Geospatial Spatiotemporal Analysis of Tourism Facility Attractiveness and Tourism Vitality in Historic Districts: A Case Study of Suzhou Old City
Abstract
1. Introduction
2. Overview of the Study Area and Research Methods
2.1. Overview of the Study Area
2.2. Research Framework
2.3. Data Sources
2.4. Data Sources and Variable Description
2.4.1. Dependent Variable
2.4.2. Independent Variable
2.5. Research Methods
2.5.1. Assessment of Tourism POI Attractiveness Using Review Data
- (1)
 - Factor analysis
 
- (2)
 - Weighted kernel density estimation
 
2.5.2. Local Spatial Autocorrelation Between Tourism Attractiveness and Tourism Vitality
2.5.3. Using MGWR to Examine the Heterogeneous Effects of Tourism Attraction Derived from Tourism Service Facility POIs on Tourism Vitality
3. Results
3.1. Spatial Representation of Tourism Attractiveness
3.2. Spatiotemporal Patterns of Tourism Vitality
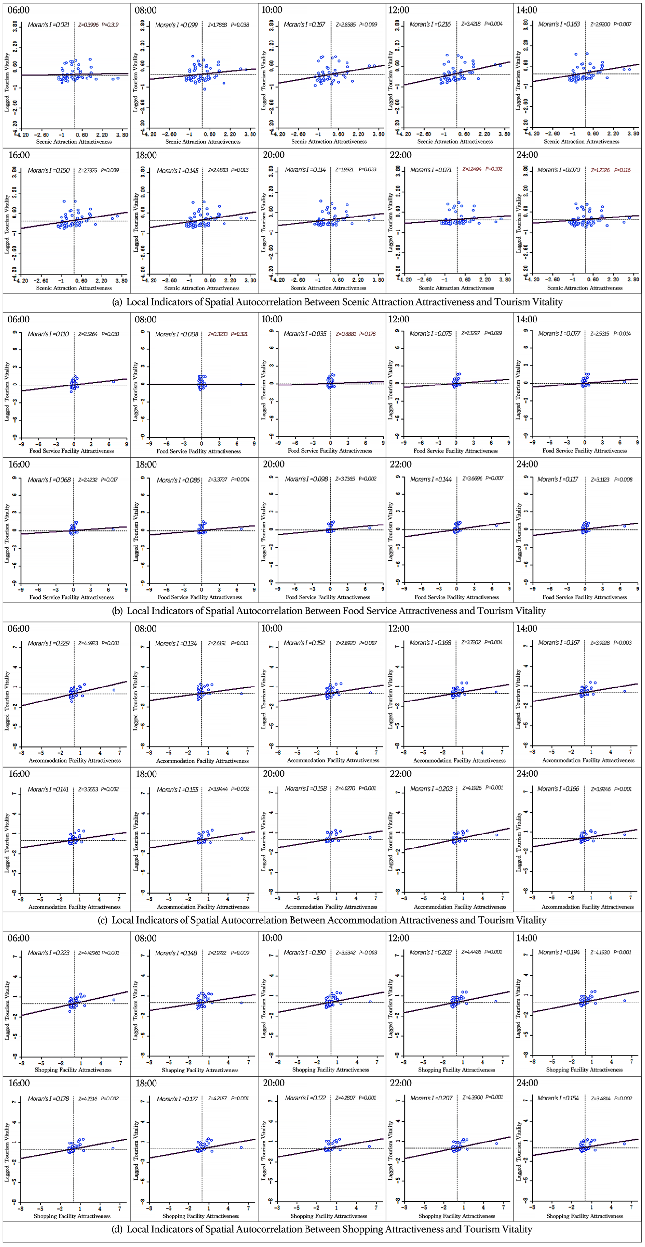
3.3. Spatial Autocorrelation Between Tourism Attractiveness and Tourism Vitality
3.4. Heterogeneous Impact of Tourism Facility Attractiveness on Tourism Vitality
4. Discussion
4.1. Discussion on the Relationship Between Tourism Service Facilities and Tourism Vitality
4.2. Planning Insights for Enhancing Tourism Vitality
5. Limitations and Future Prospects
Author Contributions
Funding
Data Availability Statement
Conflicts of Interest
References
- Van Oers, R.; Pereira Roders, A. Historic cities as model of sustainability. J. Cult. Herit. Manag. Sustain. Dev. 2012, 2, 4–14. [Google Scholar] [CrossRef]
 - Yang, J. Conservation of Historic and Cultural Cities Based on Urban Development Mechanisms. Urban Dev. Stud. 2009, 16, 139–142. (In Chinese) [Google Scholar]
 - World Tourism Organization (UNWTO) (Ed.) Charter for Sustainable Tourism. In UNWTO Declarations; UNWTO: Madrid, Spain, 1995; Volume 5, pp. 1–12. [Google Scholar] [CrossRef]
 - Richards, G. Cultural tourism: A review of recent research and trends. J. Hosp. Tour. Manag. 2018, 36, 12–21. [Google Scholar] [CrossRef]
 - Cai, J. Strategic thinking on the development of tourism in Haixi region in the era of high-speed rail. Dev. Stud. 2012, 29, 90–98. (In Chinese) [Google Scholar]
 - Richard, B. The Tourism Area Life Cycle; Channel View Publications: Bristol, UK, 2006; Volume 1. [Google Scholar]
 - Bertocchi, D.; Camatti, N. Tourism in Venice: Mapping overtourism and exploring solutions. In A Research Agenda for Urban Tourism; Edward Elgar Publishing: Cheltenham, UK, 2022; pp. 107–125. [Google Scholar]
 - Dodds, R.; Butler, R. The phenomena of overtourism: A review. Int. J. Tour. Cities 2019, 5, 519–528. [Google Scholar] [CrossRef]
 - García-Hernández, M.; De La Calle-Vaquero, M.; Yubero, C. Cultural Heritage and Urban Tourism: Historic City Centres under Pressure. Sustainability 2017, 9, 1346. [Google Scholar] [CrossRef]
 - Yang, L.; Durarte, C.M. Identifying tourist-functional relations of urban places through Foursquare from Barcelona. GeoJournal 2021, 86, 1–18. [Google Scholar] [CrossRef]
 - Genc, K.; Tûrkay, O.; Ulema, E. Tourism gentrification: Barcelona and Venice. Tur. Soc. 2022, 31, 125–140. [Google Scholar]
 - Roman, M.; Bury, K. The Tourist Attractiveness of Tokyo in the Opinion of Surveyed Tourists. Tour. Hosp. 2022, 3, 184–209. [Google Scholar] [CrossRef]
 - Wang, F.; Li, J.; Yu, F.; He, H.; Zhen, F. Space, function, and vitality in historic areas: The tourismification process and spatial order of Shichahai in Beijing. Int. J. Tour. Res. 2018, 20, 335–344. [Google Scholar] [CrossRef]
 - Wang, Z.; Wu, Q.; Wu, J.; Sun, J.; Zhao, J.; Xu, Z. A Study on Market Threshold of Planning Projects Based on The Philosophy of Post-Modern Tourism Consumption Culture—A Case Study of Tourism Project of Scenic Spot. Hum. Geogr. 2010, 25, 93–97. [Google Scholar]
 - Dulce, C.; Muntele, I.; Istrate, M. How Do Cultural Vitality and Socio-economic Factors Influence Urban Tourism? Evidence from Romanian Cities. In Cultural Sustainable Tourism; Vujicic, M.D., Kasim, A., Kostopoulou, S., Chica Olmo, J., Aslam, M., Eds.; Springer International Publishing: Cham, Switzerland, 2022; pp. 205–218. [Google Scholar]
 - Lupchian, M.-M.; Saghin, D. The cultural vitality of cities-a premise of tourism development? GEOREVIEW Sci. Ann. Stefan Cel Mare Univ. Suceava. Geogr. Ser. 2020, 30, 1–9. [Google Scholar] [CrossRef]
 - Su, M.M.; Wall, G. Chinese research on world heritage tourism. Asia Pac. J. Tour. Res. 2011, 16, 75–88. [Google Scholar] [CrossRef]
 - Chen, Y.-C.; Yao, H.-L.; Weng, S.-D.; Tai, Y.-F. An analysis of the optimal facility location of tourism industry in plain region by utilizing GIS. SAGE Open 2022, 12, 21582440221095020. [Google Scholar] [CrossRef]
 - Otto, J.E.; Ritchie, J.B. The service experience in tourism. Tour. Manag. 1996, 17, 165–174. [Google Scholar] [CrossRef]
 - Crouch, G.I.; Ritchie, J.B. Tourism, competitiveness, and societal prosperity. J. Bus. Res. 1999, 44, 137–152. [Google Scholar] [CrossRef]
 - Hall, C.M.; Page, S.J. The Geography of Tourism and Recreation: Environment, Place and Space; Routledge: London, UK, 2014. [Google Scholar]
 - Wang, Y.; You, Y.; Huang, J.; Yue, X.; Sun, G. Differences in urban daytime and night block vitality based on mobile phone signaling data: A case study of Kunming’s urban district. Open Geosci. 2024, 16, 20220596. [Google Scholar] [CrossRef]
 - Sulis, P.; Manley, E.; Zhong, C.; Batty, M. Using mobility data as proxy for measuring urban vitality. J. Spat. Inf. Sci. 2018, 16, 137–162. [Google Scholar] [CrossRef]
 - Zhang, Y.; Shang, K.; Shi, Z.; Wang, H.; Li, X. Spatial pattern of the vitality of Chinese characteristic towns: A perspective from nighttime lights. Land 2022, 11, 85. [Google Scholar] [CrossRef]
 - Kim, Y.-L. Seoul’s Wi-Fi hotspots: Wi-Fi access points as an indicator of urban vitality. Comput. Environ. Urban Syst. 2018, 72, 13–24. [Google Scholar] [CrossRef]
 - Jia, C.; Du, Y.; Wang, S.; Bai, T.; Fei, T. Measuring the vibrancy of urban neighborhoods using mobile phone data with an improved PageRank algorithm. Trans. GIS 2019, 23, 241–258. [Google Scholar] [CrossRef]
 - Li, W.; Chen, T.; Ma, X. Spatial hotspots’ characteristics and mechanisms of the urban tourism and leisure industry in Xi’an City. Sci. Geogr. Sin. 2020, 40, 437–446. [Google Scholar]
 - Zhao, M.; Liu, J. Study on Spatial Structure Characteristics of the Tourism and Leisure Industry. Sustainability 2021, 13, 13117. [Google Scholar] [CrossRef]
 - Bitaraf, A.; Saeedeh Zarabadi, Z.S.; Zabihi, H. Assessing the Criteria of Vitality in Historical Places with Emphasis on the Approach of Heritage Tourism Development Case Study: Historical Buildings of District 12 of Tehran. Urban Tour. 2022, 8, 103–115. [Google Scholar]
 - Xu, Y.; Rollo, J.; Jones, D.S.; Esteban, Y.; Tong, H.; Mu, Q. Towards sustainable heritage tourism: A space syntax-based analysis method to improve tourists’ spatial cognition in Chinese historic districts. Buildings 2020, 10, 29. [Google Scholar] [CrossRef]
 - Liu, J.; Yu, Y.; Chen, P.; Chen, B.Y.; Chen, L.; Chen, R. Facilitating urban tourism governance with crowdsourced big data: A framework based on Shenzhen and Jiangmen, China. Int. J. Appl. Earth Obs. Geoinf. 2023, 124, 103509. [Google Scholar] [CrossRef]
 - Marine-Roig, E. Measuring online destination image, satisfaction, and loyalty: Evidence from Barcelona districts. Tour. Hosp. 2021, 2, 62–78. [Google Scholar] [CrossRef]
 - Xue, B.; Li, J.; Xiao, X.; Xie, X.; Lu, C.; Ren, W.; Jiang, L. A review of human-land relationship research based on point of interest (POI) big data: Theory, methods and applications. Geogr. Geo-Inf. Sci. 2019, 35, 51–60. [Google Scholar]
 - Giglio, S.; Bertacchini, F.; Bilotta, E.; Pantano, P. Using social media to identify tourism attractiveness in six Italian cities. Tour. Manag. 2019, 72, 306–312. [Google Scholar] [CrossRef]
 - Kourtit, K.; Nijkamp, P.; Östh, J.; Türk, U. A Digital ‘Smiley’ Analysis of the Appreciation for Tourist Amenities by Visitors to London. Appl. Res. Qual. Life 2025, 12, 1–24. [Google Scholar] [CrossRef]
 - He, S.; Zhang, Z.; Yu, S.; Xia, C.; Tung, C.-L. Investigating the effects of urban morphology on vitality of community life circles using machine learning and geospatial approaches. Appl. Geogr. 2024, 167, 103287. [Google Scholar] [CrossRef]
 - Li, T.; Li, Z.; Cong, Z.; Mao, Y.; Zhang, P. Spatial Heterogeneity of Urban Vitality in Changsha Based on Multiple Methods. Mod. Urban Res. 2024, 39, 25–32. (In Chinese) [Google Scholar]
 - National Bureau of Statistics of China. National Tourism and Related Industry Statistical Classification; National Bureau of Statistics of China: Beijing, China, 2018. (In Chinese)
 - GB/T 18972-2017; Classification, Investigation and Evaluation of Tourism Resources. General Administration of Quality Supervision, Inspection and Quarantine of the People’s Republic of China, Standardization Administration of China: Beijing, China, 2017. (In Chinese)
 - Li, J.; Li, M.; Long, Y.; Dang, A. China Polycentric Cities Based on Baidu Heatmap. Shanghai Urban Plan. Rev. 2016, 3, 30–36. [Google Scholar]
 - Buhalis, D. Marketing the competitive destination of the future. Tour. Manag. 2000, 21, 97–116. [Google Scholar] [CrossRef]
 - Zhu, Y.; Wu, Q. Study on vitality theory of tourist destination. Geogr. Geo-Inf. Sci. 2008, 24, 100–104. [Google Scholar]
 - Walmsley, D.J.; Lewis, G.J. People and Environment: Behavioural Approaches in Human Geography; Routledge: London, UK, 2014. [Google Scholar]
 - Fotheringham, A.S.; Yang, W.; Kang, W. Multiscale geographically weighted regression (MGWR). Ann. Assoc. Am. Geogr. 2017, 107, 1247–1265. [Google Scholar] [CrossRef]
 - Chen, H.; Hu, L.; Liu, Z.; Chen, B. Spatial heterogeneity and interaction effect of urban blue and green spaces on housing prices. Int. J. Strat. Prop. Manag. 2024, 28, 302–319. [Google Scholar] [CrossRef]
 - Qin, L.; Zong, W.; Peng, K.; Zhang, R. Assessing Spatial Heterogeneity in Urban Park Vitality for a Sustainable Built Environment: A Case Study of Changsha. Land 2024, 13, 480. [Google Scholar] [CrossRef]
 - Wang, G.; Meng, Y. The clustering characteristics and driving mechanisms of tourist preference for 5a scenic spots from the dynamic spatio-temporal perspective: A case of jiangsu in eastern coastal area of China. Sustainability 2023, 15, 1626. [Google Scholar] [CrossRef]
 - Yan, G.; Gennian, S. Spatial correlation and heterogeneity analysis of A-class scenic spots in China. Econ. Geogr. 2022, 42, 194–204. [Google Scholar]
 - Lin, C.-H.; Morais, D.B. The spatial clustering effect of destination distribution on cognitive distance estimates and its impact on tourists’ destination choices. J. Travel Tour. Mark. 2008, 25, 382–397. [Google Scholar] [CrossRef]
 - Zhou, N.; Liang, Y.; Hang, Q. Dynamic spatial pattern and characteristics on tourism commercialization in the old town of Tongli. J. Nanjing Norm. Univ. Nat. Sci. Ed. 2013, 36, 155–159. [Google Scholar]
 - Karagöz, D.; Aktaş, S.; Kantar, Y. Spatial analysis of the relationship between tourist attractions and tourist flows in Turkey. Eur. J. Tour. Res. 2022, 31, 3102. [Google Scholar] [CrossRef]
 - Lu, G.; Huang, X.; Lv, S.; Wang, X. Multi-constraint and multi-objective trip recommendation based on internet information. Comput. Eng. Sci. 2016, 38, 163–170. [Google Scholar]
 - He, H.; Shen, L.; Wong, S.W.; Cheng, G.; Shu, T. A ‘load-carrier’ perspective approach for assessing tourism resource carrying capacity. Tour. Manag. 2023, 94, 104651. [Google Scholar] [CrossRef]
 - Richards, G. Evolving research perspectives on food and gastronomic experiences in tourism. Int. J. Contemp. Hosp. Manag. 2021, 33, 1037–1058. [Google Scholar] [CrossRef]
 - Soltani, M.; Nejad, N.S.; Azad, F.T.; Taheri, B.; Gannon, M.J. Food consumption experiences: A framework for understanding food tourists’ behavioral intentions. Int. J. Contemp. Hosp. Manag. 2021, 33, 75–100. [Google Scholar] [CrossRef]
 - Lin, B.; Wang, S.; Fu, X.; Yi, X. Beyond local food consumption: The impact of local food consumption experience on cultural competence, eudaimonia and behavioral intention. Int. J. Contemp. Hosp. Manag. 2023, 35, 137–158. [Google Scholar] [CrossRef]
 - Valenzuela-Ortiz, A.; Chica-Olmo, J.; Castaneda, J.-A. Location factors and agglomeration economies in the hotel industry: The case of Spain. Eur. J. Manag. Bus. Econ. 2025, 34, 1–22. [Google Scholar] [CrossRef]
 - Yoo, C.-K.; Yoon, D.; Park, E. Tourist motivation: An integral approach to destination choices. Tour. Rev. 2018, 73, 169–185. [Google Scholar] [CrossRef]
 - Kemperman, A.D.; Borgers, A.W.; Timmermans, H.J. Tourist shopping behavior in a historic downtown area. Tour. Manag. 2009, 30, 208–218. [Google Scholar] [CrossRef]
 - Zhang, B.; Luo, M.; Du, Q.; Yi, Z.; Dong, L.; Yu, Y.; Feng, J.; Lin, J. Spatial distribution and suitability evaluation of nighttime tourism in Kunming utilizing multi-source data. Heliyon 2023, 9, e16826. [Google Scholar] [CrossRef] [PubMed]
 - Eldridge, A.; Smith, A. Tourism and the night: Towards a broader understanding of nocturnal city destinations. J. Policy Res. Tour. Leis. Events 2019, 11, 371–379. [Google Scholar] [CrossRef]
 








| Tourism POI Type | POI Sample | Representative Categories | Number of POIs | 
|---|---|---|---|
| Scenic Attractions | Suzhou Museum | Classical Suzhou Gardens, Museums, Historical Sites… | 41 | 
| Food Services | Yaba Pan-Fried Buns | Snack Shops, Pastry Shops, Beverage Shops, Suzhou Cuisine Restaurants, Western-style Restaurants… | 2463 | 
| Accommodation Services | Wyndham Garden Hotel | Hotels, Hostels, Boutique Inns, Serviced Apartments… | 371 | 
| Shopping Services | Meiluo Mall | Gift Shops, Convenience Stores, Specialty Markets, Shopping Malls, Antique Shops… | 565 | 
| Tourism Service Category | KMO Value | 
|---|---|
| Scenic Attractions | 0.6804 | 
| Food Services | 0.8237 | 
| Accommodation Services | 0.6763 | 
| Shopping Services | 0.7421 | 
| Tourism Service Category | Indicator | Factor 1 | Factor 2 | Factor 3 | 
|---|---|---|---|---|
| Scenic Attractions | Eigenvalues | 2.903 | 2.728 | 1.373 | 
| Variance Explained | 36.28% | 34.10% | 17.16% | |
| Land Area | 0.767 | 0.005 | 0.581 | |
| Total Building Area | 0.006 | 0.187 | 0.875 | |
| Open Space Area | 0.799 | −0.025 | 0.479 | |
| Ticket Price | 0.917 | −0.013 | −0.082 | |
| Number of Reviews | 0.795 | 0.114 | −0.068 | |
| Overall Rating | 0.126 | 0.98 | 0.082 | |
| Service Rating | −0.091 | 0.964 | 0.138 | |
| Environmental Rating | 0.063 | 0.981 | 0.051 | |
| Food Services | Eigenvalues | 3.776 | 1.095 | 1.016 | 
| Variance Explained | 62.93% | 18.24% | 16.94% | |
| Taste Rating | 0.964 | 0.061 | 0.195 | |
| Service Rating | 0.98 | 0.073 | 0.098 | |
| Ambience Rating | 0.96 | 0.099 | 0.131 | |
| Number of Reviews | 0.221 | 0.058 | 0.973 | |
| Overall Rating | 0.943 | 0.056 | 0.243 | |
| Average Cost per Person | 0.091 | 0.994 | 0.054 | |
| Accommodation Services | Eigenvalues | 2.771 | 1.452 | 1.041 | 
| Variance Explained | 34.64% | 18.15% | 13.02% | |
| Year of Opening | −0.441 | 0.635 | −0.058 | |
| Hotel Classification | 0.672 | 0.163 | −0.108 | |
| Average Nightly Price | 0.107 | 0.597 | 0.031 | |
| Number of Beds | 0.773 | −0.142 | −0.232 | |
| Year of Last Renovation | −0.013 | −0.051 | 0.962 | |
| Number of Guests | 0.824 | 0.138 | 0.153 | |
| Number of Reviews | 0.867 | 0.114 | 0.126 | |
| Overall Rating | 0.293 | 0.782 | −0.076 | |
| Shopping Services  | Eigenvalues | 2.872 | 1.009 | 1.007 | 
| Variance Explained | 57.43% | 20.18% | 20.13% | |
| Average Cost per Person | 0.079 | 0.996 | 0.042 | |
| Number of Reviews | 0.112 | 0.043 | 0.992 | |
| Overall Rating | 0.979 | 0.083 | 0.088 | |
| Service Rating | 0.955 | 0.025 | 0.091 | |
| Ambience Rating | 0.983 | 0.078 | 0.08 | 
Disclaimer/Publisher’s Note: The statements, opinions and data contained in all publications are solely those of the individual author(s) and contributor(s) and not of MDPI and/or the editor(s). MDPI and/or the editor(s) disclaim responsibility for any injury to people or property resulting from any ideas, methods, instructions or products referred to in the content.  | 
© 2025 by the authors. Licensee MDPI, Basel, Switzerland. This article is an open access article distributed under the terms and conditions of the Creative Commons Attribution (CC BY) license (https://creativecommons.org/licenses/by/4.0/).
Share and Cite
Zhou, M.; Yang, J. Geospatial Spatiotemporal Analysis of Tourism Facility Attractiveness and Tourism Vitality in Historic Districts: A Case Study of Suzhou Old City. Land 2025, 14, 922. https://doi.org/10.3390/land14050922
Zhou M, Yang J. Geospatial Spatiotemporal Analysis of Tourism Facility Attractiveness and Tourism Vitality in Historic Districts: A Case Study of Suzhou Old City. Land. 2025; 14(5):922. https://doi.org/10.3390/land14050922
Chicago/Turabian StyleZhou, Mi, and Jianqiang Yang. 2025. "Geospatial Spatiotemporal Analysis of Tourism Facility Attractiveness and Tourism Vitality in Historic Districts: A Case Study of Suzhou Old City" Land 14, no. 5: 922. https://doi.org/10.3390/land14050922
APA StyleZhou, M., & Yang, J. (2025). Geospatial Spatiotemporal Analysis of Tourism Facility Attractiveness and Tourism Vitality in Historic Districts: A Case Study of Suzhou Old City. Land, 14(5), 922. https://doi.org/10.3390/land14050922
        
