Next Article in Journal
Design of a New Variable Shewhart Control Chart Using Multiple Dependent State Repetitive Sampling
Next Article in Special Issue
Neutrosophic Computability and Enumeration
Previous Article in Journal
The Augmented Approach towards Equilibrated Nexus Era into the Wireless Rechargeable Sensor Network
Previous Article in Special Issue
Generalized Q-Neutrosophic Soft Expert Set for Decision under Uncertainty
 
 
Font Type:
Arial Georgia Verdana
Font Size:
Aa Aa Aa
Line Spacing:
Column Width:
Background:
Article

Simplified Neutrosophic Sets Based on Interval Dependent Degree for Multi-Criteria Group Decision-Making Problems

1
Department of Computer and Data Engineering, Zhejiang University Ningbo Institute of Technology, Ningbo 315000, China
2
Research Institute of Extenics and Innovation Methods, Guangdong University of Technology, Guangzhou 510000, China
*
Author to whom correspondence should be addressed.
Symmetry 2018, 10(11), 640; https://doi.org/10.3390/sym10110640
Submission received: 23 October 2018 / Revised: 8 November 2018 / Accepted: 12 November 2018 / Published: 15 November 2018

Abstract

:
In this paper, a new approach and framework based on the interval dependent degree for multi-criteria group decision-making (MCGDM) problems with simplified neutrosophic sets (SNSs) is proposed. Firstly, the simplified dependent function and distribution function are defined. Then, they are integrated into the interval dependent function which contains interval computing and distribution information of the intervals. Subsequently, the interval transformation operator is defined to convert simplified neutrosophic numbers (SNNs) into intervals, and then the interval dependent function for SNNs is deduced. Finally, an example is provided to verify the feasibility and effectiveness of the proposed method, together with its comparative analysis. In addition, uncertainty analysis, which can reflect the dynamic change of the final result caused by changes in the decision makers’ preferences, is performed in different distribution function situations. That increases the reliability and accuracy of the result.

1. Introduction

In multi-criteria decision making (MCDM) problems, because of the increasing complexity of the socioeconomic situation and the inherent knowledge restrictions of people, the characteristics of many things in the world exhibit fuzzy and uncertain features which are difficult to describe by exact numerical values [1]. Fuzzy sets (FSs) [2,3,4], which were proposed by Zadeh in 1965, are regarded as an effective way to describe fuzzy information and are widely applied to many decision making problems [5]. However, it is hard to describe the degree of non-membership and this is insufficient in some cases. For this reason, Atanassov introduced intuitionistic fuzzy sets (IFSs) [6,7,8] which are an extension of FSs. Vague sets are also defined in Reference [9], which are pointed out as being mathematically equivalent to Atanassov’s IFSs by Bustince [10]. In recent years, IFSs have been widely used in solving MCDM problems [11,12,13,14,15]. IFSs have also been extended to some other forms and expressions such as interval intuitionistic fuzzy sets [16,17,18,19] and interval intuitionistic hesitant fuzzy sets [20,21], etc.
However, for its fixed scope definition, FSs or IFSs theory has been restricted to some uncertainty cases in real problems, especially when the information is incomplete and inconsistent [22]. For example [23], when an expert is asked to evaluate a certain statement, he or she may say that the possibility of true is 0.5, that of false is 0.6, and the degree of not sure is 0.2. The sum of possibility exceeds the scope of FSs and IFSs, and cannot be solved by them.
For this reason, Smarandache initially developed neutrosophic logic and neutrosophic sets (NSs) theory [24,25,26], which provides a tool to define the possibility and neutrality degree between the affirmative and the negative in most practical situations [27]. An NS is a set in which each element has degrees of truth membership, indeterminacy membership, and falsity membership and it lies in ] 0 , 1 + [ , the nonstandard unit interval [28]. It may be seen as an extension of the standard interval of IFSs and has many practical applications such as medical diagnosis, e-learning, image processing and data mining, etc. [29,30,31,32,33,34,35]. For convenience in practical situations, Smarandache [24] and Wang [23] introduced single-valued neutrosophic sets (SVNSs). Then, using similarity and entropy measures, the correlation coefficient of SVNSs were put forward by Majumdar [36] and Ye [37], respectively. Huang [38] developed several new formulas of the distance measures for SVNSs. Thanh [39] built a new recommender system based on a clustering algorithm for SVNSs. Karaaslan [40] defined the correlation coefficient for single valued neutrosophic refined soft sets. Ye [41] found several new similarity measure formulas for SVNSs by building the cotangent function. Recently, the concept of simplified neutrosophic sets (SNSs) and aggregation operators were introduced by Ye [42], which can be characterized by three real numbers in the interval [ 0 , 1 ] . Because its definition is more in line with the needs of many engineering situations, SNSs have quickly been applied to MCDM and MCGDM problems. Ye [43] proposed the similarity measures between SNSs and INSs in MCDM problems. Peng [44] defined the outranking relations with SNSs. Based on the work of Ye [42], Peng [45] redefined some aggregation operators of SNSs by utilizing the t-norm and t-conorm. Ye [46] proposed exponential entropy measures for SNSs and studied their properties.
The methods for solving MCDM or MCGDM problems using SNNs outlined above are proved to be effective and feasible. There are some aspects which need to be promoted or further studied. (1) Most of the operators for SNSs are derived from the operators of fuzzy sets arithmetic such as probability degree, score function, correlation coefficient, and similarity measures, etc. Is there any other method or framework to perform computing on SNSs? (2) In the calculation process, most existing methods need several steps including defining operation laws, choosing aggregation operators, and performing ranking functions. It often becomes complex and difficult to understand. In fact, there is usually no direct correlation between previous steps and latter steps. Therefore, some methods become a combination of various steps and lack algorithm integrality and consistency. (3) Most existing methods directly utilize the three values of an SNN as parameters without adequately considering the implied distribution information. This leads to some operational deficiencies and information loss. (4) Many traditional models are too deterministic and lose their uncertainty information in the calculating process. Hence, stability checking and uncertainty analysis cannot be relied upon for the decision results in the later stages. So we cannot know whether the decision results will change when decision makers’ preferences change slightly, and that means we do not know whether the final result is stable and insensitive enough.
To solve these problems, a novel approach and framework for the MCGDM problem with SNNs is proposed. The main advantages and outstanding contributions are shown below. (1) Unlike most of the existing methods, the proposed model represents a novel framework which does not require deriving from fuzzy sets operations. It builds on interval number and interval dependent degree operators. (2) The proposed method does not need those complex definitions and operator steps, and is more concise and intuitive. It has higher computation integration for directly combining two main steps into unified dependent degree formula. (3) The proposed method, which can describe the implied distribution information of an SNN through defining the distribution function in dependent degree formula, shows stronger capabilities of description for SNNs and avoids information loss. (4) As a result of maintaining information flexibility and dynamics by distribution function, the proposed model can analyze the uncertainty and stability of decision results through choosing different distribution function expressions. The method takes into account information integrity, computation simplicity, and dynamic analysis capability.
The rest of the paper is organized as follows. In Section 2, some important concepts including interval number, simplified dependent function, distribution function, and interval dependent function are defined. Subsequently, the specific expressions of the dependent degree function are deduced under the different distribution function. In Section 3, NSs and SNSs are briefly reviewed. Then, an interval transformation operator is defined to transform SNN into interval number. On the basis of the transformation, the interval dependent function of SNNs is deduced. In Section 4, a computing procedure based on the interval dependent degrees of SNNs for MCGDM problems is developed. In Section 5, an illustrative instance and a comparative analysis are adopted to validate the proposed method. Finally, in Section 6, conclusions are given.

2. Interval Number and Interval Dependent Function

In the section, some basic concepts and definitions about simplified dependent function, including interval numbers, interval dependent function, and distribution function are introduced.

2.1. Interval Number

Definition 1.
Interval number. Let X = [ a , b ] = { x | a x b ; a , b R } , and then X is called an interval number. In particular, X will be degenerated into a real number if a = b . Here, X = [ 0 , 1 ] is called a standard interval.
Subsequently, the operators of two non-negative interval numbers X = [ a , b ] and Y = [ c , d ] are defined as follows:
X + Y = [ a + c , b + d ]
X Y = [ a d , b c ]
λ X = [ λ a , λ b ] ( λ > 0 )
1 X = 1 b , 1 a

2.2. Simplified Dependent Function and Interval Dependent Function

Definition 2.
Simplified dependent function. Suppose a finite interval X = [ a , b ] and its optimal value is b, if x X and there is a function k ( x , X ) that satisfies the following properties: (1) k ( x , X ) reaches the maximum value 1 when x = b , and reaches the minimum value 0 when x = a . (2) When x X and x a , b , then 0 < k ( x , X ) < 1 holds. (3) x 1 , x 2 X and x 1 < x 2 , then k ( x 1 , X ) < k ( x 2 , X ) holds. Then, k ( x , X ) is called the simplified dependent function of x on the interval X.
Here, we give some examples of simplified dependent function expressions.
k ( x , X ) = x a b a , ( X = [ a , b ] )
k ( x , X ) = α x α 1 + x , ( X = [ 0 , 1 ] )
k ( x , X ) = e α x 1 e α 1 , ( X = [ 0 , 1 ] )
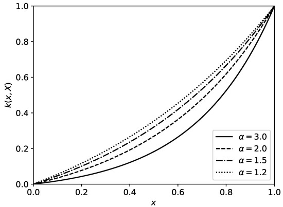
Figure 1 and Figure 2 show the shapes of Equations (6) and (7), respectively. In Figure 1, the larger the parameter α applied, the steeper the front of the function is and the flatter the back of the function is. That is always used to describe the different psychology status of decision makers to the values near the interval endpoints. Figure 2 shows the contrary situation.
Definition 3.
Interval dependent function. Suppose a finite interval X = [ a , b ] and its optimal value is b, for a subinterval X 0 = [ a 0 , b 0 ] and X 0 X , then,
k ( X 0 , X ) = x X 0 k ( x , X ) h ( x , X 0 ) d x , ( a 0 b 0 )
Here, k ( x , X ) is the simplified dependent function, h ( x , X 0 ) is the probability density function on subinterval X 0 . k ( X 0 , X ) is called the interval dependent function of subinterval X 0 on interval X.
k ( X 0 , X ) has the following properties: (1) X 0 will be degenerated into a real number if a 0 = b 0 , and k ( X 0 , X ) will be degenerated into the simplified dependent function k ( a 0 , X ) . Especially, k ( X 0 , X ) reaches the maximum value 1 when a 0 = b 0 = b , and reaches the minimum value 0 when a 0 = b 0 = a . (2) when a 0 b 0 , 0 < k ( X 0 , X ) < 1 .
Definition 4.
Distribution function. Distribution function h ( x ) describes the distribution of x in interval [ a 0 , b 0 ] . h ( x ) is in the form of probability density function. Therefore,
x [ a 0 , b 0 ] h ( x ) d x = 1
Figure 3 gives some commonly used probability density function expressions, such as uniform distribution, triangular distribution, trapezoid distribution, and normal distribution. Among these, Figure 3a indicates that every value in the interval occurred at an equal probability. Figure 3b–d indicate that the probability of occurrence of the middle value in the interval is the maximum. Figure 3e,f, respectively, indicate that the probabilities of all values in the interval are linearly increasing or decreasing. The forms of the distribution functions are various and can be fixed according to different actual application situations. It cannot only be used to describe the distribution of the values in the interval, but also to examine the stability of the interval dependent degree.
Property 1.
When the probability density function h ( x , X 0 ) follows uniform distribution as Figure 3a, then,
k ( X 0 , X ) = a 0 b 0 k ( x , X ) h ( x , X 0 ) d x = a 0 b 0 k ( x , X ) 1 b 0 a 0 d x = 1 b 0 a 0 a 0 b 0 k ( x , X ) d x
Property 2.
When the probability density function h ( x , X 0 ) follows triangular distribution as Figure 3b, then,
k ( X 0 , X ) = a 0 a 0 + b 0 2 k ( x , X ) h ( x , X 0 ) d x + a 0 + b 0 2 b 0 k ( x , X ) h ( x , X 0 ) d x = 2 b 0 a 0 a 0 a 0 + b 0 2 k ( x , X ) x a 0 a 0 + b 0 2 a 0 d x + a 0 + b 0 2 b 0 k ( x , X ) x b 0 a 0 + b 0 2 b 0 d x = 4 ( b 0 a 0 ) 2 a 0 a 0 + b 0 2 k ( x , X ) ( x a 0 ) d x + a 0 + b 0 2 b 0 k ( x , X ) ( b 0 x ) d x
Property 3.
When the probability density function h ( x , X 0 ) follows approximately triangular distribution as Figure 3c, then,
k ( X 0 , X ) = a 0 a 0 + b 0 2 k ( x , X ) h ( x , X 0 ) d x + a 0 + b 0 2 b 0 k ( x , X ) h ( x , X 0 ) d x = a 0 a 0 + b 0 2 k ( x , X ) 2 b 0 + 4 x 6 a 0 3 ( b 0 a 0 ) 2 d x + a 0 + b 0 2 b 0 k ( x , X ) 6 b 0 4 x 2 a 0 3 ( b 0 a 0 ) 2 d x = 2 3 ( b 0 a 0 ) 2 a 0 a 0 + b 0 2 k ( x , X ) ( b 0 + 2 x 3 a 0 ) d x + a 0 + b 0 2 b 0 k ( x , X ) ( 3 b 0 2 x a 0 ) d x
Property 4.
When the probability density function h ( x , X 0 ) follows normal distribution as Figure 3d, then,
k ( X 0 , X ) = a 0 b 0 k ( x , X ) h ( x , X 0 ) d x = 1 2 π σ a 0 b 0 k ( x , X ) e ( x μ ) 2 2 σ 2 d x ( μ = a 0 + b 0 2 , σ = | a 0 b 0 | 6 )
Property 5.
When the probability density function h ( x , X 0 ) follows normal distribution as Figure 3e, then,
k ( X 0 , X ) = a 0 b 0 k ( x , X ) h ( x , X 0 ) d x = a 0 b 0 k ( x , X ) x a 0 b 0 a 0 2 3 ( b 0 a 0 ) + 2 3 ( b 0 a 0 ) d x = 2 3 ( b 0 a 0 ) 2 a 0 b 0 k ( x , X ) ( x + b 0 2 a 0 ) d x

3. Interval Transformation Operator and Interval Dependent Function of SNS

3.1. NSs and SNSs

Definition 5
([25]). Let X be a space of points (objects), with a generic element in X, denoted by x. An NS A in X is characterized by a truth-membership function T A ( x ) , an indeterminacy membership function I A ( x ) and a falsity-membership function F A ( x ) . T A ( x ) , I A ( x ) , and F A ( x ) are standard or non-standard subsets of ] 0 , 1 + [ , that is, T A ( x ) : X ] 0 , 1 + [ , I A ( x ) : X ] 0 , 1 + [ and F A ( x ) : X ] 0 , 1 + [ . There is no restriction on the sum of T A ( x ) , I A ( x ) , a n d   F A ( x ) , therefore 0 s u p T A ( x ) + s u p I A ( x ) + s u p F A ( x ) 3 + .
Definition 6
([25]). An NS A is contained in another NS B, denoted by A B , if and only if i n f T A ( x ) i n f T B ( x ) , s u p T A ( x ) s u p T B ( x ) , i n f I A ( x ) i n f I B ( x ) , s u p I A ( x ) s u p I B ( x ) , i n f F A ( x ) i n f F B ( x ) , and s u p F A ( x ) s u p F B ( x ) for x X . Since it is difficult to apply NSs to practical problems, Ye (2014a) reduced NSs of non-standard intervals into SNSs of standard intervals that would preserve the operations of NSs.
Definition 7
([42]). Let X be a space of points (objects), with a generic element in X, denoted by x. An NS A in X is characterised by T A ( x ) , I A ( x ) , and F A ( x ) , which are subintervals/subsets in the standard interval [ 0 , 1 ] , that is, T A ( x ) : X [ 0 , 1 ] , I A ( x ) : X [ 0 , 1 ] and F A ( x ) : X [ 0 , 1 ] . Then, a simplification of A is denoted by A = { < x , T A ( x ) , I A ( x ) , F A ( x ) > | x X } , which is called an SNS. In particular, if X has only one element, A = < T A ( x ) , I A ( x ) , F A ( x ) > is called an SNN. For convenience, a SNN is denoted by A = < T A , I A , F A > . Clearly, SNSs are a subclass of NSs.
Definition 8
([42]). An SNS A is contained in another SNS B, denoted by A B , if and only if T A ( x ) T B ( x ) , I A ( x ) I B ( x ) , and F A ( x ) F B ( x ) for any x X .
Definition 9
([42]). The complement of an SNS A is denoted by A C and is defined as
A C = { < x , F A ( x ) , 1 I A ( x ) , T A ( x ) > | x X }

3.2. Interval Transformation Operator of SNNs

Definition 10.
Interval transformation operator Z. For an SNN A = < T A , I A , F A > , there is an operator that makes Z ( A ) = { X 0 , X } , here X 0 = T A T A + I A + F A , T A + I A T A + I A + F A , X = [ 0 , 1 ] is the standard interval. Then Z is called interval transformation operator of SNN A.
The meaning of the operator Z is briefly explained here. From definition 6, there is T A , I A , F A [ 0 , 1 ] holds. So divided by T A + I A + F A , SNN A will be mapped into the standard interval [ 0 , 1 ] . X 0 is the range of truth-membership values of A actually. T A T A + I A + F A and T A + I A T A + I A + F A are lower bound and upper bound of truth-membership values of A, respectively. X = [ 0 , 1 ] is the maximum range of truth-membership values and its optimal value is 1 obviously. Although X 0 only represents the range of truth-membership values, it must be decided by T A , I A and F A together.
Example 1.
Assume three SNNs A = < 0.5 , 0.2 , 0.2 > , B = < 0.5 , 0.3 , 0.2 > , and C = < 0.5 , 0.3 , 0.3 > . The following transformation results can be obtained utilizing the operator Z:
Z ( A ) = { X 0 = [ 0.556 , 0.778 ] , X = [ 0 , 1 ] } Z ( B ) = { X 0 = [ 0.5 , 0.8 ] , X = [ 0 , 1 ] } Z ( C ) = { X 0 = [ 0.455 , 0.727 ] , X = [ 0 , 1 ] }

3.3. Interval Dependent Function of SNNs

For a SNN A = < T A , I A , F A > , by transformation operator Z, the subinterval X 0 = T A T A + I A + F A , T A + I A T A + I A + F A and the standard interval X = [ 0 , 1 ] are obtained. Then, according to Equation (8), the interval dependent degree of SNN A is:
k ( A ) = k ( X 0 , X ) = x X 0 k ( x , X ) h ( x , X 0 ) d x , ( I A 0 )
Here, k ( x , X ) is the simplified dependent function, h ( x , X 0 ) is the distribution function on subinterval X 0 . k ( A ) is called the interval dependent function of SNN A on the standard interval X.
k ( A ) has the following properties: (1) X 0 will be degenerated into a real number if I A = 0 , and k ( A ) will be degenerated into the simplified dependent function k ( T A T A + I A + F A , X ) . Especially, k ( X 0 , X ) reaches the maximum value 1 when I A = F A = 0 , and reaches the minimum value 0 when I A = T A = 0 . (2) When I A 0 , 0 < k ( A ) < 1 .
The proposed interval dependent function of SNN has the following meanings: Firstly, the proposed function represents a new way of thinking and framework without the need of deriving from fuzzy sets operations. Secondly, the proposed function integrates the distribution function and simplified dependent function into a formula, and so is more concise and intuitive and has higher computation integration. Thirdly, the proposed function can describe the distribution information by defining the inherent distribution function and describe the SNN better. Fourthly, by defining various distribution functions which reflect decision makers’ preferences, the proposed model can analyze the uncertainty and sensibility of decision results.

4. The MCGDM Method Based on the Interval Dependent Degrees of SNNs

Suppose that there are m alternatives A = { a 1 , a 2 , , a m } and n criteria C = { c 1 , c 2 , , c n } , and the weight vector of criteria is w = ( w 1 , w 2 , , w n ) , where w j 0 ( j = 1 , 2 , , n ) , j = 1 n w j = 1 . there are l decision-makers D = { d 1 , d 2 , , d l } with its weight vector λ = ( λ 1 , λ 2 , , λ l ) . Let R = ( r i j k ) m × n be the decision matrix, where the value of a criterion denoted by SNNs r i j k = < T r i j k , I r i j k , F r i j k > , where T r i j k indicates the truth-membership function that the alternative a i satisfies the criterion c j for the kth decision-maker, I r i j k represents the determinacy membership function that the alternative a i satisfies the criterion c j for the kth decision-maker, and F r i j k is the falsity-membership function that the alternative a i satisfies the criterion c j for the kth decision-maker. The proposed method uses the interval transformation operator and interval dependent degree of SNNs to solve the MCGDM problem mentioned above. A procedure for sorting and choosing the most desirable alternative(s) is provided in the following steps.
Step 1. Normalize the decision matrix. Generally, there are two kinds criteria including maximizing criteria and minimizing criteria in MCDM problems. For the maximizing criteria, it remains unchanged. For the minimizing criteria, it can be transformed into maximizing criteria by taking its complement as r i j k = ( r i j k ) C = < F r i j k , 1 I r i j k , T r i j k > in Definition 9.
Step 2. Interval transformation. Performing interval transformation operator Z ( r i j k ) to SNN r i j k according Definition 10. Then, the corresponding subinterval is obtained as
X 0 r i j k = T r i j k T r i j k + I r i j k + F r i j k , T r i j k + I r i j k T r i j k + I r i j k + F r i j k
Step 3. Select the simplified dependent function and distribution function. According to the preference of decision makers and the actual requirements, the forms of dependent function Definition 2 and distribution function as in Definition 4 should be decided.
Step 4. Calculate the interval dependent degree of each SNN of the decision matrix. According to Equation (16), the dependent degree of SNN r i j k as
k ( r i j k ) = k ( X 0 r i j k , X ) = x X 0 r i j k k ( x , X ) h ( x , X 0 r i j k ) d x
Here, X 0 r i j k is obtained in step 2, X is the standard interval [ 0 , 1 ] , k ( ) function and h ( ) function are decided in step 3.
Step 5. Calculate the comprehensive dependent degree of each alternative. The comprehensive dependent degree of each alternative a i is obtained as
K ( a i ) = k = 1 l λ k j = 1 n ω j k ( r i j k )
Then, the sorting result is achieved by comparing those comprehensive dependent degrees of all the alternatives.
Step 6. Stability analysis. By selecting different distribution functions in Definition 4, the stability analysis is performed to the decision results. It can be seen whether the sorting result will change under different distributions of truth-membership values.

5. An Illustrative Example

In this section, an example of MCGDM problems is provided to illustrate the feasibility, reliability, and effectiveness of the proposed method.
Consider a MCGDM problem adapted from Reference [47]. There is a company which wants to choose a suitable supplier as its long-term partner. The expert set D = { d 1 , d 2 , d 3 } is composed of three experts with their weight vector being λ = ( 0.4 , 0.3 , 0.3 ) . There are four suppliers comprising set S = { s 1 , s 2 , s 3 , s 4 } . Each supplier has been evaluated on four criteria denoted by supplier set C = { c 1 , c 2 , c 3 , c 4 } that includes product quality c 1 , production capacity c 2 , after-sales service c 3 , and management ability c 4 . The weight vector of the criteria is given as w = ( 0.27 , 0.27 , 0.27 , 0.19 ) . For each expert, the four possible alternatives are evaluated under all the criteria. The evaluation values are in the form of SNNs r i j k ( i = 1 , 2 , 3 , 4 ; j = 1 , 2 , 3 , 4 ; k = 1 , 2 , 3 ) , as shown in the following Table 1, Table 2 and Table 3:

5.1. The Decision Making Procedure

In this case, some main parameter values of the proposed method are explained here. For comparison, two simplified dependent functions, which include linear function Equation (5) and nonlinear function Equation (6) with parameter α initialized to 2.0, are adopted. At this point, the function Equation (6) shows a moderate curve. At the beginning, the distribution function uses triangular distribution as in Figure 3b. For the final stability test and uncertainty test, the parameter α and distribution function will change.
Step 1. Normalize the decision matrix. Because all the criteria are maximizing criteria, all the SNNs should remain unchanged.
Step 2. Interval transformation. By interval transformation operator Z, the corresponding subinterval is obtained as X 0 r i j 1 , X 0 r i j 2 , and X 0 r i j 3 in Table 4, Table 5 and Table 6.
Step 3. Select the simplified dependent function and distribution function. To facilitate a clearer comparison, a linear simplified dependent function as in Equation (5) and a nonlinear simplified dependent function as in Equation (6) ( α = 2.0 ) are selected. In addition, triangular distribution as in Figure 3b is used as the distribution function.
Step 4. Calculate interval dependent degree of each SNN of the decision matrix. According to Equation (18), the dependent degrees k ( r i j k ) of SNNs are obtained as in Table 7 and Table 8, in which Table 7 shows the dependent degrees with linear simplified dependent function as in Equation (5), and Table 8 shows those with nonlinear simplified dependent function as in Equation (6).
Step 5. Calculate the comprehensive dependent degree of each alternative. According to Equation (19), experts weight vector λ and criteria weight vector w, there are comprehensive dependent degree K ( a i ) of each alternative a i as in Table 9. Table 9 shows the values of K ( a i ) under different simplified dependent functions which include linear function and nonlinear functions with α = 3.0 , α = 2.0 , α = 1.5 , and α = 1.2 . As we can see, although the dependent degrees under different dependent functions are different from each other, the sorting result remains unchanged. In fact, the simplified dependent function can reflect the psychology status of decision makers. For example, Equation (6) describes risk aversion psychology, which means the curve slope will change with different evaluation values. The smaller the parameter α , the greater the extent of regret evasion from decision makers. Nevertheless, the result shows that it is not influenced by the risk aversion psychology changing in the decision makers. So it exhibits high stability.
Step 6. Uncertainty analysis. Table 10 and Table 11 show the sorting result under different distribution functions as in Figure 3. Although the dependent degree values are slightly different as the distribution function changes, the result remain unchanged, which illustrates the lower uncertainty and sensibility of the ranking result. Therefore, for decision makers in this case, the sorting result is sufficiently certain and stable.

5.2. A Comparison Analysis

In order to verify the effectiveness of the proposed method based on the interval dependent degrees of SNNs, a comparison analysis was conducted. Several methods in Reference [42,45,46,47,48] were used on the above example and the same sorting results as in Table 12 were obtained, which is consistent with that derived from the proposed method. It indicates the effectiveness and feasibility of the proposed measure. However, this study presents a new method with maintaining uncertain and fuzzy information of SNNs in the algorithm process, while previous methods only consider three values of an SNN while ignoring its latent uncertain information. That makes the proposed method capable of uncertainty and stability analysis. From computational complexity, most previous methods need to take aggregation operations for three values of a SNN, respectively, in entire algorithm steps, while the proposed model only takes interval number operations throughout the process. Interestingly, although this study will transform SNN to an interval number, it avoids information loss and incompleteness by defining distribution functions. In summary, the advantages over the other methods are summarized below.
(1) In the proposed approach, the interval transformation operator is developed to convert SNNs into interval numbers, which avoids various complex aggregation operator processes for SNNs. The transformation operator is simple and convenient to perform. Then, the following process is built on the interval number which is relatively straightforward and understandable.
(2) As a result of the various kinds of aggregation operators, most previous methods considered will produce many intermediate results in neutrosophic MCGDM problems. However, in the proposed approach, the key parameters and main steps are directly integrated into the dependent function expression. Therefore, the proposed method takes less intermediate results and is more concise.
(3) In the proposed approach, the distribution function is conducted to describe latent uncertain information for SNNs. In this way, the fuzziness of the original information can be conserved and fully utilized which can be used to take some uncertainty analysis for the decision result. For decision makers, not only the sorting result is obtained, but the dynamic influences on the sorting result caused by any uncertainty in the decision environment will also be observed, which cannot be provided by the others methods. Therefore, the final ranking of the proposed approach is more conclusive and accurate.

6. Conclusions

In this paper, a novel method and framework based on the interval dependent degree of SNNs for MCGDM problems is proposed. Firstly, the interval dependent function is defined, in which the distribution function is used to describe inherent distribution information of a SNN. Subsequently, a transformation operator is constructed to convert SNNs into interval numbers, and then the interval dependent function for SNNs is build. Afterwards, the sorting result is obtained by computing and comparing the comprehensive dependent degree of each alternative. Finally, the uncertainty and stability analysis method for the result is given.
The proposed approach is convenient to perform, and is effective at decreasing original information loss. Its validity and feasibility also have been verified by an illustrative example and comparative analysis. The advantages over the other methods are demonstrated in the comparative analysis section. Through its uncertainty and stability analysis, the method can provide more reliable, persuasive, and accurate results. The proposed method not only provides a novel way of solving MCDM problems with simplified neutrosophic sets, but also enriches the theory of neutrosophic sets.
MCDM problems exist widely in many industrial and social application situations, such as medical diagnosis, investment decision, supplier selection, etc. To choose the appropriate solution, people often have to evaluate the effects of multiple criteria. Usually, the evaluation values are given not as a certain value but some degrees of truth, falsity, and indeterminacy which can be adequately described by SNNs. Moreover, the truth degree of a decision maker often covers a range and does not obey uniform distribution in the range. The proposed method, which can provide a more concise and comprehensive way of solving these problems, shows broad application prospects.
In the future, the proposed method will be extended to the other neutrosophic sets such as interval neutrosophic sets (INSs) [49], multi-valued neutrosophic sets (MVNSs) [50,51], and complex neutrosophic sets (CNSs) [52], etc. Further study as regards some complete uncertainty situations in which both the criteria and the weights are denoted as SNNs is also necessary. In addition, we consider exploring its possible applications in some non-traditional areas such as the game theory [53], which has become a new effective method for solving MCDM problems in recent years because of its non-linear dynamics description capability [54].

Author Contributions

L.X. conceived of the presented idea, verified the analytical methods and wrote the draft; X.L. started the literature findings, got data and discussed the findings of this work; C.P. conceived background study, discussed the findings and monitored the results; Y.G. checked and verified the mathematical models, the tables and figure.

Funding

This research is funded by Zhejiang Science Foundation Project of China under grant number LY16G010010, LY18F020001.

Acknowledgments

The authors would like to thank the editors and the reviewers for their comments on a draft of this article.

Conflicts of Interest

The authors declare that they do not have any conflict of interests.

References

  1. Libo, X.; Xingsen, L.; Chaoyi, P. Uncertain Multiattribute Decision-Making Based on Interval Number with Extension-Dependent Degree and Regret Aversion. Math. Probl. Eng. 2018. [Google Scholar] [CrossRef]
  2. Zadeh, L.A. Fuzzy sets. Inf. Control 1965, 8, 338–356. [Google Scholar] [CrossRef]
  3. Zadeh, L.A. Probability measures of fuzzy events. J. Math. Anal. Appl. 1968, 23, 421–427. [Google Scholar] [CrossRef]
  4. Zadeh, L.A. Fuzzy logic and approximate reasoning. Synthese 1975, 30, 407–428. [Google Scholar] [CrossRef]
  5. Bellman, R.; Zadeh, L.A. Decision making in a fuzzy environment. Manag. Sci. 1970, 17, 141–164. [Google Scholar] [CrossRef]
  6. Atanassov, K. Intuitionistic fuzzy sets. Fuzzy Sets Syst. 1986, 20, 87–96. [Google Scholar] [CrossRef]
  7. Atanassov, K. New operations defined over the intuitionistic fuzzy sets. Fuzzy Sets Syst. 1994, 61, 137–142. [Google Scholar] [CrossRef]
  8. Atanassov, K. Two theorems for intuitionistic fuzzy sets. Fuzzy Sets Syst. 2000, 110, 267–269. [Google Scholar] [CrossRef]
  9. Gau, W.L.; Buehrer, D.J. Vague sets. IEEE Trans. Syst. Man Cybern. 1993, 23, 610–614. [Google Scholar] [CrossRef]
  10. Bustince, H.; Burillo, P. Vague sets are intuitionistic fuzzy sets. Fuzzy Sets Syst. 1996, 79, 403–405. [Google Scholar] [CrossRef]
  11. Chen, Y.T. A outcome-oriented approach to multicriteria decision analysis with intuitionistic fuzzy optimistic pessimistic operators. Expert Syst. Appl. 2010, 37, 7762–7774. [Google Scholar] [CrossRef]
  12. Xu, Z.S. Intuitionistic fuzzy multiattribute decision making: An interactive method. IEEE Trans. Fuzzy Syst. 2012, 20, 514–525. [Google Scholar]
  13. Chen, S.M.; Cheng, S.H.; Chiou, C.H. Fuzzymulti-attribute group decision making based on intuitionistic fuzzy sets and evidential reasoning methodology. Inf. Fusion 2016, 27, 215–227. [Google Scholar] [CrossRef]
  14. Cao, Q.W.; Wu, J.; Liang, C.Y. An intuitionistic fuzzy judgement matrix and TOPSIS integrated multi-criteria decision-making method for green supplier selection. J. Intell. Fuzzy Syst. 2015, 28, 117–126. [Google Scholar]
  15. Zeng, S.Z.; Xiao, Y. A method based on topsis and distance measures for hesitant fuzzy multiple attribute decision making. Technol. Econ. Dev. Econ. 2018, 24, 905–919. [Google Scholar]
  16. Yue, Z.L. TOPSIS-based group decision-making methodology in intuitionistic fuzzy setting. Inf. Sci. 2014, 277, 141–153. [Google Scholar] [CrossRef]
  17. Chen, T.Y. Interval-valued intuitionistic fuzzy QUALIFLEX method with a likelihood-based comparison approach for multiple criteria decision analysis. Inf. Sci. 2014, 261, 149–169. [Google Scholar] [CrossRef]
  18. Liu, B.S.; Shen, Y.H.; Zhang, W.; Chen, X.H.; Wang, X.Q. An interval-valued intuitionistic fuzzy principal component analysis model-based method for complex multi-attribute large-group decision-making. Eur. J. Oper. Res. 2015, 245, 209–225. [Google Scholar] [CrossRef]
  19. Atanassov, K.T.; Gargov, G. Interval valued intuitionistic fuzzy sets. Fuzzy Sets Syst. 1989, 31, 343–349. [Google Scholar] [CrossRef]
  20. Joshi, D.; Kumar, S. Interval-valued intuitionistic hesitant fuzzy Choquet integral based TOPSIS method for multi-criteria group decision making. Eur. J. Oper. Res. 2016, 248, 183–191. [Google Scholar] [CrossRef]
  21. Liu, P.D.; Shi, L.L. The generalized hybrid weighted average operator based on interval neutrosophic hesitant set and its application to multiple attribute decision making. Neural Comput. Appl. 2015, 26, 451–471. [Google Scholar] [CrossRef]
  22. Zhang, H.Y.; Wang, J.Q.; Chen, X.H. An outranking approach for multi-criteria decision-making problems with interval-valued neutrosophic sets. Neural Comput. Appl. 2016, 27, 615–627. [Google Scholar] [CrossRef]
  23. Wang, H.; Smarandache, F.; Zhang, Y.Q.; Sunderraman, R. Single valued neutrosophic sets. Multispace Multistruct. 2010, 4, 410–413. [Google Scholar]
  24. Smarandache, F. Neutrosophy: Neutrosophic Probability, Set, and Logic; American Research Press: Rehoboth, DE, USA, 1998; pp. 1–105. [Google Scholar]
  25. Smarandache, F. A Unifying Field in Logics. Neutrosophy: Neutrosophic Probability, Set and Logic; American Research Press: Rehoboth, DE, USA, 1999; pp. 1–141. [Google Scholar]
  26. Smarandache, F. A Unifying Field in Logics: Neutrosophic Logic. Neutrosophy, Neutrosophic Set, Neutrosophic Probability: Neutrsophic Logic. Neutrosophy, Neutrosophic Set, Neutrosophic Probability and Statistics; American Research Press: Rehoboth, DE, USA, 2005; pp. 1–156. [Google Scholar]
  27. Khan, M.; Son, L.; Ali, M.; Chau, H.; Na, N.; Smarandache, F. Systematic Review of Decision Making Algorithms in Extended Neutrosophic Sets. Symmetry 2018, 10, 314. [Google Scholar] [CrossRef]
  28. Rivieccio, U. Neutrosophic logics: Prospects and problems. Fuzzy Sets Syst. 2008, 159, 1860–1868. [Google Scholar] [CrossRef]
  29. Deli, I.; Broumi, S.; Smarandache, F. On neutrosophic refined sets and their applications in medical diagnosis. J. New Theory 2015, 6, 88–98. [Google Scholar]
  30. Ali, M.; Son, L.H.; Khan, M.; Tung, N.T. Segmentation of dental X-ray images in medical imaging using neutrosophic orthogonal matrices. Expert Syst. Appl. 2018, 91, 434–441. [Google Scholar] [CrossRef]
  31. Mondal, K.; Surapati, P.; Giri, B.C. Role of Neutrosophic Logic in Data Mining. New Trends in Neutrosophic Theory and Applications. 2016, pp. 15–23. Available online: https://books.google.com.hk/books?hl=zh-CN&lr=&id=s7OdDQAAQBAJ&oi=fnd&pg=PA15&dq=Role+of+Neutrosophic+Logic+in+Data+Mining&ots=GHfYqos9XC&sig=qA_uHSJ6geF1qVI7UT3g0Kj5MKU&redir_esc=y#v=onepage&q=Role%20of%20Neutrosophic%20Logic%20in%20Data%20Mining&f=false (accessed on 1 October 2018).
  32. Radwan, N.M. Neutrosophic Applications in E-learning: Outcomes, Challenges and Trends. New Trends in Neutrosophic Theory and Applications. 2016, pp. 177–184. Available online: https://books.google.com.hk/books?hl=zh-CN&lr=&id=s7OdDQAAQBAJ&oi=fnd&pg=PA177&dq=Neutrosophic+Applications+in+E-learning:+Outcomes,+Challenges+and+Trends&ots=GHfYqosaTC&sig=h0MqRrBaY2Aq2FHOMU7PN40LPxQ&redir_esc=y#v=onepage&q=Neutrosophic%20Applications%20in%20E-learning%3A%20Outcomes%2C%20Challenges%20and%20Trends&f=false (accessed on 1 October 2018).
  33. Ali, M.; Deli, I.; Smarandache, F. The theory of neutrosophic cubic sets and their applications in pattern recognition. J. Intell. Fuzzy Syst. 2016, 30, 1957–1963. [Google Scholar] [CrossRef]
  34. Broumi, S.; Talea, M.; Bakali, A.; Smarandache, F. Single valued neutrosophic graphs. J. New Theory 2016, 10, 86–101. [Google Scholar]
  35. Broumi, S.; Talea, M.; Bakali, A.; Smarandache, F. On bipolar single valued neutrosophic graphs. J. New Theory 2016, 11, 84–102. [Google Scholar]
  36. Majumdar, P.; Samant, S.K. On similarity and entropy of neutrosophic sets. J. Intell. Fuzzy Syst. 2014, 26, 1245–1252. [Google Scholar]
  37. Ye, J. Multicriteria decision-making method using the correlation coefficient under single-value neutrosophic environment. Int. J. Gen. Syst. 2013, 42, 386–394. [Google Scholar] [CrossRef]
  38. Huang, H. New distance measure of single-valued neutrosophic sets and its application. Int. J. Intell. Syst. 2016, 31, 1021–1032. [Google Scholar] [CrossRef]
  39. Thanh, N.D.; Ali, M.; Son, L.H. A novel clustering algorithm in a neutrosophic recommender system for medical diagnosis. Cogn. Comput. 2017, 9, 526–544. [Google Scholar] [CrossRef]
  40. Karaaslan, F. Correlation coefficients of single-valued neutrosophic refined soft sets and their applications in clustering analysis. Neural Comput. Appl. 2017, 28, 2781–2793. [Google Scholar] [CrossRef]
  41. Ye, J. Single-valued neutrosophic similarity measures based on cotangent function and their application in the fault diagnosis of steam turbine. Soft Comput. 2017, 21, 817–825. [Google Scholar] [CrossRef]
  42. Ye, J. A multicriteria decision-making method using aggregation operators for simplified neutrosophic sets. J. Intell. Fuzzy Syst. 2014, 26, 2459–2466. [Google Scholar]
  43. Ye, J. Similarity measures between interval neutrosophic sets and their applications in multicriteria decision-making. J. Intell. Fuzzy Syst. 2014, 26, 165–172. [Google Scholar]
  44. Peng, J.J.; Wang, J.Q.; Zhang, H.Y.; Chen, X.H. An outranking approach for multi-criteria decision-making problems with simplified neutrosophic sets. Appl. Soft Comput. 2014, 25, 336–346. [Google Scholar] [CrossRef]
  45. Peng, J.J.; Wang, J.Q.; Wang, J.; Zhang, H.Y.; Chen, X.H. Simplified neutrosophic sets and their applications in multi-criteria group decision-making problems. Int. J. Syst. Sci. 2016, 47, 2342–2358. [Google Scholar] [CrossRef]
  46. Ye, J.; Cui, W. Exponential Entropy for Simplified Neutrosophic Sets and Its Application in Decision Making. Entropy 2018, 20, 357. [Google Scholar] [CrossRef]
  47. Han, L.; Wei, C. Group decision making method based on single valued neutrosophic choquet inttegral operator. Oper. Res. Trans. 2017, 21, 110–118. [Google Scholar]
  48. Ye, J.; Du, S.G. Some distances, similarity and entropy measures for interval-valued neutrosophic sets and their relationship. Int. J. Mach. Learn. Cybern. 2017, 1–9. [Google Scholar] [CrossRef]
  49. Wang, H.B.; Smarandache, F.; Zhang, Y.Q.; Sunderraman, R. Interval Neutrosophic Sets and Logic: Theory and Applications in Computing; Hexis: Phoenix, AZ, USA, 2005. [Google Scholar]
  50. Wang, J.Q.; Li, X.E. The TODIM method with multi-valued neutrosophic sets. Control Decis. 2015, 30, 1139–1142. [Google Scholar]
  51. Peng, J.J.; Wang, J.Q.; Wu, X.H.; Wang, J.; Chen, X.H. Multi-valued neutrosophic sets and power aggregation operators with their applications in multi-criteria group decision-making problems. Int. J. Comput. Intell. Syst. 2015, 8, 345–363. [Google Scholar] [CrossRef]
  52. Ali, M.; Smarandache, F. Complex neutrosophic set. Neural Comput. Appl. 2017, 28, 1817–1834. [Google Scholar] [CrossRef]
  53. Arena, P.; Fazzino, S.; Fortuna, L.; Maniscalco, P. Game theory and non-linear dynamics: The Parrondo Paradox case study. Chaos Solitons Fractals 2003, 17, 545–555. [Google Scholar] [CrossRef]
  54. Chen, Y.W.; Larbani, M. Two-person zero-sum game approach for fuzzy multiple attribute decision making problems. Fuzzy Sets Syst. 2006, 157, 34–51. [Google Scholar] [CrossRef]
Figure 1. Dependent function of Equation (6).
Figure 1. Dependent function of Equation (6).
Symmetry 10 00640 g001
Figure 2. dependent function of Equation (7).
Figure 2. dependent function of Equation (7).
Symmetry 10 00640 g002
Figure 3. Distribution function.
Figure 3. Distribution function.
Symmetry 10 00640 g003
Table 1. Evaluation data of expert d 1 .
Table 1. Evaluation data of expert d 1 .
c 1 c 2 c 3 c 4
s 1 < 0.65 , 0.10 , 0.25 > < 0.50 , 0.18 , 0.32 > < 0.68 , 0.12 , 0.20 > < 0.50 , 0.10 , 0.25 >
s 2 < 0.83 , 0.12 , 0.05 > < 0.65 , 0.15 , 0.20 > < 0.50 , 0.10 , 0.40 > < 0.67 , 0.18 , 0.15 >
s 3 < 0.67 , 0.13 , 0.20 > < 0.50 , 0.15 , 0.35 > < 0.68 , 0.12 , 0.20 > < 0.50 , 0.20 , 0.30 >
s 4 < 0.66 , 0.14 , 0.20 > < 0.50 , 0.16 , 0.34 > < 0.70 , 0.10 , 0.20 > < 0.50 , 0.15 , 0.35 >
Table 2. Evaluation data of expert d 2 .
Table 2. Evaluation data of expert d 2 .
c 1 c 2 c 3 c 4
s 1 < 0.90 , 0.02 , 0.08 > < 0.10 , 0.10 , 0.80 > < 0.15 , 0.15 , 0.70 > < 0.10 , 0.05 , 0.85 >
s 2 < 0.75 , 0.15 , 0.10 > < 0.85 , 0.05 , 0.10 > < 0.50 , 0.10 , 0.40 > < 0.68 , 0.10 , 0.22 >
s 3 < 0.50 , 0.05 , 0.45 > < 0.40 , 0.15 , 0.45 > < 0.68 , 0.12 , 0.20 > < 0.15 , 0.05 , 0.80 >
s 4 < 0.50 , 0.10 , 0.40 > < 0.50 , 0.10 , 0.40 > < 0.60 , 0.10 , 0.30 > < 0.50 , 0.05 , 0.45 >
Table 3. Evaluation data of expert d 3 .
Table 3. Evaluation data of expert d 3 .
c 1 c 2 c 3 c 4
s 1 < 0.65 , 0.15 , 0.20 > < 0.30 , 0.10 , 0.60 > < 0.65 , 0.20 , 0.15 > < 0.50 , 0.10 , 0.40 >
s 2 < 0.85 , 0.05 , 0.10 > < 0.85 , 0.05 , 0.10 > < 0.34 , 0.16 , 0.50 > < 0.60 , 0.10 , 0.30 >
s 3 < 0.61 , 0.18 , 0.21 > < 0.67 , 0.13 , 0.20 > < 0.68 , 0.22 , 0.10 > < 0.30 , 0.10 , 0.60 >
s 4 < 0.62 , 0.28 , 0.10 > < 0.68 , 0.22 , 0.10 > < 0.68 , 0.12 , 0.20 > < 0.50 , 0.10 , 0.40 >
Table 4. The corresponding subintervals of simplified neutrosophic numbers (SNNs) of d 1 .
Table 4. The corresponding subintervals of simplified neutrosophic numbers (SNNs) of d 1 .
c 1 c 2 c 3 c 4
X 0 r 1 j 1 [ 0.650 , 0.750 ] [ 0.500 , 0.680 ] [ 0.680 , 0.800 ] [ 0.588 , 0.706 ]
X 0 r 2 j 1 [ 0.830 , 0.950 ] [ 0.650 , 0.800 ] [ 0.500 , 0.600 ] [ 0.670 , 0.850 ]
X 0 r 3 j 1 [ 0.670 , 0.800 ] [ 0.500 , 0.650 ] [ 0.680 , 0.800 ] [ 0.500 , 0.700 ]
X 0 r 4 j 1 [ 0.660 , 0.800 ] [ 0.500 , 0.660 ] [ 0.700 , 0.800 ] [ 0.500 , 0.650 ]
Table 5. The corresponding subintervals of SNNs of d 2 .
Table 5. The corresponding subintervals of SNNs of d 2 .
c 1 c 2 c 3 c 4
X 0 r 1 j 2 [ 0.900 , 0.920 ] [ 0.100 , 0.200 ] [ 0.150 , 0.300 ] [ 0.100 , 0.150 ]
X 0 r 2 j 2 [ 0.750 , 0.900 ] [ 0.850 , 0.900 ] [ 0.500 , 0.600 ] [ 0.680 , 0.780 ]
X 0 r 3 j 2 [ 0.500 , 0.550 ] [ 0.400 , 0.550 ] [ 0.680 , 0.800 ] [ 0.150 , 0.200 ]
X 0 r 4 j 2 [ 0.500 , 0.600 ] [ 0.500 , 0.600 ] [ 0.600 , 0.700 ] [ 0.500 , 0.550 ]
Table 6. The corresponding subintervals of SNNs of d 3 .
Table 6. The corresponding subintervals of SNNs of d 3 .
c 1 c 2 c 3 c 4
X 0 r 1 j 3 [ 0.650 , 0.800 ] [ 0.300 , 0.400 ] [ 0.650 , 0.850 ] [ 0.500 , 0.600 ]
X 0 r 2 j 3 [ 0.850 , 0.900 ] [ 0.850 , 0.900 ] [ 0.340 , 0.500 ] [ 0.600 , 0.700 ]
X 0 r 3 j 3 [ 0.610 , 0.790 ] [ 0.670 , 0.800 ] [ 0.680 , 0.900 ] [ 0.300 , 0.400 ]
X 0 r 4 j 3 [ 0.620 , 0.900 ] [ 0.680 , 0.900 ] [ 0.680 , 0.800 ] [ 0.500 , 0.600 ]
Table 7. Dependent degree with linear function of SNNs.
Table 7. Dependent degree with linear function of SNNs.
Expert
d 1 d 2 d 3
k ( r 1 j k ) 0.7000 , 0.5900 , 0.7400 , 0.6471 0.9100 , 0.1500 , 0.2250 , 0.1250 0.7250 , 0.3500 , 0.7500 , 0.5500
k ( r 2 j k ) 0.8900 , 0.7250 , 0.5500 , 0.7600 0.8250 , 0.8750 , 0.5500 , 0.7300 0.8750 , 0.8750 , 0.4200 , 0.6500
k ( r 3 j k ) 0.7350 , 0.5750 , 0.7400 , 0.6000 0.5250 , 0.4750 , 0.7400 , 0.1750 0.7000 , 0.7350 , 0.7900 , 0.3500
k ( r 4 j k ) 0.7300 , 0.5800 , 0.7500 , 0.5750 0.5500 , 0.5500 , 0.6500 , 0.5250 0.7600 , 0.7900 , 0.7400 , 0.5500
Table 8. Dependent degree with nonlinear function of SNNs.
Table 8. Dependent degree with nonlinear function of SNNs.
Expert
d 1 d 2 d 3
k ( r 1 j k ) 0.8234 , 0.7415 , 0.8503 , 0.7855 0.9529 , 0.2603 , 0.3663 , 0.2221 0.8402 , 0.5182 , 0.8565 , 0.7095
k ( r 2 j k ) 0.9416 , 0.8402 , 0.7095 , 0.8631 0.9038 , 0.9333 , 0.7095 , 0.8438 0.9333 , 0.9333 , 0.5908 , 0.7877
k ( r 3 j k ) 0.8470 , 0.7297 , 0.8503 , 0.7492 0.6885 , 0.6435 , 0.8503 , 0.2977 0.8230 , 0.8470 , 0.8820 , 0.5182
k ( r 4 j k ) 0.8436 , 0.7336 , 0.8570 , 0.7297 0.7095 , 0.7095 , 0.7877 , 0.6885 0.8624 , 0.8820 , 0.8503 , 0.7095
Table 9. The comprehensive dependent degree of alternative set S.
Table 9. The comprehensive dependent degree of alternative set S.
s 1 s 2 s 3 s 4 Sorting Result
K ( a i ) (linear) 0.5591 0.7276 0.6193 0.6549 s 2 s 4 s 3 s 1
K ( a i ) (nonlinear α = 3.0 ) 0.6325 0.7928 0.6995 0.7367 s 2 s 4 s 3 s 1
K ( a i ) (nonlinear α = 2.0 ) 0.6811 0.8322 0.7500 0.7868 s 2 s 4 s 3 s 1
K ( a i ) (nonlinear α = 1.5 ) 0.7434 0.8778 0.8111 0.8453 s 2 s 4 s 3 s 1
K ( a i ) (nonlinear α = 1.2 ) 0.8323 0.9321 0.8886 0.9148 s 2 s 4 s 3 s 1
Table 10. The sorting result with different distribution functions.
Table 10. The sorting result with different distribution functions.
α = 2.0 s 1 s 2 s 3 s 4 Sorting Result
K ( a i ) (uniform) 0.6806 0.8318 0.7496 0.7864 s 2 s 4 s 3 s 1
K ( a i ) (normal) 0.6793 0.8300 0.7481 0.7848 s 2 s 4 s 3 s 1
K ( a i ) (triangular) 0.6811 0.8322 0.7500 0.7868 s 2 s 4 s 3 s 1
K ( a i ) (appro-triangular) 0.6808 0.8320 0.7498 0.7866 s 2 s 4 s 3 s 1
K ( a i ) (trapezoid 1) 0.6864 0.8362 0.7553 0.7919 s 2 s 4 s 3 s 1
K ( a i ) (trapezoid 2) 0.6748 0.8276 0.7439 0.7809 s 2 s 4 s 3 s 1
Table 11. The sorting result with different distribution functions.
Table 11. The sorting result with different distribution functions.
α = 1.2 s 1 s 2 s 3 s 4 Sorting Result
K ( a i ) (uniform) 0.8316 0.9319 0.8882 0.9144 s 2 s 4 s 3 s 1
K ( a i ) (normal) 0.8303 0.9297 0.8864 0.9124 s 2 s 4 s 3 s 1
K ( a i ) (triangular) 0.8323 0.9321 0.8886 0.9148 s 2 s 4 s 3 s 1
K ( a i ) (appro-triangular) 0.8318 0.9319 0.8884 0.9145 s 2 s 4 s 3 s 1
K ( a i ) (trapezoid 1) 0.8356 0.9339 0.8911 0.9169 s 2 s 4 s 3 s 1
K ( a i ) (trapezoid 2) 0.8234 0.9283 0.8844 0.9136 s 2 s 4 s 3 s 1
Table 12. A comparison of different methods.
Table 12. A comparison of different methods.
Sorting ResultBest OneWorst One
SNNWA [42] s 2 s 4 s 3 s 1 s 2 s 1
Entropy of Euclidean [48] s 2 s 4 s 3 s 1 s 2 s 1
SNEE [46] s 2 s 4 s 3 s 1 s 2 s 1
SNNCI [47] s 2 s 4 s 3 s 1 s 2 s 1
GSNNWA [45] s 2 s 4 s 3 s 1 s 2 s 1
the proposed method s 2 s 4 s 3 s 1 s 2 s 1

Share and Cite

MDPI and ACS Style

Xu, L.; Li, X.; Pang, C.; Guo, Y. Simplified Neutrosophic Sets Based on Interval Dependent Degree for Multi-Criteria Group Decision-Making Problems. Symmetry 2018, 10, 640. https://doi.org/10.3390/sym10110640

AMA Style

Xu L, Li X, Pang C, Guo Y. Simplified Neutrosophic Sets Based on Interval Dependent Degree for Multi-Criteria Group Decision-Making Problems. Symmetry. 2018; 10(11):640. https://doi.org/10.3390/sym10110640

Chicago/Turabian Style

Xu, Libo, Xingsen Li, Chaoyi Pang, and Yan Guo. 2018. "Simplified Neutrosophic Sets Based on Interval Dependent Degree for Multi-Criteria Group Decision-Making Problems" Symmetry 10, no. 11: 640. https://doi.org/10.3390/sym10110640

APA Style

Xu, L., Li, X., Pang, C., & Guo, Y. (2018). Simplified Neutrosophic Sets Based on Interval Dependent Degree for Multi-Criteria Group Decision-Making Problems. Symmetry, 10(11), 640. https://doi.org/10.3390/sym10110640

Note that from the first issue of 2016, this journal uses article numbers instead of page numbers. See further details here.

Article Metrics

Back to TopTop