Status, Challenges and Directions in Indirect Dark Matter Searches
Abstract
1. Introduction
2. Dark Matter in Galactic Halos
3. Dark Matter Signatures from the Cosmos
3.1. Gamma- and X-Rays
3.2. Neutrinos
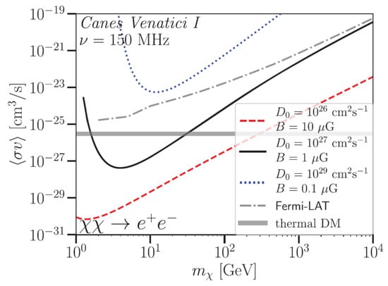
3.3. Cosmic-Rays
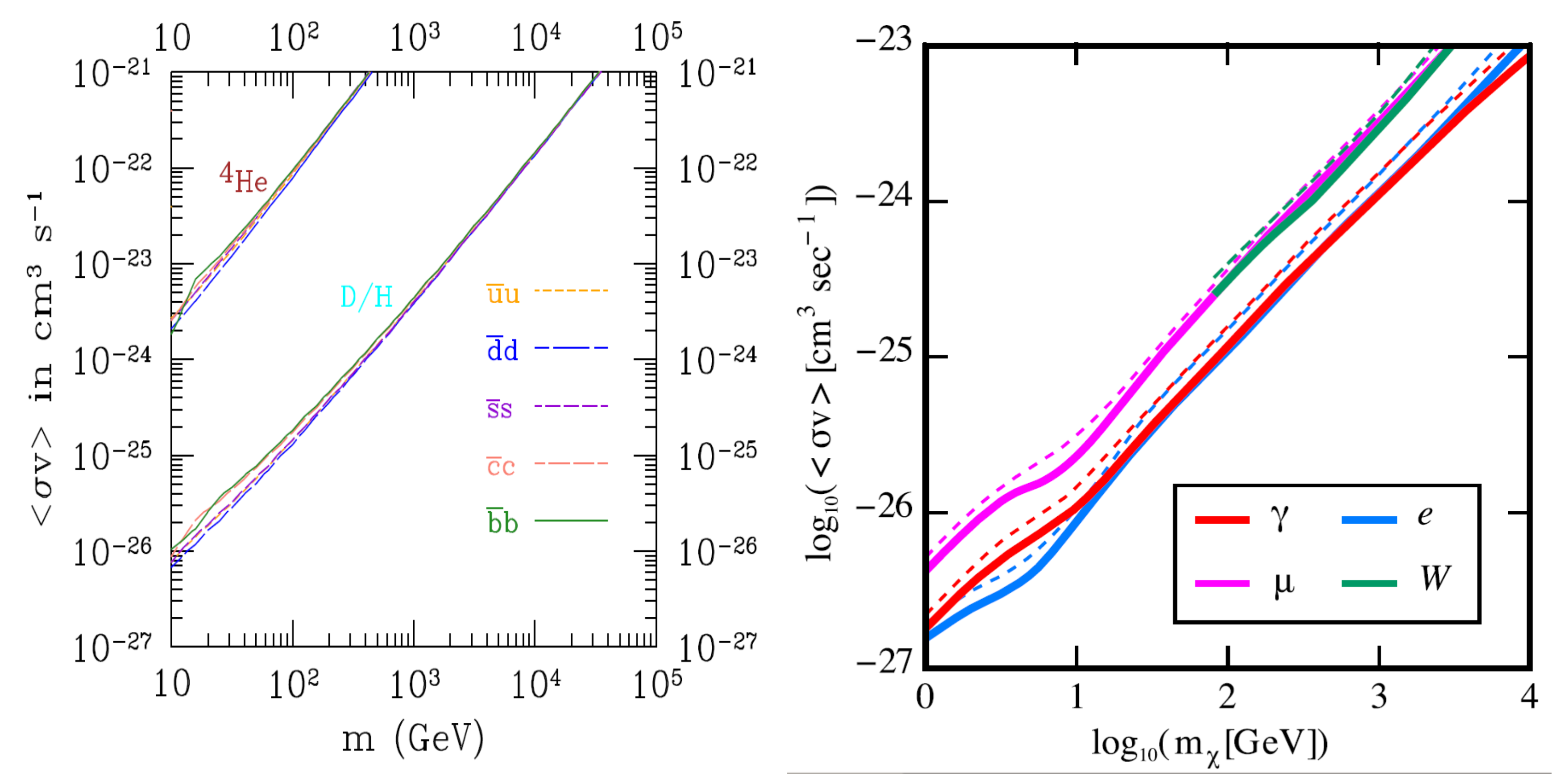
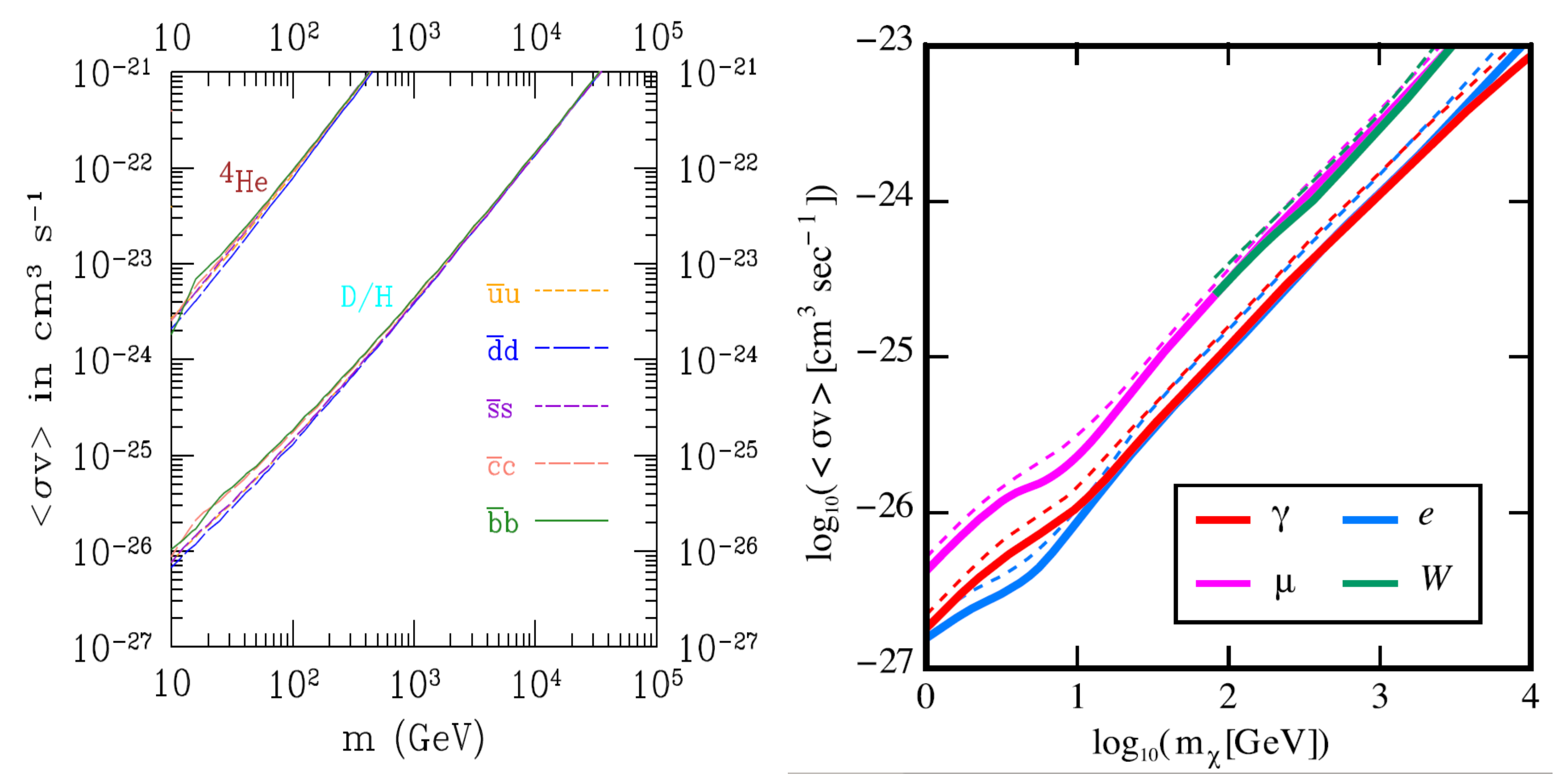
4. Constrains from Cosmology: CMB, BBN and the 21-cm Hydrogen Line
5. Discussion
Funding
Conflicts of Interest
References
- Zwicky, F. Die Rotverschiebung von extragalaktischen Nebeln. Helv. Phys. Acta 1933, 6, 110–127. [Google Scholar]
- Bosma, A. 21-cm line studies of spiral galaxies. 2. The distribution and kinematics of neutral hydrogen in spiral galaxies of various morphological types. Astron. J. 1981, 86, 1825. [Google Scholar] [CrossRef]
- Sofue, Y.; Rubin, V. Rotation curves of spiral galaxies. Ann. Rev. Astron. Astrophys. 2001, 39, 137–174. [Google Scholar] [CrossRef]
- Castiblanco, L.; Gannouji, R.; Stahl, C. Large scale structures: From inflation to today: A brief report. arXiv 2019, arXiv:1910.03931. [Google Scholar]
- Cyburt, R.H.; Fields, B.D.; Olive, K.A.; Yeh, T.H. Big Bang Nucleosynthesis: 2015. Rev. Mod. Phys. 2016, 88, 015004. [Google Scholar] [CrossRef]
- Planelles, S.; Schleicher, D.R.G.; Bykov, A.M. Large-Scale Structure Formation: From the first non-linear objects to massive galaxy clusters. Space Sci. Rev. 2015, 188, 93–139. [Google Scholar] [CrossRef]
- Vogelsberger, M.; Marinacci, F.; Torrey, P.; Puchwein, E. Cosmological Simulations of Galaxy Formation. Nat. Rev. Phys. 2020, 2, 42–66. [Google Scholar] [CrossRef]
- Ellis, R.S. Gravitational lensing: A unique probe of dark matter and dark energy. Phil. Trans. R. Soc. 2010, 368, 967–987. [Google Scholar] [CrossRef] [PubMed]
- Famaey, B.; McGaugh, S. Modified Newtonian Dynamics (MOND): Observational Phenomenology and Relativistic Extensions. Living Rev. Rel. 2012, 15, 10. [Google Scholar] [CrossRef] [PubMed]
- Deur, A. An explanation for dark matter and dark energy consistent with the Standard Model of particle physics and General Relativity. Eur. Phys. J. C 2019, 79, 883. [Google Scholar] [CrossRef]
- Christodoulou, D.M.; Kazanas, D. The Case Against Dark Matter and Modified Gravity: Flat Rotation Curves Are a Rigorous Requirement in Rotating Self-Gravitating Newtonian Gaseous Disks. J. Mod. Phys. 2016, 7, 680. [Google Scholar] [CrossRef][Green Version]
- Khoury, J. Alternative to particle dark matter. Phys. Rev. D 2015, 91, 024022. [Google Scholar] [CrossRef]
- Steigman, G.; Dasgupta, B.; Beacom, J.F. Precise Relic WIMP Abundance and its Impact on Searches for Dark Matter Annihilation. Phys. Rev. D 2012, 86, 023506. [Google Scholar] [CrossRef]
- Blum, K.; Cui, Y.; Kamionkowski, M. An Ultimate Target for Dark Matter Searches. Phys. Rev. D 2015, 92, 023528. [Google Scholar] [CrossRef]
- Leane, R.K.; Slatyer, T.R.; Beacom, J.F.; Ng, K.C.Y. GeV-scale thermal WIMPs: Not even slightly ruled out. Phys. Rev. D 2018, 98, 023016. [Google Scholar] [CrossRef]
- Baer, H.; Choi, K.Y.; Kim, J.E.; Roszkowski, L. Dark matter production in the early Universe: Beyond the thermal WIMP paradigm. Phys. Rept. 2015, 555, 1. [Google Scholar] [CrossRef]
- Schumann, M. Direct Detection of WIMP Dark Matter: Concepts and Status. J. Phys. G 2019, 46, 103003. [Google Scholar] [CrossRef]
- Buchmueller, O.; Doglioni, C.; Wang, L.T. Search for dark matter at colliders. Nat. Phys. 2017, 13, 217–223. [Google Scholar] [CrossRef]
- Kahlhoefer, F. Review of LHC Dark Matter Searches. Int. J. Mod. Phys. A 2017, 32, 1730006. [Google Scholar] [CrossRef]
- Bondi, M. Searching for light dark matter at fixed target experiments. J. Phys. Conf. Ser. 2020, 1561, 012005. [Google Scholar] [CrossRef]
- Sanders, R.H. The Dark Matter Problem: A Historical Perspective; Cambridge University Press: Cambridge, UK, 2010; ISBN 9780521113014. [Google Scholar]
- Bertone, G.; Hooper, D. History of dark matter. Rev. Mod. Phys. 2018, 90, 045002. [Google Scholar] [CrossRef]
- Profumo, S.; Giani, L.; Piattella, O.F. An Introduction to Particle Dark Matter. Universe 2019, 5, 213. [Google Scholar] [CrossRef]
- Feng, J.L. Dark Matter Candidates from Particle Physics and Methods of Detection. Ann. Rev. Astron. Astrophys. 2010, 48, 495–545. [Google Scholar] [CrossRef]
- Bertone, G.; Hooper, D.; Silk, J. Particle dark matter: Evidence, candidates and constraints. Phys. Rept. 2005, 405, 279–390. [Google Scholar] [CrossRef]
- Gould, A.; Draine, B.T.; Romani, R.W.; Nussinov, S. Neutron Stars: Graveyard of Charged Dark Matter. Phys. Lett. B 1990, 238, 337. [Google Scholar] [CrossRef]
- Basdevant, J.L.; Mochkovitch, R.; Rich, J.; Spiro, M.; Vidal-Madjar, A. Is There Room for Charged Dark Matter? Phys. Lett. B 1990, 234, 395. [Google Scholar] [CrossRef]
- Noz, J.B.M.; Loeb, A. A small amount of mini-charged dark matter could cool the baryons in the early Universe. Nature 2018, 557, 684. [Google Scholar]
- Jungman, G.; Kamionkowski, M.; Griest, K. Supersymmetric dark matter. Phys. Rept. 1996, 267, 195. [Google Scholar] [CrossRef]
- Pargner, A. Phenomenology of Axion Dark Matter. Ph.D. Thesis, KIT-Fakultät für Physik des Karlsruher Instituts für Technologie, Karlsruhe, Germany, 2019. [Google Scholar] [CrossRef]
- Chung, D.J.H.; Kolb, E.W.; Riotto, A. Superheavy dark matter. Phys. Rev. D 1998, 59, 023501. [Google Scholar] [CrossRef]
- Chung, D.J.H.; Kolb, E.W.; Riotto, A. Nonthermal supermassive dark matter. Phys. Rev. Lett. 1998, 81, 4048. [Google Scholar] [CrossRef]
- Palomares-Ruiz, S. Tests of Dark Matter Scenarios with Neutrino Telescopes. In Probing Particle Physics with Neutrino Telescopes; de los Pérez Heros, C., Ed.; World Scientific: Singapore, 2020; pp. 191–266. [Google Scholar]
- Bauer, M.; Plehn, T. Yet Another Introduction to Dark Matter: The Particle Physics Approach. Lect. Notes Phys. 2019, 959. [Google Scholar] [CrossRef]
- Khlopov, M.Y. Probes for Dark Matter Physics. Int. J. Mod. Phys. D 2018, 27, 1841013. [Google Scholar] [CrossRef]
- Zhang, Y.; Zhao, Y. Unconventional dark matter models: A brief review. Sci. Bull. 2015, 60, 986. [Google Scholar] [CrossRef][Green Version]
- Salucci, P. The distribution of dark matter in galaxies. Astron. Astrophys. Rev. 2019, 27, 2. [Google Scholar] [CrossRef]
- Zavala, J.; Frenk, C.S. Dark matter haloes and subhaloes. Galaxies 2019, 7, 81. [Google Scholar] [CrossRef]
- Springel, V.; White, S.D.M.; Jenkins, A.; Frenk, C.S.; Yoshida, N.; Gao, L.; Navarro, J.; Thacker, R.; Croton, D.; Helly, J. Simulating the joint evolution of quasars, galaxies and their large-scale distribution. Nature 2005, 435, 629. [Google Scholar] [CrossRef]
- Gunn, J.E. Massive galactic halos. I—Formation and evolution. Astrophys. J. 1977, 218, 592. [Google Scholar] [CrossRef]
- Navarro, J.F.; Frenk, C.S.; White, S.D.M. The Structure of cold dark matter halos. Astrophys. J. 1996, 462, 563. [Google Scholar] [CrossRef]
- Einasto, J. On the Construction of a Composite Model for the Galaxy and on the Determination of the System of Galactic Parameters. Tr. Astrofiz. Instituta-Alma-Ata 1965, 5, 87. [Google Scholar]
- Salucci, P.; Burkert, A. Dark matter scaling relations. Astrophys. J. Lett. 2000, 537, L9. [Google Scholar] [CrossRef]
- Moore, B.; Quinn, T.R.; Governato, F.; Stadel, J.; Lake, G. Cold collapse and the core catastrophe. Mon. Not. R. Astron. Soc. 1999, 310, 1147. [Google Scholar] [CrossRef]
- Kravtsov, A.V.; Klypin, A.A.; Bullock, J.S.; Primack, J.R. The Cores of dark matter dominated galaxies: Theory versus observations. Astrophys. J. 1998, 502, 48. [Google Scholar] [CrossRef]
- Burkert, A. The Structure of dark matter halos in dwarf galaxies. Astrophys. J. Lett. 1995, 447, L25. [Google Scholar] [CrossRef]
- De Blok, W.J.G. The Core-Cusp Problem. Adv. Astron. 2010, 2010, 789293. [Google Scholar] [CrossRef]
- Benito, M.; Cuoco, A.; Iocco, F. Handling the Uncertainties in the Galactic Dark Matter Distribution for Particle Dark Matter Searches. JCAP 2019, 1903, 33. [Google Scholar] [CrossRef]
- Spergel, D.N.; Steinhardt, P.J. Observational evidence for self-interacting cold dark matter. Phys. Rev. Lett. 2000, 84, 3760. [Google Scholar] [CrossRef]
- Rocha, M.; Peter, A.H.G.; Bullock, J.S.; Kaplinghat, M.; Garrison-Kimmel, S.; Onorbe, J.; Moustakas, L.A. Cosmological Simulations with Self-Interacting Dark Matter I: Constant Density Cores and Substructure. Mon. Not. R. Astron. Soc. 2013, 430, 81. [Google Scholar] [CrossRef]
- Peter, A.H.G.; Rocha, M.; Bullock, J.S.; Kaplinghat, M. Cosmological Simulations with Self-Interacting Dark Matter II: Halo Shapes vs. Observations. Mon. Not. R. Astron. Soc. 2013, 430, 105. [Google Scholar] [CrossRef]
- Vogelsberger, M.; Zavala, J.; Loeb, A. Subhaloes in Self-Interacting Galactic Dark Matter Haloes. Mon. Not. R. Astron. Soc. 2012, 423, 3740. [Google Scholar] [CrossRef]
- Bernal, N.; Chu, X.; Kulkarni, S.; Pradler, J. Self-interacting dark matter without prejudice. Phys. Rev. D 2020, 101, 055044. [Google Scholar] [CrossRef]
- Salucci, P.; Lapi, A.; Tonini, C.; Gentile, G.; Yegorova, I.; Klein, U. The Universal Rotation Curve of Spiral Galaxies. 2. The Dark Matter Distribution out to the Virial Radius. Mon. Not. R. Astron. Soc. 2007, 378, 41. [Google Scholar] [CrossRef]
- Baushev, A.N.; Pilipenko, S.V. The central cusps in dark matter halos: Fact or fiction? Phys. Dark Univ. 2020, 30, 100679. [Google Scholar] [CrossRef]
- Cirelli, M.; Corcella, G.; Hektor, A.; Hutsi, G.; Kadastik, M.; Panci, P.; Raidal, M.; Sala, F.; Strumia, A. PPPC 4 DM ID: A Poor Particle Physicist Cookbook for Dark Matter Indirect Detection. JCAP 2011, 3, 51, Erratum in 2012, 1210, E01. [Google Scholar]
- Hernquist, L. An Analytical Model for Spherical Galaxies and Bulges. Astrophys. J. 1990, 356, 359. [Google Scholar] [CrossRef]
- Taylor, J.E.; Silk, J. The Clumpiness of cold dark matter: Implications for the annihilation signal. Mon. Not. R. Astron. Soc. 2003, 339, 505. [Google Scholar] [CrossRef]
- Ando, S.; Ishiyama, T.; Hiroshima, N. Halo Substructure Boosts to the Signatures of Dark Matter Annihilation. Galaxies 2019, 7, 68. [Google Scholar] [CrossRef]
- Moliné, Á.; Sánchez-Conde, M.A.; Palomares-Ruiz, S.; Prada, F. Characterization of subhalo structural properties and implications for dark matter annihilation signals. Mon. Not. R. Astron. Soc. 2017, 466, 4974. [Google Scholar] [CrossRef]
- Peñarrubia, J. Fluctuations of the gravitational field generated by a random population of extended substructures. Mon. Not. R. Astron. Soc. 2018, 474, 1482. [Google Scholar] [CrossRef]
- Weber, M.; de Boer, W. Determination of the Local Dark Matter Density in our Galaxy. Astron. Astrophys. 2010, 509, A25. [Google Scholar] [CrossRef]
- Ricotti, M. Dependence of the inner dm profile on the halo mass. Mon. Not. R. Astron. Soc. 2003, 344, 1237. [Google Scholar] [CrossRef]
- Cautun, M.; Benitez-Llambay, A.; Deason, A.J.; Frenk, C.S.; Fattahi, A.; Gómez, F.A.; Grand, R.J.J.; Oman, K.A.; Navarro, J.F.; Simpson, C.M. The Milky Way total mass profile as inferred from Gaia DR2. Mon. Not. R. Astron. Soc. 2020, 494, 4291. [Google Scholar] [CrossRef]
- Buch, J.; Leung, S.C.J.; Fan, J. Using Gaia DR2 to Constrain Local Dark Matter Density and Thin Dark Disk. JCAP 2019, 1904, 26. [Google Scholar] [CrossRef]
- Necib, L.; Lisanti, M.; Belokurov, V. Inferred Evidence for Dark Matter Kinematic Substructure with SDSS-Gaia. Astrophys. J. 2019, 874, 3. [Google Scholar] [CrossRef]
- O’Hare, C.A.J.; Evans, N.W.; McCabe, C.; Myeong, G.; Belokurov, V. Velocity substructure from Gaia and direct searches for dark matter. Phys. Rev. D 2020, 101, 023006. [Google Scholar] [CrossRef]
- Banik, N.; Bovy, J.; Bertone, G.; Erkal, D.; de Boer, T.J.L. Evidence of a population of dark subhalos from Gaia and Pan-STARRS observations of the GD-1 stream. arXiv 2019, arXiv:1911.02662. [Google Scholar]
- Dekel, A.; Silk, J. The origin of dwarf galaxies, cold dark matter, and biased galaxy formation. Astrophys. J. 1986, 303, 39. [Google Scholar] [CrossRef]
- Ogiya, G.; Mori, M. The core-cusp problem in cold dark matter halos and supernova feedback: Effects of Oscillation. Astrophys. J. 2014, 793, 46. [Google Scholar] [CrossRef]
- Weinberg, D.H.; Bullock, J.S.; Governato, F.; de Naray, R.K.; Peter, A.H.G. Cold dark matter: Controversies on small scales. Proc. Nat. Acad. Sci. USA 2015, 112, 12249. [Google Scholar] [CrossRef]
- Del Popolo, A.; Pace, F. The Cusp/Core problem: Supernovae feedback versus the baryonic clumps and dynamical friction model. Astrophys. Space Sci. 2016, 361, 162. [Google Scholar] [CrossRef]
- Gondolo, P.; Gelmini, G. Cosmic abundances of stable particles: Improved analysis. Nucl. Phys. B 1991, 360, 145. [Google Scholar] [CrossRef]
- Johnson, C.; Caputo, R.; Karwin, C.; Murgia, S.; Ritz, S.; Shelton, J. Search for gamma-ray emission from p-wave dark matter annihilation in the Galactic Center. Phys. Rev. D 2019, 99, 103007. [Google Scholar] [CrossRef] [PubMed]
- Arkani-Hamed, N.; Finkbeiner, D.P.; Slatyer, T.R.; Weiner, N. A Theory of Dark Matter. Phys. Rev. D 2009, 79, 015014. [Google Scholar] [CrossRef]
- Feng, J.L.; Kaplinghat, M.; Yu, H.B. Sommerfeld Enhancements for Thermal Relic Dark Matter. Phys. Rev. D 2010, 82, 083525. [Google Scholar] [CrossRef]
- Campbell, S.; Dutta, B.; Komatsu, E. Effects of Velocity-Dependent Dark Matter Annihilation on the Energy Spectrum of the Extragalactic Gamma-ray Background. Phys. Rev. D 2010, 82, 095007. [Google Scholar] [CrossRef]
- Das, A.; Dasgupta, B. Selection Rule for Enhanced Dark Matter Annihilation. Phys. Rev. Lett. 2017, 118, 251101. [Google Scholar] [CrossRef]
- Choi, S.M.; Lee, H.M.; Seo, M.S. Cosmic abundances of SIMP dark matter. JHEP 2017, 4, 154. [Google Scholar] [CrossRef]
- Clark, S.J.; Dent, J.B.; Dutta, B.; Strigari, L.E. Indirect detection of the partial p-wave via the s wave in the annihilation cross section of dark matter. Phys. Rev. D 2019, 99, 083003. [Google Scholar] [CrossRef]
- Sommerfeld, A. Über die Beugung und Bremsung der Elektronen. Ann. Phys. 1931, 403, 257. [Google Scholar] [CrossRef]
- Ullio, P.; Bergström, L.; Edsjö, J.; Lacey, C.G. Cosmological dark matter annihilations into gamma-rays—A closer look. Phys. Rev. D 2002, 66, 123502. [Google Scholar] [CrossRef]
- Beacom, J.F.; Bell, N.F.; Mack, G.D. General Upper Bound on the Dark Matter Total Annihilation Cross Section. Phys. Rev. Lett. 2007, 99, 231301. [Google Scholar] [CrossRef] [PubMed]
- Acciari, V.A.; Ansoldi, S.; Antonelli, L.A.; Engels, A.A.; Baack, D.; Babić, A.; Banerjee, B.; Barres de Almeida, U.; Barrio, J.A.; Becerra González, J.; et al. A search for dark matter in Triangulum II with the MAGIC telescopes. Phys. Dark Univ. 2020, 28, 100529. [Google Scholar] [CrossRef]
- Acciari, V.A.; Ansoldi, S.; Antonelli, L.A.; Engels, A.A.; Arcaro, C.; Baack, D.; Babić, A.; Banerjee, B.; Barres de Almeida, U.; Barrio, J.A.; et al. Constraining Dark Matter lifetime with a deep gamma-ray survey of the Perseus Galaxy Cluster with MAGIC. Phys. Dark Univ. 2018, 22, 38. [Google Scholar] [CrossRef]
- Giammaria, P.; Aleksić, J.; Lombardi, S.; Maggio, C.; Palacio, J.; Rico, J.; Vanzo, G.; Vazquez Acosta, M.; MAGIC Collaboration. Latest results on searches for dark matter signatures in galactic and extragalactic selected targets by the MAGIC Telescopes. J. Phys. Conf. Ser. 2016, 718, 042024. [Google Scholar] [CrossRef]
- Rinchiuso, L.; Moulin, E.; Armand, C.; Poireau, V.; H.E.S.S. Collaboration. Dark Matter search with H.E.S.S. towards ultra-faint dwarf nearby DES satellites of the Milky Way. In Proceedings of the 36th International Cosmic Ray Conference, Madison, WI, USA, 24 July–1 August 2019. [Google Scholar]
- Armand, C.; Moulin, E.; Poireau, V.; Rinchiuso, L. Dark Matter searches towards the WLM dwarf irregular galaxy with H.E.S.S. In Proceedings of the 36th International Cosmic Ray Conference, Madison, WI, USA, 24 July–1 August 2019. [Google Scholar]
- Abdallah, H.; Aharonian, F.; Benkhali, F.A.; Angüner, E.O.; Arakawa, M.; Arcaro, C.; Arrieta, M.; Backes, M.; Barnard, M.; Becherini, Y.; et al. Searches for gamma-ray lines and ’pure WIMP’ spectra from Dark Matter annihilations in dwarf galaxies with H.E.S.S. JCAP 2018, 11, 37. [Google Scholar]
- Abdallah, H.; Abramowski, A.; Aharonian, F.; Benkhali, F.A.; Akhperjanian, A.G.; Andersson, T.; Angüner, E.O.; Arrieta, M.; Aubert, P.; Backes, M.; et al. H.E.S.S. Limits on Linelike Dark Matter Signatures in the 100 GeV to 2 TeV Energy Range Close to the Galactic Center. Phys. Rev. Lett. 2016, 117, 151302. [Google Scholar] [CrossRef]
- Cantlay, B.K.; Wechakama, M. Constraints on dark matter annihilation with electron spectrum from VERITAS. J. Phys. Conf. Ser. 2019, 1380, 012071. [Google Scholar] [CrossRef]
- Archambault, S.; Archer, A.; Benbow, W.; Bird, R.; Bourbeau, E.; Brantseg, T.; Buchovecky, M.; Buckley, J.H.; Bugaev, V.; Byrum, K.; et al. Dark Matter Constraints from a Joint Analysis of Dwarf Spheroidal Galaxy Observations with VERITAS. Phys. Rev. D 2017, 95, 082001. [Google Scholar] [CrossRef]
- Boyarsky, A.; Ruchayskiy, O. Probing the nature of dark matter with deep XMM-Newton observations of the dwarf spheroidal galaxies. Astron. Nachr. 2017, 338, 287. [Google Scholar] [CrossRef]
- Ruchayskiy, O.; Boyarsky, A.; Iakubovskyi, D.; Bulbul, E.; Eckert, D.; Franse, J.; Malyshev, D.; Markevitch, M.; Neronov, A. Searching for decaying dark matter in deep XMM-Newton observation of the Draco dwarf spheroidal. Mon. Not. R. Astron. Soc. 2016, 460, 1390. [Google Scholar] [CrossRef]
- Borriello, E.; Paolillo, M.; Miele, G.; Longo, G.; Owen, R. Constraints on sterile neutrino dark matter from XMM–Newton observation of M33. Mon. Not. R. Astron. Soc. 2012, 425, 1628. [Google Scholar] [CrossRef]
- Boyarsky, A.; Iakubovskyi, D.; Ruchayskiy, O.; Savchenko, V. Constraints on decaying Dark Matter from XMM-Newton observations of M31. Mon. Not. R. Astron. Soc. 2008, 387, 1361. [Google Scholar] [CrossRef]
- Neronov, A.; Malyshev, D.; Eckert, D. Decaying dark matter search with NuSTAR deep sky observations. Phys. Rev. D 2016, 94, 123504. [Google Scholar] [CrossRef]
- Perez, K.; Ng, K.C.Y.; Beacom, J.F.; Hersh, C.; Horiuchi, S.; Krivonos, R. Almost closing the νMSM sterile neutrino dark matter window with NuSTAR. Phys. Rev. D 2017, 95, 123002. [Google Scholar] [CrossRef]
- Roach, B.M.; Ng, K.C.Y.; Perez, K.; Beacom, J.F.; Horiuchi, S.; Krivonos, R.; Wik, D.R. NuSTAR Tests of Sterile-Neutrino Dark Matter: New Galactic Bulge Observations and Combined Impact. Phys. Rev. D 2020, 101, 103011. [Google Scholar] [CrossRef]
- Sekiya, N.; Yamasaki, N.Y.; Mitsuda, K. A Search for a keV Signature of Radiatively Decaying Dark Matter with Suzaku XIS Observations of the X-ray Diffuse Background. Publ. Astron. Soc. Jap. 2015, 68, SP1. [Google Scholar] [CrossRef]
- Tamura, T.; Iizuka, R.; Maeda, Y.; Mitsuda, K.; Yamasaki, N.Y. An X-ray Spectroscopic Search for Dark Matter in the Perseus Cluster with Suzaku. Publ. Astron. Soc. Jap. 2015, 67, 23. [Google Scholar] [CrossRef]
- Urban, O.; Werner, N.; Allen, S.W.; Simionescu, A.; Kaastra, J.S.; Strigari, L.E. A Suzaku Search for Dark Matter Emission Lines in the X-ray Brightest Galaxy Clusters. Mon. Not. R. Astron. Soc. 2015, 451, 2447. [Google Scholar] [CrossRef]
- Kusenko, A.; Loewenstein, M.; Yanagida, T.T. Moduli dark matter and the search for its decay line using Suzaku X-ray telescope. Phys. Rev. D 2013, 87, 043508. [Google Scholar] [CrossRef]
- Cadena, S.H.; Franco, J.S.; Molina, R.A.; Gammaldi, V.; Karukes, E.; Salucci, P. Constraints on cross-section and lifetime of dark matter with HAWC Observations of dwarf Irregular galaxies. In Proceedings of the 36th International Cosmic Ray Conference, Madison, WI, USA, 24 July–1 August 2019. [Google Scholar]
- Abeysekara, A.U.; Albert, A.; Alfaro, R.; Alvarez, C.; Arceo, R.; Arteaga-Velázquez, J.C.; Avila Rojas, D.; Ayala Solares, H.A.; Becerril, A.; Belmont-Moreno, E.; et al. A Search for Dark Matter in the Galactic Halo with HAWC. JCAP 2018, 1802, 49. [Google Scholar] [CrossRef]
- Albert, A.; Alfaro, R.; Alvarez, C.; Arceo, R.; Arteaga-Velázquez, J.C.; Avila Rojas, D.; Ayala Solares, H.A.; Bautista-Elivar, N.; Becerril, A.; Belmont-Moreno, E.; et al. Dark Matter Limits from Dwarf Spheroidal Galaxies with The HAWC Gamma-Ray Observatory. Astrophys. J. 2018, 853, 154. [Google Scholar] [CrossRef]
- Abazajian, K.N.; Horiuchi, S.; Kaplinghat, M.; Keeley, R.E.; Macias, O. Strong constraints on thermal relic dark matter from Fermi-LAT observations of the Galactic Center. Phys. Rev. D 2020, 102, 043012. [Google Scholar] [CrossRef]
- di Mauro, M.; Hou, X.; Eckner, C.; Zaharijas, G.; Charles, E. Search for γ-ray emission from dark matter particle interactions from Andromeda and Triangulum Galaxies with the Fermi Large Area Telescope. Phys. Rev. D 2019, 99, 123027. [Google Scholar] [CrossRef]
- Albert, A.; Anderson, B.; Bechtol, K.; Drlica-Wagner, A.; Meyer, M.; Sánchez-Conde, M.; Strigari, L.; Wood, M.; Abbott, T.M.C.; Abdalla, F.B.; et al. Searching for Dark Matter Annihilation in Recently Discovered Milky Way Satellites with Fermi-LAT. Astrophys. J. 2017, 834, 110. [Google Scholar] [CrossRef]
- Wechakama, M.; Cantlay, B.K. Upper limits on dark matter annihilation with the teraelectronvolt cosmic ray spectrum of electrons and positrons from DAMPE. J. Phys. Conf. Ser. 2019, 1380, 012144. [Google Scholar] [CrossRef]
- Adriani, O.; Akaike, Y.; Asano, K.; Asaoka, Y.; Bagliesi, M.G.; Berti, E.; Berti, E.; Bigongiari, G.; Binns, W.R.; Bonechi, S.; et al. Extended Measurement of the Cosmic-Ray Electron and Positron Spectrum from 11 GeV to 4.8 TeV with the Calorimetric Electron Telescope on the International Space Station. Phys. Rev. Lett. 2018, 120, 261102. [Google Scholar] [CrossRef]
- Xu, W. The Latest Results from AMS on the Searches for Dark Matter. In Proceedings of the 28th International Symposium on Lepton Photon Interactions at High Energies, Guangzhou, China, 7–12 August 2017; Wang, W., Xing, Z.-Z., Eds.; World Scientific: Singapore, 2017; p. 205. [Google Scholar]
- Aartsen, M.G.; Abbasi, R.; Abdou, Y.; Ackermann, M.; Adams, J.; Antonio Aguilar Sánchez, J.; Ahlers, M.; Altmann, D.; Auffenberg, J.; Bai, X.; et al. Search for neutrinos from decaying dark matter with IceCube. Eur. Phys. J. C 2018, 78, 831. [Google Scholar] [CrossRef]
- Aartsen, M.G.; Abbasi, R.; Abdou, Y.; Ackermann, M.; Adams, J.; Antonio Aguilar Sánchez, J.; Ahlers, M.; Altmann, D.; Auffenberg, J.; Bai, X.; et al. Search for Neutrinos from Dark Matter Self-Annihilations in the center of the Milky Way with 3 years of IceCube/DeepCore. Eur. Phys. J. C 2017, 77, 627. [Google Scholar] [CrossRef]
- Aartsen, M.G.; Abbasi, R.; Abdou, Y.; Ackermann, M.; Adams, J.; Antonio Aguilar Sánchez, J.; Ahlers, M.; Altmann, D.; Auffenberg, J.; Bai, X.; et al. Search for annihilating dark matter in the Sun with 3 years of IceCube data. Eur. Phys. J. C 2017, 77, 146. [Google Scholar] [CrossRef]
- Albert, A.; André, M.; Anghinolfi, M.; Anton, G.; Ardid, M.; Aubert, J.J.; Aublin, J.; Baret, B.; Basa, S.; Belhorma, B.; et al. Search for dark matter towards the Galactic Centre with 11 years of ANTARES data. Phys. Lett. B 2020, 805, 135439. [Google Scholar] [CrossRef]
- Albert, A.; André, M.; Anghinolfi, M.; Anton, G.; Ardid, M.; Aubert, J.J.; Aublin, J.; Baret, B.; Basa, S.; Belhorma, B.; et al. Search for Dark Matter Annihilation in the Earth using the ANTARES Neutrino Telescope. Phys. Dark Univ. 2017, 16, 41. [Google Scholar] [CrossRef]
- Adrian-Martinez, S.; Albert, A.; André, M.; Anton, G.; Ardid, M.; Aubert, J.J.; Avgitas, T.; Baret, B.; Barrios-Martí, J.; Basa, S.; et al. Limits on Dark Matter Annihilation in the Sun using the ANTARES Neutrino Telescope. Phys. Lett. B 2016, 759, 69. [Google Scholar] [CrossRef]
- Avrorin, A.D.; Avrorin, A.V.; Aynutdinov, V.M.; Bannasch, R.; Belolaptikov, I.A.; Brudanin, V.B.; Budnev, N.M.; Danilchenko, I.A.; Demidov, S.V.; Domogatsky, G.V.; et al. Dark matter constraints from an observation of dSphs and the LMC with the Baikal NT200. J. Exp. Theor. Phys. 2017, 125, 80. [Google Scholar] [CrossRef]
- Avrorin, A.D.; Avrorin, A.V.; Aynutdinov, V.M.; Bannasch, R.; Belolaptikov, I.A.; Brudanin, V.B.; Budnev, N.M.; Danilchenko, I.A.; Demidov, S.V.; Domogatsky, G.V.; et al. A search for neutrino signal from dark matter annihilation in the center of the Milky Way with Baikal NT200. Astropart. Phys. 2016, 81, 12. [Google Scholar] [CrossRef]
- Avrorin, A.D.; Avrorin, A.V.; Aynutdinov, V.M.; Bannasch, R.; Belolaptikov, I.A.; Brudanin, V.B.; Budnev, N.M.; Danilchenko, I.A.; Demidov, S.V.; Domogatsky, G.V.; et al. Search for neutrino emission from relic dark matter in the Sun with the Baikal NT200 detector. Astropart. Phys. 2015, 62, 12. [Google Scholar] [CrossRef][Green Version]
- Boliev, M.M.; Demidov, S.V.; Mikheyev, S.P.; Suvorova, O.V. Search for muon signal from dark matter annihilations inthe Sun with the Baksan Underground Scintillator Telescope for 24.12 years. JCAP 2013, 9, 19. [Google Scholar] [CrossRef]
- Desai, S.; Ashie, Y.; Fukuda, S.; Fukuda, Y.; Ishihara, K.; Itow, Y.; Koshio, Y.; Minamino, A.; Miura, M.; Moriyama, S.; et al. Search for dark matter WIMPs using upward through-going muons in Super-Kamiokande. Phys. Rev. D 2004, 70, 083523. [Google Scholar] [CrossRef]
- Abe, K.; Bronner, C.; Haga, Y.; Hayato,, Y.; Ikeda, M.; Imaizumi, S.; Ito, H.; Iyogi, K.; Kameda, J.; Kataoka, Y.; et al. Indirect Search for Dark Matter from the Galactic Center and Halo with the Super-Kamiokande Detector. arXiv 2020, arXiv:2005.05109. [Google Scholar]
- Choi, K.; Abe, K.; Haga, Y.; Hayato, Y.; Iyogi, K.; Kameda, J.; Kishimoto, Y.; Miura, M.; Moriyama, S.; Nakahata, M.; et al. Search for neutrinos from annihilation of captured low-mass dark matter particles in the Sun by Super-Kamiokande. Phys. Rev. Lett. 2015, 114, 141301. [Google Scholar] [CrossRef]
- Actis, M.; Agnetta, G.; Aharonian, F.; Akhperjanian, A.; Aleksić, J.; Aliu, E.; Allan, D.; Allekotte, I.; Antico, F.; Antonelli, L.A.; et al. Design concepts for the Cherenkov Telescope Array CTA: An advanced facility for ground-based high-energy gamma-ray astronomy. Exper. Astron. 2011, 32, 193. [Google Scholar] [CrossRef]
- Aartsen, M.G.; Abbasi, R.; Abdou, Y.; Ackermann, M.; Adams, J.; Antonio Aguilar Sánchez, J.; Ahlers, M.; Altmann, D.; Auffenberg, J.; Bai, X.; et al. IceCube-Gen2: The Window to the Extreme Universe. arXiv 2020, arXiv:2008.04323. [Google Scholar]
- Adrian-Martinez, S.; Albert, A.; André, M.; Anton, G.; Ardid, M.; Aubert, J.J.; Avgitas, T.; Baret, B.; Barrios-Martí, J.; Basa, S.; et al. Letter of intent for KM3NeT 2.0. J. Phys. G 2016, 43, 084001. [Google Scholar]
- Avrorin, A.D.; Avrorin, A.V.; Aynutdinov, V.M.; Bannasch, R.; Belolaptikov, I.A.; Brudanin, V.B.; Budnev, N.M.; Danilchenko, I.A.; Demidov, S.V.; Domogatsky, G.V.; et al. BAIKAL-GVD: The New-Generation Neutrino Telescope in Lake Baikal. Bull. Russ. Acad. Sci. Phys. 2019, 83, 921. [Google Scholar] [CrossRef]
- Abe, K.; Abe, T.; Aihara, H.; Fukuda, Y.; Hayato, Y.; Huang, K.; Ichikawa, A.K.; Ikeda, M.; Inoue, K.; Ishino, H.; et al. Letter of Intent: The Hyper-Kamiokande Experiment—Detector Design and Physics Potential. arXiv 2011, arXiv:1109.3262. [Google Scholar]
- Oakes, L.; Oakes, L.; Armand, C.; Charles, E.; Di Mauro, M.; Giuri, C.; Harding, J.P.; Kerszberg, D.; Miener, T.; Moulin, E.; et al. Combined Dark Matter searches towards dwarf spheroidal galaxies with Fermi-LAT, HAWC, HESS, MAGIC and VERITAS. In Proceedings of the 36th International Cosmic Ray Conference, Madison, WI, USA, 24 July–1 August 2019. [Google Scholar]
- Hunter, S.D.; Bertsch, D.L.; Catelli, J.R.; Dame, T.M.; Digel, S.W.; Dingus, B.L.; Esposito, J.A.; Fichtel, C.E.; Hartman, R.C.; Kanbach, G.; et al. EGRET observations of the diffuse gamma-ray emission from the galactic plane. Astrophys. J. 1997, 481, 205. [Google Scholar] [CrossRef]
- Goodenough, L.; Hooper, D. Possible Evidence for Dark Matter Annihilation in the Inner Milky Way from the Fermi Gamma Ray Space Telescope. arXiv 2009, arXiv:0910.2998. [Google Scholar]
- Calore, F.; Cholis, I.; Weniger, C. Background Model Systematics for the Fermi GeV Excess. JCAP 2015, 1503, 38. [Google Scholar] [CrossRef]
- Aartsen, M.G.; Abbasi, R.; Abdou, Y.; Ackermann, M.; Adams, J.; Antonio Aguilar Sánchez, J.; Ahlers, M.; Altmann, D.; Auffenberg, J.; Bai, X.; et al. The Fermi Galactic Center GeV Excess and Implications for Dark Matter. Astrophys. J. 2017, 840, 43. [Google Scholar]
- Buschmann, M.; Rodd, N.L.; Safdi, B.R.; Chang, L.J.; Mishra-Sharma, S.; Lisanti, M.; Macias, O. Foreground Mismodeling and the Point Source Explanation of the Fermi Galactic Center Excess. Phys. Rev. D 2020, 102, 023023. [Google Scholar] [CrossRef]
- Zhong, Y.M.; McDermott, S.D.; Cholis, I.; Fox, P.J. Testing the Sensitivity of the Galactic Center Excess to the Point Source Mask. Phys. Rev. Lett. 2020, 124, 231103. [Google Scholar] [CrossRef]
- Bergström, L.; Edsjö, J.; Gustafsson, M.; Salati, P. Is the dark matter interpretation of the EGRET gamma excess compatible with antiproton measurements? JCAP 2006. [Google Scholar] [CrossRef]
- Su, M.; Slatyer, T.R.; Finkbeiner, D.P. Giant Gamma-ray Bubbles from Fermi-LAT: AGN Activity or Bipolar Galactic Wind? Astrophys. J. 2010, 724, 1044. [Google Scholar] [CrossRef]
- Lee, S.K.; Lisanti, M.; Safdi, B.R.; Slatyer, T.R.; Xue, W. Evidence for Unresolved γ-Ray Point Sources in the Inner Galaxy. Phys. Rev. Lett. 2016, 116, 051103. [Google Scholar] [CrossRef]
- Hooper, D.; Goodenough, L. Dark Matter Annihilation in The Galactic Center as Seen by the Fermi Gamma Ray Space Telescope. Phys. Lett. B 2011, 697, 412. [Google Scholar] [CrossRef]
- Hooper, D.; Linden, T. On The Origin Of The Gamma Rays from The Galactic Center. Phys. Rev. D 2011, 84, 123005. [Google Scholar] [CrossRef]
- Agrawal, P.; Batell, B.; Fox, P.J.; Harnik, R. WIMPs at the Galactic Center. JCAP 2015. [Google Scholar] [CrossRef]
- Calore, F.; Cholis, I.; McCabe, C.; Weniger, C. A Tale of Tails: Dark Matter Interpretations of the Fermi GeV Excess in Light of Background Model Systematics. Phys. Rev. D 2015, 91, 063003. [Google Scholar] [CrossRef]
- Achterberg, A.; van Beekveld, M.; Caron, S.; Gómez-Vargas, G.A.; Hendriks, L.; Ruiz de Austri, R. Implications of the Fermi-LAT Pass 8 Galactic Center excess on supersymmetric dark matter. JCAP 2017, 1712, 40. [Google Scholar] [CrossRef][Green Version]
- Essig, R.; Kuflik, E.; McDermott, S.D.; Volansky, T.; Zurek, K.M. Constraining Light Dark Matter with Diffuse X-ray and Gamma-Ray Observations. JHEP 2013, 11, 193. [Google Scholar] [CrossRef]
- Jeltema, T.E.; Profumo, S. Dark Matter Detection with Hard X-ray Telescopes. Mon. Not. R. Astron. Soc. 2012, 421, 1215. [Google Scholar] [CrossRef][Green Version]
- Dodelson, S.; Widrow, L.M. Sterile-neutrinos as dark matter. Phys. Rev. Lett. 1994, 72, 17. [Google Scholar] [CrossRef] [PubMed]
- Adhikari, R.; Agostini, M.; Ky, N.A.; Araki, T.; Archidiacono, M.; Bahr, M.; Baur, J.; Behrens, J.; Bezrukov, F.; Dev, P.S.B.; et al. A White Paper on keV Sterile Neutrino Dark Matter. JCAP 2017, 2017, 25. [Google Scholar] [CrossRef]
- Boyarsky, A.; Drewes, M.; Lasserre, T.; Mertens, S.; Ruchayskiy, O. Sterile neutrino Dark Matter. Prog. Part. Nucl. Phys. 2019, 104, 1. [Google Scholar] [CrossRef]
- Abazajian, K.N. Sterile neutrinos in cosmology. Phys. Rept. 2017, 711–712, 1. [Google Scholar] [CrossRef]
- Abazajian, K.N.; Markevitch, M.; Koushiappas, S.M.; Hickox, R.C. Limits on the Radiative Decay of Sterile Neutrino Dark Matter from the Unresolved Cosmic and Soft X-ray Backgrounds. Phys. Rev. D 2007, 75, 063511. [Google Scholar] [CrossRef]
- Ng, K.C.Y.; Roach, B.M.; Perez, K.; Beacom, J.F.; Horiuchi, S.; Krivonos, R.; Wik, D.R. New Constraints on Sterile Neutrino Dark Matter from NuSTAR M31 Observations. Phys. Rev. D 2019, 99, 083005. [Google Scholar] [CrossRef]
- Boyarsky, A.; Neronov, A.; Ruchayskiy, O.; Shaposhnikov, M. Constraints on sterile neutrino as a dark matter candidate from the diffuse X-ray background. Mon. Not. R. Astron. Soc. 2006, 370, 213. [Google Scholar] [CrossRef]
- Asaka, T.; Blanchet, S.; Shaposhnikov, M. The nuMSM, dark matter and neutrino masses. Phys. Lett. B 2005, 631, 151. [Google Scholar] [CrossRef]
- Argüelles, C.A.; Diaz, A.; Kheirandish, A.; del Campo, A.O.; Safa, I.; Vincent, A.C. Dark Matter Annihilation to Neutrinos: An Updated, Consistent & Compelling Compendium of Constraints. arXiv 2019, arXiv:1912.09486. [Google Scholar]
- Press, W.H.; Spergel, D.N. Capture by the sun of a galactic population of weakly interacting massive particles. Astrophys. J. 1985, 296, 679. [Google Scholar] [CrossRef]
- Krauss, L.M.; Srednicki, M.; Wilczek, F. Solar System Constraints and Signatures for Dark Matter Candidates. Phys. Rev. D 1986, 33, 2079. [Google Scholar] [CrossRef] [PubMed]
- Srednicki, M.; Olive, K.A.; Silk, J. High-Energy Neutrinos from the Sun and Cold Dark Matter. Nucl. Phys. B 1987, 279, 804. [Google Scholar] [CrossRef]
- Gaisser, T.K.; Steigman, G.; Tilav, S. Limits on Cold Dark Matter Candidates from Deep Underground Detectors. Phys. Rev. D 1986, 34, 2206. [Google Scholar] [CrossRef] [PubMed]
- Ritz, S.; Seckel, D. Detailed Neutrino Spectra from Cold Dark Matter Annihilations in the Sun. Nucl. Phys. B 1988, 304, 877. [Google Scholar] [CrossRef]
- Gould, A. Resonant Enhancements in WIMP Capture by the Earth. Astrophys. J. 1987, 321, 571. [Google Scholar] [CrossRef]
- Gould, A.; Frieman, J.A.; Freese, K. Probing the Earth With Wimps. Phys. Rev. D 1989, 39, 1029. [Google Scholar] [CrossRef]
- Steigman, G.; Sarazin, C.L.; Quintana, H.; Faulkner, J. Dynamical interactions and astrophysical effects of stable heavy neutrinos. Astron. J. 1978, 83, 1050. [Google Scholar] [CrossRef]
- Spergel, D.N.; Press, W.H. Effect of hypothetical, weakly interacting, massive particles on energy transport in the solar interior. Astrophys. J. 1985, 294, 663. [Google Scholar] [CrossRef]
- Engel, J.; Pittel, S.; Vogel, P. Nuclear physics of dark matter detection. Int. J. Mod. Phys. E 1992, 1, 1. [Google Scholar] [CrossRef]
- Grevesse, N.; Sauval, A.J. Standard Solar Composition. Space Sci. Rev. 1998, 85, 161. [Google Scholar] [CrossRef]
- Catena, R.; Schwabe, B. Form factors for dark matter capture by the Sun in effective theories. JCAP 2015, 1504, 42. [Google Scholar] [CrossRef]
- Bernadich, M.C.I.; Pérez de los Heros, C. Limits on Kaluza—Klein dark matter annihilation in the Sun from recent IceCube results. Eur. Phys. J. C 2020, 80, 129. [Google Scholar]
- Catena, R.; Hellström, F. New constraints on inelastic dark matter from IceCube. JCAP 2018, 10, 39. [Google Scholar] [CrossRef]
- Albuquerque, I.F.M.; Pérez de los Heros, C. Closing the Window on Strongly Interacting Dark Matter with IceCube. Phys. Rev. D 2010, 81, 063510. [Google Scholar] [CrossRef]
- Silverwood, H.; Scott, P.; Danninger, M.; Savage, C.; Edsjö, J.; Adams, J.; Brown, A.M.; Hultqvist, K. Sensitivity of IceCube-DeepCore to neutralino dark matter in the MSSM-25. JCAP 2013, 3, 27. [Google Scholar] [CrossRef]
- Trotta, R.; Ruiz de Austri, R.; Pérez de los Heros, C. Prospects for dark matter detection with IceCube in the context of the CMSSM. JCAP 2009, 8, 34. [Google Scholar] [CrossRef]
- Allahverdi, R.; Bornhauser, S.; Dutta, B.; Richardson-McDaniel, K. Prospects for Indirect Detection of Sneutrino Dark Matter with IceCube. Phys. Rev. D 2009, 80, 055026. [Google Scholar] [CrossRef]
- Pospelov, M.; Ritz, A.; Voloshin, M.B. Secluded WIMP Dark Matter. Phys. Lett. B 2008, 662, 53. [Google Scholar] [CrossRef]
- Ajello, M.; Atwood, W.B.; Baldini, L.; Barbiellini, G.; Bastieri, D.; Bellazzini, R.; Berenji, B.; Blandford, R.D.; Bloom, E.D.; Bonamente, E.; et al. Constraints on dark matter models from a Fermi-LAT search for high-energy cosmic-ray electrons from the Sun. Phys. Rev. D 2011, 84, 032007. [Google Scholar] [CrossRef]
- Profumo, S.; Queiroz, F.S.; Silk, J.; Siqueira, C. Searching for Secluded Dark Matter with H.E.S.S., Fermi-LAT, and Planck. JCAP 2018, 3, 10. [Google Scholar] [CrossRef]
- Cuoco, A.; Luque, P.D.; Gargano, F.; Gustafsson, M.; Loparco, F.; Mazziotta, M.; Serini, D. A search for dark matter cosmic-ray electrons and positrons from the Sun with the Fermi Large Area Telescope. Phys. Rev. D 2020, 101, 022002. [Google Scholar] [CrossRef]
- Leane, R.K.; Ng, K.C.Y.; Beacom, J.F. Powerful Solar Signatures of Long-Lived Dark Mediators. Phys. Rev. D 2017, 95, 123016. [Google Scholar] [CrossRef]
- Ardid, M.; Felis, I.; Herrero, A.; Martínez-Mora, J. Constraining Secluded Dark Matter models with the public data from the 79-string IceCube search for dark matter in the Sun. JCAP 2017, 4, 10. [Google Scholar] [CrossRef]
- Adrián-Martínez, S.; Albert, A.; André, M.; Anton, G.; Ardid, M.; Aubert, J.J.; Avgitas, T.; Baret, B.; Barrios-Martí, J.; Basa, S.; et al. A search for Secluded Dark Matter in the Sun with the ANTARES neutrino telescope. JCAP 2016, 5, 16. [Google Scholar] [CrossRef]
- Herndon, J.M. The chemical composition of the interior shells of the Earth. Proc. R. Soc. Lond. Ser. A 1980, 372, 1748. [Google Scholar]
- Mijakowski, P. Dark Matter Searches at Super-Kamiokande. J. Phys. Conf. Ser. 2020, 1342, 012075. [Google Scholar] [CrossRef]
- Aartsen, M.G.; Abbasi, R.; Abdou, Y.; Ackermann, M.; Adams, J.; Antonio Aguilar Sánchez, J.; Ahlers, M.; Altmann, D.; Auffenberg, J.; Bai, X.; et al. Evidence for High-Energy Extraterrestrial Neutrinos at the IceCube Detector. Science 2013, 342, 1242856. [Google Scholar]
- Aartsen, M.G.; Abbasi, R.; Abdou, Y.; Ackermann, M.; Adams, J.; Antonio Aguilar Sánchez, J.; Ahlers, M.; Altmann, D.; Auffenberg, J.; Bai, X.; et al. Observation of High-Energy Astrophysical Neutrinos in Three Years of IceCube Data. Phys. Rev. Lett. 2014, 113, 101101. [Google Scholar] [CrossRef]
- Kopper, C. Observation of Astrophysical Neutrinos in Six Years of IceCube Data. In Proceedings of the 35th International Cosmic Ray Conference, Busan, Corea, 12–20 July 2017. [Google Scholar]
- Feldstein, B.; Kusenko, A.; Matsumoto, S.; Yanagida, T.T. Neutrinos at IceCube from Heavy Decaying Dark Matter. Phys. Rev. D 2013, 88, 015004. [Google Scholar] [CrossRef]
- Aartsen, M.G.; Abbasi, R.; Abdou, Y.; Ackermann, M.; Adams, J.; Antonio Aguilar Sánchez, J.; Ahlers, M.; Altmann, D.; Auffenberg, J.; Bai, X.; et al. Multimessenger observations of a flaring blazar coincident with high-energy neutrino IceCube-170922A. Science 2018, 361, eaat1378. [Google Scholar]
- Aartsen, M.G.; Abbasi, R.; Abdou, Y.; Ackermann, M.; Adams, J.; Antonio Aguilar Sánchez, J.; Ahlers, M.; Altmann, D.; Auffenberg, J.; Bai, X.; et al. Neutrino emission from the direction of the blazar TXS 0506+056 prior to the IceCube-170922A alert. Science 2018, 361, 147. [Google Scholar]
- Esmaili, A.; Serpico, P.D. Are IceCube neutrinos unveiling PeV-scale decaying dark matter? JCAP 2013, 11, 54. [Google Scholar] [CrossRef]
- Bhattacharya, A.; Esmaili, A.; Palomares-Ruiz, S.; Sarcevic, I. Update on decaying and annihilating heavy dark matter with the 6-year IceCube HESE data. JCAP 2019, 5, 51. [Google Scholar] [CrossRef]
- Boucenna, S.M.; Chianese, M.; Mangano, G.; Miele, G.; Morisi, S.; Pisanti, O.; Vitagliano, E. Decaying Leptophilic Dark Matter at IceCube. JCAP 2015, 12, 55. [Google Scholar] [CrossRef]
- Choi, K.Y.; Kim, J.; Rott, C. Constraining dark matter-neutrino interactions with IceCube-170922A. Phys. Rev. D 2019, 99, 083018. [Google Scholar] [CrossRef]
- Argüelles, C.A.; Kheirandish, A.; Vincent, A.C. Imaging Galactic Dark Matter with High-Energy Cosmic Neutrinos. Phys. Rev. Lett. 2017, 119, 201801. [Google Scholar] [CrossRef]
- Kachelriess, M.; Kalashev, O.E.; Kuznetsov, M.Y. Heavy decaying dark matter and IceCube high energy neutrinos. Phys. Rev. D 2018, 98, 083016. [Google Scholar] [CrossRef]
- Chianese, M.; Miele, G.; Morisi, S. Interpreting IceCube 6-year HESE data as an evidence for hundred TeV decaying Dark Matter. Phys. Lett. B 2017, 773, 591. [Google Scholar] [CrossRef]
- Bhattacharya, A.; Gandhi, R.; Gupta, A.; Mukhopadhyay, S. Boosted Dark Matter and its implications for the features in IceCube HESE data. JCAP 2017, 5, 2. [Google Scholar] [CrossRef][Green Version]
- Dev, P.S.B.; Kazanas, D.; Mohapatra, R.N.; Teplitz, V.L.; Zhang, Y. Heavy right-handed neutrino dark matter and PeV neutrinos at IceCube. JCAP 2016, 8, 34. [Google Scholar] [CrossRef]
- Murase, K.; Laha, R.; Ando, S.; Ahlers, M. Testing the Dark Matter Scenario for PeV Neutrinos Observed in IceCube. Phys. Rev. Lett. 2015, 115, 071301. [Google Scholar] [CrossRef] [PubMed]
- Rott, C.; Kohri, K.; Park, S.C. Superheavy dark matter and IceCube neutrino signals: Bounds on decaying dark matter. Phys. Rev. D 2015, 92, 023529. [Google Scholar] [CrossRef]
- Zavala, J. Galactic PeV neutrinos from dark matter annihilation. Phys. Rev. D 2014, 89, 123516. [Google Scholar] [CrossRef]
- Murase, K.; Beacom, J.F. Constraining Very Heavy Dark Matter Using Diffuse Backgrounds of Neutrinos and Cascaded Gamma Rays. JCAP 2012, 10, 43. [Google Scholar] [CrossRef]
- Cohen, T.; Murase, K.; Rodd, N.L.; Safdi, B.R.; Soreq, Y. γ-ray Constraints on Decaying Dark Matter and Implications for IceCube. Phys. Rev. Lett. 2017, 119, 021102. [Google Scholar] [CrossRef]
- Lubelsmeyer, K.; von Dratzig, A.S.; Wlochal, M.; Ambrosi, G.; Azzarello, P.; Battiston, R.; Becker, R.; Becker, U.; Bertucci, B.; Bollweg, K.; et al. Upgrade of the Alpha Magnetic Spectrometer (AMS-02) for long term operation on the International Space Station (ISS). Nucl. Instrum. Meth. A 2011, 654, 639. [Google Scholar] [CrossRef]
- Fusco, P. The DAMPE experiment and its latest results. J. Phys. Conf. Ser. 2019, 1390, 012063. [Google Scholar] [CrossRef]
- Torii, S.; Marrocchesi, P.S.; CALET Collaboration. The CALorimetric Electron Telescope (CALET) on the International Space Station. Adv. Space Res. 2019, 64, 2531. [Google Scholar] [CrossRef]
- Adriani, O.; Barbarino, G.C.; Bazilevskaya, G.A.; Bellotti, R.; Boezio, M.; Bogomolov, E.A.; Bonechi, L.; Bongi, M.; Bonvicini, V.; Bottai, S.; et al. An anomalous positron abundance in cosmic rays with energies 1.5–100 GeV. Nature 2009, 458, 607. [Google Scholar] [CrossRef]
- Adriani, O.; Barbarino, G.C.; Bazilevskaya, G.A.; Bellotti, R.; Bianco, A.; Boezio, M.; Bogomolov, E.A.; Bongi, M.; Bonvicini, V.; Bottai, S.; et al. Cosmic-Ray Positron Energy Spectrum Measured by PAMELA. Phys. Rev. Lett. 2013, 111, 081102. [Google Scholar] [CrossRef]
- Adriani, O.; Barbarino, G.C.; Bazilevskaya, G.A.; Bellotti, R.; Bianco, A.; Boezio, M.; Bogomolov, E.A.; Bongi, M.; Bonvicini, V.; Bottai, S.; et al. Ten years of PAMELA in space. Riv. Nuovo Cim. 2017, 40, 473. [Google Scholar]
- Chang, J.; Adams, J.H.; Ahn, H.S.; Bashindzhagyan, G.L.; Christl, M.; Ganel, O.; Guzik, T.G.; Isbert, J.; Kim, K.C.; Kuznetsov, E.N.; et al. An excess of cosmic ray electrons at energies of 300–800 GeV. Nature 2008, 456, 362. [Google Scholar] [CrossRef] [PubMed]
- Moskalenko, I.V.; Strong, A.W. Production and propagation of cosmic ray positrons and electrons. Astrophys. J. 1998, 493, 694. [Google Scholar] [CrossRef]
- Delahaye, T.; Lavalle, J.; Lineros, R.; Donato, F.; Fornengo, N. Galactic electrons and positrons at the Earth: New estimate of the primary and secondary fluxes. Astron. Astrophys. 2010, 524, A51. [Google Scholar] [CrossRef]
- Accardo, L.; Aguilar, M.; Aisa, D.; Alpat, B.; Alvino, A.; Ambrosi, G.; Andeen, K.; Arruda, L.; Attig, N.; Azzarello, P.; et al. High Statistics Measurement of the Positron Fraction in Primary Cosmic Rays of 0.5–500 GeV with the Alpha Magnetic Spectrometer on the International Space Station. Phys. Rev. Lett. 2014, 113, 121101. [Google Scholar] [CrossRef]
- Aguilar, M.; Cavasonza, L.A.; Ambrosi, G.; Arruda, L.; Attig, N.; Azzarello, P.; Bachlechner, A.; Barao, F.; Barrau, A.; Barrin, L.; et al. Towards Understanding the Origin of Cosmic-Ray Positrons. Phys. Rev. Lett. 2019, 122, 041102. [Google Scholar] [CrossRef]
- Adriani, O.; Akaike, Y.; Asano, K.; Asaoka, Y.; Bagliesi, M.G.; Berti, E.; Berti, E.; Bigongiari, G.; Binns, W.R.; Bonechi, S.; et al. Energy Spectrum of Cosmic-Ray Electron and Positron from 10 GeV to 3 TeV Observed with the Calorimetric Electron Telescope on the International Space Station. Phys. Rev. Lett. 2017, 119, 181101. [Google Scholar] [CrossRef]
- Ambrosi, G.; An, Q.; Asfandiyarov, R.; Azzarello, P.; Bernardini, P.; Bertucci, B.; Cai, M.S.; Chang, J.; Chen, D.Y.; Chen, H.F.; et al. Direct detection of a break in the teraelectronvolt cosmic-ray spectrum of electrons and positrons. Nature 2017, 552, 63. [Google Scholar]
- Haba, N.; Kajiyama, Y.; Matsumoto, S.; Okada, H.; Yoshioka, K. Universally Leptophilic Dark Matter from Non-Abelian Discrete Symmetry. Phys. Lett. B 2011, 695, 476. [Google Scholar] [CrossRef]
- Cohen, T.; Zurek, K.M. Leptophilic Dark Matter from the Lepton Asymmetry. Phys. Rev. Lett. 2010, 104, 101301. [Google Scholar] [CrossRef]
- Ibarra, A.; Ringwald, A.; Tran, D.; Weniger, C. Cosmic Rays from Leptophilic Dark Matter Decay via Kinetic Mixing. JCAP 2009, 8, 17. [Google Scholar] [CrossRef]
- Fox, P.J.; Poppitz, E. Leptophilic Dark Matter. Phys. Rev. D 2009, 79, 083528. [Google Scholar] [CrossRef]
- Hooper, D.; Blasi, P.; Serpico, P.D. Pulsars as the Sources of High Energy Cosmic Ray Positrons. JCAP 2009, 901, 25. [Google Scholar] [CrossRef]
- Profumo, S. Dissecting cosmic-ray electron-positron data with Occam’s Razor: The role of known Pulsars. Central Eur. J. Phys. 2011, 10, 1. [Google Scholar] [CrossRef]
- Malyshev, D.; Cholis, I.; Gelfand, J. Pulsars versus Dark Matter Interpretation of ATIC/PAMELA. Phys. Rev. D 2009, 80, 063005. [Google Scholar] [CrossRef]
- Blasi, P.; Amato, E. Positrons from pulsar winds. In High-Energy Emission from Pulsars and Their Systems, Proceedings of the First Session of the Sant Cugat Forum on Astrophysics, Sant Cugat, Spain, 12–16 April 2010; Torres, D.F., Rea, N., Eds.; Springer: Berlin/Heidelberg, Germany, 2011. [Google Scholar] [CrossRef]
- Yin, P.F.; Yu, Z.H.; Yuan, Q.; Bi, X.J. Pulsar interpretation for the AMS-02 result. Phys. Rev. D 2013, 88, 023001. [Google Scholar] [CrossRef]
- Bartels, R.; Krishnamurthy, S.; Weniger, C. Strong support for the millisecond pulsar origin of the Galactic center GeV excess. Phys. Rev. Lett. 2016, 116, 051102. [Google Scholar] [CrossRef]
- López, A.; Savage, C.; Spolyar, D.; Adams, D.Q. Fermi/LAT observations of Dwarf Galaxies highly constrain a Dark Matter Interpretation of Excess Positrons seen in AMS-02, HEAT, and PAMELA. JCAP 2016, 1603, 33. [Google Scholar] [CrossRef]
- Chan, M.H. Indirect constraints on the dark matter interpretation of excess positrons seen by AMS-02. Phys. Rev. D 2015, 92, 083504. [Google Scholar] [CrossRef]
- Bergström, L.; Edsjö, J.; Ullio, P. Cosmic anti-protons as a probe for supersymmetric dark matter? Astrophys. J. 1999, 526, 215. [Google Scholar] [CrossRef]
- Donato, F.; Fornengo, N.; Maurin, D.; Salati, P. Antiprotons in cosmic rays from neutralino annihilation. Phys. Rev. D 2004, 69, 063501. [Google Scholar] [CrossRef]
- Fornengo, N.; Maccione, L.; Vittino, A. Constraints on particle dark matter from cosmic-ray antiprotons. JCAP 2014, 1404, 3. [Google Scholar] [CrossRef]
- Korsmeier, M.; Donato, F.; di Mauro, M. Production cross sections of cosmic antiprotons in the light of new data from the NA61 and LHCb experiments. Phys. Rev. D 2018, 97, 103019. [Google Scholar] [CrossRef]
- Cuoco, A.; Heisig, J.; Klamt, L.; Korsmeier, M.; Krämer, M. Scrutinizing the evidence for dark matter in cosmic-ray antiprotons. Phys. Rev. D 2019, 99, 103014. [Google Scholar] [CrossRef]
- Cholis, I.; Linden, T.; Hooper, D. A Robust Excess in the Cosmic-Ray Antiproton Spectrum: Implications for Annihilating Dark Matter. Phys. Rev. D 2019, 99, 103026. [Google Scholar] [CrossRef]
- Reinert, A.; Winkler, M.W. A Precision Search for WIMPs with Charged Cosmic Rays. JCAP 2018, 1801, 55. [Google Scholar] [CrossRef]
- Korsmeier, M.; Donato, F.; Fornengo, N. Prospects to verify a possible dark matter hint in cosmic antiprotons with antideuterons and antihelium. Phys. Rev. D 2018, 97, 103011. [Google Scholar] [CrossRef]
- Cappiello, C.V.; Ng, K.C.Y.; Beacom, J.F. Reverse Direct Detection: Cosmic Ray Scattering with Light Dark Matter. Phys. Rev. D 2019, 99, 063004. [Google Scholar] [CrossRef]
- Clark, S.J. Constraining Dark Matter through Cosmological Observations. Doctoral Dissertation; Texas A&M University, 2019. Available online: http://hdl.handle.net/1969.1/186269 (accessed on 28 September 2020).
- Overduin, J.M.; Wesson, P.S. Dark matter and background light. Phys. Rept. 2004, 402, 267. [Google Scholar] [CrossRef]
- Reno, M.; Seckel, D. Primordial Nucleosynthesis: The Effects of Injecting Hadrons. Phys. Rev. D 1988, 37, 3441. [Google Scholar] [CrossRef]
- Kawasaki, M.; Kohri, K.; Moroi, T.; Takaesu, Y. Revisiting Big-Bang Nucleosynthesis Constraints on Dark-Matter Annihilation. Phys. Lett. B 2015, 751, 246. [Google Scholar] [CrossRef]
- Jedamzik, K. Neutralinos and Big Bang nucleosynthesis. Phys. Rev. D 2004, 70, 083510. [Google Scholar] [CrossRef]
- Hisano, J.; Kawasaki, M.; Kohri, K.; Moroi, T.; Nakayama, K. Cosmic Rays from Dark Matter Annihilation and Big-Bang Nucleosynthesis. Phys. Rev. D 2009, 79, 083522. [Google Scholar] [CrossRef]
- Fields, B.D.; Olive, K.A.; Yeh, T.H.; Young, C. Big-Bang Nucleosynthesis After Planck. JCAP 2020, 3, 10. [Google Scholar] [CrossRef]
- Slatyer, T.R. Indirect dark matter signatures in the cosmic dark ages. I. Generalizing the bound on s-wave dark matter annihilation from Planck results. Phys. Rev. D 2016, 93, 023527. [Google Scholar] [CrossRef]
- Slatyer, T.R. Indirect Dark Matter Signatures in the Cosmic Dark Ages II. Ionization, Heating and Photon Production from Arbitrary Energy Injections. Phys. Rev. D 2016, 93, 023521. [Google Scholar] [CrossRef]
- Zhang, L.; Chen, X.L.; Lei, Y.A.; Si, Z.G. The impacts of dark matter particle annihilation on recombination and the anisotropies of the cosmic microwave background. Phys. Rev. D 2006, 74, 103519. [Google Scholar] [CrossRef]
- Ade, P.; Aghanim, N.; Arnaud, M.; Ashdown, M.; Aumont, J.; Baccigalupi, C.; Banday, A.J.; Barreiro, R.B.; Bartlett, J.G.; Bartolo, N.; et al. Planck 2015 results. XIII. Cosmological parameters. Astron. Astrophys. 2016, 594, A13. [Google Scholar]
- Kawasaki, M.; Nakayama, K.; Sekiguchi, T. CMB constraint on dark matter annihilation after Planck 2015. Phys. Lett B 2016, 756, 212. [Google Scholar] [CrossRef][Green Version]
- Kanzaki, T.; Kawasaki, M. Electron and Photon Energy Deposition in Universe. Phys. Rev. D 2008, 78, 103004. [Google Scholar] [CrossRef]
- Kanzaki, T.; Kawasaki, M.; Nakayama, K. Effects of Dark Matter Annihilation on the Cosmic Microwave Background. Prog. Theor. Phys. 2010, 123, 853. [Google Scholar] [CrossRef]
- Pritchard, J.R.; Loeb, A. 21-cm cosmology in the 21st century. Rept. Prog. Phys. 2012, 75, 086901. [Google Scholar] [CrossRef] [PubMed]
- Evoli, C.; Mesinger, A.; Ferrara, A. Unveiling the nature of dark matter with high redshift 21 cm line experiments. JCAP 2014, 11, 24. [Google Scholar] [CrossRef]
- Belikov, A.V.; Hooper, D. How Dark Matter Reionized The Universe. Phys. Rev. D 2009, 80, 035007. [Google Scholar] [CrossRef]
- D’Amico, G.; Panci, P.; Strumia, A. Bounds on Dark Matter annihilations from 21 cm data. Phys. Rev. Lett. 2018, 121, 011103. [Google Scholar] [CrossRef]
- Natarajan, A.; Schwarz, D.J. Dark matter annihilation and its effect on CMB and Hydrogen 21 cm observations. Phys. Rev. D 2009, 80, 043529. [Google Scholar] [CrossRef]
- Natarajan, A.; Schwarz, D.J. The effect of early dark matter halos on reionization. Phys. Rev. D 2008, 78, 103524, Erratum in 2010, 81, 089905. [Google Scholar] [CrossRef]
- Cumberbatch, D.T.; Lattanzi, M.; Silk, J.; Lattanzi, M.; Silk, J. Signatures of clumpy dark matter in the global 21 cm Background Signal. Phys. Rev. D 2010, 82, 103508. [Google Scholar] [CrossRef]
- Chuzhoy, L. Impact of Dark Matter Annihilation on the High-Redshift Intergalactic Medium. Astrophys. J. Lett. 2008, 679, L65. [Google Scholar] [CrossRef]
- Ripamonti, E.; Mapelli, M.; Ferrara, A. Intergalactic medium heating by dark matter. Mon. Not. R. Astron. Soc. 2007, 374, 1067. [Google Scholar] [CrossRef]
- Ripamonti, E.; Mapelli, M.; Ferrara, A. The impact of dark matter decays and annihilations on the formation of the first structures. Mon. Not. R. Astron. Soc. 2007, 375, 1399. [Google Scholar] [CrossRef]
- Mapelli, M.; Ferrara, A.; Pierpaoli, E. Impact of dark matter decays and annihilations on reionzation. Mon. Not. R. Astron. Soc. 2006, 369, 1719. [Google Scholar] [CrossRef]
- Mapelli, M.; Ripamonti, E. Primordial gas heating by dark matter and structure formation. Mem. Soc. Ast. It. 2007, 78, 800. [Google Scholar]
- López-Honorez, L.; Mena, O.; Moliné, Á.; Palomares-Ruiz, S.; Vincent, A.C. The 21 cm signal and the interplay between dark matter annihilations and astrophysical processes. JCAP 2016, 8, 4. [Google Scholar] [CrossRef]
- Valdes, M.; Ferrara, A.; Mapelli, M.; Ripamonti, E. Constraining DM through 21 cm observations. Mon. Not. R. Astron. Soc. 2007, 377, 245. [Google Scholar] [CrossRef]
- Bowman, J.D.; Rogers, A.E.E.; Monsalve, R.A.; Mozdzen, T.J.; Mahesh, N. An absorption profile centred at 78 megahertz in the sky-averaged spectrum. Nature 2018, 555, 67. [Google Scholar] [CrossRef]
- Panci, P. 21-cm line Anomaly: A brief Status. Nuovo Cim. C 2020, 42 6, 243. [Google Scholar]
- Liu, H.; Slatyer, T.R. Implications of a 21-cm signal for dark matter annihilation and decay. Phys. Rev. D 2018, 98, 023501. [Google Scholar] [CrossRef]
- Barkana, R. Possible interaction between baryons and dark-matter particles revealed by the first stars. Nature 2018, 555, 71. [Google Scholar] [CrossRef]
- Tyler, C. Particle dark matter constraints from the Draco Dwarf galaxy. Phys. Rev. D 2002, 66, 023509. [Google Scholar] [CrossRef]
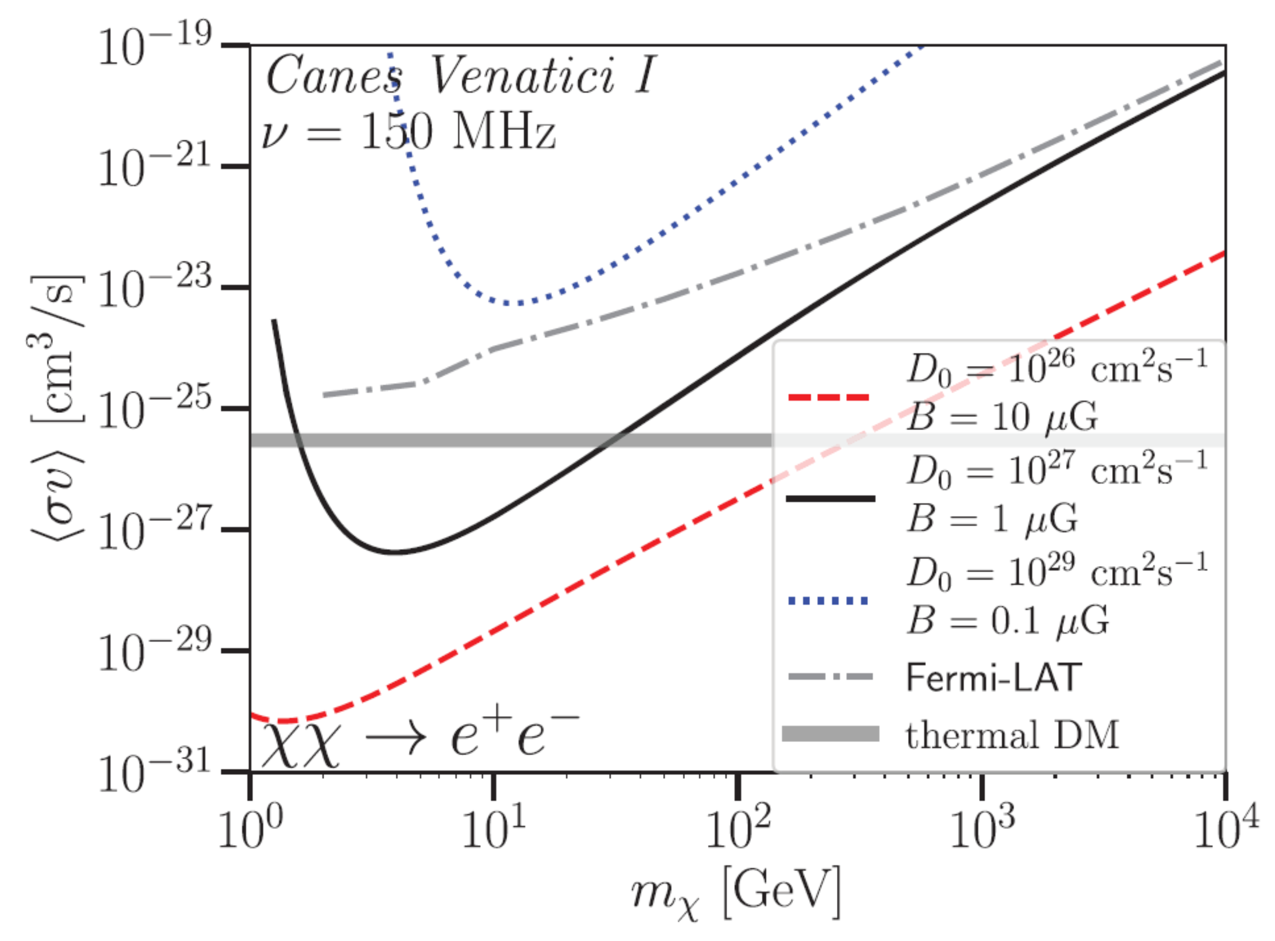
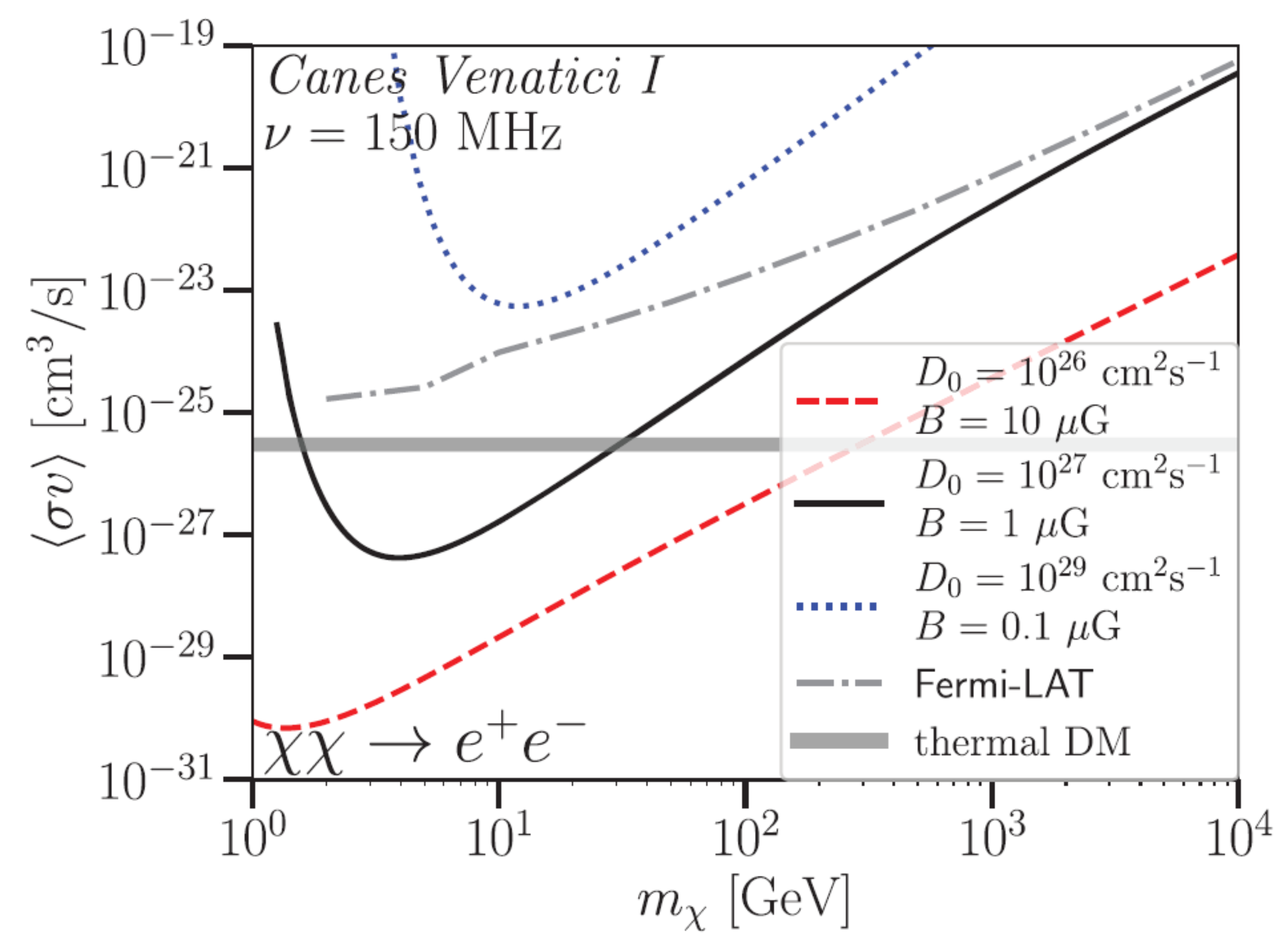
- Vollmann, M.; Heesen, V.; Shimwell, T.; Hardcastle, M.J.; Brüggen, M.; Sigl, G.; Röttgering, H. Radio constraints on dark matter annihilation in Canes Venatici I with LOFAR. Mon. Not. Roy. Astron. Soc. 2020, 496, 2663. [Google Scholar] [CrossRef]
- Hess, V. Unsolved Problems in Physics: Tasks for the Immediate Future in Cosmic Ray Studies. In Nobel Lectures, Physics 1922–1941; Stuart, S., Ed.; Elsevier: Amsterdam, The Netherlands, 1965; ISBN 9781483222486. [Google Scholar]
- Yaguna, C.E.; Zapata, Ó. Multi-component scalar dark matter from a ZN symmetry: A systematic analysis. JHEP 2020, 3, 109. [Google Scholar] [CrossRef]
- Bélanger, G.; Pukhov, A.; Yaguna, C.E.; Zapata, Ó. The Z5 model of two-component dark matter. JHEP 2020, 9, 30. [Google Scholar] [CrossRef]
- Elahi, F.; Khatibi, S. Multi-Component Dark Matter in a Non-Abelian Dark Sector. Phys. Rev. D 2019, 100, 015019. [Google Scholar] [CrossRef]
- Poulin, A.; Godfrey, S. Multicomponent dark matter from a hidden gauged SU(3). Phys. Rev. D 2019, 99, 076008. [Google Scholar] [CrossRef]
- Ahmed, A.; Duch, M.; Grzadkowski, B.; Iglicki, M. Multi-Component Dark Matter: The vector and fermion case. Eur. Phys. J. C 2018, 78, 905. [Google Scholar] [CrossRef]
- Aoki, M.; Duerr, M.; Kubo, J.; Takano, H. Multi-Component Dark Matter Systems and Their Observation Prospects. Phys. Rev. D 2012, 86, 076015. [Google Scholar] [CrossRef]
- Zurek, K.M. Multi-Component Dark Matter. Phys. Rev. D 2009, 79, 115002. [Google Scholar] [CrossRef]
- Lisanti, M.; Moschella, M.; Outmezguine, N.J.; Slone, O. Testing Dark Matter and Modifications to Gravity using Local Milky Way Observables. Phys. Rev. D 2019, 100, 083009. [Google Scholar] [CrossRef]
- McGaugh, S.S. A tale of two paradigms: The mutual incommensurability of ΛCDM and MOND. Can. J. Phys. 2015, 93, 250. [Google Scholar] [CrossRef]
- Sanders, R.H. Does GW170817 falsify MOND? Int. J. Mod. Phys. D 2018, 27, 14. [Google Scholar] [CrossRef]















Publisher’s Note: MDPI stays neutral with regard to jurisdictional claims in published maps and institutional affiliations. |
© 2020 by the author. Licensee MDPI, Basel, Switzerland. This article is an open access article distributed under the terms and conditions of the Creative Commons Attribution (CC BY) license (http://creativecommons.org/licenses/by/4.0/).
Share and Cite
Pérez de los Heros, C. Status, Challenges and Directions in Indirect Dark Matter Searches. Symmetry 2020, 12, 1648. https://doi.org/10.3390/sym12101648
Pérez de los Heros C. Status, Challenges and Directions in Indirect Dark Matter Searches. Symmetry. 2020; 12(10):1648. https://doi.org/10.3390/sym12101648
Chicago/Turabian StylePérez de los Heros, Carlos. 2020. "Status, Challenges and Directions in Indirect Dark Matter Searches" Symmetry 12, no. 10: 1648. https://doi.org/10.3390/sym12101648
APA StylePérez de los Heros, C. (2020). Status, Challenges and Directions in Indirect Dark Matter Searches. Symmetry, 12(10), 1648. https://doi.org/10.3390/sym12101648

