1; uncertain = 2; totally agree = 3 |
| Investigators | Condition Attribute Set | Decision Attribute Set | |||||||||||||||
|---|---|---|---|---|---|---|---|---|---|---|---|---|---|---|---|---|---|
| C1 | C2 | CX | C7 | C8 | |||||||||||||
| C11 | C12 | C13 | C1 | … | C27 | CXX | C71 | C72 | C73 | C81 | C82 | C83 | C84 | D1 | D2 | D3 | |
| 1 | 1 | 0 | 1 | 1 | … | 0 | … | 1 | 1 | 0.5 | 1 | 1 | 0 | 0.66667 | 1 | 0 | 1 |
| 2 | 1 | 0 | 0 | 0 | 0.33 | 1 | 1 | 0.5 | 0.5 | 1 | 1 | 0.66667 | 1 | 1 | 1 | ||
| 3 | 1 | 0 | 0 | 0 | 0 | 1 | 1 | 0.5 | 1 | 1 | 1 | 1 | 0.5 | 0.5 | 1 | ||
| 4 | 1 | 0.5 | 1 | 1 | 0 | 1 | 1 | 0.25 | 0.5 | 0 | 0 | 1 | 0 | 0 | 0 | ||
| 5 | 1 | 0 | 0 | 0 | 0.33 | 0.5 | 1 | 0.25 | 0 | 1 | 1 | 0.66667 | 1 | 1 | 1 | ||
| 6 | 0 | 0.5 | 1 | 0 | 0 | 0.5 | 1 | 0.5 | 0.5 | 0.5 | 0.5 | 1 | 0.5 | 0 | 0.5 | ||
| 7 | 1 | 0 | 0 | 0 | 0 | 1 | 1 | 0.75 | 1 | 1 | 1 | 1 | 0.5 | 1 | 1 | ||
| 8 | 1 | 1 | 0 | 1 | 0.67 | 1 | 1 | 0.75 | 0.5 | 1 | 0 | 0.66667 | 0.5 | 0 | 0 | ||
| 9 | 1 | 1 | 1 | 0 | 0 | 0.5 | 1 | 0.75 | 1 | 1 | 1 | 1 | 1 | 1 | 0.5 | ||
| 10 | 1 | 0 | 0 | 1 | 0 | 0 | 0 | 0 | 1 | 1 | 1 | 1 | 1 | 1 | 1 | ||
| 11 | 1 | 0 | 0 | 1 | 0.33 | 1 | 1 | 0.25 | 0 | 0.5 | 0 | 0.33333 | 0 | 0 | 0 | ||
| … | … | ||||||||||||||||
| 200 | 1 | 0 | 0 | 0 | … | 0.67 | … | 1 | 1 | 0.25 | 1 | 1 | 1 | 1 | 1 | 1 | 1 |
| 201 | 1 | 0 | 0 | 1 | 0 | 1 | 1 | 0.25 | 1 | 1 | 1 | 0.66667 | 1 | 1 | 1 | ||
| 202 | 0.5 | 0 | 0 | 0 | 1 | 1 | 1 | 0.25 | 1 | 1 | 1 | 0 | 1 | 1 | 0.5 | ||
| Condition Attribute Neighborhood Radius | Value | Condition Attribute Neighborhood Radius | Value | Condition Attribute Neighborhood Radius | Value |
|---|---|---|---|---|---|
| 0.5639 | 0.5803 | 0.4426 | |||
| 0.5906 | 0.5388 | 0.4594 | |||
| 0.6034 | 0.5292 | 0.4036 | |||
| 0.7054 | 0.5313 | 0.4819 | |||
| 0.4654 | 0.5318 | 0.5844 | |||
| 0.3351 | 0.5172 | 0.5054 | |||
| 0.4102 | 0.4824 | 0.5537 | |||
| 0.3443 | 0.5362 | ||||
| 0.3301 | 0.5374 | ||||
| 0.4308 | 0.5607 | ||||
| 0.4630 | 0.5533 | ||||
| 0.5332 | 0.5113 |
| U/D | Division of the Universe by Decision Attributes | |
|---|---|---|
| Subsets | X1 (D = 1) | 4 11 16 37 40 50 51 52 59 63 65 66 67 70 81 85 99 113 119 120 121 124 130 141 147 153 157 163 164 169 170 172 174 176 181 |
| X2 (D = 3) | 3 6 7 8 14 17 19 21 22 23 27 30 33 35 44 56 58 69 71 73 77 80 86 88 91 94 98 111 117 125 127 133 135 139 144 145 146 148 150 156 160 161 168 173 179 184 185 188 198 199 | |
| X3 (D = 5) | 1 2 5 9 10 12 13 15 18 20 24 25 26 28 29 31 32 34 36 38 39 41 42 43 45 46 47 48 49 53 54 55 57 60 61 62 64 68 72 74 75 76 78 79 82 83 84 87 89 90 92 93 95 96 97 100 101 102 103 104 105 106 107 108 109 110 112 114 115 116 118 122 123 126 128 129 131 132 134 136 137 138 140 142 143 149 151 152 154 155 158 159 162 165 166 167 171 175 177 178 180 182 183 186 187 189 190 191 192 193 194 195 196 197 200 201 202 | |
| 4.057 | 7.850 | 7.932 | 9.614 | 232.006 | 0 | |
| 7.112 | 21.778 | 4.936 | 8.494 | 45.843 | 0 | |
| 0.960 | 13.740 | 9.753 | 11.776 | 300.829 | 1 | |
| 3.485 | 7.648 | 21.057 | 23.034 | 552.444 | 1 | |
| 0.832 | 7.752 | 8.237 | 28.032 | 382.955 | 1 |
| Condition Attribute | Importance |
|---|---|
| 1 | |
| 0 | |
| 0 | |
| 0 | |
| 0 |
| Primary Condition Attribute | Secondary Condition Attribute | Importance of Secondary Condition Attribute |
|---|---|---|
| C1 The concept of elderly care 0.0589 | C11 Supporting of the child for the elderly | 0.0589 |
| C12 Decency of the new elderly care system | 0 | |
| C13 Acceptance of non-traditional elderly care methods | 0 | |
| C2 The condition of family and health 0.5571 | C21 Gender | 0.23529 |
| C22 Age | 0 | |
| C23 Number of children | 0 | |
| C24 Way of living | 0.058824 | |
| C25 Place of residence | 0.088235 | |
| C26 Degree of harmony in family relationships | 0.088235 | |
| C27 Daily care | 0.029412 | |
| C28 Chronic history | 0.058824 | |
| C3 Using attitude 0 | C31 The interest of smart elderly care services | 0 |
| C32 The fashion of smart elderly care services | 0 | |
| C33 The wisdom of smart elderly care services | 0 | |
| C4Trust perception 0 | C41 Risk of smart elderly care services | 0 |
| C42 Personal privacy protection for smart elderly care services | 0 | |
| C43 The improvement of quality of life by smart elderly care services | 0 | |
| C44 The stability of smart elderly care equipment | 0 | |
| C5 Useful perception 0 | C51 Degree of satisfaction of smart elderly care services | 0 |
| C52 Weaken level of the elderly care burden of smart elderly care services | 0 | |
| C53 Timeliness of assistance for smart elderly care services | 0 | |
| C6 Ease-of-use perception 0 | C61 The difficulty of using smart elderly care equipment | 0 |
| C62 Experience with smart elderly care devices and smartphone devices | 0 | |
| C63 Correlation between education level and applicable smart elderly care services | 0 | |
| C7 Cost perception 0.2660 | C71 Living expenses for smart elderly care services | 0.20588 |
| C72 Pricing for smart elderly care services | 0 | |
| C73 The relationship between income level and the adoption of smart elderly care services | 0.058824 | |
| C8 Subjective norms 0.1180 | C81 The promotion of smart elderly care services by the government or the news media | 0.058824 |
| C82 People around you (family colleagues or friends) support the use of smart elderly care services for the elderly | 0 | |
| C83 Sharing of information about the elderly’s wisdom and elderly care by people around you (family colleagues or friends) | 0 | |
| C84 The extent for the older to understand smart elderly care services | 0.058824 |
| Primary Condition Attribute | Secondary Condition Attribute | Importance of Secondary Condition Attribute |
|---|---|---|
| C1 The concept of elderly care 0.0589 | C11 Supporting of the child for the elderly | 0.0589 |
| C12 Decency of the novel elderly care system | 0 | |
| C13 Acceptance of non-traditional elderly care methods | 0 | |
| C2 The condition of family and health 0.5571 | C21 Gender | 0.23529 |
| C24 Way of living | 0.058824 | |
| C25 Place of residence | 0.088235 | |
| C26 Degree of harmony in family relationships | 0.088235 | |
| C27 Daily care | 0.029412 | |
| C28 Chronic history | 0.058824 | |
| C7Cost perception 0.2660 | C71 Living expenses for smart elderly care services | 0.20588 |
| C72 Pricing for smart elderly care services | 0 | |
| C73 The relationship between income level and the adoption of smart elderly care services | 0.058824 | |
| C8 Subjective norms 0.1180 | C81 The promotion of smart elderly care services by the government or the news media | 0.058824 |
| C84 The extent for the older to understand smart elderly care services | 0.058824 |
| Condition Attribute | The Importance of the Condition Attribute | |||
|---|---|---|---|---|
| C11 | 0.9752 | 0.9653 | 0.0099 | 0.0589 |
| C12 | 0.9752 | 0 | 0 | |
| C13 | 0.9752 | 0 | 0 | |
| C21 | 0.9356 | 0.0396 | 0.23529 | |
| C22 | 0.9752 | 0 | 0 | |
| C23 | 0.9752 | 0 | 0 | |
| C24 | 0.9653 | 0.0099 | 0.058824 | |
| C25 | 0.9604 | 0.0148 | 0.088235 | |
| C26 | 0.9604 | 0.0148 | 0.088235 | |
| C27 | 0.9653 | 0.0099 | 0.029412 | |
| C28 | 0.9604 | 0.0148 | 0.058824 | |
| C31 | 0.9752 | 0 | 0 | |
| C32 | 0.9752 | 0 | 0 | |
| C33 | 0.9752 | 0 | 0 | |
| C41 | 0.9752 | 0 | 0 | |
| C42 | 0.9752 | 0 | 0 | |
| C43 | 0.9752 | 0 | 0 | |
| C44 | 0.9752 | 0 | 0 | |
| C51 | 0.9752 | 0 | 0 | |
| C52 | 0.9752 | 0 | 0 | |
| C53 | 0.9752 | 0 | 0 | |
| C61 | 0.9752 | 0 | 0 | |
| C62 | 0.9752 | 0 | 0 | |
| C63 | 0.9752 | 0 | 0 | |
| C71 | 0.9406 | 0.0346 | 0.20588 | |
| C72 | 0.9752 | 0 | 0 | |
| C73 | 0.9356 | 0.0396 | 0.058824 | |
| C81 | 0.9653 | 0.0099 | 0.058824 | |
| C82 | 0.9752 | 0 | 0 | |
| C83 | 0.9752 | 0 | 0 | |
| C84 | 0.9653 | 0.0099 | 0.058824 |
| Secondary Condition Attribute in the Condition of Family and Health | Importance |
|---|---|
| Gender | 0.23529 |
| Place of residence | 0.088235 |
| Degree of harmony in family relationships | 0.088235 |
| Way of living | 0.058824 |
| Chronic medical history | 0.058824 |
| Daily care | 0.029412 |
| Secondary Condition Attribute in Cost Perception | Importance |
|---|---|
| Living expenses for smart elderly care services | 0.20588 |
| The relationship between income level and the adoption of Smart elderly care services | 0.058824 |
| Pricing for smart elderly care services | 0 |
| Secondary Condition Attribute in Subjective Norms | Importance |
|---|---|
| The extent for the older to understand smart elderly care services. | 0.058824 |
| The promotion of smart elderly care services by the government or the news media. | 0.058824 |
| People around you support the use of smart elderly care Services for the elderly. | 0 |
| Sharing of information about the wisdom of elderly people, and elderly care by people around you. | 0 |
| Secondary Condition Attribute in the Concept of Elderly Care | Importance |
|---|---|
| Supporting of the child for the elderly | 0.0589 |
| Decency of the new elderly care system | 0 |
| Acceptance of non-traditional elderly care methods | 0 |
© 2020 by the authors. Licensee MDPI, Basel, Switzerland. This article is an open access article distributed under the terms and conditions of the Creative Commons Attribution (CC BY) license (http://creativecommons.org/licenses/by/4.0/).
Share and Cite
Zhou, J.; Zhang, B.; Tan, R.; Tseng, M.-L.; Lin, R.C.-W.; Lim, M.K. Using Neighborhood Rough Set Theory to Address the Smart Elderly Care in Multi-Level Attributes. Symmetry 2020, 12, 297. https://doi.org/10.3390/sym12020297
Zhou J, Zhang B, Tan R, Tseng M-L, Lin RC-W, Lim MK. Using Neighborhood Rough Set Theory to Address the Smart Elderly Care in Multi-Level Attributes. Symmetry. 2020; 12(2):297. https://doi.org/10.3390/sym12020297
Chicago/Turabian StyleZhou, Jining, Bo Zhang, Runhua Tan, Ming-Lang Tseng, Remen Chun-Wei Lin, and Ming K. Lim. 2020. "Using Neighborhood Rough Set Theory to Address the Smart Elderly Care in Multi-Level Attributes" Symmetry 12, no. 2: 297. https://doi.org/10.3390/sym12020297
APA StyleZhou, J., Zhang, B., Tan, R., Tseng, M.-L., Lin, R. C.-W., & Lim, M. K. (2020). Using Neighborhood Rough Set Theory to Address the Smart Elderly Care in Multi-Level Attributes. Symmetry, 12(2), 297. https://doi.org/10.3390/sym12020297

