Decoding the Role of Urban Green Space Morphology in Shaping Visual Perception: A Park-Based Study
Abstract
1. Introduction
2. Materials and Methods
2.1. Site and Visual Perception
2.2. Green Space and Image Classification
2.3. Quantifying Green Space Morphology
2.4. Covariates and Mediators
2.5. Statistical Analysis
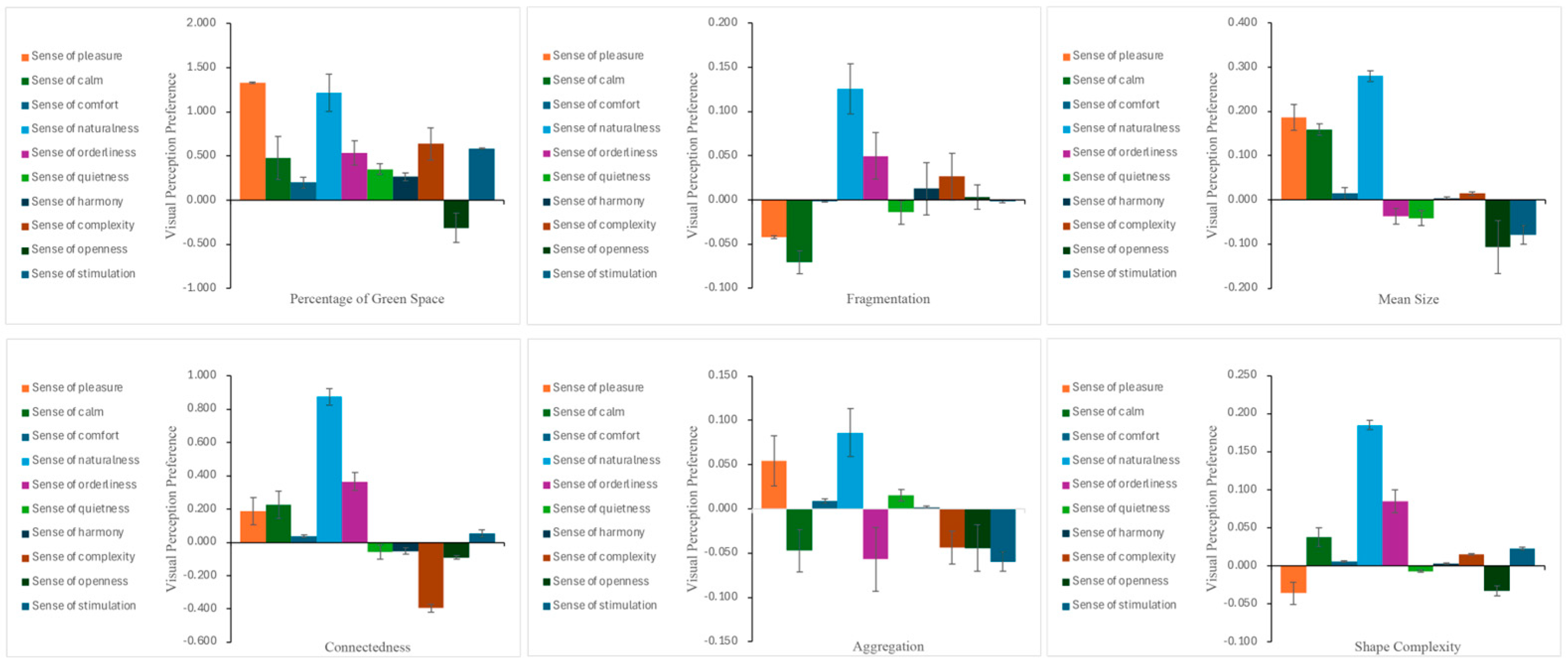
3. Results
4. Discussion
4.1. Overview
4.2. Green Space Morphology and Visual Perception Preferences
4.3. Mediating Effects and Potential Mechanisms
4.4. Practical Implications for Health and Urban Planning
4.5. Limitations and Future Research Directions
5. Conclusions
Author Contributions
Funding
Data Availability Statement
Acknowledgments
Conflicts of Interest
References
- Stansfeld, S.; Haines, M.; Brown, B. Noise and Health in the Urban Environment. Rev. Environ. Health 2000, 15, 43–82. [Google Scholar] [CrossRef]
- WHO. Coronavirus Disease (COVID-19): Post COVID-19 Condition. 2021. Available online: https://www.who.int/news-room/questions-and-answers/item/coronavirus-disease-(covid-19)-post-covid-19-condition (accessed on 12 December 2024).
- WHO. (n.d.) Post COVID-19 Condition. Available online: https://www.who.int/teams/health-care-readiness/post-covid-19-condition (accessed on 12 December 2024).
- Peng, Y.; He, H.; Lv, B.; Wang, J.; Qin, Q.; Song, J.; Liu, Y.; Su, W.; Song, H.; Chen, Q. Chronic impacts of natural infrastructure on the physical and psychological health of university students during and after COVID-19: A case study of Chengdu, China. Front. Public Health 2024, 12, 1508539. [Google Scholar] [CrossRef] [PubMed]
- Kajosaari, A.; Hasanzadeh, K.; Fagerholm, N.; Nummi, P.; Kuusisto-Hjort, P.; Kyttä, M. Predicting context-sensitive urban green space quality to support urban green infrastructure planning. Landsc. Urban Plan. 2024, 242, 104952. [Google Scholar] [CrossRef]
- Goodenough, A.; Urquhart, J.; Morrison, K.; Black, J.E.; Courtney, P.; Potter, C. Using a socially-engaged arts approach to exploring how diverse socio-cultural groups accessed, valued, engaged with and benefited from an urban treescape during the COVID-19 Pandemic. Urban For. Urban Green. 2024, 98, 128398. [Google Scholar] [CrossRef]
- Feng, J.; Lau, P.W.C.; Shi, L.; Huang, W.Y. Movement behaviors and posttraumatic stress disorder during the COVID-19 pandemic. J. Exerc. Sci. Fit. 2022, 20, 263–268. [Google Scholar] [CrossRef] [PubMed]
- Marquet, O.; Hirsch, J.A.; Kerr, J.; Jankowska, M.M.; Mitchell, J.; Hart, J.E.; Laden, F.; Hipp, J.A.; James, P. GPS-based activity space exposure to greenness and walkability is associated with increased accelerometer-based physical activity. Environ. Int. 2022, 165, 107317. [Google Scholar] [CrossRef]
- Niu, J.; Xiong, J.; Qin, H.; Hu, J.; Deng, J.; Han, G.; Yan, J. Influence of thermal comfort of green spaces on physical activity: Empirical study in an urban park in Chongqing, China. Build. Environ. 2022, 219, 109168. [Google Scholar] [CrossRef]
- Daniel, T.C. Whither scenic beauty? Visual landscape quality assessment in the 21st century. Landsc. Urban Plan. 2001, 54, 267–281. [Google Scholar] [CrossRef]
- Kaplan, S. Meditation, Restoration, and the Management of Mental Fatigue. Environ. Behav. 2001, 33, 480–506. [Google Scholar] [CrossRef]
- Arnberger, A.; Eder, R.; Preiner, S.; Hein, T.; Nopp-Mayr, U. Landscape Preferences of Visitors to the Danube Floodplains National Park, Vienna. Water 2021, 13, 2178. [Google Scholar] [CrossRef]
- Coisnon, T.; Musson, A.; Pene, S.D.; Rousselière, D. Disentangling public urban green space satisfaction: Exploring individual and contextual factors across European cities. Cities 2024, 152, 105154. [Google Scholar] [CrossRef]
- Long, N.; Tonini, B. Les espaces verts urbains: Étude exploratoire des pratiques et du ressenti des usagers. VertigO 2012, 12. [Google Scholar] [CrossRef]
- Bourdeau-Lepage, L. La nature en question. Aménager en ménageant l’homme et son milieu. Géocarrefour 2015, 90, 191–192. [Google Scholar] [CrossRef]
- Fisher, B.S.; Nasar, J.L. Fear of Crime in Relation to Three Exterior Site Features: Prospect, Refuge, and Escape. Environ. Behav. 1992, 24, 35–65. [Google Scholar] [CrossRef]
- Potgieter, L.J.; Gaertner, M.; O’Farrell, P.J.; Richardson, D.M. Does vegetation structure influence criminal activity? Insights from Cape Town, South Africa. Front. Biogeogr. 2019, 11, e42035. [Google Scholar] [CrossRef]
- Van den Berg, A.E.; Jorgensen, A.; Wilson, E.R. Evaluating restoration in urban green spaces: Does setting type make a difference? Landsc. Urban Plan. 2014, 127, 173–181. [Google Scholar] [CrossRef]
- Gulwadi, G.B.; Mishchenko, E.D.; Hallowell, G.; Alves, S.; Kennedy, M. The restorative potential of a university campus: Objective greenness and student perceptions in Turkey and the United States. Landsc. Urban Plan. 2019, 187, 36–46. [Google Scholar] [CrossRef]
- Natalia Rodriguez Castañeda Pineda-Pinto, M.; Gulsrud, N.M.; Cooper, C.; Mairéad O’Donnell Collier, M. Exploring the restorative capacity of urban green spaces and their biodiversity through an adapted One Health approach: A scoping review. Urban For. Urban Green. 2024, 100, 128489. [Google Scholar] [CrossRef]
- Gray, T.; Tracey, D.; Pigott, F. Restorative and regenerative green spaces for vulnerable communities in social housing: The impact of a Community Greening program. J. Environ. Psychol. 2024, 99, 102448. [Google Scholar] [CrossRef]
- Fisher, J.C.; Irvine, K.N.; Bicknell, J.E.; Hayes, W.M.; Fernandes, D.; Mistry, J.; Davies, Z.G. Perceived biodiversity, sound, naturalness and safety enhance the restorative quality and wellbeing benefits of green and blue space in a neotropical city. Sci. Total Environ. 2020, 755, 143095. [Google Scholar] [CrossRef] [PubMed]
- Grahn, P.; Stigsdotter, U.K. The relation between perceived sensory dimensions of urban green space and stress restoration. Landsc. Urban Plan. 2010, 94, 264–275. [Google Scholar] [CrossRef]
- Stigsdotter, U.K.; Corazon, S.S.; Sidenius, U.; Refshauge, A.D.; Grahn, P. Forest design for mental health promotion—Using perceived sensory dimensions to elicit restorative responses. Landsc. Urban Plan. 2017, 160, 1–15. [Google Scholar] [CrossRef]
- Wang, S.; Li, A. Identify the significant landscape characteristics for the perceived restorativeness of 8 perceived sensory dimensions in urban green space. Heliyon 2024, 10, e27925. [Google Scholar] [CrossRef]
- Miller, P.; Liu, B.; Tang, Z. Visual preference research: An approach to understanding landscape perception. Chin. Landsc. Archit. 2013, 29, 22–26, (In Chinese with English Summary). [Google Scholar]
- Hartig, T.; Staats, H. The need for psychological restoration as a determinant of environmental preferences. J. Environ. Psychol. 2006, 26, 215–226. [Google Scholar] [CrossRef]
- Wang, R.; Zhao, J.; Meitner, M.J.; Hu, Y.; Xu, X. Characteristics of urban green spaces in relation to aesthetic preference and stress recovery. Urban For. Urban Green. 2019, 41, 6–13. [Google Scholar] [CrossRef]
- Hull, R.B.; Stewart, W.P. Validity of photo-based scenic beauty judgments. J. Environ. Psychol. 1992, 12, 101–114. [Google Scholar] [CrossRef]
- Wu, Y.; Wang, L.; Yu, J.; Chen, P.; Wang, A. Improving the Restorative Potential of Living Environments by Optimizing the Spatial Luminance Distribution. Buildings 2023, 13, 1708. [Google Scholar] [CrossRef]
- Ihara, S. Information Theory for Continuous Systems; World Scientific: Singapore; River Edge, NJ, USA, 1993. [Google Scholar]
- Seo, H.J.; Milanfar, P. Static and space-time visual saliency detection by self-resemblance. J. Vis. 2009, 9, 15. [Google Scholar] [CrossRef] [PubMed]
- Biliciler, G.; Raghunathan, R.; Ward, A.F. Consumers as Naive Physicists: How Visual Entropy Cues Shift Temporal Focus and Influence Product Evaluations. J. Consum. Res. 2021, 48, 1010–1031. [Google Scholar] [CrossRef]
- Zhou, X.; Cen, Q.; Qiu, H. Effects of urban waterfront park landscape elements on visual behavior and public preference: Evidence from eye-tracking experiments. Urban For. Urban Green. 2023, 82, 127889. [Google Scholar] [CrossRef]
- Yin, J.; Ramanpong, J.; Chang, J.; Wu, C.-D.; Chao, P.-H.; Yu, C.-P. Effects of blue space exposure in urban and natural environments on psychological and physiological responses: A within-subject experiment. Urban For. Urban Green. 2023, 87, 128066. [Google Scholar] [CrossRef]
- Liu, Y.; Hu, M.; Zhao, B. Audio-visual interactive evaluation of the forest landscape based on eye-tracking experiments. Urban For. Urban Green. 2019, 46, 126476. [Google Scholar] [CrossRef]
- Zhang, L.; Dempsey, N.; Cameron, R. ‘Blossom Buddies’—How do flower colour combinations affect emotional response and influence therapeutic landscape design? Landsc. Urban Plan. 2024, 248, 105099. [Google Scholar] [CrossRef]
- Kaplan, S. Aesthetics, Affect, and Cognition: Environmental Preference from an Evolutionary Perspective. Environ. Behav. 1987, 19, 3–32. [Google Scholar] [CrossRef]
- Chang, H.-T.; Wu, C.-D.; Wang, J.-D.; Chen, P.-S.; Wang, Y.-J.; Su, H.-J. Green space structures and schizophrenia incidence in Taiwan: Is there an association? Environ. Res. Lett. 2020, 15, 094058. [Google Scholar] [CrossRef]
- Chang, H.-T.; Wu, C.-D.; Wang, J.-D.; Chen, P.-S.; Su, H.-J. Residential green space structures are associated with a lower risk of bipolar disorder: A nationwide population-based study in Taiwan. Environ. Pollut. 2021, 283, 115864. [Google Scholar] [CrossRef]
- Tsai, W.-L.; Leung, Y.-F.; McHale, M.R.; Floyd, M.F.; Reich, B.J. Relationships between urban green land cover and human health at different spatial resolutions. Urban Ecosyst. 2018, 22, 315–324. [Google Scholar] [CrossRef]
- Tyrväinen, L.; Ojala, A.; Korpela, K.; Lanki, T.; Tsunetsugu, Y.; Kagawa, T. The influence of urban green environments on stress relief measures: A field experiment. J. Environ. Psychol. 2014, 38, 1–9. [Google Scholar] [CrossRef]
- Shen, Y.-S.; Lung, S.-C.C. Mediation pathways and effects of green structures on respiratory mortality via reducing air pollution. Sci. Rep. 2017, 7, 42854. [Google Scholar] [CrossRef]
- Wang, H.; Tassinary, L.G. Effects of greenspace morphology on mortality at the neighbourhood level: A cross-sectional ecological study. Lancet Planet. Health 2019, 3, e460–e468. [Google Scholar] [CrossRef]
- Jackson, L.E.; Daniel, J.; McCorkle, B.; Sears, A.; Bush, K.F. Linking ecosystem services and human health: The Eco-Health Relationship Browser. Int. J. Public Health 2013, 58, 747–755. [Google Scholar] [CrossRef]
- van den Bosch, M.; Ode Sang, Å. Urban Natural Environments as nature-based Solutions for Improved Public Health—A Systematic Review of Reviews. Environ. Res. 2017, 158, 373–384. [Google Scholar] [CrossRef]
- Ha, J.; Kim, H.J.; With, K.A. Urban green space alone is not enough: A landscape analysis linking the spatial distribution of urban green space to mental health in the city of Chicago. Landsc. Urban Plan. 2022, 218, 104309. [Google Scholar] [CrossRef]
- Tan, C.L.Y.; Chang, C.-C.; Nghiem, L.T.P.; Zhang, Y.; Oh, R.R.Y.; Shanahan, D.F.; Lin, B.B.; Gaston, K.J.; Fuller, R.A.; Carrasco, L.R. The right mix: Residential urban green-blue space combinations are correlated with physical exercise in a tropical city-state. Urban For. Urban Green. 2021, 57, 126947. [Google Scholar] [CrossRef]
- Frühauf, A.; Schnitzer, M.; Schobersberger, W.; Weiss, G.; Kopp, M. Jogging, nordic walking and going for a walk—Inter-disciplinary recommendations to keep people physically active in times of the COVID-19 lockdown in Tyrol, Austria. Curr. Issues Sport Sci. (CISS) 2020, 5, 100. [Google Scholar] [CrossRef]
- Xiang, Y.; Hedblom, M.; Wang, S.; Qiu, L.; Gao, T. Indicator selection combining audio and visual perception of urban green spaces. Ecol. Indic. 2022, 137, 108772. [Google Scholar] [CrossRef]
- Ta, N.; Li, H.; Zhu, Q.; Wu, J. Contributions of the quantity and quality of neighborhood green space to residential satisfaction in suburban Shanghai. Urban For. Urban Green. 2021, 64, 127293. [Google Scholar] [CrossRef]
- Korpilo, S.; Virtanen, T.; Lehvävirta, S. Smartphone GPS tracking—Inexpensive and efficient data collection on recreational movement. Landsc. Urban Plan. 2017, 157, 608–617. [Google Scholar] [CrossRef]
- Karasov, O.; Vieira, A.A.B.; Külvik, M.; Chervanyov, I. Landscape coherence revisited: GIS-based mapping in relation to scenic values and preferences estimated with geolocated social media data. Ecol. Indic. 2020, 111, 105973. [Google Scholar] [CrossRef]
- Alattar, M.A.; Cottrill, C.; Beecroft, M. Public participation geographic information system (PPGIS) as a method for active travel data acquisition. J. Transp. Geogr. 2021, 96, 103180. [Google Scholar] [CrossRef]
- China China Daily. ‘Park City’ Concept Leads Chengdu to Sustainable Development—Regional. 2021. Available online: http://www.chinadaily.com.cn/regional/2021-06/30/content_37545399.htm (accessed on 2 January 2025).
- Irvine, K.N.; Fuller, R.A.; Devine-Wright, P.; Tratalos, J.; Payne, S.R.; Warren, P.H.; Lomas, K.J.; Gaston, K.J. Ecological and psychological values of urban green space. In Dimensions of the Sustainable City; Springer: Dordrecht, The Netherlands, 2009. [Google Scholar]
- Tilt, J.H.; Unfried, T.M.; Roca, B. Using Objective and Subjective Measures of Neighborhood Greenness and Accessible Destinations for Understanding Walking Trips and BMI in Seattle, Washington. Am. J. Health Promot. 2007, 21 (Suppl. S4), 371–379. [Google Scholar] [CrossRef]
- Lu, Y. Using Google Street View to investigate the association between street greenery and physical activity. Landsc. Urban Plan. 2018, 191, 103435. [Google Scholar] [CrossRef]
- Lu, Y.; Yang, Y.; Sun, G.; Gou, Z. Associations between overhead-view and eye-level urban greenness and cycling behaviors. Cities 2019, 88, 10–18. [Google Scholar] [CrossRef]
- Yang, Y.; He, D.; Gou, Z.; Wang, R.; Liu, Y.; Lu, Y. Association between street greenery and walking behavior in older adults in Hong Kong. Sustain. Cities Soc. 2019, 51, 101747. [Google Scholar] [CrossRef]
- Anguelov, D.; Dulong, C.; Filip, D.; Frueh, C.; Lafon, S.; Lyon, R.; Ogale, A.; Vincent, L.; Weaver, J. Google Street View: Capturing the World at Street Level. Computer 2010, 43, 32–38. [Google Scholar] [CrossRef]
- Juliani, A.W.; Bies, A.J.; Boydston, C.R.; Taylor, R.P.; Sereno, M.E. Navigation performance in virtual environments varies with fractal dimension of landscape. J. Environ. Psychol. 2016, 47, 155–165. [Google Scholar] [CrossRef]
- Qin, X.; Yang, D.; Wangari, V.W. Quantitative characterization and evaluation of highway greening landscape spatial quality based on deep learning. Environ. Impact Assess. Rev. 2024, 107, 107559. [Google Scholar] [CrossRef]
- Molnarova, K.; Sklenicka, P.; Stiborek, J.; Svobodova, K.; Salek, M.; Brabec, E. Visual preferences for wind turbines: Location, numbers and respondent characteristics. Appl. Energy 2012, 92, 269–278. [Google Scholar] [CrossRef]
- Svobodova, K.; Sklenicka, P.; Molnarova, K.; Salek, M. Visual preferences for physical attributes of mining and post-mining landscapes with respect to the sociodemographic characteristics of respondents. Ecol. Eng. 2012, 43, 34–44. [Google Scholar] [CrossRef]
- Strumse, E. Demographic differences in the visual preferences for agrarian landscapes in western norway. J. Environ. Psychol. 1996, 16, 17–31. [Google Scholar] [CrossRef]
- Lindemann-Matthies, P.; Briegel, R.; Schüpbach, B.; Junge, X. Aesthetic preference for a Swiss alpine landscape: The impact of different agricultural land-use with different biodiversity. Landsc. Urban Plan. 2010, 98, 99–109. [Google Scholar] [CrossRef]
- Yamashita, S. Perception and evaluation of water in landscape: Use of Photo-Projective Method to compare child and adult residents’ perceptions of a Japanese river environment. Landsc. Urban Plan. 2002, 62, 3–17. [Google Scholar] [CrossRef]
- Vouligny, É.; Domon, G.; Ruiz, J. An assessment of ordinary landscapes by an expert and by its residents: Landscape values in areas of intensive agricultural use. Land Use Policy 2009, 26, 890–900. [Google Scholar] [CrossRef]
- Xiao, S.; Wei, T.; Ding, J.; Zhou, J.; Lu, X. Biological effects of negative air ions on human health and integrated multiomics to identify biomarkers: A literature review. Environ. Sci. Pollut. Res. 2023, 30, 69824–69836. [Google Scholar] [CrossRef] [PubMed]
- Yang, T.; Barnett, R.; Fan, Y.; Li, L. The effect of urban green space on uncertainty stress and life stress: A nationwide study of university students in China. Health Place 2019, 59, 102199. [Google Scholar] [CrossRef]
- Dzhambov, A.M. Residential green and blue space associated with better mental health: A pilot follow-up study in university students. Arch. Ind. Hyg. Toxicol. 2018, 69, 340–349. [Google Scholar] [CrossRef] [PubMed]
- Ode Sang, Å.; Knez, I.; Gunnarsson, B.; Hedblom, M. The effects of naturalness, gender, and age on how urban green space is perceived and used. Urban For. Urban Green. 2016, 18, 268–276. [Google Scholar] [CrossRef]
- Korpela, K.; Hartig, T. Restorative qualities of favorite places. J. Environ. Psychol. 1996, 16, 221–233. [Google Scholar] [CrossRef]
- Laumann, K.; Gärling, T.; Stormark, K.M. Selective attention and heart rate responses to natural and urban environments. J. Environ. Psychol. 2003, 23, 125–134. [Google Scholar] [CrossRef]
- Zhang, Z.; Zhao, Z. Women’s education and fertility in China. China Econ. Rev. 2023, 78, 101936. [Google Scholar] [CrossRef]
- Hou, J.; Wang, Y.; Zhang, X.; Qiu, L.; Gao, T. The effect of visibility on green space recovery, perception and preference. Trees For. People 2024, 16, 100538. [Google Scholar] [CrossRef]
- Masullo, M.; Maffei, L.; Pascale, A.; Senese, V.P.; De Stefano, S.; Chau, C.K. Effects of Evocative Audio-Visual Installations on the Restorativeness in Urban Parks. Sustainability 2021, 13, 8328. [Google Scholar] [CrossRef]
- Ha, J.; Kim, H.J. The restorative effects of campus landscape biodiversity: Assessing visual and auditory perceptions among university students. Urban For. Urban Green. 2021, 64, 127259. [Google Scholar] [CrossRef]
- Dzhambov, A.M.; Browning, M.H.E.M.; Markevych, I.; Hartig, T.; Lercher, P. Analytical approaches to testing pathways linking greenspace to health: A scoping review of the empirical literature. Environ. Res. 2020, 186, 109613. [Google Scholar] [CrossRef] [PubMed]
- Hao, J.; Gao, T.; Qiu, L. How do species richness and colour diversity of plants affect public perception, preference and sense of restoration in urban green spaces? Urban For. Urban Green. 2024, 100, 128487. [Google Scholar] [CrossRef]
- Huang, C.; Wei, F.; Qiu, S.; Cao, X.; Lu, C.; Xu, J.; Gao, J.; Lin, Q. Interpreting regenerated post-industrial lands as green spaces: Comparing public perceptions of post-industrial landscapes using human factor design framework. Ecol. Indic. 2023, 157, 111282. [Google Scholar] [CrossRef]
- Zhao, K.; Tan, R. Understanding the structure of public perceptions towards urban green spaces: A mixed-method investigation. Urban For. Urban Green. 2024, 101, 128496. [Google Scholar] [CrossRef]
- Xu, T.; Aini, A.M.; Nordin, N.A. Utilizing Regression Model to Characterize the Impact of Urban Green Space Features on the Subjective Well-being of Older Adults. Heliyon 2024, 10, e35567. [Google Scholar] [CrossRef] [PubMed]
- Zhang, Q.; Rui, J.; Wu, Y. Encouraging cycling through the improvement of streetscape perception: A bottom-up investigation into the relationship between street greening and bicycling volume. Appl. Geogr. 2024, 171, 103388. [Google Scholar] [CrossRef]
- Sakamoto, K.; Inoue, S.; Ishii, H.; Watanabe, S.; Nakamura, K.; Bolthouse, G.; Kawazoe, Y.; Yokohari, M. The treachery of green images? Using modular green system to analyse the gap between image perceptions and greenspace user behaviour. Urban For. Urban Green. 2024, 100, 128465. [Google Scholar] [CrossRef]
- Qu, S.; Ma, R. Exploring Multi-Sensory Approaches for Psychological Well-Being in Urban Green Spaces: Evidence from Edinburgh’s Diverse Urban Environments. Land 2024, 13, 1536. [Google Scholar] [CrossRef]
- Ghasaban, M.; Mirjalili, P.; Yeganeh, M. Integration of building envelope with open spaces and greenery to enhance thermal and visual comfort and energy efficiency in office buildings. Results Eng. 2025, 25, 103660. [Google Scholar] [CrossRef]
- Teeuwen, R.; Milias, V.; Bozzon, A.; Psyllidis, A. How well do NDVI and OpenStreetMap data capture people’s visual perceptions of urban greenspace? Landsc. Urban Plan. 2024, 245, 105009. [Google Scholar] [CrossRef]
- Ostoić, S.K.; Vuletić, D.; Kičić, M. Exploring the Negative Perceptions of Tree-based Urban Green Space. People’s Behaviour and Management are Crucial. Urban For. Urban Green. 2024, 370, 128539. [Google Scholar] [CrossRef]
- Namwinbown, T.; Imoro, Z.A.; Weobong, C.A.-A.; Tom-Dery, D.; Baatuuwie, B.N.; Aikins, T.K.; Poreku, G.; Lawer, E.A. Patterns of green space change and fragmentation in a rapidly expanding city of northern Ghana, West Africa. City Environ. Interact. 2024, 21, 100136. [Google Scholar] [CrossRef]
- Tian, Y.; Jim, C.Y.; Tao, Y.; Shi, T. Landscape ecological assessment of green space fragmentation in Hong Kong. Urban For. Urban Green. 2011, 10, 79–86. [Google Scholar] [CrossRef]
- Pimiento-Quiroga, N.A.; Prist, P.R.; Ibarra-Espinosa, S.; Barrozo, L.V.; Metzger, J.P. Air regulation service is affected by green areas cover and fragmentation: An analysis using demand, supply and flow during COVID-19 quarantine. Landsc. Urban Plan. 2024, 254, 105230. [Google Scholar] [CrossRef]
- Nazombe, K.; Nambazo, O. Monitoring and assessment of urban green space loss and fragmentation using remote sensing data in the four cities of Malawi from 1986 to 2021. Sci. Afr. 2023, 20, e01639. [Google Scholar] [CrossRef]
- Gozalo, G.R.; Morillas, J.M.B.; González, D.M. Perceptions and use of urban green spaces on the basis of size. Urban For. Urban Green. 2019, 46, 126470. [Google Scholar] [CrossRef]
- Chen, K.; Zhang, T.; Liu, F.; Zhang, Y.; Song, Y. How Does Urban Green Space Impact Residents’ Mental Health: A Literature Review of Mediators. Int. J. Environ. Res. Public Health 2021, 18, 11746. [Google Scholar] [CrossRef]
- Hu, T.; Wu, J. Shaping the general resilience of green infrastructure through integrating structures, functions, and connections. J. Environ. Manag. 2024, 369, 122294. [Google Scholar] [CrossRef] [PubMed]
- van Heezik, Y.; Freeman, C.; Falloon, A.; Buttery, Y.; Heyzer, A. Relationships between childhood experience of nature and green/blue space use, landscape preferences, connection with nature and pro-environmental behavior. Landsc. Urban Plan. 2021, 213, 104135. [Google Scholar] [CrossRef]
- Wilson, B.; Neale, C.; Roe, J. Urban green space access, social cohesion, and mental health outcomes before and during COVID-19. Cities 2024, 152, 105173. [Google Scholar] [CrossRef]
- Wan, C.; Shen, G.Q.; Choi, S. Underlying relationships between public urban green spaces and social cohesion: A systematic literature review. City Cult. Soc. 2021, 24, 100383. [Google Scholar] [CrossRef]
- Liu, Q.; Zhu, Z.; Zeng, X.; Zhuo, Z.; Ye, B.; Fang, L.; Huang, Q.; Lai, P. The impact of landscape complexity on preference ratings and eye fixation of various urban green space settings. Urban For. Urban Green. 2021, 66, 127411. [Google Scholar] [CrossRef]
- Yu, M.; Chen, J.; Qian, J.; Yuan, Q.; Fan, H.; Shan, G. Effects of color temperature and time gradients on visual fatigue recovery in closed cabin. Adv. Des. Res. 2024, 2, 45–54. [Google Scholar] [CrossRef]
- Hao, J.; Li, Y.; Hu, T.; Ma, Y.; Wang, X.; Liu, J.; Gao, T.; Qiu, L. Vegetation diversity in structure, species or colour: Coupling effects of the different characteristics of urban green spaces on preference and perceived restoration. Ecol. Indic. 2024, 169, 112897. [Google Scholar] [CrossRef]
- Jiao, M.; Zhou, W.; Zheng, Z.; Yan, J.; Wang, J. Optimizing the shade potential of trees by accounting for landscape context. Sustain. Cities Soc. 2021, 70, 102905. [Google Scholar] [CrossRef]
- Labib, S.M.; Lindley, S.; Huck, J.J. Spatial dimensions of the influence of urban green-blue spaces on human health: A systematic review. Environ. Res. 2020, 180, 108869. [Google Scholar] [CrossRef]
- Markevych, I.; Schoierer, J.; Hartig, T.; Chudnovsky, A.; Hystad, P.; Dzhambov, A.M.; de Vries, S.; Triguero-Mas, M.; Brauer, M.; Nieuwenhuijsen, M.J.; et al. Exploring pathways linking greenspace to health: Theoretical and methodological guidance. Environ. Res. 2017, 158, 301–317. [Google Scholar] [CrossRef]
- Ricciardi, E.; Spano, G.; Lopez, A.; Tinella, L.; Clemente, C.; Elia, G.; Dadvand, P.; Sanesi, G.; Bosco, A.; Caffò, A.O. Long-Term Exposure to Greenspace and Cognitive Function during the Lifespan: A Systematic Review. Int. J. Environ. Res. Public Health 2022, 19, 11700. [Google Scholar] [CrossRef]
- Yin, Y.; Shao, Y.; Meng, Y.; Hao, Y. The effects of the natural visual-aural attributes of urban green spaces on human behavior and emotional response. Front. Psychol. 2023, 14, 1186806. [Google Scholar] [CrossRef] [PubMed]
- Chen, T.; Wang, L.; Huang, B.; Yu, J.; Wu, Y. Pursued Spatial Perception benefit considering Attractiveness and Cognitive Load: Appropriate Visual Complexity of Indoor Commercial Space. J. Build. Eng. 2024, 98, 111144. [Google Scholar] [CrossRef]
- Lou, X.; Ito, K.; Li, L.M.W. Rethinking environmental values in psychology from the perspective of anthropocentrism. J. Environ. Psychol. 2025, 101, 102518. [Google Scholar] [CrossRef]
- Gong, C.; Yang, R.; Li, S. The role of urban green space in promoting health and well-being is related to nature connectedness and biodiversity: Evidence from a two-factor mixed-design experiment. Landsc. Urban Plan. 2024, 245, 105020. [Google Scholar] [CrossRef]
- Coon, J.T.; Boddy, K.; Stein, K.; Whear, R.; Barton, J.; Depledge, M. Does participating in physical activity in outdoor natural environments have a greater effect on physical and psychological wellbeing than physical activity indoors? A systematic review. J. Epidemiol. Community Health 2011, 65, A1–A40. [Google Scholar] [CrossRef]
- Iungman, T.; Caballe, S.V.; Segura-Barrero, R.; Cirach, M.; Mueller, N.; Daher, C.; Villalba, G.; Barboza, E.P.; Nieuwenhuijsen, M. Co-benefits of nature-based solutions: A health impact assessment of the Barcelona Green Corridor (Eixos Verds) plan. Environ. Int. 2025, 196, 109313. [Google Scholar] [CrossRef] [PubMed]




| Variables | Mean | SD | Min. | Max. |
|---|---|---|---|---|
| NDVI | 0.50 | 0.08 | 0.34 | 0.61 |
| Fractal dimension | 1.87 | 0.07 | 1.63 | 1.97 |
| Land area (m2) | 56,715.60 | 5719.97 | 44,670.00 | 62,891.00 |
| Variables | Number | Percent | Mean | SD |
|---|---|---|---|---|
| Age, 18–40 | 150 | 27.893 | 6.097 | |
| 18–25 | 41 | 27% | ||
| 26–30 | 69 | 46% | ||
| 31–40 | 40 | 27% | ||
| Gender | ||||
| Women | 74 | 49% | ||
| Men | 76 | 51% | ||
| Social Background | ||||
| Educational training | 18 | 12% | ||
| Scientific research | 33 | 22% | ||
| Life services | 29 | 19% | ||
| Cultural recreation | 24 | 16% | ||
| Government service | 16 | 11% | ||
| Agroforestry | 30 | 20% |
Disclaimer/Publisher’s Note: The statements, opinions and data contained in all publications are solely those of the individual author(s) and contributor(s) and not of MDPI and/or the editor(s). MDPI and/or the editor(s) disclaim responsibility for any injury to people or property resulting from any ideas, methods, instructions or products referred to in the content. |
© 2025 by the authors. Licensee MDPI, Basel, Switzerland. This article is an open access article distributed under the terms and conditions of the Creative Commons Attribution (CC BY) license (https://creativecommons.org/licenses/by/4.0/).
Share and Cite
Peng, Y.; Li, Z.; Shah, A.M.; Lv, B.; Liu, S.; Liu, Y.; Li, X.; Song, H.; Chen, Q. Decoding the Role of Urban Green Space Morphology in Shaping Visual Perception: A Park-Based Study. Land 2025, 14, 495. https://doi.org/10.3390/land14030495
Peng Y, Li Z, Shah AM, Lv B, Liu S, Liu Y, Li X, Song H, Chen Q. Decoding the Role of Urban Green Space Morphology in Shaping Visual Perception: A Park-Based Study. Land. 2025; 14(3):495. https://doi.org/10.3390/land14030495
Chicago/Turabian StylePeng, Yi, Zongsheng Li, Aamir Mehmood Shah, Bingyang Lv, Shiliang Liu, Yuzhou Liu, Xi Li, Huixing Song, and Qibing Chen. 2025. "Decoding the Role of Urban Green Space Morphology in Shaping Visual Perception: A Park-Based Study" Land 14, no. 3: 495. https://doi.org/10.3390/land14030495
APA StylePeng, Y., Li, Z., Shah, A. M., Lv, B., Liu, S., Liu, Y., Li, X., Song, H., & Chen, Q. (2025). Decoding the Role of Urban Green Space Morphology in Shaping Visual Perception: A Park-Based Study. Land, 14(3), 495. https://doi.org/10.3390/land14030495

