Charged and Non-Charged Black Hole Solutions in Mimetic Gravitational Theory
Abstract
1. Introduction
2. Preliminaries of Mimetic Gravitational Theory
3. Spherically Symmetric Black Holes in Mimetic Gravity
4. Cylindrical Black Holes in Mimetic Gravity
5. Features of the Black Hole Solutions
- (i)
- There is a singularity at which is a true singularity for all the derived solutions.
- (ii)
- The Ricci scalar has a vanishing value for solutions (22) and constant value for solutions (18) and (28). As is clear from our previous discussion that all the non-charged and charged solutions in the frame of mimetic theory have no shift from GR. Therefore, in the next section, we are going to study the effect of the non-linear electrodynamics of the mimetic gravitational theory on the previous two spacetimes given by Equations (10) and (25).
6. New Black Holes with Non-Linear Electrodynamics in Mimetic Gravity
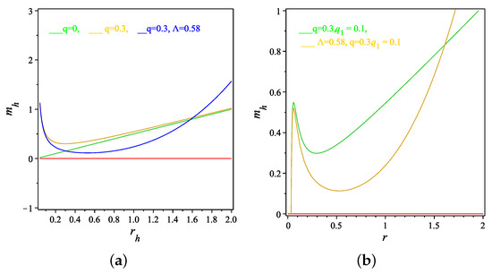
7. Features of the Non-Linear Electrodynamics Black Hole Solutions
7.1. Visualization of Black Holes Singularities
7.2. Energy Conditions
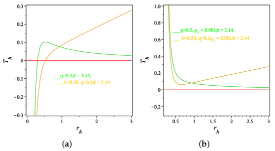
8. Thermodynamical Stability and Phase Transition
9. Discussion of the Main Results
Funding
Conflicts of Interest
References
- Hawking, S.W.; Ellis, G.F.R. The Large Scale Structure of Space-Time; Cambridge University Press: Cambridge, UK, 1973. [Google Scholar]
- Carroll, S.M. Spacetime and Geometry: An Introduction to General Relativity; Addison Wesley: Boston, MA, USA, 2004. [Google Scholar]
- Raine, D.J.; Thomas, E.G. Black Holes: An Introduction; Imperial College Press: London, UK, 2010. [Google Scholar]
- Chen, P.; Unruh, W.G.; Wu, C.H.; Yeom, D. Pre-Hawking radiation cannot prevent the formation of apparent horizon. Phys. Rev. D 20018, 97, 064045. [Google Scholar] [CrossRef]
- Adler, R.J.; Bjorken, J.D.; Chen, P.; Liu, J.S. Simple analytical models of gravitational collapse. Am. J. Phys. 2005, 73, 1148. [Google Scholar] [CrossRef]
- Hawking, S.W.; Penrose, R. The singularities of gravitational collapse and cosmology. Proc. R. Soc. Lond. A 1970, 314, 529. [Google Scholar] [CrossRef]
- Chen, C.Y.; Bouhmadi-López, M.; Chen, P. Black hole solutions in mimetic Born-Infeld gravity. Eur. Phys. J. C 2018, 78, 59. [Google Scholar] [CrossRef] [PubMed]
- Nojiri, S.; Odintsov, S.D. Modified gravity with negative and positive powers of curvature: Unification of inflation and cosmic acceleration. Phys. Rev. D 2001, 3, 123512. [Google Scholar] [CrossRef]
- Carroll, S.M.; Duvvuri, V.; Trodden, M.; Turner, M.S. Is cosmic speed-up due to new gravitational physics? Phys. Rev. D 2004, 70, 043528. [Google Scholar] [CrossRef]
- Nashed, G.G.L. Charged axially symmetric solution, energy and angular momentum in tetrad theory of gravitation. Int. J. Mod. Phys. A 2006, 21, 3181. [Google Scholar] [CrossRef]
- Dobado, A.; Maroto, A.L. Inflatonless inflation. Phys. Rev. D 1995, 52, 1895. [Google Scholar] [CrossRef]
- Dvali, G.; Gabadadze, G.; Porrati, M. 4D gravity on a brane in 5D Minkowski space. Phys. Lett. B 2000, 485, 208. [Google Scholar] [CrossRef]
- Nashed, G.G.L. Kerr Newman solution and energy in teleparallel equivalent of Einstein theory. Mod. Phys. Lett. A 2007, 2, 1047. [Google Scholar] [CrossRef]
- Cembranos, J.A.R. Dark Matter from R2 Gravity. Phys. Rev. Lett. 2009, 102, 141301. [Google Scholar] [CrossRef] [PubMed]
- Nashed, G.G.L. Charged dilaton, energy, momentum and angular-momentum in teleparallel theory equivalent to general relativity. Eur. Phys. J. C 2008, 54, 291. [Google Scholar] [CrossRef]
- Cembranos, J.A.R. The Newtonian limit at intermediate energies. Phys. Rev. D 2006, 73, 064029. [Google Scholar] [CrossRef]
- Cembranos, J.A.R.; Olive, K.A.; Peloso, M.; Uzan, J.P. Dark matter and higgs sector. J. Phys. Conf. Ser. 2009, 907, 25. [Google Scholar] [CrossRef]
- Nojiri, S.; Odintsov, S.D. Introduction to modified gravity and gravitational alternative for dark energy. Int. J. Geom. Meth. Mod. Phys. 2007, 4, 115. [Google Scholar] [CrossRef]
- Nashed, G.G.L. Brane world black holes in teleparallel theory equivalent to general relativity and their Killing vectors, energy, momentum and angular momentum. Chin. Phys. B 2010, 19, 020401. [Google Scholar] [CrossRef]
- Beltran, J.; Maroto, A.L. Cosmic vector for dark energy. Phys. Rev. D 2008, 78, 063005. [Google Scholar]
- Bohmer, C.G.; Messa, A.; Tamanini, N. Existence of relativistic stars in f(T) gravity. Class. Quantum Gravity 2011, 28, 245020. [Google Scholar] [CrossRef]
- Dong, H.; Wang, Y.B.; Meng, X.H. Extended Birkhoff’s theorem in f(T) gravity. Eur. Phys. J. C 2012, 72, 2002. [Google Scholar] [CrossRef]
- Nashed, G.G.L. FRW in quadratic form of f(T) gravitational theories. Gen. Relativ. Gravit. 2015, 47, 75. [Google Scholar] [CrossRef]
- Bamba, K.; Nashed, G.G.L.; EI Hanafy, W.; Ibraheem, S.K. Bounce inflation in f(T) cosmology: A unified inflaton-quintessence field. Phys. Rev. D 2016, 94, 083513. [Google Scholar] [CrossRef]
- Paliathanasis, A.; Basilakos, S.; Saridakis, E.N.; Capozziello, S.; Atazadeh, K.; Darabi, F.; Tsamparlis, M. New Schwarzschild-like solutions in f(T) gravity through Noether symmetries. Phys. Rev. D 2014, 89, 104042. [Google Scholar] [CrossRef]
- Nashed, G.G.L. Charged axially symmetric solution and energy in teleparallel theory equivalent to general relativity. Eur. Phys. J. C 2007, 49, 851. [Google Scholar] [CrossRef]
- Englert, F.; Truffin, C.; Gastmans, R. Conformal Invariance in Quantum Gravity. Nucl. Phys. B 1976, 117, 407. [Google Scholar] [CrossRef]
- Narlikar, J.V.; Kembhavi, A.K. Space-time singularities and conformal gravity. Lett. Nuovo Cim. 1977, 19, 517. [Google Scholar] [CrossRef]
- Hooft, G. A class of elementary particle models without any adjustable real parameters. Found. Phys. 2011, 41, 1829. [Google Scholar]
- Hooft, G. Quantum gravity without space-time singularities or horizons. Subnucl. Ser. 2011, 47, 251. [Google Scholar]
- Mannheim, P.D. Making the case for conformal gravity. Found. Phys. 2012, 42, 388. [Google Scholar] [CrossRef]
- Bars, I.; Steinhardt, P.; Turok, N. Local conformal symmetry in physics and cosmology. Phys. Rev. D 2014, 8. [Google Scholar] [CrossRef]
- Bars, I.; Chen, S.H.; Turok, N. Geodesically complete analytic solutions for a cyclic universe. Phys. Rev. D 2011, 84, 083513. [Google Scholar] [CrossRef]
- Prester, P.D. Curing black hole singularities with local scale invariance. Adv. Math. Phys. 2016, 2016, 6095236. [Google Scholar]
- Myung, Y.S.; Park, Y.J. Scale invariant power spectra from a Weyl-invariant scalar tensor theory. Eur. Phys. J. C 2016, 76, 79. [Google Scholar] [CrossRef]
- Oikonomou, V.K.; Vergados, J.D.; Moustakidis, C.C. Direct detection of dark matter rates for various wimps. Nucl. Phys. B 2007, 773, 19. [Google Scholar] [CrossRef]
- Sebastiani, L.; Vagnozzi, S.; Myrzakulov, R. Mimetic gravity: A review of recent developments and applications to cosmology and astrophysics. Adv. High Energy Phys. 2017, 2017, 3156915. [Google Scholar] [CrossRef]
- Barvinsky, A.O. Dark matter as a ghost free conformal extension of Einstein theory A.O. Barvinsky. J. Cosmol. Astropart. Phys. 2014, 1401, 014. [Google Scholar] [CrossRef]
- Chaichian, M.; Kluson, J.; Oksanen, M.; Tureanu, A. Mimetic dark matter, ghost instability and a mimetic tensor-vector-scalar gravity. J. High Energy Phys. 2014, 12, 102. [Google Scholar] [CrossRef]
- Chamseddine, A.H.; Mukhanov, V.; Vikman, A. Cosmology with mimetic matter. J. Cosmol. Astropart. Phys. 2014, 1406, 17. [Google Scholar] [CrossRef]
- Dutta, J.; Khyllep, W.; Saridakis, E.N.; Tamanini, N.; Vagnozzi, S. Cosmological dynamics of mimetic gravity. J. Cosmol. Astropart. Phys. 2018, 2, 41. [Google Scholar] [CrossRef]
- Nojiri, S.; Odintsov, S.D. Mimetic F(R) gravity: inflation, dark energy and bounce. Mod. Phys. Lett. A 2014, 29, 1450211. [Google Scholar] [CrossRef]
- Leon, G.; Saridakis, E.N. Dynamical behavior in mimetic F(R) gravity. J. Cosmol. Astropart. Phys. 2015, 1504, 31. [Google Scholar] [CrossRef]
- Astashenok, A.V.; Odintsov, S.D.; Oikonomou, V.K. Modified Gauss Bonnet gravity with the Lagrange multiplier constraint as mimetic theory. Class. Quantum Gravity 2015, 32, 185007. [Google Scholar] [CrossRef]
- Momeni, D.; Myrzakulov, R.; Gudekli, E. Cosmological viable mimetic f(R) and f(R, T) theories via Noether symmetry. Int. J. Geom. Meth. Mod. Phys. 2015, 12, 1550101. [Google Scholar] [CrossRef]
- Cognola, G.; Myrzakulov, R.; Sebastiani, L.; Vagnozzi, S.; Zerbini, S. Covariant Horava-like and mimetic Horndeski gravity: cosmological solutions and perturbations. Class. Quantum Gravity 2016, 33, 225014. [Google Scholar] [CrossRef]
- Mirzagholi, L.; Vikman, A. Imperfect dark matter. J. Cosmol. Astropart. Phys. 2015, 1506, 28. [Google Scholar] [CrossRef]
- Haghani, Z.; Harko, T.; Sepangi, H.R.; Shahidi, S. The scalar Einstein-aether theory. arXiv, 2014; arXiv:1404.7689. [Google Scholar]
- Rabochaya, Y.; Zerbini, S. A note on a mimetic scalar tensor cosmological model. Eur. Phys. J. C 2016, 76, 85. [Google Scholar] [CrossRef]
- Arroja, F.; Bartolo, N.; Karmakar, P.; Matarrese, S. The two faces of mimetic Horndeski gravity: disformal transformations and Lagrange multiplier. J. Cosmol. Astropart. Phys. 2015, 1509, 051. [Google Scholar] [CrossRef]
- Odintsov, S.D.; Oikonomou, V.K. Accelerating cosmologies and the phase structure of F(R) gravity with Lagrange multiplier constraints: A mimetic approach. Phys. Rev. D 2016, 93, 023517. [Google Scholar] [CrossRef]
- Lopez, M.B.; Chen, C.Y.; Chen, P. Primordial cosmology in mimetic born-infeld gravity. J. Cosmol. Astropart. Phys. 2017, 1711, 53. [Google Scholar] [CrossRef]
- Myrzakulov, R.; Sebastiani, L. Non-local F(R)-mimetic gravity. Astrophys. Space Sci. 2016, 361, 188. [Google Scholar] [CrossRef]
- Ramazanov, S. Initial conditions for imperfect dark matter. J. Cosmol. Astropart. Phys. 2015, 1512, 7. [Google Scholar] [CrossRef]
- Paston, S.A. Forms of action for perfect fluid in general relativity and mimetic gravity. Phys. Rev. D 2017, 96, 084059. [Google Scholar] [CrossRef]
- Hirano, S.; Nishi, S.; Kobayashi, T. Healthy imperfect dark matter from effective theory of mimetic cosmological perturbations. J. Cosmol. Astropart. Phys. 2017, 1707, 9. [Google Scholar] [CrossRef]
- Zheng, Y.; Shen, L.; Mou, Y.; Li, M. On (in) stabilities of perturbations in mimetic models with higher derivatives. J. Cosmol. Astropart. Phys. 2017, 1708, 40. [Google Scholar] [CrossRef]
- Cai, Y.; Piao, Y.S. Higher order derivative coupling to gravity and its cosmological implications. Phys. Rev. D 2017, 96, 124028. [Google Scholar] [CrossRef]
- Takahashi, K.; Kobayashi, T. Extended mimetic gravity: Hamiltonian analysis and gradient instabilities. J. Cosmol. Astropart. Phys. 2017, 11, 38. [Google Scholar] [CrossRef]
- Gorji, M.A.; Mansoori, S.A.H.; Firouzjahi, H. Higher derivative mimetic gravity. J. Cosmol. Astropart. Phys. 2018, 1, 20. [Google Scholar] [CrossRef]
- Kimura, R.; Naruko, A.; Yoshida, D. Higher derivative mimetic gravity. J. Cosmol. Astropart. Phys. 2017, 1701, 2. [Google Scholar] [CrossRef]
- Saridakis, E.N.; Tsoukalas, M. Bi-scalar modified gravity and cosmology with conformal invariance. J. Cosmol. Astropart. Phys. 2016, 1604, 17. [Google Scholar] [CrossRef]
- Chamseddine, A.H.; Mukhanov, V. Resolving cosmological singularities. J. Cosmol. Astropart. Phys. 2017, 1703, 9. [Google Scholar] [CrossRef]
- Chamseddine, A.H.; Mukhanov, V. Nonsingular black hole. Eur. Phys. J. C 2017, 77, 183. [Google Scholar] [CrossRef]
- Sadeghnezhad, N.; Nozari, K. Braneworld mimetic cosmology. Phys. Lett. B 2017, 769, 134. [Google Scholar] [CrossRef]
- Vagnozzi, S. Recovering a MOND-like acceleration law in mimetic gravity. Class. Quantum Gravity 2017, 34, 185006. [Google Scholar] [CrossRef]
- Nojiri, S.; Odintsov, S.D.; Oikonomou, V.K. Ghost-free F(R) gravity with lagrange multiplier constraint. Phys. Lett. B 2017, 775, 44. [Google Scholar] [CrossRef]
- Nojiri, S.; Odintsov, S.D.; Oikonomou, V.K. Modified gravity theories on a nutshell: inflation, bounce and late-time evolution. Phys. Rep. 2017, 692, 1. [Google Scholar] [CrossRef]
- Abishev, M.E.; Toktarbay, S.; Beissen, N.A.; Belissarova, F.B.; Khassanov, M.K.; Kudussov, A.S.; Abylayeva, A.Z. Effects of non-linear electrodynamics of vacuum in the magnetic quadrupole field of a pulsar. Mon. Not. R. Astron. Soc. 2018, 481, 36–43. [Google Scholar]
- Nojiri, S.; Odintsov, S.D. Regular multihorizon black holes in modified gravity with nonlinear electrodynamics. Phys. Rev. D 2017, 96, 104008. [Google Scholar] [CrossRef]
- Dymnikova, I.; Galaktionov, E. Regular rotating electrically charged black holes and solitons in non-linear electrodynamics minimally coupled to gravity. Class. Quantum Gravity 2015, 32, 165015. [Google Scholar] [CrossRef]
- Cataldo, M.; Garcia, A. Regular (2 + 1)-dimensional black holes within nonlinear electrodynamics. Phys. Rev. D 2000, 61, 084003. [Google Scholar] [CrossRef]
- Bronnikov, K.A. Regular magnetic black holes and monopoles from nonlinear electrodynamics. Phys. Rev. D 2001, 63, 044005. [Google Scholar] [CrossRef]
- Burinskii, A.; Hildebrandt, S.R. New type of regular black holes and particlelike solutions from nonlinear electrodynamics. Phys. Rev. D 2002, 65, 104017. [Google Scholar] [CrossRef]
- Matyjasek, J. Extremal limit of the regular charged black holes in nonlinear electrodynamics. Phys. Rev. D 2004, 70, 047504. [Google Scholar] [CrossRef]
- Dymnikova, I. Regular electrically charged vacuum structures with de Sitter centre in nonlinear electrodynamics coupled to general relativity. Class. Quantum Gravity 2004, 21, 4417. [Google Scholar] [CrossRef]
- Hayward, S.A. Formation and evaporation of nonsingular black holes. Phys. Rev. Lett. 2006, 96, 031103. [Google Scholar] [CrossRef] [PubMed]
- Bambi, C.; Modesto, L. Rotating regular black holes. Phys. Lett. B 2013, 721, 329. [Google Scholar] [CrossRef]
- Ghosh, S.G.; Maharaj, S.D. Radiating Kerr-like regular black hole. Eur. Phys. J. C 2015, 75, 7. [Google Scholar] [CrossRef]
- Toshmatov, B.; Ahmedov, B.; Abdujabbarov, A.; Stuchlik, Z. Rotating regular black hole solution. Phys. Rev. D 2014, 89, 104017. [Google Scholar] [CrossRef]
- Junior, E.L.B.; Rodrigues, M.E.; Houndjo, M.J.S. Regular black holes in f(T) gravity through a nonlinear electrodynamics source. J. Cosmol. Astropart. Phys. 2015, 1510, 60. [Google Scholar] [CrossRef]
- Nama, C.H. Non-linear charged dS black hole and its thermodynamics and phase. Eur. Phys. J. C 2018, 78, 418. [Google Scholar] [CrossRef]
- Chamseddine, A.H.; Mukhanov, V. Mimetic dark matter. J. High Energy Phys. 2013, 11, 135. [Google Scholar] [CrossRef]
- Awad, A.; Capozziello, S.; Nashed, G.G.L. d-dimensional charged Anti-de-Sitter black holes in f(T) gravity. J. High Energy Phys. 2017, 2017, 136. [Google Scholar] [CrossRef]
- Capozziello, S.; González, P.A.; Saridakis, E.N.; Vásquez, Y. Exact charged black-hole solutions in d-dimensional f(T) gravity: Torsion vs curvature analysis. J. High Energy Phys. 2013, 1302, 39. [Google Scholar] [CrossRef]
- Nojiri, S.; Odintsov, S.D.; Oikonomou, V.K. Viable mimetic completion of unified inflation-dark energy evolution in modified gravity. Phys. Rev. D 2016, 94, 104050. [Google Scholar] [CrossRef]
- Oikonomou, V.K. A note on Schwarzschild de Sitter black holes in mimetic F(R) gravity. Int. J. Mod. Phys. D 2016, 25, 1650078. [Google Scholar] [CrossRef]
- Nashed, G.G.L. Spherically symmetric charged dS solution in f(T) gravity theories. Phys. Rev. D 2013, 88, 104034. [Google Scholar] [CrossRef]
- Nashed, G.G.L. A special exact spherically symmetric solution in f(T) gravity theories. Gen. Relativ. Gravit. 2013, 45, 1887. [Google Scholar] [CrossRef]
- Nashed, G.G.L. Spherically symmetric charged black hole in conformal teleparallel equivalent of general relativity. Astrophys. Space Sci. 2010, 330, 173. [Google Scholar] [CrossRef]
- Plebański, J.F. Lectures on Non Linear Electrodynamics; Monograph of the Niels Bohr Institute Nordita: Copenhagen, Denmark, 1968. [Google Scholar]
- Salazar, H.; García, A.; Plebański, J. Duality rotations and type D solutions to Einstein equations with nonlinear electromagnetic sources. J. Math. Phys. 1987, 28, 2171. [Google Scholar] [CrossRef]
- Ayón-Beta, A.; García, A. New regular black hole solution from nonlinear electrodynamics. Phys. Lett. B 1999, 464, 25. [Google Scholar] [CrossRef]
- Brecher, D.; He, J.; Rozali, M. On charged black holes in anti-de Sitter space. J. High Energy Phys. 2005, 2005, 004. [Google Scholar] [CrossRef]
- Tipler, F. Singularities in conformally flat spacetimes. Phys. Lett. B 1977, 64, 8. [Google Scholar] [CrossRef]
- Clarke, C.; Krolak, A. Conditions for the occurence of strong curvature singularities. J. Geom. Phys. 1985, 2, 127. [Google Scholar] [CrossRef]
- Nashed, G.G.L. Isotropic stars in higher order torsion scalar theories. Adv. High Energy Phys. 2016, 2016, 7020162. [Google Scholar] [CrossRef]
- Hunter, C.J. Action of instantons with a nut charge. Phys. Rev. D 1998, 59, 024009. [Google Scholar] [CrossRef]
- Hawking, S.W.; Hunter, C.J.; Page, D.N. NUT charge, anti de Sitter space, and entropy. Phys. Rev. D 1999, 59, 044033. [Google Scholar] [CrossRef]
- Bekenstein, J.D. Black holes and the second law. Lett. Nuovo Cim. 1972, 4, 737. [Google Scholar] [CrossRef]
- Bekenstein, J.D. Black holes and entropy. Phys. Rev. D 1973, 7, 2333. [Google Scholar] [CrossRef]
- Gibbons, G.W.; Hawking, S.W. Action integrals and partition functions in quantum gravity. Phys. Rev. D 1977, 15, 2738. [Google Scholar] [CrossRef]
- Nouicer, K. Black hole thermodynamics to all orders in the Planck length in extra dimensions. Class. Quantum Gravity 2007, 24, 5917. [Google Scholar] [CrossRef]
- Dymnikova, I.; Korpusik, M. Thermodynamics of regular cosmological black holes with the de Sitter interior. Entropy 2011, 13, 1967–1991. [Google Scholar] [CrossRef]
- Chamblin, A.; Emparan, R.; Johnson, C.V.; Myers, R.C. Charged AdS black holes and catastrophic holography. Phys. Rev. D 1999, 60, 064018. [Google Scholar] [CrossRef]
- Wei, Y.-H. Thermodynamic properties of a regular black hole in gravity coupling to nonlinear electrodynamics. Entropy 2018, 20, 192. [Google Scholar] [CrossRef]
- Myung, Y.S.; Kim, K.W.; Park, Y.J. Thermodynamics of regular black hole. Gen. Relativ. Gravit. 2009, 41, 1051. [Google Scholar] [CrossRef]
- Hawking, S. Particle creation by black holes. Commun. Math. Phys. 1975, 43, 199. [Google Scholar] [CrossRef]
- Hawking, S. Thermodynamics of black holes in anti-de Sitter space. Commun. Math. Phys. 1983, 87, 577. [Google Scholar] [CrossRef]
- Ma, M.S.; Zhao, R. Stability of black holes based on horizon thermodynamics. Phys. Lett. B 2015, 751, 278. [Google Scholar] [CrossRef]
- Kim, W.; Kim, Y. Phase transition of quantum-corrected Schwarzschild black hole. Phys. Lett. B 2012, 718, 687. [Google Scholar] [CrossRef]
- Altamirano, N.; Kubiznak, D.; Mann, R.B.; Sherkatghanad, Z. Thermodynamics of rotating black holes and black rings: phase transitions and thermodynamic volume. Galaxies 2014, 2, 89–159. [Google Scholar] [CrossRef]
- Jawad, A.; Shahzad, M.U. Effects of thermal fluctuations on non-minimal regular magnetic black hole. Eur. Phys. J. C 2017, 77, 349. [Google Scholar] [CrossRef]
- Fernando, S. Bardeen de Sitter black holes. Int. J. Mod. Phys. D 2017, 26, 1750071. [Google Scholar] [CrossRef]
- Katsuragawa, T.; Nojiri, S. Stability and antievaporation of the Schwarzschild de Sitter black holes in bigravity. Phys. Rev. D 2015, 91, 084001. [Google Scholar] [CrossRef]
- Dymnikova, I.; Korpusik, M. Regular black hole remnants in de Sitter space. Phys. Lett. B 2010, 685, 12. [Google Scholar] [CrossRef]
- Man, J.; Cheng, H. The calculation of the thermodynamic quantities of the Bardeen black hole. Gen. Relativ. Gravit. 2014, 46, 1660. [Google Scholar] [CrossRef]
- Tharanath, R.; Suresh, J.; Kuriakose, V.C. Phase transitions and geometrothermodynamics of regular black holes. Gen. Relativ. Gravit. 2015, 47, 46. [Google Scholar] [CrossRef]
- Berej, W.; Matyjasek, J.; Tryniecki, D.; Woronowicz, M. Regular black holes in quadratic gravity. Gen. Relativ. Gravit. 2006, 38, 885. [Google Scholar] [CrossRef]
- Maluf, R.V.; Neves, J.C.S. Thermodynamics of a class of regular black holes with a generalized uncertainty principle. Phys. Rev. D 2018, 97, 104015. [Google Scholar] [CrossRef]
- Calmet, X.; Kuntz, I. What is modified gravity and how to differentiate it from particle dark matter? Eur. Phys. J. C 2017, 77, 132. [Google Scholar] [CrossRef]
- Davies, P.C.W. Thermodynamics of Black Holes. Proc. R. Soc. Lond. A 1977, 353, 499. [Google Scholar] [CrossRef]
- Davies, P.C.W. Thermodynamic phase transitions of Kerr-Newman black holes in de Sitter space. Class. Quantum Gravity 1989, 6, 1909. [Google Scholar] [CrossRef]
- Babichev, E.O.; Dokuchaev, V.I.; Eroshenko, Y.N. Black holes in the presence of dark energy. Phys. Usp. 2013, 56, 1155. [Google Scholar] [CrossRef]




© 2018 by the author. Licensee MDPI, Basel, Switzerland. This article is an open access article distributed under the terms and conditions of the Creative Commons Attribution (CC BY) license (http://creativecommons.org/licenses/by/4.0/).
Share and Cite
Nashed, G.G.L. Charged and Non-Charged Black Hole Solutions in Mimetic Gravitational Theory. Symmetry 2018, 10, 559. https://doi.org/10.3390/sym10110559
Nashed GGL. Charged and Non-Charged Black Hole Solutions in Mimetic Gravitational Theory. Symmetry. 2018; 10(11):559. https://doi.org/10.3390/sym10110559
Chicago/Turabian StyleNashed, Gamal G.L. 2018. "Charged and Non-Charged Black Hole Solutions in Mimetic Gravitational Theory" Symmetry 10, no. 11: 559. https://doi.org/10.3390/sym10110559
APA StyleNashed, G. G. L. (2018). Charged and Non-Charged Black Hole Solutions in Mimetic Gravitational Theory. Symmetry, 10(11), 559. https://doi.org/10.3390/sym10110559

