Temperature-Dependent s± ↔ s++ Transitions in the Multiband Model for Fe-Based Superconductors with Impurities
Abstract
1. Introduction
2. Model and Method
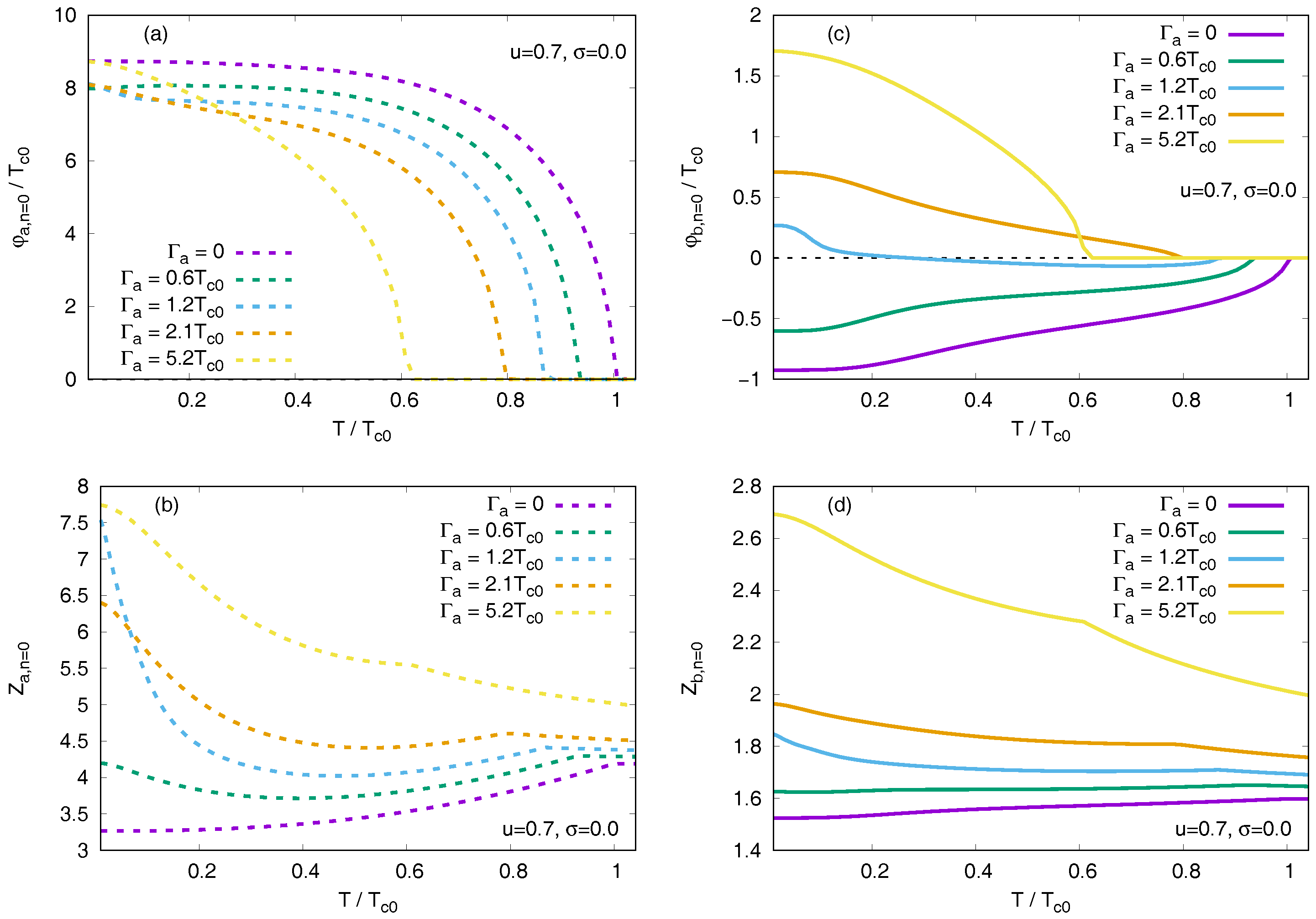
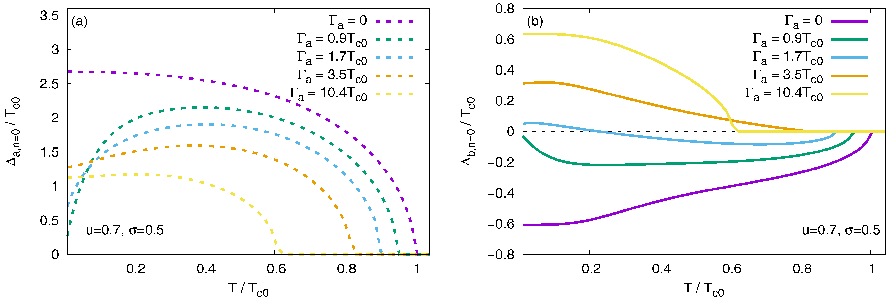
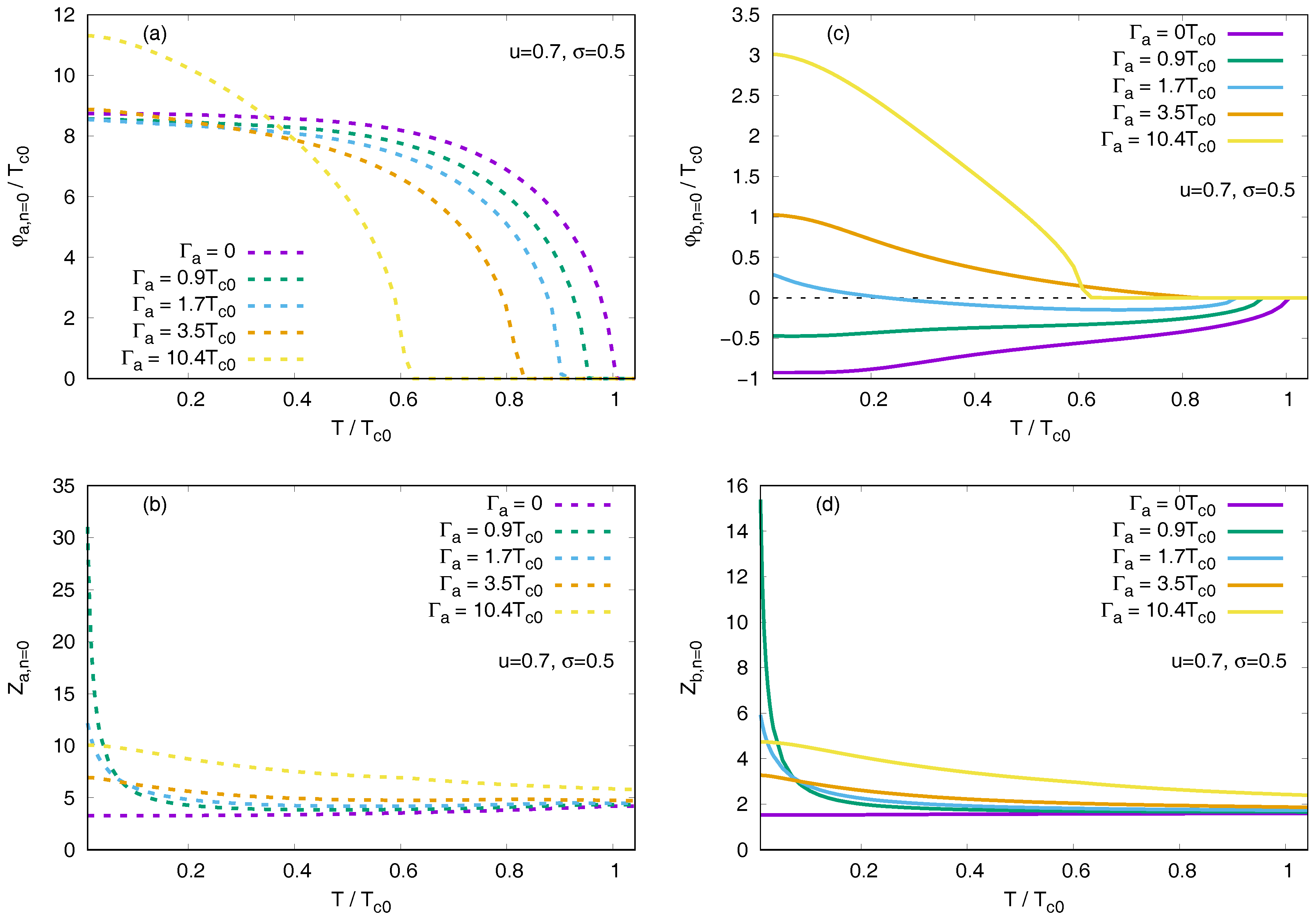
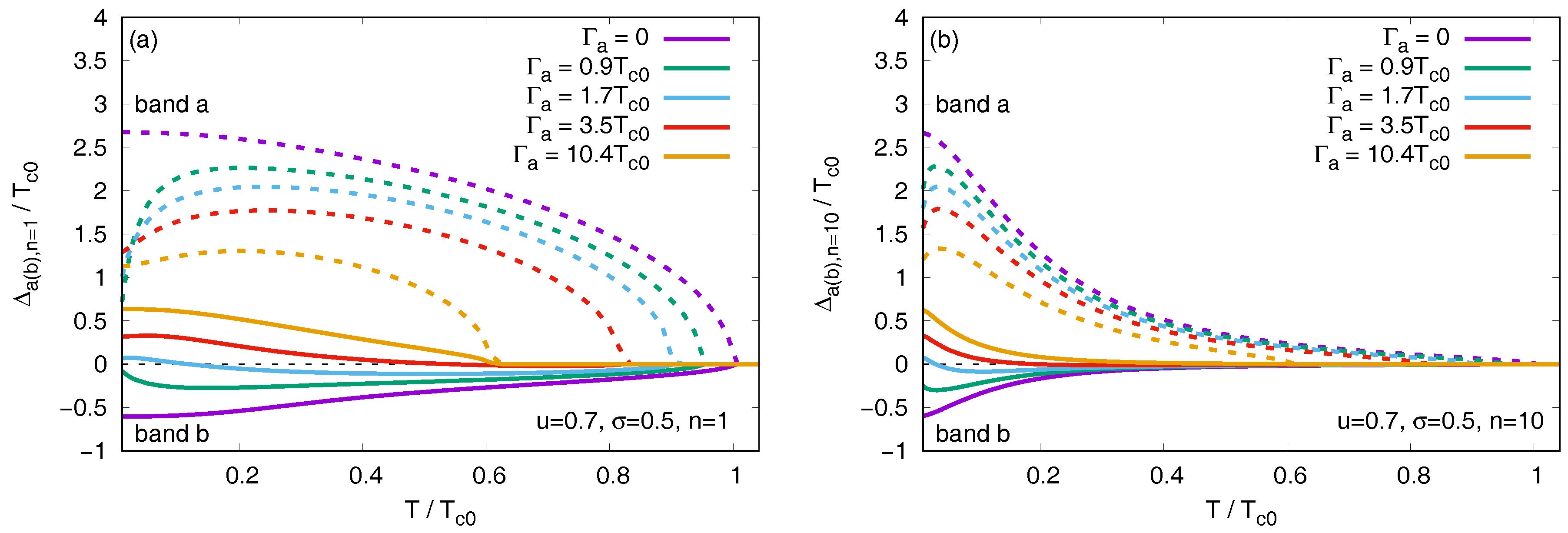
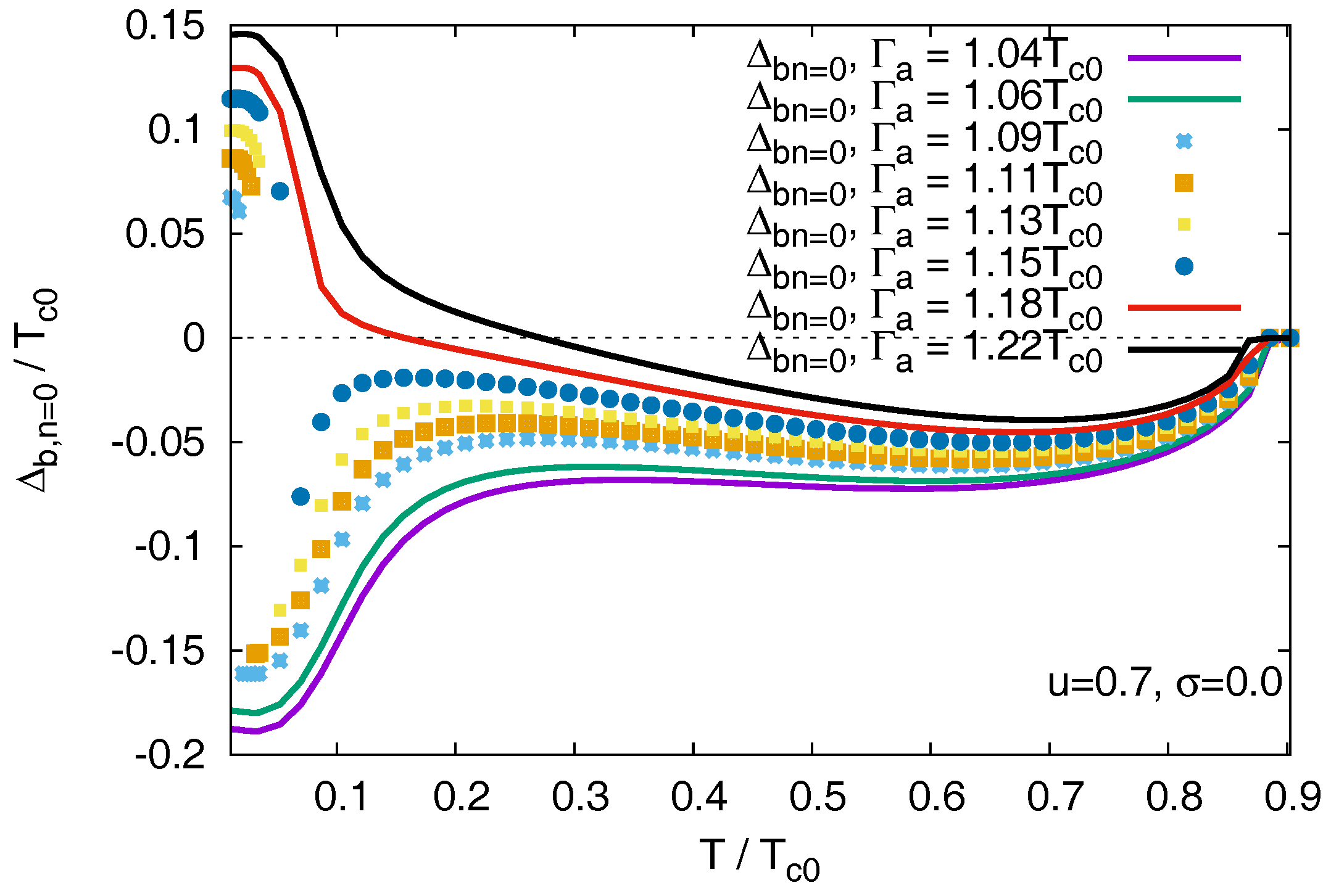
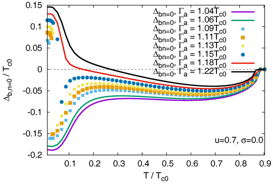
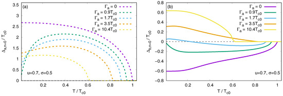
3. Results and Discussion
4. Conclusions
Author Contributions
Funding
Conflicts of Interest
Abbreviations
| FeBS | Fe-based superconductors |
| NMR | nuclear magnetic resonance |
References
- Sadovskii, M.V. High-temperature superconductivity in iron-based layered iron compounds. Phys. Usp. 2008, 51, 1201. [Google Scholar] [CrossRef]
- Izyumov, Y.A.; Kurmaev, E.Z. FeAs systems: A new class of high-temperature superconductors. Phys. Usp. 2008, 51, 1261–1286. [Google Scholar] [CrossRef]
- Ivanovskii, A.L. New high-temperature superconductors based on rare-earth and transition metal oxyarsenides and related phases: synthesis, properties, and simulations. Phys. Usp. 2008, 51, 1229–1260. [Google Scholar] [CrossRef]
- Paglione, J.; Greene, R.L. High-temperature superconductivity in iron-based materials. Nat. Phys. 2010, 6, 645–658. [Google Scholar] [CrossRef]
- Mazin, I.I. Superconductivity gets an iron boost. Nature 2010, 464, 183–186. [Google Scholar] [CrossRef] [PubMed]
- Wen, H.H.; Li, S. Materials and Novel Superconductivity in Iron Pnictide Superconductors. Annu. Rev. Condens. Matter Phys. 2011, 2, 121–140. [Google Scholar] [CrossRef]
- Stewart, G.R. Superconductivity in iron compounds. Rev. Mod. Phys. 2011, 83, 1589–1652. [Google Scholar] [CrossRef]
- Hirschfeld, P.J.; Korshunov, M.M.; Mazin, I.I. Gap symmetry and structure of Fe-based superconductors. Rep. Prog. Phys. 2011, 74, 124508. [Google Scholar] [CrossRef]
- Raghu, S.; Qi, X.L.; Liu, C.X.; Scalapino, D.J.; Zhang, S.C. Minimal two-band model of the superconducting iron oxypnictides. Phys. Rev. B 2008, 77, 220503. [Google Scholar] [CrossRef]
- Efremov, D.V.; Korshunov, M.M.; Dolgov, O.V.; Golubov, A.A.; Hirschfeld, P.J. Disorder-induced transition between s± and s++ states in two-band superconductors. Phys. Rev. B 2011, 84, 180512. [Google Scholar] [CrossRef]
- Korshunov, M.M.; Togushova, Y.N.; Dolgov, O.V. Impurities in multiband superconductors. Phys. Usp. 2016, 59, 1211–1240. [Google Scholar] [CrossRef]
- Korshunov, M.M. Superconducting state in iron-based materials and spin-fluctuation pairing theory. Phys. Usp. 2014, 57, 813. [Google Scholar] [CrossRef]
- Kontani, H.; Onari, S. Orbital-Fluctuation-Mediated Superconductivity in Iron Pnictides: Analysis of the Five-Orbital Hubbard-Holstein Model. Phys. Rev. Lett. 2010, 104, 157001. [Google Scholar] [CrossRef] [PubMed]
- Onari, S.; Kontani, H. Self-consistent Vertex Correction Analysis for Iron-based Superconductors: Mechanism of Coulomb Interaction-Driven Orbital Fluctuations. Phys. Rev. Lett. 2012, 109, 137001. [Google Scholar] [CrossRef] [PubMed]
- Yamakawa, Y.; Kontani, H. Superconductivity without a hole pocket in electron-doped FeSe: Analysis beyond the Migdal-Eliashberg formalism. Phys. Rev. B 2017, 96, 045130. [Google Scholar] [CrossRef]
- Maier, T.A.; Scalapino, D.J. Theory of neutron scattering as a probe of the superconducting gap in the iron pnictides. Phys. Rev. B 2008, 78, 020514. [Google Scholar] [CrossRef]
- Korshunov, M.M.; Eremin, I. Theory of magnetic excitations in iron-based layered superconductors. Phys. Rev. B 2008, 78, 140509. [Google Scholar] [CrossRef]
- Christianson, A.D.; Goremychkin, E.A.; Osborn, R.; Rosenkranz, S.; Lumsden, M.D.; Malliakas, C.D.; Todorov, I.S.; Claus, H.; Chung, D.Y.; Kanatzidis, M.G.; et al. Unconventional superconductivity in Ba0.6K0.4Fe2As2 from inelastic neutron scattering. Nature 2008, 456, 930–932. [Google Scholar] [CrossRef] [PubMed]
- Inosov, D.S.; Park, J.T.; Bourges, P.; Sun, D.L.; Sidis, Y.; Schneidewind, A.; Hradil, K.; Haug, D.; Lin, C.T.; Keimer, B.; et al. Normal-state spin dynamics and temperature-dependent spin-resonance energy in optimally doped BaFe1.85Co0.15As2. Nat. Phys. 2010, 6, 178–181. [Google Scholar] [CrossRef]
- Wang, Y.L.; Shan, L.; Fang, L.; Cheng, P.; Ren, C.; Wen, H.H. Multiple gaps in SmFeAsO0.9F0.1 revealed by point-contact spectroscopy. Supercond. Sci. Technol. 2009, 22, 015018. [Google Scholar] [CrossRef]
- Gonnelli, R.; Daghero, D.; Tortello, M.; Ummarino, G.; Stepanov, V.; Kremer, R.; Kim, J.; Zhigadlo, N.; Karpinski, J. Point-contact Andreev-reflection spectroscopy in ReFeAsO1−xFx (Re = La, Sm): Possible evidence for two nodeless gaps. Phys. C Supercond. 2009, 469, 512–520. [Google Scholar] [CrossRef]
- Szabó, P.; Pribulová, Z.; Pristáš, G.; Bud’ko, S.L.; Canfield, P.C.; Samuely, P. Evidence for two-gap superconductivity in Ba0.55K0.45Fe2As2 from directional point-contact Andreev-reflection spectroscopy. Phys. Rev. B 2009, 79, 012503. [Google Scholar] [CrossRef]
- Zhang, X.; Lee, B.; Khim, S.; Kim, K.H.; Greene, R.L.; Takeuchi, I. Probing the order parameter of superconducting LiFeAs using Pb/LiFeAs and Au/LiFeAs point-contact spectroscopy. Phys. Rev. B 2012, 85, 094521. [Google Scholar] [CrossRef]
- Nakai, Y.; Kitagawa, S.; Ishida, K.; Kamihara, Y.; Hirano, M.; Hosono, H. Systematic 75As NMR study of the dependence of low-lying excitations on F doping in the iron oxypnictide LaFeAsO1−xFx. Phys. Rev. B 2009, 79, 212506. [Google Scholar] [CrossRef]
- Fukazawa, H.; Yamazaki, T.; Kondo, K.; Kohori, Y.; Takeshita, N.; Shirage, P.M.; Kihou, K.; Miyazawa, K.; Kito, H.; Eisaki, H.; et al. 75As NMR Study of Hole-Doped Superconductor Ba1−xFxFe2As2 (Tc≃38 K). J. Phys. Soc. Jpn. 2009, 78, 033704. [Google Scholar] [CrossRef]
- Ghigo, G.; Ummarino, G.A.; Gozzelino, L.; Gerbaldo, R.; Laviano, F.; Torsello, D.; Tamegai, T. Effects of disorder induced by heavy-ion irradiation on (Ba1−xKx)Fe2As2 single crystals, within the three-band Eliashberg s± wave model. Sci. Rep. 2017, 7, 13029. [Google Scholar] [CrossRef] [PubMed]
- Ghigo, G.; Ummarino, G.A.; Gozzelino, L.; Tamegai, T. Penetration depth of Ba1−xKxFe2As2 single crystals explained within a multiband Eliashberg s± approach. Phys. Rev. B 2017, 96, 014501. [Google Scholar] [CrossRef]
- Teknowijoyo, S.; Cho, K.; Kończykowski, M.; Timmons, E.I.; Tanatar, M.A.; Meier, W.R.; Xu, M.; Bud’ko, S.L.; Canfield, P.C.; Prozorov, R. Robust s± pairing in CaK(Fe1−xNix)4As4 (x = 0 and 0.05) from the response to electron irradiation. Phys. Rev. B 2018, 97, 140508. [Google Scholar] [CrossRef]
- Anderson, P. Theory of dirty superconductors. J. Phys. Chem. Solids 1959, 11, 26–30. [Google Scholar] [CrossRef]
- Morosov, A.I. Static impurities in a highly anisotropic superconductor. Fiz. Tverd. Tela 1979, 21, 3598–3600. [Google Scholar]
- Onari, S.; Kontani, H. Violation of Anderson’s Theorem for the Sign-Reversing s-Wave State of Iron-Pnictide Superconductors. Phys. Rev. Lett. 2009, 103, 177001. [Google Scholar] [CrossRef] [PubMed]
- Golubov, A.A.; Mazin, I.I. Effect of magnetic and nonmagnetic impurities on highly anisotropic superconductivity. Phys. Rev. B 1997, 55, 15146–15152. [Google Scholar] [CrossRef]
- Abrikosov, A.A.; Gor’kov, L.P. Contribution to the theory of superconducting alloys with paramagnetic impurities. Sov. Phys. JETP 1961, 12, 1243–1253. [Google Scholar]
- Karkin, A.E.; Werner, J.; Behr, G.; Goshchitskii, B.N. Neutron-irradiation effects in polycrystalline LaFeAsO0.9F0.1 superconductors. Phys. Rev. B 2009, 80, 174512. [Google Scholar] [CrossRef]
- Cheng, P.; Shen, B.; Hu, J.; Wen, H.H. Contrasting impurity scattering and pair-breaking effects by doping Mn and Zn in Ba0.5K0.5Fe2As2. Phys. Rev. B 2010, 81, 174529. [Google Scholar] [CrossRef]
- Li, Y.; Tong, J.; Tao, Q.; Feng, C.; Cao, G.; Chen, W.; Zhang, F.-c.; Xu, Z.-a. Effect of a Zn impurity on Tc and its implications for pairing symmetry in LaFeAsO1−xFx. New J. Phys. 2010, 12, 083008. [Google Scholar] [CrossRef]
- Nakajima, Y.; Taen, T.; Tsuchiya, Y.; Tamegai, T.; Kitamura, H.; Murakami, T. Suppression of the critical temperature of superconducting Ba(Fe1−xCox)2As2 by point defects from proton irradiation. Phys. Rev. B 2010, 82, 220504. [Google Scholar] [CrossRef]
- Prozorov, R.; Kończykowski, M.; Tanatar, M.A.; Thaler, A.; Bud’ko, S.L.; Canfield, P.C.; Mishra, V.; Hirschfeld, P.J. Effect of Electron Irradiation on Superconductivity in Single Crystals of Ba(Fe1−xRux)2As2 (x = 0.24). Phys. Rev. X 2014, 4, 041032. [Google Scholar] [CrossRef]
- Yao, Z.J.; Chen, W.Q.; Li, Y.k.; Cao, G.h.; Jiang, H.M.; Wang, Q.E.; Xu, Z.a.; Zhang, F.C. Zn-impurity effect and interplay of s± and s++ pairings in iron-based superconductors. Phys. Rev. B 2012, 86, 184515. [Google Scholar] [CrossRef]
- Chen, H.; Tai, Y.Y.; Ting, C.S.; Graf, M.J.; Dai, J.; Zhu, J.X. Disorder effects in multiorbital s±-wave superconductors: Implications for Zn-doped BaFe2As2 compounds. Phys. Rev. B 2013, 88, 184509. [Google Scholar] [CrossRef]
- Korshunov, M.M.; Efremov, D.V.; Golubov, A.A.; Dolgov, O.V. Unexpected impact of magnetic disorder on multiband superconductivity. Phys. Rev. B 2014, 90, 134517. [Google Scholar] [CrossRef]
- Shestakov, V.A.; Korshunov, M.M.; Togushova, Y.N.; Efremov, D.V.; Dolgov, O.V. Details of the disorder-induced transition between s± and s++ states in the two-band model for Fe-based superconductors. Supercond. Sci. Technol. 2018, 31, 034001. [Google Scholar] [CrossRef]
- Allen, P.B.; Mitrovic, B. Theory of Superconducting Tc. Solid State Phys. Adv. Res. Appl. 1982, 37, 1–92. [Google Scholar] [CrossRef]
- Hoyer, M.; Scheurer, M.S.; Syzranov, S.V.; Schmalian, J. Pair breaking due to orbital magnetism in iron-based superconductors. Phys. Rev. B 2015, 91, 054501. [Google Scholar] [CrossRef]
- Scheurer, M.S.; Hoyer, M.; Schmalian, J. Pair breaking in multiorbital superconductors: An application to oxide interfaces. Phys. Rev. B 2015, 92, 014518. [Google Scholar] [CrossRef]
- Pogorelov, Y.G.; Loktev, V.M. Conventional and unconvenstional impurity effects in superconductors (Review Article). Low Temp. Phys. 2018, 44, 1–28. [Google Scholar] [CrossRef]
- Parker, D.; Dolgov, O.V.; Korshunov, M.M.; Golubov, A.A.; Mazin, I.I. Extended s± scenario for the nuclear spin-lattice relaxation rate in superconducting pnictides. Phys. Rev. B 2008, 78, 134524. [Google Scholar] [CrossRef]
- Popovich, P.; Boris, A.V.; Dolgov, O.V.; Golubov, A.A.; Sun, D.L.; Lin, C.T.; Kremer, R.K.; Keimer, B. Specific Heat Measurements of Ba0.68K0.32Fe2As2 Single Crystals: Evidence for a Multiband Strong-Coupling Superconducting State. Phys. Rev. Lett. 2010, 105, 027003. [Google Scholar] [CrossRef] [PubMed]
- Charnukha, A.; Dolgov, O.V.; Golubov, A.A.; Matiks, Y.; Sun, D.L.; Lin, C.T.; Keimer, B.; Boris, A.V. Eliashberg approach to infrared anomalies induced by the superconducting state of Ba0.68K0.32Fe2As2 single crystals. Phys. Rev. B 2011, 84, 174511. [Google Scholar] [CrossRef]
- Mikhailovsky, A.A.; Shulga, S.V.; Karakozov, A.E.; Dolgov, O.V.; Maksimov, E.G. Thermal pair-breaking in superconductors with strong electron-phonon interaction. Solid State Commun. 1991, 80, 511–515. [Google Scholar] [CrossRef]








© 2018 by the authors. Licensee MDPI, Basel, Switzerland. This article is an open access article distributed under the terms and conditions of the Creative Commons Attribution (CC BY) license (http://creativecommons.org/licenses/by/4.0/).
Share and Cite
Shestakov, V.A.; Korshunov, M.M.; Dolgov, O.V. Temperature-Dependent s± ↔ s++ Transitions in the Multiband Model for Fe-Based Superconductors with Impurities. Symmetry 2018, 10, 323. https://doi.org/10.3390/sym10080323
Shestakov VA, Korshunov MM, Dolgov OV. Temperature-Dependent s± ↔ s++ Transitions in the Multiband Model for Fe-Based Superconductors with Impurities. Symmetry. 2018; 10(8):323. https://doi.org/10.3390/sym10080323
Chicago/Turabian StyleShestakov, V. A., M. M. Korshunov, and O. V. Dolgov. 2018. "Temperature-Dependent s± ↔ s++ Transitions in the Multiband Model for Fe-Based Superconductors with Impurities" Symmetry 10, no. 8: 323. https://doi.org/10.3390/sym10080323
APA StyleShestakov, V. A., Korshunov, M. M., & Dolgov, O. V. (2018). Temperature-Dependent s± ↔ s++ Transitions in the Multiband Model for Fe-Based Superconductors with Impurities. Symmetry, 10(8), 323. https://doi.org/10.3390/sym10080323

