Acquiring the Symplectic Operator Based on Pure Mathematical Derivation Then Verifying It in the Intrinsic Problem of Nanodevices
Abstract
:1. Introduction
2. Materials and Methods
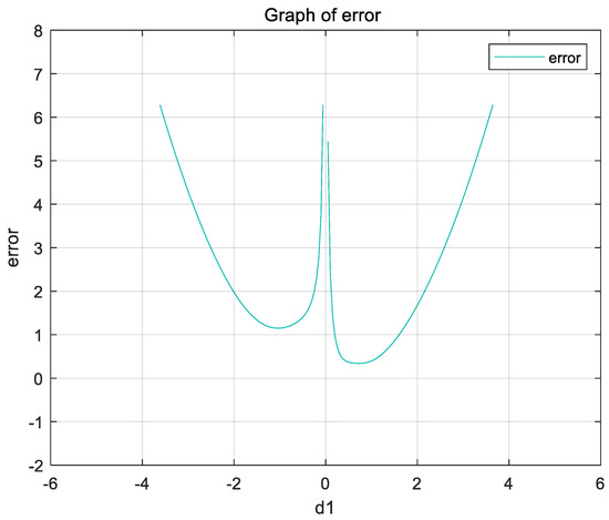
2.1. Calculate Symplectic Operators
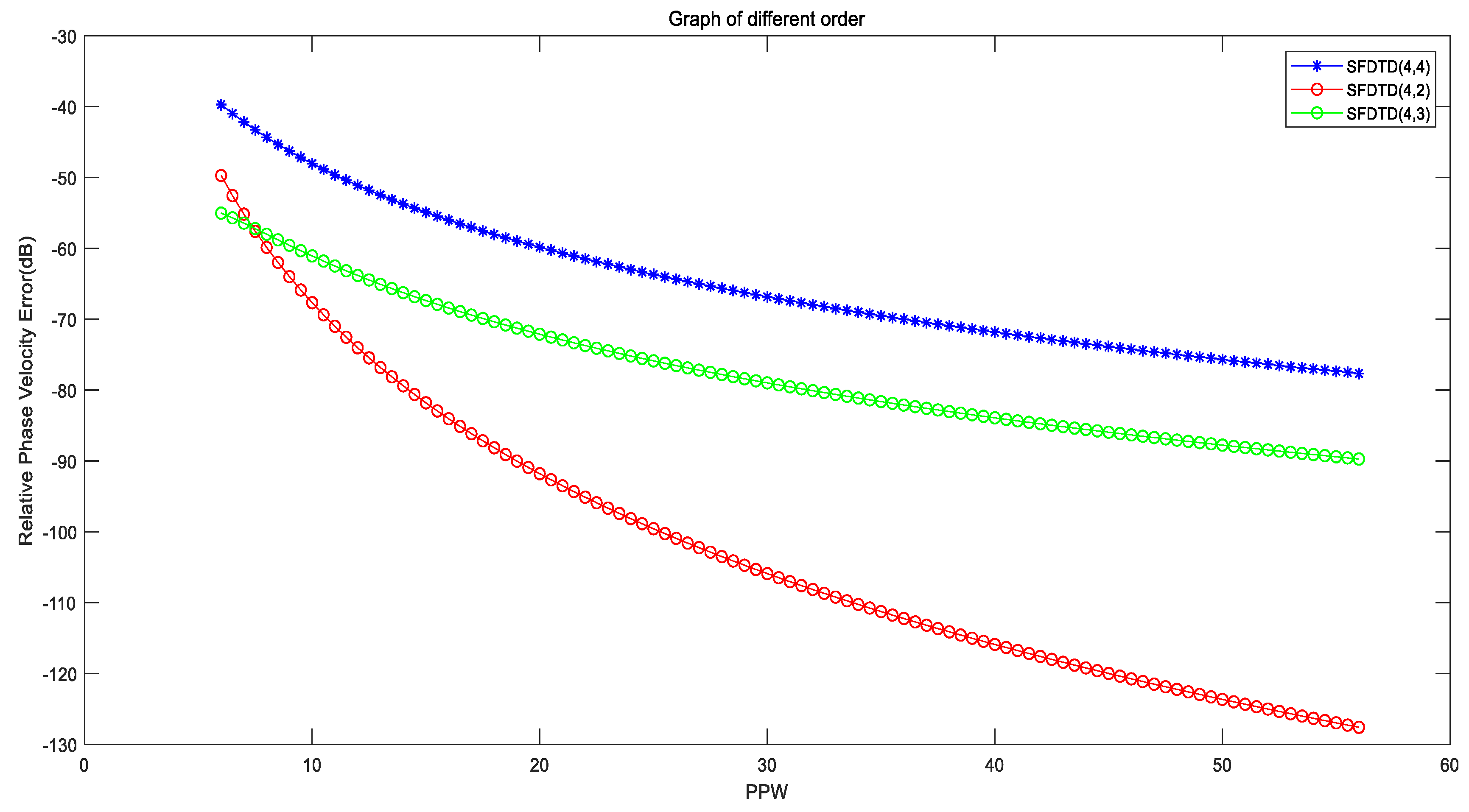
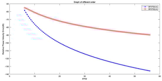
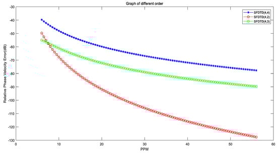
2.2. Comparison with Different Symplectic Operators
3. Application in the Intrinsic Problem of Nanodevices
4. Conclusions
Author Contributions
Funding
Conflicts of Interest
References
- Fu, M.; Liang, H. An improved precise Runge-Kutta integration. Acta Sci. Nat. Univ. Sunyatseni 2009, 5, 1–5. [Google Scholar]
- Prokopidis, K.P.; Zografopoulos, D.C. One-step leapfrog ADI-FDTD method using the complex-conjugate pole-residue Pairs dispersion model. IEEE Microw. Wirel. Compon. Lett. 2018, 28, 1068–1070. [Google Scholar] [CrossRef]
- Feng, K.; Qin, M. Symplectic Geometry Algorithm of Hamilton System; Zhejiang Science and Technology Press: Zhejiang, China, 2003. [Google Scholar]
- Ruth, R.D. A Canonical integration technique. IEEE Trans. Nucl. Sci. 1983, 30, 2669–2671. [Google Scholar] [CrossRef]
- Iwatsu, R. Two new solutions to the third-order symplectic integration method. Phys. Lett. A 2009, 373, 3056–3060. [Google Scholar] [CrossRef]
- Cui, J.; Hong, J.; Liu, Z.; Zhou, W. Stochastic symplectic and multi-symplectic methods for nonlinear Schrödinger equation with white noise dispersion. J. Comput. Phys. 2017, 342, 267–285. [Google Scholar] [CrossRef]
- Milstein, G.N.; Repin, Y.M.; Tretyakov, M.V. Numerical methods for stochastic systems preserving symplectic structure. SIAM J. Numer. Anal. 2002, 40, 1583–1604. [Google Scholar] [CrossRef]
- Mcmahon, J.M.; Gray, S.K.; Schatz, G.C. A discrete action principle for electrodynamics and the construction of explicit symplectic integrators for linear, non-dispersive media. J. Comput. Phys. 2009, 228, 3421–3432. [Google Scholar] [CrossRef]
- Xiao, J.; Qin, H.; Morrison, P.J.; Liu, J.; Yu, Z.; Zhang, R.; He, Y. Explicit high-order noncanonical symplectic algorithms for ideal two-fluid systems. Phys. Plasmas 2016, 23, 112107. [Google Scholar] [CrossRef]
- Wen, Y.Y. Symplectic Algorithm and Its Application in Electromagnetic Field Equations. J. Microw. 1999, 1, 68–79. [Google Scholar]
- Qing, G.H.; Tian, J. Highly accurate symplectic element based on two variational principles. Acta Mech. Sin. 2018, 34, 151–161. [Google Scholar] [CrossRef]
- Liang, L.N.; Yan, B. Study on the Schrödinger equation of hydrogen molecular ion by linear variational method. Chem. Manag. 2017, 36, 27–28. [Google Scholar]
- Feng, L.Q. Characteristics of He~+ high-order radiation harmonics under butterfly metal nanostructures. Chin. J. Quantum Electron. 2018, 35, 479–485. [Google Scholar]
- Cheng, C.; Wang, G.D.; Cheng, Y.Y. Effect of surface polarization on the band gap and absorption peak wavelength of quantum dots at room temperature. Acta Phys. Sin. 2017, 66, 238–245. [Google Scholar]
- Liu, J.X.; Feng, S.M.; Gu, L.H.; Lei, G.; Yan, X.M. Relationship between Surface Barrier and Surface Energy Level and Experimental Research. Shanghai Aerosp. 2017, 34, 105–109. [Google Scholar]
- Magri, F. A simple model of the integrable Hamiltonian equation. J. Math. Phys. 1978, 19, 1156–1162. [Google Scholar] [CrossRef]
- Thompson, L.D. One-dimensional infinite square well potential. Phys. Educ. 1984, 19, 167. [Google Scholar] [CrossRef]








| (c,d) | c | d |
|---|---|---|
| SFDTD (2,4) | ||
| SFDTD (4,2) | ||
| SFDTD (4,3) | ||
| SFDTD (4,4) | ||
| Ruth (4,4) |
© 2019 by the authors. Licensee MDPI, Basel, Switzerland. This article is an open access article distributed under the terms and conditions of the Creative Commons Attribution (CC BY) license (http://creativecommons.org/licenses/by/4.0/).
Share and Cite
Nie, H.; Gui, R.; Chen, T. Acquiring the Symplectic Operator Based on Pure Mathematical Derivation Then Verifying It in the Intrinsic Problem of Nanodevices. Symmetry 2019, 11, 1383. https://doi.org/10.3390/sym11111383
Nie H, Gui R, Chen T. Acquiring the Symplectic Operator Based on Pure Mathematical Derivation Then Verifying It in the Intrinsic Problem of Nanodevices. Symmetry. 2019; 11(11):1383. https://doi.org/10.3390/sym11111383
Chicago/Turabian StyleNie, Han, Renzhou Gui, and Tongjie Chen. 2019. "Acquiring the Symplectic Operator Based on Pure Mathematical Derivation Then Verifying It in the Intrinsic Problem of Nanodevices" Symmetry 11, no. 11: 1383. https://doi.org/10.3390/sym11111383
APA StyleNie, H., Gui, R., & Chen, T. (2019). Acquiring the Symplectic Operator Based on Pure Mathematical Derivation Then Verifying It in the Intrinsic Problem of Nanodevices. Symmetry, 11(11), 1383. https://doi.org/10.3390/sym11111383

