How to Address the Data Quality Issues in Regression Models: A Guided Process for Data Cleaning
Abstract
:1. Introduction
2. Materials and Methods
2.1. Background
2.1.1. Regression Models
2.1.2. Data Quality
2.2. Related Works
3. Process for Data Cleaning in Regression Models
3.1. Mapping the Selected Data Sources
- From data mining and machine learning four relevant methodologies, we found: Knowledge Discovery in Databases (KDD) [6], Cross Industry Standard Process for Data Mining (CRISP-DM) [7], Sample, Explore, Modify, Model and Assess (SEMMA) [8] and The Data Science Process [43]. These methodologies mention data quality issues such as: missing values, outliers, duplicate instances and high dimensionality.
- In [44] we present a literature review for data quality issues in knowledge discovery tasks. We reviewed research papers from IEEE Xplore, Science Direct, Springer Link, and Google Scholar. Based on the literature analysis, it can be stated that three quality issues were found: missing values, outliers, and redundancy (refers to duplicate instances). Also, the noise was identified as a data quality issue (see Figure 1).
3.2. Understanding the Selected Data
- Missing values: refers when one variable or attribute does not contain any value. The missing values occur when the source of data has a problem, e.g., sensor faults, faulty measurements, data transfer problems or incomplete surveys [45].
- Redundancy: represents duplicate instances in data sets which might detrimentally affect the performance of classifiers [51].
3.3. Identifying and Filtering Components
- Redundancy were renamed as Duplicate instances to represent better the data quality issues in regression models.
- Noise is considered a general issue according it definition: “irrelevant or meaningless data”. Thus Missing values, Outliers, High dimensionality and Duplicate instances are considered as a kind of Noise.
3.4. Integrating Components
- Imputation: replaces missing data with substituted values. In the literature we found four relevant approaches to imputing missing values:
- –
- Deletion: excludes instances if any value is missing [54].
- –
- Hot deck: missing items are replaced by using values from the same dataset [55].
- –
- Imputation based on missing attribute: assigns a representative value to a missing one based on measures of central tendency (e.g., mean, median, mode, trimmed mean) [56].
- –
- Imputation based on non-missing attributes: missing attributes are treated as dependent variables, and a regression or classification model is performed to impute missing values [57].
- Dimensionality reduction: reduces the number of attributes finding useful features to represent the dataset [61]. A subset of features is selected for the learning process of the regression model [49]. The best subset of relevant features is the one with least number of dimensions that most contribute to learning accuracy [62]. Dimensionality reduction can take on four approaches:
- –
- Filter: selects features based on discriminating criteria that are relatively independent of the regression (e.g., correlation coefficients) [62].
- –
- Wrapper: based on the performance of regression models (e.g., error measures) are maintained or discarded features in each iteration [63].
- –
- Embedded: the features are selected when the regression model is trained. The embedded methods try to reduce the computation time of the wrapper methods [64].
- –
- Projection: looks for a projection of the original space to space with orthogonal dimensions (e.g., principal component analysis) [65].
- Remove duplicate instances: identifies and removes duplicate instances [66].
- Verify if dataset contains missing values: usually missing data are represented by special characters such as ?, *, blank spaces, specials words as NaN, null, etc. The first step is convert the missing values to format of the data cleaning algorithm.
- Apply imputation algorithms: once the format of missing values is prepared, an imputation algorithm is used. The added values must be verified because the imputation algorithm often creates outliers.
- Apply outliers detection algorithm: the outlier detection algorithm searches candidate outliers in the raw dataset or erroneous values generated by Imputation techniques.
- Apply algorithms to remove duplicate instances: these algorithms search for duplicate instances in both the raw dataset or those generated by imputation algorithms.
- Apply algorithm for dimensionality reduction: this kind of algorithms reduce the high dimensional in data sets by selecting a subset of most relevant features [67]. Different authors [68,69] assert that the feature selection methods have several advantages, such as: (i) improving the performance of the classifiers; (ii) better visualization and data understanding; and (iii) reducing time and computational cost
- Graphical User Interface (GUI) enables an user of DC-RM interact with the algorithms of data cleaning through graphical elements, such as text, windows, icons, buttons, text fields, etc. We developed two main forms in NetBeans IDE 8.2. The first form presents statistic information related with the dataset (number of attributes and instances,percentage of missing values and duplicate instances) and its attributes (mean, median, skewness, kurtosis, etc.) as show Figure 4. The second form (it appears when the button “Start cleaning” of the first form is pressed) presents the algorithms for each data cleaning task and the DC-RM process. In Figure 5 is depicted the second form when the chi–squared algorithm is applied in the dimensionality reduction phase.
- Java code establish a connection with R through Rserver, subsequently it invokes the data cleaning algorithms of the R packages, and finally, it sends the results of data cleaning algorithms to Graphical User Interface.
- Rserve acts as a socket server (TCP/IP or local sockets) which responds to requests from Java code. It listens for any incoming connections and processes incoming requests [70]. In other words, Rserve allows to embed R code within Java code.
- R is a system for statistical computation and graphics. It provides a programming language as dialect of S which was designed in the 1980s and has been in widespread use in the statistical community since [71]. R methods are based on packages, they are collections of functions and data sets developed by the community. We used R version 3.4.2 with missForest package [72] for imputation task, Rlof [73] and fpc [74] packages for outliers detection task, and Fselector [75] package for dimensionality reduction tasks. In case of remove duplicate instances, we used R function .
3.5. Validation
4. Experimental Results
4.1. Dataset Description
4.2. Evaluation Process
4.2.1. Imputation
- Global imputation based on non-missing attributes: the main idea is fill the missing values by regression models. Missing attributes are treated as dependent variables, and a regression is performed to impute missing values [57]. The random forest algorithm [77] was used to fill the missing values. This method builds a model for each variable. Then it uses the model to predict missing values in the variable with help of observed values.
4.2.2. Outliers Detection
- Local Outlier Factor (LOF): is an algorithm for identifying distance-based local outliers [58]. With LOF, the local density of a certain point is compared with its neighbors. If the former is significantly lower than the latter (with an LOF value greater than 1), the point can be in a sparser region than its neighbors, which suggests it be an outlier [79].
- Density-Based Spatial Clustering of Applications with Noise (DBSCAN): searches clusters with regions of high and low density [80]. DBSCAN chooses an arbitrary unassigned object p from the dataset. If p is a core object, DBSCAN finds all the connected objects and these objects are assigned to a new cluster. If p is not a core object, then p is considered outlier object and DBSCAN moves onto the next unassigned object. Once every object is assigned, the algorithm stops [81].
4.2.3. Remove Duplicate Instances
4.2.4. Dimensionality Reduction
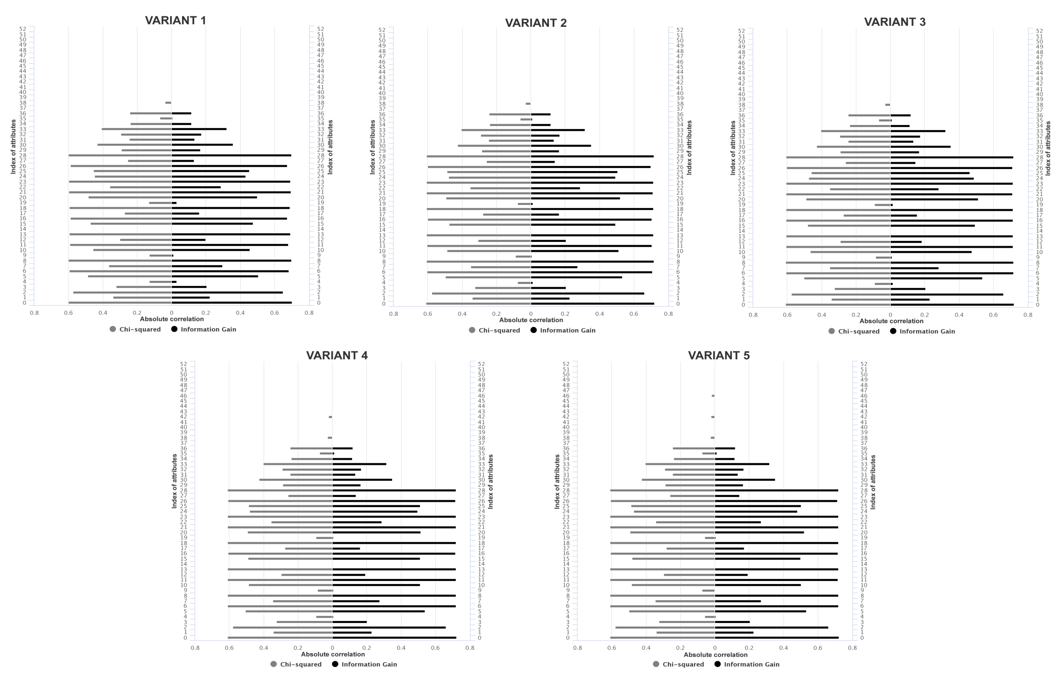
- Chi-Squared: is defined as sum of the squares of the differences of the independent and dependent variable divided by the dependent variable for every value [85]:where I is the independent variable, D is the dependent variable and i is the ith value of the dataset.
- Information Gain: measures the expected reduction in entropy (uncertainty associated with a random feature) [86,87]. Given the set of training examples, the vector of ith variables in this set, the fraction of examples of the ith variable having value v [88]:with entropy:is the probability of a training example in the set S to be close to the value of the class.
4.3. Results
- Multi Layer Perceptron (MLP): this neural network was designed with two hidden layers; the first hidden layer contains 20 neurons while the second hidden layer 4 neurons. The learning rate is adjusted to 0.1 and momentum to 0.01.
- Radial Basis Function Network (RBF): the number of clusters was modified to 90.
- In the models REP and M5P Tree were used the default parameters.
4.4. Comparative Study
5. Conclusions and Future Works
- DC-RM provides support to methodologies from data mining and machine learning. For instance, in Knowledge Discovery in Databases, DC-RM can support the Preprocessing and Data Cleaning, Data Reduction, and Projecton phases. In Cross Industry Standard Process for Data Mining, DC-RM gives support to Verify Data Quality and Clean Data steps. (especially: Sample, Explore, Modify, Model and Assess in Modify phase); and, in Data Science Process into the Clean Data phase. Finally, we would like to emphasize that none of the methodologies discussed above explain in detail how to address the data quality issues in regression models.
- The DC-RM approach reduces the time and effort invested by the user in pre-processing phase, since it detects the data quality issues and advises about the suitable approach and the execution order for data cleaning tasks.
- The dimensionality reduction is an important task that must be applied in large feature space. Considering the high data dimensionality of the dataset proposed by [76], the filter methods were used in DC-RM (due their fast and low computational cost). However, several authors declare that other methods with high computational cost such as wrapper and embedded methods can obtain better results [49,64,95,96,97].
- Building other processes for data cleaning in knowledge discovery tasks as classification and clustering.
- Including ontologies of specific domains to support some data quality issues; e.g, selection of relevant attributes based on expert knowledge. In the cancer domain, the ontology developed by [98] can be used for selecting the relevant attributes and avoid the use of algorithms with high computational complexity in dimensionality reduction tasks.
- Creating a case based reasoning (CBR) system for supporting the data cleaning process. The CBR will automatically recommend the suitable data cleaning algorithm (e.g., in outliers detection, the CBR suggests the local outlier factor algorithm to the user).
Acknowledgments
Author Contributions
Conflicts of Interest
Abbreviations
| DC-RM | Data Cleaning in Regression Models |
References
- Gantz, J.; Reinsel, D. The Digital Universe in 2020: Big Data, Bigger Digital Shadows, and Biggest Growth in the Far East; IDC: Framingham, MA, USA, 2012; pp. 1–16. [Google Scholar]
- Hu, H.; Wen, Y.; Chua, T.S.; Li, X. Toward Scalable Systems for Big Data Analytics: A Technology Tutorial. IEEE Access 2014, 2, 652–687. [Google Scholar]
- Marr, B. Big Data: 20 Mind-Boggling Facts Everyone Must Read. 2015. Available online: https://www.forbes.com/sites/bernardmarr/2015/09/30/big-data-20-mindbogglingfacts-everyone-must-read/ (accessed on 30 September 2015).
- Maimon, O.; Rokach, L. Introduction to Knowledge Discovery in Databases. In Data Mining and Knowledge Discovery Handbook; Maimon, O., Rokach, L., Eds.; Springer: Boston, MA, USA, 2005; pp. 1–17. [Google Scholar]
- Eyob, E. Social Implications of Data Mining and Information Privacy: Interdisciplinary Frameworks and Solutions: Interdisciplinary Frameworks and Solutions; Information Science Reference: Hershey, PA, USA, 2009. [Google Scholar]
- Piateski, G.; Frawley, W. Knowledge Discovery in Databases; MIT Press: Cambridge, MA, USA, 1991. [Google Scholar]
- Chapman, P. CRISP-DM 1.0: Step-by-Step Data Mining Guide; SPSS: Chicago, IL, USA, 2000. [Google Scholar]
- Olson, D.L.; Delen, D. Advanced Data Mining Techniques; Springer Science & Business Media: Berlin/Heidelberg, Germany, 2008. [Google Scholar]
- Corrales, D.C.; Ledezma, A.; Corrales, J.C. A Conceptual Framework for Data Quality in Knowledge Discovery Tasks (FDQ-KDT): A Proposal. J. Comput. 2015, 10, 396–405. [Google Scholar] [CrossRef]
- Asuncion, A.; Newman, D. UCI Machine Learning Repository; University of California, School of Information and Computer Science: Irvine, CA, USA, 2007; Available online: http://www.ics.uci.edu/~{}mlearn/MLRepository.html (accessed on 1 March 2018).
- Sen, A.; Srivastava, M. Regression Analysis: Theory, Methods, and Applications; Springer Science & Business Media: New York, NY, USA, 2012. [Google Scholar]
- Yang, L.; Liu, S.; Tsoka, S.; Papageorgiou, L.G. A regression tree approach using mathematical programming. Expert Syst. Appl. 2017, 78, 347–357. [Google Scholar] [CrossRef]
- Hill, T.; Marquez, L.; O’Connor, M.; Remus, W. Artificial neural network models for forecasting and decision making. Int. J. Forecast. 1994, 10, 5–15. [Google Scholar] [CrossRef]
- Chen, S.; Cowan, C.F.N.; Grant, P.M. Orthogonal least squares learning algorithm for radial basis function networks. IEEE Trans. Neural Netw. 1991, 2, 302–309. [Google Scholar] [CrossRef] [PubMed]
- Quinlan, J.R. Learning With Continuous Classes; World Scientific: Singapore, 1992; pp. 343–348. [Google Scholar]
- Maydanchik, A. Data Quality Assessment; Technics Publications LLC: Madison, WI, USA, 2007. [Google Scholar]
- Morbey, G. Data Quality for Decision Makers: A Dialog between a Board Member and a DQ Expert; Bücher, Springer Fachmedien: Wiesbaden, Germany, 2013. [Google Scholar]
- Klein, B.D.; Rossin, D.F. Data Quality in Linear Regression Models: Effect of Errors in Test Data and Errors in Training Data on Predictive Accuracy. Inf. Sci. 1999, 2, 33–43. [Google Scholar] [CrossRef]
- Taleb, I.; Dssouli, R.; Serhani, M.A. Big Data Pre-processing: A Quality Framework. In Proceedings of the 2015 IEEE International Congress on Big Data, New York, NY, USA, 27 June–2 July 2015; pp. 191–198. [Google Scholar]
- Merino, J.; Caballero, I.; Rivas, B.; Serrano, M.; Piattini, M. A Data Quality in Use model for Big Data. Future Gener. Comput. Syst. 2016, 63, 123–130. [Google Scholar] [CrossRef]
- Chiang, F.; Sitaramachandran, S. A Data Quality Framework for Customer Relationship Analytics. In Proceedings of the 2015 16th International Conference on Web Information Systems Engineering (WISE), Miami, FL, USA, 1–3 November 2015; Wang, J., Cellary, W., Wang, D., Wang, H., Chen, S.C., Li, T., Zhang, Y., Eds.; Part II. Springer International Publishing: Cham, Switzerland, 2015; pp. 366–378. [Google Scholar]
- Berti-Équille, L. Measuring and Modelling Data Quality for Quality-Awareness in Data Mining. In Quality Measures in Data Mining; Guillet, F.J., Hamilton, H.J., Eds.; Springer: Berlin/Heidelberg, Germany, 2007; pp. 101–126. [Google Scholar]
- Galhard, H.; Florescu, D.; Shasha, D.; Simon, E. An extensible Framework for Data Cleaning. In Proceedings of the 2000 16th International Conference on Data Engineering, Washington, DC, USA, 28 February–3 March 2000; p. 312. [Google Scholar]
- De F. Mendes Sampaio, S.; Dong, C.; Sampaio, P. DQ2S? A framework for data quality-aware information management. Expert Syst. Appl. 2015, 42, 8304–8326. [Google Scholar] [CrossRef]
- Li, W.; Lei, L. An Object-Oriented Framework for Data Quality Management of Enterprise Data Warehouse. In Proceedings of the PRICAI 2006 Trends in Artificial Intelligence 9th Pacific Rim International Conference on Artificial Intelligence, Guilin, China, 7–11 August 2006; Yang, Q., Webb, G., Eds.; Springer: Berlin/Heidelberg, Germany, 2006; pp. 1125–1129. [Google Scholar]
- Sebastian-Coleman, L. Measuring Data Quality for Ongoing Improvement: A Data Quality Assessment Framework; Newnes: Waltham, MA, USA, 2012. [Google Scholar]
- Myrseth, P.; Stang, J.; Dalberg, V. A data quality framework applied to e-government metadata: A prerequsite to establish governance of interoperable e-services. In Proceedings of the 2011 International Conference on E-Business and E-Government (ICEE), Shanghai, China, 6–8 May 2011; pp. 1–4. [Google Scholar]
- Vetro, A.; Canova, L.; Torchiano, M.; Minotas, C.O.; Iemma, R.; Morando, F. Open data quality measurement framework: Definition and application to Open Government Data. Gov. Inf. Q. 2016, 33, 325–337. [Google Scholar] [CrossRef]
- Panahy, P.H.S.; Sidi, F.; Affendey, L.S.; Jabar, M.A.; Ibrahim, H.; Mustapha, A. A Framework to Construct Data Quality Dimensions Relationships. Indian J. Sci. Technol. 2013, 6, 4421–4431. [Google Scholar]
- Wang, R.Y.; Storey, V.C.; Firth, C.P. A framework for analysis of data quality research. IEEE Trans. Knowl. Data Eng. 1995, 7, 623–640. [Google Scholar] [CrossRef]
- Weiskopf, N.G.; Weng, C. Methods and dimensions of electronic health record data quality assessment: enabling reuse for clinical research. J. Am. Med. Inform. Assoc. 2013, 20, 144–151. [Google Scholar] [CrossRef] [PubMed]
- Reimer, A.P.; Milinovich, A.; Madigan, E.A. Data quality assessment framework to assess electronic medical record data for use in research. Int. J. Med. Inform. 2016, 90, 40–47. [Google Scholar] [CrossRef] [PubMed]
- Almutiry, O.; Wills, G.; Alwabel, A. Toward a framework for data quality in cloud-based health information system. In Proceedings of the 2013 International Conference on Information Society (i-Society), Toronto, ON, Canada, 24–26 June 2013; pp. 153–157. [Google Scholar]
- Arts, D.G.; De Keizer, N.F.; Scheffer, G.J. Defining and improving data quality in medical registries: A literature review, case study, and generic framework. J. Am. Med. Inform. Assoc. 2002, 9, 600–611. [Google Scholar] [CrossRef] [PubMed]
- Taggart, J.; Liaw, S.T.; Yu, H. Structured data quality reports to improve EHR data quality. Int. J. Med. Inform. 2015, 84, 1094–1098. [Google Scholar] [CrossRef] [PubMed]
- Botsis, T.; Hartvigsen, G.; Chen, F.; Weng, C. Secondary use of EHR: Data quality issues and informatics opportunities. Summit Transl. Bioinform. 2010, 2010, 1–5. [Google Scholar]
- Kahn, M.G.; Raebel, M.A.; Glanz, J.M.; Riedlinger, K.; Steiner, J.F. A pragmatic framework for single-site and multisite data quality assessment in electronic health record-based clinical research. Med. Care 2012, 50, S21–S29. [Google Scholar] [CrossRef] [PubMed]
- Ryzhov, A.; Bray, F.; Ferlay, J.; Fedorenko, Z.; Goulak, L.; Gorokh, Y.; Soumkina, O.; Znaor, A. Evaluation of data quality at the National Cancer Registry of Ukraine. Cancer Epidemiol. 2018, 53, 156–165. [Google Scholar] [CrossRef] [PubMed]
- Rasta, K.; Nguyen, T.H.; Prinz, A. A framework for data quality handling in enterprise service bus. In Proceedings of the 2013 Third International Conference on Innovative Computing Technology (INTECH), London, UK, 29–31 August 2013; pp. 491–497. [Google Scholar]
- Ringler, A.; Hagerty, M.; Holland, J.; Gonzales, A.; Gee, L.; Edwards, J.; Wilson, D.; Baker, A. The data quality analyzer: A quality control program for seismic data. Comput. Geosci. 2015, 76, 96–111. [Google Scholar] [CrossRef]
- Chen, W.; Zhou, K.; Yang, S.; Wu, C. Data quality of electricity consumption data in a smart grid environment. Renew. Sustain. Energy Rev. 2017, 75, 98–105. [Google Scholar] [CrossRef]
- Jabareen, Y. Building a conceptual framework: philosophy, definitions, and procedure. Int. J. Qual. Methods 2009, 8, 49–62. [Google Scholar] [CrossRef]
- Schutt, R.; O’Neil, C. Doing Data Science: Straight Talk from the Frontline; O’Reilly Media, Inc.: Sevan Fort, CA, USA, 2013. [Google Scholar]
- Corrales, D.; Ledezma, A.; Corrales, J. A Systematic Review of Data Quality Issues in Knowledge Discovery Tasks; Revista Ingenierias Universidad de Medellin: Medellin, Colombia, 2016; Volume 15. [Google Scholar]
- Aydilek, I.B.; Arslan, A. A hybrid method for imputation of missing values using optimized fuzzy c-means with support vector regression and a genetic algorithm. Inf. Sci. 2013, 233, 25–35. [Google Scholar] [CrossRef]
- Hawkins, D.M. Identification of Outliers; Springer: London, UK, 1980; Volume 11. [Google Scholar]
- Barnett, V.; Lewis, T. Outliers in Statistical Data; Wiley: New York, NY, USA, 1994; Volume 3. [Google Scholar]
- Johnson, R.A.; Wichern, D.W. Applied Multivariate Statistical Analysis; Prentice-Hall: Upper Saddle River, NJ, USA, 2014; Volume 4. [Google Scholar]
- Khalid, S.; Khalil, T.; Nasreen, S. A survey of feature selection and feature extraction techniques in machine learning. In Proceedings of the Science and Information Conference (SAI), London, UK, 27–29 August 2014; pp. 372–378. [Google Scholar]
- Tang, J.; Alelyani, S.; Liu, H. Feature selection for classification: A review. In Data Classification: Algorithms and Applications; CRC Press: Boca Raton, FL, USA, 2014; p. 37. [Google Scholar]
- Bosu, M.F.; MacDonell, S.G. A Taxonomy of Data Quality Challenges in Empirical Software Engineering. In Proceedings of the 2013 22nd Australian Software Engineering Conference, Melbourne, Australia, 4–7 June 2013; pp. 97–106. [Google Scholar]
- Xiong, H.; Pandey, G.; Steinbach, M.; Kumar, V. Enhancing data analysis with noise removal. IEEE Trans. Knowl. Data Eng. 2006, 18, 304–319. [Google Scholar] [CrossRef]
- Chandola, V.; Banerjee, A.; Kumar, V. Anomaly Detection: A Survey. ACM Comput. Surv. 2009, 41, 15:1–15:58. [Google Scholar] [CrossRef]
- Aljuaid, T.; Sasi, S. Proper imputation techniques for missing values in data sets. In Proceedings of the 2016 International Conference on Data Science and Engineering (ICDSE), Cochin, India, 23–25 August 2016; pp. 1–5. [Google Scholar]
- Strike, K.; Emam, K.E.; Madhavji, N. Software cost estimation with incomplete data. IEEE Trans. Softw. Eng. 2001, 27, 890–908. [Google Scholar] [CrossRef]
- Grzymala-Busse, J.W.; Hu, M. A Comparison of Several Approaches to Missing Attribute Values in Data Mining; Ziarko, W., Yao, Y., Eds.; Rough Sets and Current Trends in Computing; Springer: Berlin/Heidelberg, Germany, 2001; pp. 378–385. [Google Scholar]
- Magnani, M. Techniques for Dealing With Missing Data in Knowledge Discovery Tasks. Available online: https://www.researchgate.net/profile/Matteo_Magnani/publication/228748415_Techniques_for_dealing_with_missing_data_in_knowledge_discovery_tasks/links/00b49521f12e9afa98000000.pdf (accessed on 1 March 2018).
- Breunig, M.M.; Kriegel, H.P.; Ng, R.T.; Sander, J. LOF: Identifying density-based local outliers. In Proceedings of the ACM Sigmod Record, Dallas, TX, USA, 15–18 May 2000; Volume 29, pp. 93–104. [Google Scholar]
- Ester, M.; Kriegel, H.P.; Sander, J.; Xu, X. A density-based algorithm for discovering clusters in large spatial databases with noise. In KDD-96 Proceedings; AAAI Press: Menlo Park, CA, USA, 1996; pp. 226–231. [Google Scholar]
- Kriegel, H.P.; Zimek, A.; Hubert, M.S. Angle-based outlier detection in high-dimensional data. In Proceedings of the 14th ACM SIGKDD International Conference On Knowledge Discovery and Data Mining, Las Vegas, NV, USA, 24–27 August 2008; pp. 444–452. [Google Scholar]
- Fayyad, U.M.; Piatetsky-Shapiro, G.; Smyth, P. Advances in Knowledge Discovery and Data Mining; Chapter from Data Mining to Knowledge Discovery: An Overview; American Association for Artificial Intelligence: Menlo Park, CA, USA, 1996; pp. 1–34. [Google Scholar]
- Ladha, L.; Deepa, T. Feature Selection Methods And Algorithms. Int. J. Comput. Sci. Eng. 2011, 3, 1787–1797. [Google Scholar]
- Chandrashekar, G.; Sahin, F. A survey on feature selection methods. Comput. Electr. Eng. 2014, 40, 16–28. [Google Scholar] [CrossRef]
- Blum, A.L.; Langley, P. Selection of relevant features and examples in machine learning. Artif. Intell. 1997, 97, 245–271. [Google Scholar] [CrossRef]
- Jolliffe, I. Principal Component Analysis; Wiley Online Library: New York, NY, USA, 2002. [Google Scholar]
- Huang, L.; Jin, H.; Yuan, P.; Chu, F. Duplicate Records Cleansing with Length Filtering and Dynamic Weighting. In Proceedings of the 2008 Fourth International Conference on Semantics, Knowledge and Grid, Beijing, China, 3–5 December 2008; pp. 95–102. [Google Scholar]
- John, G.H.; Kohavi, R.; Pfleger, K. Irrelevant Features and the Subset Selection Problem. In Proceedings of the Eleventh International Machine Learning, Morgan Kaufmann, New Brunswick, NJ, USA, 10–13 July 1994; pp. 121–129. [Google Scholar]
- Guyon, I.; Gunn, S.; Nikravesh, M.; Zadeh, L.A. Feature Extraction: Foundations and Applications (Studies in Fuzziness and Soft Computing); Springer: New York, NY, USA, 2008. [Google Scholar]
- Sánchez-Maroño, N.; Alonso-Betanzos, A.; Tombilla-Sanromán, M. Filter Methods for Feature Selection—A Comparative Study. In Intelligent Data Engineering and Automated Learning—IDEAL 2007 8th International Conference, Birmingham, UK, 16–19 December 2007; Yin, H., Tino, P., Corchado, E., Byrne, W., Yao, X., Eds.; Springer: Berlin/Heidelberg, Germany, 2007; pp. 178–187. [Google Scholar]
- Urbanek, S. Package ‘Rserve’ Manual. 2012. Available online: https://cran.r-project.org/web/packages/Rserve/Rserve.pdf (accessed on 1 March 2018).
- Team, R.C. R: A Language and Environment for Statistical Computing. Available online: http://citeseerx.ist.psu.edu/viewdoc/download?doi=10.1.1.470.5851&rep=rep1&type=pdf (accessed on 1 March 2018).
- Stekhoven, D. Package ‘missForest’ Manual. 2016. Available online: https://cran.r-project.org/web/packages/missForest/missForest.pdf (accessed on 1 March 2018).
- Hu, Y.; Murray, W.; Shan, Y. Package ‘Rlof’ Manual. 2015. Available online: https://cran.r-project.org/web/packages/Rlof/Rlof.pdf (accessed on 1 March 2018).
- Hennig, C. Package ‘fpc’ Manual. 2018. Available online: https://cran.r-project.org/web/packages/fpc/fpc.pdf (accessed on 1 March 2018).
- Romanski, P.; Kotthoff, L. Package ‘FSelector’ Manual. 2016. Available online: https://cran.r-project.org/web/packages/FSelector/FSelector.pdf (accessed on 1 March 2018).
- Singh, K.; Kaur, R.; Kumar, D. Comment Volume Prediction Using Neural Networks and Decision Trees. In Proceedings of the 2015 17th UKSIM’15 UKSIM-AMSS International Conference on Modelling and Simulation, IEEE Computer Society, Washington, DC, USA, 25–27 March 2015; pp. 15–20. [Google Scholar]
- Ho, T.K. Random decision forests. In Proceedings of the IEEE Third International Conference on Document Analysis and Recognition, Montreal, QC, Canada, 14–16 August 1995; Volume 1, pp. 278–282. [Google Scholar]
- Faubel, F.; McDonough, J.; Klakow, D. Bounded conditional mean imputation with Gaussian mixture models: A reconstruction approach to partly occluded features. In Proceedings of the ICASSP 2009 IEEE International Conference on Acoustics, Speech and Signal Processing, Taipei, Taiwan, 19–24 April 2009; pp. 3869–3872. [Google Scholar]
- Zhao, Y. R and Data Mining: Examples and Case Studies; Academic Press: San Diego, CA, USA, 2012. [Google Scholar]
- Castillo, E.F.; Gonzales, W.F.; Corrales, D.C.; Lopez, I.D.; Hoyos, M.G.; Figueroa, A.; Corrales, J.C. Water quality warnings based on cluster analysis in Colombian river basins. Sist. Telemat. 2015, 13, 9–26. [Google Scholar] [CrossRef]
- Erman, J.; Arlitt, M.; Mahanti, A. Traffic Classification Using Clustering Algorithms. In Proceedings of the 2006 MineNet’06 SIGCOMM Workshop on Mining Network Data, Pisa, Italy, 11–15 September 2006; ACM: New York, NY, USA, 2006; pp. 281–286. [Google Scholar]
- Bitton, D.; DeWitt, D.J. Duplicate Record Elimination in Large Data Files. ACM Trans. Database Syst. 1983, 8, 255–265. [Google Scholar] [CrossRef]
- Corrales, D.C.; Lasso, E.; Ledezma, A.; Corrales, J.C. Feature selection for classification tasks: Expert knowledge or traditional methods? J. Intell. Fuzzy Syst. 2018. [Google Scholar]
- Kuhn, M. Caret package. J. Stat. Softw. 2008, 28, 1–26. [Google Scholar]
- Plackett, R.L. Karl Pearson and the chi-squared test. Int. Stat. Rev./Rev. Int. Stat. 1983, 51, 59–72. [Google Scholar] [CrossRef]
- Kent, J.T. Information gain and a general measure of correlation. Biometrika 1983, 70, 163–173. [Google Scholar] [CrossRef]
- Mitchell, T.M. Machine Learning; McGraw Hill: Burr Ridge, IL, USA, 1997; Volume 45, pp. 870–877. [Google Scholar]
- Roobaert, D.; Karakoulas, G.; Chawla, N.V. Information gain, correlation and support vector machines. Stud. Fuzziness Soft Comput. 2006, 207, 463–470. [Google Scholar]
- Coraddu, A.; Oneto, L.; Ghio, A.; Savio, S.; Anguita, D.; Figari, M. Machine learning approaches for improving condition-based maintenance of naval propulsion plants. Proc. Inst. Mech. Eng. Part M 2016, 230, 136–153. [Google Scholar] [CrossRef]
- Fanaee-T, H.; Gama, J. Event labeling combining ensemble detectors and background knowledge. Prog. Artif. Intell. 2014, 2, 113–127. [Google Scholar] [CrossRef]
- Candanedo, L.M.; Feldheim, V.; Deramaix, D. Data driven prediction models of energy use of appliances in a low-energy house. Energy Build. 2017, 140, 81–97. [Google Scholar] [CrossRef]
- Moro, S.; Rita, P.; Vala, B. Predicting social media performance metrics and evaluation of the impact on brand building: A data mining approach. J. Bus. Res. 2016, 69, 3341–3351. [Google Scholar] [CrossRef]
- Buza, K. Feedback Prediction for Blogs. In Data Analysis, Machine Learning and Knowledge Discovery; Spiliopoulou, M., Schmidt-Thieme, L., Janning, R., Eds.; Springer International Publishing: Cham, Switzerland, 2014; pp. 145–152. [Google Scholar]
- Zamora-Martinez, F.; Romeu, P.; Botella-Rocamora, P.; Pardo, J. On-line learning of indoor temperature forecasting models towards energy efficiency. Energy Build. 2014, 83, 162–172. [Google Scholar] [CrossRef]
- Langley, P.; Blum, A.L. Selection of relevant features in machine learning. Proc. AAAI Fall Symp. Relev. 1994, 184, 245–271. [Google Scholar]
- Guyon, I.; Elisseeff, A. An introduction to variable and feature selection. Introd. Var. Feature Sel. 2003, 3, 1157–1182. [Google Scholar]
- Saeys, Y.; Inza, I.; Larrañaga, P. A review of feature selection techniques in bioinformatics. Bioinformatics 2007, 23, 2507–2517. [Google Scholar] [CrossRef] [PubMed]
- Da Silva Jacinto, A.; da Silva Santos, R.; de Oliveira, J.M.P. Automatic and semantic pre-Selection of features using ontology for data mining on data sets related to cancer. In Proceedings of the International Conference on Information Society (i-Society 2014), London, UK, 10–12 November 2014; pp. 282–287. [Google Scholar]









| Works | Domain | Data Quality Issues |
|---|---|---|
| [16,21,22,23,24,25,26] | Databases | Integrity constraints, validation of overloaded table, duplicate records, inconsistencies, missing values, data freshness. |
| [9,27,28,29,30] | Conceptual | Incomplete data, out-of-date data, lack of meta-data, high time to understand data |
| [31,32,33,34,35,36,37,38] | Health systems | Data heterogeneity, illegible handwriting, missing values, duplication of patient records, inconsistency, unsuitable data format, timeliness, inaccuracy. |
| [39,40,41] | Wind energy, seismic waves, electricity consumption | Data heterogeneity, missing values, out-of-date data, noise, outliers, inconsistency |
| [19,20] | Big data | Missing values, timeliness, contextual adequacy, operational adequacy, temporal adequacy |
| Noise Issue | Data Cleaning Task |
|---|---|
| Missing values | Imputation |
| Outliers | Outlier detection |
| High dimensionality | Dimensionality reduction |
| Duplicate instances | Remove duplicate instances |
| Data Training | Instances |
|---|---|
| Variant 1 | 40.949 |
| Variant 2 | 81.312 |
| Variant 3 | 121.098 |
| Variant 4 | 160.424 |
| Variant 5 | 199.030 |
| Dataset | Attribute Index | Random Forest | Mean Imputation |
|---|---|---|---|
| Variant 1 | 6 | 0.011 | 97.749 |
| 26 | 0.001 | 1.752 | |
| 44 | 0.017 | 0.237 | |
| Variant 2 | 15 | 0.009 | 287.652 |
| 31 | 1.214 | 18.624 | |
| 8 | 5.86 × 10 | 35.803 | |
| Variant 3 | 22 | 0 | 26.665 |
| 48 | 0.004 | 0.203 | |
| 3 | 0.003 | 6.546 | |
| Variant 4 | 13 | 3.6 × 10 | 126.782 |
| 49 | 0.010 | 0.233 | |
| 17 | 2.47 × 10 | 4.896 | |
| Variant 5 | 12 | 3.09 × 10 | 7.172 |
| 29 | 0.135 | 54.445 | |
| 52 | 0.006 | 0.223 |
| Data Training | LOF | DBSCAN |
|---|---|---|
| Variant 1 | 7 | 134 |
| Variant 2 | 2 | 113 |
| Variant 3 | 6 | 97 |
| Variant 4 | 11 | 179 |
| Variant 5 | 13 | 219 |
| Data Training | Duplicate Instances |
|---|---|
| Variant 1 | 8 |
| Variant 2 | 21 |
| Variant 3 | 59 |
| Variant 4 | 88 |
| Variant 5 | 136 |
| Approach | Model | Var 1 | Var 2 | Var 3 | Var 4 | Var 5 |
|---|---|---|---|---|---|---|
| DC-RM | MLP | 34.55 | 31.31 | 35.19 | 38.59 | 55.17 |
| RBF | 31.09 | 31.85 | 30.12 | 29.81 | 29.69 | |
| REP | 29.28 | 30.22 | 28.41 | 27.89 | 29.33 | |
| M5P | 35.53 | 30.32 | 32.68 | 50.77 | 32.59 | |
| Overall | 32.61 | 30.92 | 31.60 | 36.76 | 34.19 | |
| [76] | MLP | 38.24 | 40.72 | 36.40 | 51.49 | 44.93 |
| RBF | 31.38 | 30.08 | 30.22 | 32.67 | 31.37 | |
| REP | 27 | 28.67 | 27.92 | 27.47 | 27.72 | |
| M5P | 30.15 | 36.90 | 32.33 | 35.69 | 116.98 | |
| Overall | 31.69 | 34.09 | 31.71 | 41.33 | 55.25 |
| Dataset | Ref. | Approach | Model | MAE |
|---|---|---|---|---|
| Compressor decay | [89] | DC-RM | SVR | 0.005 |
| Authors | SVR | 0.17 | ||
| Turbine decay | [89] | DC-RM | SVR | 0.003 |
| Authors | SVR | 0.001 | ||
| Rental Bikes Hourly | [90] | DC-RM | LR | 1 × 10 |
| Authors | LR | 0.017 | ||
| Rental Bikes Daily | [90] | DC-RM | LR | 5 × 10 |
| Authors | LR | 0.031 | ||
| Energy use of appliances | [91] | DC-RM | RF | 12.03 |
| Authors | RF | 11.97 | ||
| Posts in Facebook pages | [92] | DC-RM | SVR | 25.26 |
| Authors | SVR | 26.9 | ||
| Feedback Blogs Prediction | [93] | DC-RM | M5P | 5.70 |
| Authors | M5P | 6.06 | ||
| I-Room temperature | [94] | DC-RM | MLP | 0.47 |
| Authors | MLP | 1.13 | ||
| II-Room temperature | [94] | DC-RM | MLP | 0.34 |
| Authors | MLP | 0.88 | ||
| I-Dinning room temperature | [94] | DC-RM | MLP | 0.43 |
| Authors | MLP | 0.89 | ||
| II-Dinning room temperature | [94] | DC-RM | MLP | 0.32 |
| Authors | MLP | 0.78 |
© 2018 by the authors. Licensee MDPI, Basel, Switzerland. This article is an open access article distributed under the terms and conditions of the Creative Commons Attribution (CC BY) license (http://creativecommons.org/licenses/by/4.0/).
Share and Cite
Corrales, D.C.; Corrales, J.C.; Ledezma, A. How to Address the Data Quality Issues in Regression Models: A Guided Process for Data Cleaning. Symmetry 2018, 10, 99. https://doi.org/10.3390/sym10040099
Corrales DC, Corrales JC, Ledezma A. How to Address the Data Quality Issues in Regression Models: A Guided Process for Data Cleaning. Symmetry. 2018; 10(4):99. https://doi.org/10.3390/sym10040099
Chicago/Turabian StyleCorrales, David Camilo, Juan Carlos Corrales, and Agapito Ledezma. 2018. "How to Address the Data Quality Issues in Regression Models: A Guided Process for Data Cleaning" Symmetry 10, no. 4: 99. https://doi.org/10.3390/sym10040099
APA StyleCorrales, D. C., Corrales, J. C., & Ledezma, A. (2018). How to Address the Data Quality Issues in Regression Models: A Guided Process for Data Cleaning. Symmetry, 10(4), 99. https://doi.org/10.3390/sym10040099

