Image Enhancement Using Modified Histogram and Log-Exp Transformation
Abstract
1. Introduction
2. Modified Histogram-Based Enhancement
2.1. Adaptive Gamma Correction with Modified Histogram
2.2. Log-Exp Transformation
2.3. Nonlinear Normalization Transformation
3. Experimental Results and Analyses
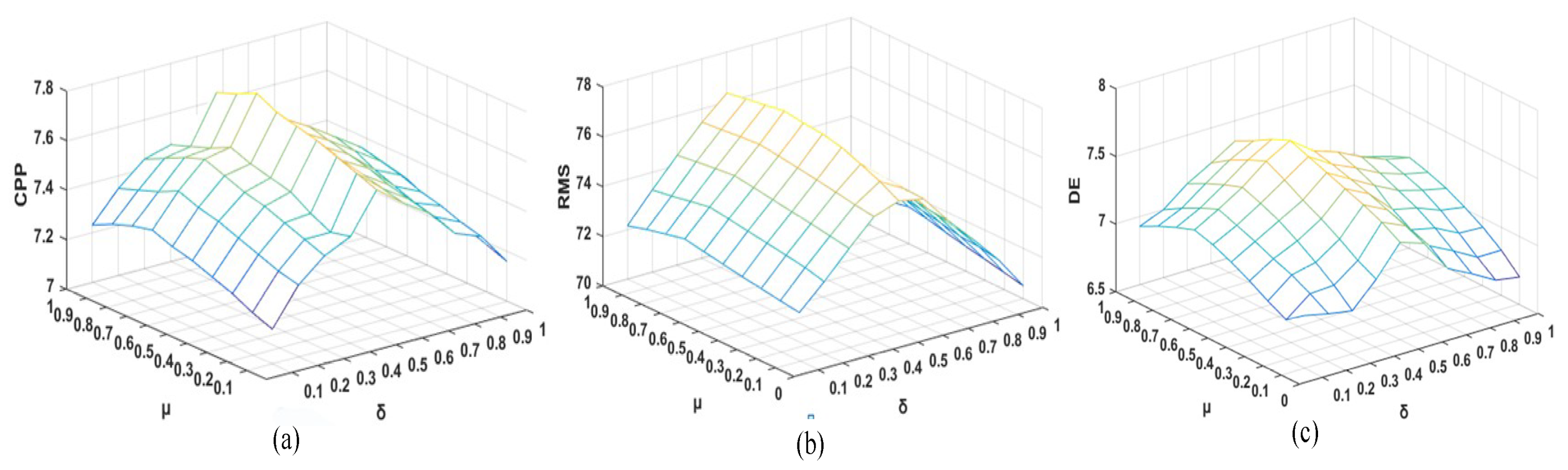
3.1. Parameter Analysis
3.2. Subjective Evaluation
3.3. Objective Evaluations
3.3.1. Contrast Per Pixel (CPP)
3.3.2. Root Mean Square (RMS)
3.3.3. Discrete Entropy (DE)
4. Conclusions
Author Contributions
Funding
Conflicts of Interest
References
- Du, S.; Ward, R.K. Adaptive region-based image enhancement method for robust face recognition under variable illumination conditions. IEEE Trans. Circuits Syst. Video Technol. 2010, 20, 1165–1175. [Google Scholar] [CrossRef]
- Sun, G.; Liu, S.; Wang, W.; Chen, Z. Dynamic range compression and detail enhancement algorithm for infrared image. Appl. Opt. 2014, 53, 6013–6029. [Google Scholar] [CrossRef] [PubMed]
- Huang, T.; Shih, K.; Yeh, S.; Chen, H. Enhancement of backlight-scaled images. IEEE Trans. Image Process. 2013, 22, 4587–4597. [Google Scholar] [CrossRef] [PubMed]
- Atta, R.; Ghanbari, M. Low-contrast satellite images enhancement using discrete cosine transform pyramid and singular value decomposition. IET Image Process. 2013, 7, 472–483. [Google Scholar] [CrossRef]
- Han, H.; Sohn, K. Automatic illumination and color compensation using mean shift and sigma filter. IEEE Trans. Consum. Electr. 2009, 55, 978–986. [Google Scholar] [CrossRef]
- Beghdadi, A.; Le Negrate, A. Contrast enhancement technique based on local detection of edges. Comput. Vis. Image Und. 1989, 46, 162–174. [Google Scholar]
- Cheng, H.D.; Xu, H. A novel fuzzy logic approach to contrast enhancement. Pattern Recognit. 1989, 33, 809–819. [Google Scholar] [CrossRef]
- Tang, J.; Liu, X.; Sun, Q. A direct image contrast enhancement algorithm in the wavelet domain for screening mammograms. IEEE J. Sel. Top. Signal Process. 2009, 3, 74–80. [Google Scholar] [CrossRef]
- Sherrier, R.H.; Johnson, G.A. Regionally adaptive histogram equalization of the chest. IEEE Trans. Med. Imaging 1987, 6, 1–7. [Google Scholar] [CrossRef]
- Polesel, A.; Ramponi, G.; Mathews, V.J. Image enhancement via adaptive unsharp masking. IEEE Trans. Image Process. 2000, 9, 505–510. [Google Scholar] [CrossRef]
- Chiu, Y.S.; Cheng, F.C.; Huang, S.C. Efficient contrast enhancement using adaptive gamma correction and cumulative intensity distribution. In Proceedings of the IEEE International Conference on Systems, Man, and Cybernetics, Anchorage, AK, USA, 9–12 October 2011; pp. 2946–2950. [Google Scholar]
- Cheng, H.D.; Shi, X.J. A simple and effective histogram equalization approach to image enhancement. Digit Signal Process. 2004, 14, 158–170. [Google Scholar] [CrossRef]
- Coltuc, D.; Bolon, P.; Chassery, J.M. Exact histogram specification. IEEE Trans. Image Process. 2006, 15, 1143–1152. [Google Scholar] [CrossRef] [PubMed]
- Hussain, K.; Rahman, S.; Khaled, S.M.; Abdullah-Al-Wadud, M.; Shoyaib, M. Dark image enhancement by locally transformed histogram. In Proceedings of the IEEE International Conference on Software, Knowledge, Information Management and Applications, Dhaka, Bangladesh, 18–20 December 2014; pp. 1–7. [Google Scholar]
- Kim, Y.T. Contrast enhancement using brightness preserving bihistogram equalization. IEEE Trans. Consum. Electr. 1997, 43, 1–8. [Google Scholar]
- Kim, M.; Chung, M.G. Recursively separated and weighted histogram equalization for brightness preservation and contrast enhancement. IEEE Trans. Consum. Electr. 2008, 54, 1389–1397. [Google Scholar] [CrossRef]
- Wang, Y.; Chen, Q.; Zhang, B. Image enhancement based on equal area dualistic sub-image histogram equalization method. IEEE Trans. Consum. Elect. 1999, 45, 68–75. [Google Scholar] [CrossRef]
- Chen, S.D.; Ramli, A.R. Minimum mean brightness error bihistogram equalization in contrast enhancement. IEEE Trans. Consum. Electr. 2003, 49, 1310–1319. [Google Scholar] [CrossRef]
- Lim, S.H.; Isa, N.A.M.; Ooi, C.H.; Toh, K.K.V. A new histogram equalization method for digital image enhancement and brightness preservation. Signal Image Video Process. 2015, 9, 675–689. [Google Scholar] [CrossRef]
- Wang, C.; Ye, Z. Brightness preserving histogram equalization with maximum entropy: A variational perspective. IEEE Trans. Consum. Electr. 2005, 51, 1326–1334. [Google Scholar] [CrossRef]
- Chen, S.D.; Ramli, A.R. Contrast enhancement using recursive mean separate histogram equalization for scalable brightness preservation. IEEE Trans. Consum. Electr. 2003, 49, 1301–1309. [Google Scholar] [CrossRef]
- Kim, H.J.; Lee, J.M.; Lee, J.A.; Oh, S.G.; Kim, W.Y. Contrast enhancement using adaptively modified histogram equalization. In Pacific-Rim Symposium on Image and Video Technology; Springer: Berlin/Heidelberg, Germany, 2006. [Google Scholar]
- Sim, K.S.; Tso, C.P.; Tan, Y.Y. Recursive sub-image histogram equalization applied to gray scale images. Pattern Recogn. Lett. 2007, 28, 1209–1221. [Google Scholar] [CrossRef]
- Hasikin, K.; Isa, N.A.M. Adaptive fuzzy intensity measure enhancement technique for non-uniform illumination and low-contrast images. Signal Image Video Process. 2015, 9, 1419–1442. [Google Scholar] [CrossRef]
- Sun, C.C.; Ruan, S.J.; Shie, M.C.; Pai, T.W. Dnamic contrast enhancement based on histogram specification. IEEE Trans. Consum. Electr. 2005, 51, 1300–1305. [Google Scholar]
- Tsai, C.M.; Yeh, Z.M. Contrast enhancement by automatic and parameter-free piecewise linear transformation for color images. IEEE Trans. Consum. Electr. 2008, 54, 213–219. [Google Scholar] [CrossRef]
- Tsai, C.M.; Yeh, Z.M.; Wang, Y.F. Decision tree-based contrast enhancement for various color images. Mach. Vis. Appl. 2011, 22, 21–37. [Google Scholar] [CrossRef]
- Huang, S.C.; Cheng, F.C.; Chiu, Y.S. Efficient contrast enhancement using adaptive gamma correction with weighting distribution. IEEE Trans. 2013, 22, 1032–1041. [Google Scholar] [CrossRef] [PubMed]
- Rahman, S.; Rahman, M.M.; Hussain, K.; Khaled, S.M.; Shoyaib, M. Image enhancement in spatial domain: A comprehensive study. In Proceedings of the 2014 17th International Conference on Computer and Information Technology, Dhaka, Bangladesh, 22–23 December 2014; pp. 368–373. [Google Scholar]
- Singh, K.; Kapoor, R. Image enhancement using exposure based sub image histogram equalization. Pattern Recogn. Lett. 2014, 36, 10–14. [Google Scholar] [CrossRef]
- Hasikin, K.; Isa, N.A.M. Adaptive fuzzy contrast factor enhancement technique for low contrast and nonuniform illumination images. Signal Image Video Process. 2014, 8, 1591–1603. [Google Scholar] [CrossRef]
- Tang, J.R.; Isa, N.A.M. Intensity exposure-based bi-histogram equalization for image enhancement. Turk. J. Electr. Eng. Comput. Sci. 2016, 24, 3564–3585. [Google Scholar] [CrossRef]
- Tang, J.R.; Isa, N.A.M. Bi-histogram equalization using modified histogram bins. Appl. Soft Comput. 2017, 55, 31–43. [Google Scholar] [CrossRef]
- Hanmandlu, M.; Verma, O.P.; Kumar, N.K.; Kulkarni, M. A novel optimal fuzzy system for color image enhancement using bacterial foraging. IEEE Trans. Instrum. Meas. 2009, 58, 2867–2879. [Google Scholar] [CrossRef]
- Gonzalez, R.C.; Woods, R.E. DIP3/e Book Images. Available online: http://www.image processing place.com/DIP3E/dip3e-book-images-downloads.htm (accessed on 7 January 2019).
- Woods, M. Frontal Face Dataset. Available online: http://www.vision.caltech.edu/htmlles/archive.html (accessed on 7 January 2019).
- Braukus, M.; Henry, K. NASA Technology Helps Weekend Photographers Look Like Pros. Available online: http://dragon.larc.nasa.gov/retinex/pao/news/ (accessed on 7 January 2019).
- Peli, E. Contrast in complex images. J. Opt. Soc. Am. A 1990, 7, 2032–2040. [Google Scholar] [CrossRef] [PubMed]
- Lee, K.C. The Extended Yale Face Database B. Available online: http://vision.ucsd.edu/~iskwak/ExtYaleDatabase/ExtYaleB.html (accessed on 7 January 2019).
- Wang, Z.; Bovik, A.C.; Sheikh, H.R.; Simoncelli, E.P. Image quality assessment: From error visibility to structural similarity. IEEE Trans. Image Process. 2004, 13, 600–612. [Google Scholar] [CrossRef] [PubMed]
- Gull, S.F.; Skilling, J. Maximum entropy method in image processing. IEE Proc. 1984, 131, 646–659. [Google Scholar] [CrossRef]















| Image | RMSHE [21] | AMHE [22] | RSIHE [23] | AGCWD [28] | ESIHE [30] | BHEMHB [33] |
|---|---|---|---|---|---|---|
| Dim #1 | 6.92 | 3.32 | 7.55 | 5.33 | 4.16 | 5.11 |
| Dim #2 | 11.06 | 6.64 | 9.66 | 10.92 | 9.42 | 7.27 |
| Backlighting | 16.85 | 15.77 | 16.84 | 17.13 | 15.72 | 15.21 |
| Front Lighting #1 | 6.17 | 4.50 | 5.60 | 4.95 | 5.01 | 6.15 |
| Front Lighting #2 | 5.87 | 5.98 | 7.16 | 7.69 | 7.05 | 7.45 |
| Daytime #1 | 9.41 | 8.08 | 9.30 | 7.45 | 8.95 | 9.56 |
| Daytime #2 | 13.13 | 12.38 | 13.36 | 11.33 | 12.35 | 12.67 |
| Side Lighting | 9.60 | 10.13 | 9.30 | 11.57 | 9.49 | 9.66 |
| Gray | 9.30 | 8.38 | 9.24 | 7.36 | 8.13 | 9.60 |
| Average | 9.81 | 8.35 | 9.81 | 9.30 | 8.92 | 9.19 |
| Image | G1 | G2 | G3 | G4 | G5 | Average |
|---|---|---|---|---|---|---|
| RMSHE [21] | 8.68 | 9.20 | 7.35 | 4.79 | 5.45 | 7.09 |
| AMHE [22] | 7.99 | 7.35 | 6.48 | 3.57 | 4.37 | 5.95 |
| RSIHE [23] | 8.58 | 8.09 | 6.96 | 5.58 | 5.00 | 6.84 |
| AGCWD [28] | 8.20 | 7.85 | 8.04 | 4.62 | 5.17 | 6.78 |
| ESIHE [30] | 8.59 | 8.73 | 7.62 | 4.28 | 4.44 | 6.73 |
| BHEMHB [33] | 8.79 | 8.77 | 7.89 | 4.66 | 5.13 | 7.05 |
| Proposed | 8.84 | 8.58 | 8.48 | 7.68 | 6.03 | 7.92 |
| Image | RMSHE [21] | AMHE [22] | RSIHE [23] | AGCWD [28] | ESIHE [30] | BHEMHB [33] | Proposed |
|---|---|---|---|---|---|---|---|
| Dim #1 | 72.41 | 45.30 | 72.95 | 77.78 | 62.98 | 43.57 | 79.12 |
| Dim #2 | 72.38 | 38.55 | 63.32 | 64.84 | 54.41 | 38.48 | 72.22 |
| Backlighting | 82.58 | 78.46 | 81.48 | 82.18 | 81.29 | 77.51 | 84.45 |
| Front Lighting #1 | 74.33 | 72.05 | 76.37 | 88.05 | 75.44 | 73.65 | 83.59 |
| Front Lighting #2 | 69.07 | 79.08 | 82.26 | 87.49 | 76.70 | 68.40 | 87.91 |
| Daytime #1 | 74.13 | 58.19 | 67.12 | 58.55 | 65.27 | 71.15 | 75.70 |
| Daytime #2 | 71.23 | 60.88 | 64.10 | 63.40 | 61.38 | 60.82 | 72.11 |
| Side Lighting | 73.94 | 73.33 | 72.30 | 82.01 | 71.51 | 64.7 | 77.86 |
| Gray | 67.71 | 58.55 | 66.08 | 54.95 | 56.76 | 62.08 | 70.47 |
| Average | 73.09 | 62.71 | 71.78 | 73.25 | 67.30 | 62.26 | 78.16 |
| Method | G1 | G2 | G3 | G4 | G5 | Average |
|---|---|---|---|---|---|---|
| RMSHE [21] | 77.57 | 71.75 | 73.23 | 58.47 | 69.32 | 70.07 |
| AMHE [22] | 80.47 | 62.97 | 65.71 | 39.82 | 67.73 | 63.34 |
| RSIHE [23] | 83.92 | 66.51 | 68.14 | 63.25 | 71.72 | 70.71 |
| AGCWD [28] | 83.44 | 66.84 | 75.08 | 58.74 | 88.16 | 74.45 |
| ESIHE [30] | 73.97 | 69.27 | 68.85 | 68.67 | 68.57 | 69.87 |
| BHEMHB [33] | 73.89 | 31.34 | 68.85 | 40.91 | 57.67 | 54.53 |
| Proposed | 84.24 | 72.45 | 75.18 | 73.90 | 83.95 | 77.94 |
| Image | RMSHE [21] | AMHE [22] | RSIHE [23] | AGCWD [28] | ESIHE [30] | BHEMHB [33] | Proposed |
|---|---|---|---|---|---|---|---|
| Dim #1 | 6.83 | 6.75 | 7.19 | 7.35 | 7.14 | 7.25 | 7.91 |
| Dim #2 | 7.20 | 7.02 | 6.98 | 7.53 | 7.38 | 7.14 | 7.90 |
| Backlighting | 7.35 | 7.29 | 7.34 | 7.30 | 7.22 | 7.26 | 7.38 |
| Front Lighting #1 | 7.98 | 7.74 | 7.89 | 7.60 | 7.86 | 7.96 | 7.79 |
| Front Lighting #2 | 7.60 | 7.69 | 7.66 | 7.50 | 7.84 | 7.83 | 7.86 |
| Daytime #1 | 7.80 | 7.62 | 7.77 | 7.34 | 7.75 | 7.67 | 7.87 |
| Daytime #2 | 7.67 | 7.71 | 7.65 | 7.10 | 7.64 | 7.67 | 7.69 |
| Side Lighting | 7.62 | 7.69 | 7.60 | 7.67 | 7.68 | 7.71 | 7.75 |
| Gray | 7.35 | 7.45 | 7.35 | 6.47 | 7.25 | 7.56 | 7.61 |
| Average | 7.49 | 7.44 | 7.49 | 7.32 | 7.53 | 7.56 | 7.75 |
| Method | G1 | G2 | G3 | G4 | G5 | Average |
|---|---|---|---|---|---|---|
| RMSHE [21] | 7.47 | 7.87 | 7.65 | 5.87 | 7.36 | 7.24 |
| AMHE [22] | 7.47 | 7.72 | 7.73 | 6.52 | 7.07 | 7.3 |
| RSIHE [23] | 7.52 | 7.75 | 7.67 | 5.83 | 6.97 | 7.15 |
| AGCWD [28] | 7.22 | 7.39 | 7.63 | 6.59 | 7.06 | 7.18 |
| ESIHE [30] | 7.51 | 7.85 | 7.61 | 6.51 | 6.87 | 7.27 |
| BHEMHB [33] | 7.53 | 7.84 | 7.76 | 6.75 | 7.2 | 7.42 |
| Proposed | 7.68 | 7.66 | 7.76 | 7.24 | 7.37 | 7.54 |
© 2019 by the authors. Licensee MDPI, Basel, Switzerland. This article is an open access article distributed under the terms and conditions of the Creative Commons Attribution (CC BY) license (http://creativecommons.org/licenses/by/4.0/).
Share and Cite
Zhuang, L.; Guan, Y. Image Enhancement Using Modified Histogram and Log-Exp Transformation. Symmetry 2019, 11, 1062. https://doi.org/10.3390/sym11081062
Zhuang L, Guan Y. Image Enhancement Using Modified Histogram and Log-Exp Transformation. Symmetry. 2019; 11(8):1062. https://doi.org/10.3390/sym11081062
Chicago/Turabian StyleZhuang, Liyun, and Yepeng Guan. 2019. "Image Enhancement Using Modified Histogram and Log-Exp Transformation" Symmetry 11, no. 8: 1062. https://doi.org/10.3390/sym11081062
APA StyleZhuang, L., & Guan, Y. (2019). Image Enhancement Using Modified Histogram and Log-Exp Transformation. Symmetry, 11(8), 1062. https://doi.org/10.3390/sym11081062
