An Improved Soil Moisture Downscaling Method Based on Soil Properties and Geographical Divisions over the Loess Plateau
Abstract
1. Introduction
2. Materials and Methods
2.1. Study Area and Data
2.1.1. Study Area
2.1.2. ERA5-Land Data
2.1.3. Soil Property Data
2.1.4. Auxiliary Data
2.1.5. Site Observation Data
2.2. Method
2.2.1. ERA5-Land Grid Soil Moisture Variability Calculations
2.2.2. Downscaling Methods
2.2.3. Assessment and Validation
3. Results
3.1. Importance Analysis of the Downscaling Factors
3.2. Estimation of Soil Moisture Variability
3.3. Spatial Distribution of Downscaled Soil Moisture
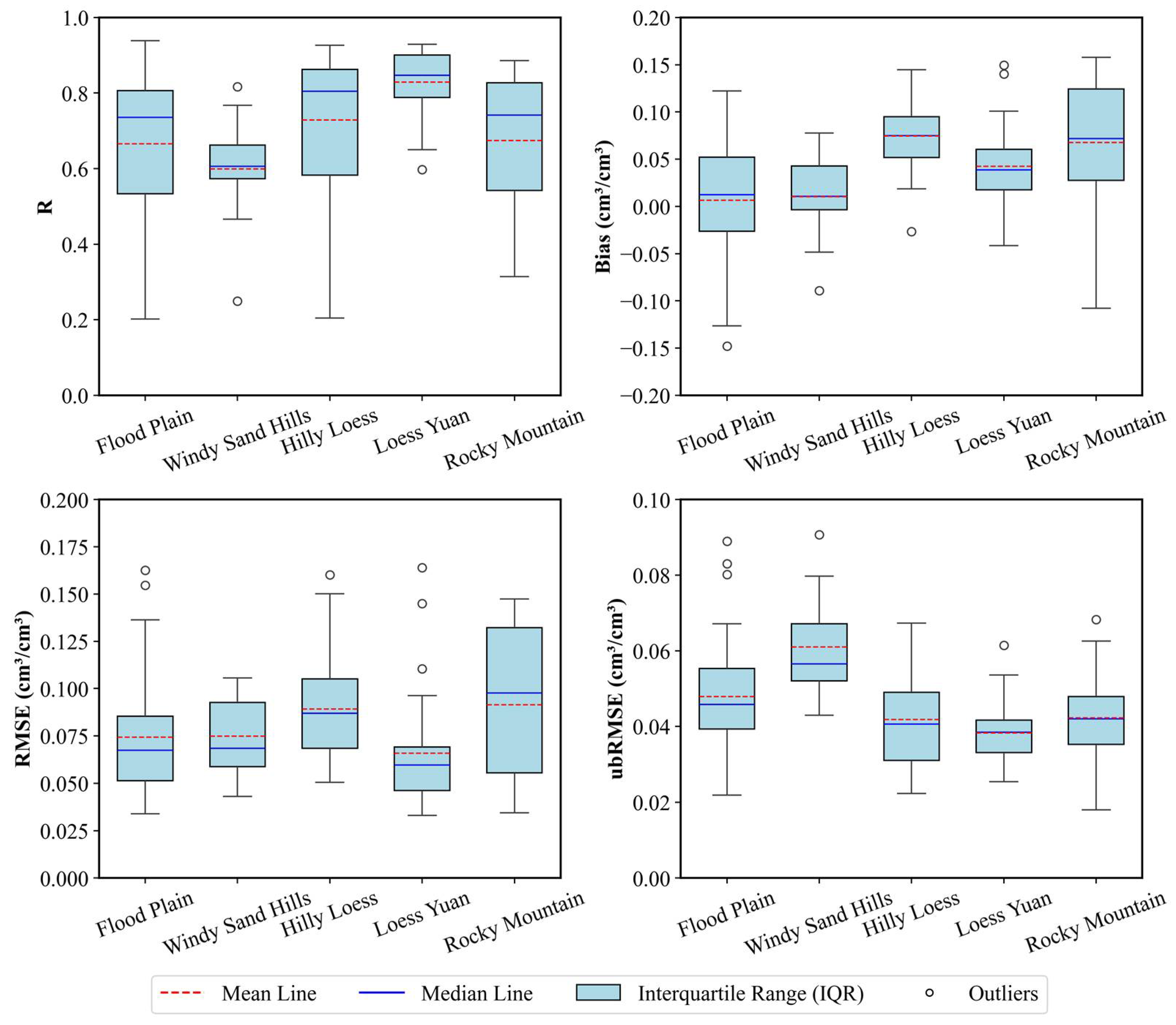
3.4. Accuracy Evaluation
4. Discussion
4.1. Selection and Impact of Environmental Factors
4.2. Improvement and Applicability of the Model
4.3. Limitations and Prospects
5. Conclusions
Author Contributions
Funding
Data Availability Statement
Conflicts of Interest
References
- Wang, Y.-J.; Qin, D.-H. Influence of Climate Change and Human Activity on Water Resources in Arid Region of Northwest China: An Overview. Adv. Clim. Change Res. 2017, 8, 268–278. [Google Scholar] [CrossRef]
- Zhang, Y.; Tariq, A.; Hughes, A.C.; Hong, D.; Wei, F.; Sun, H.; Sardans, J.; Peñuelas, J.; Perry, G.; Qiao, J. Challenges and Solutions to Biodiversity Conservation in Arid Lands. Sci. Total Environ. 2023, 857, 159695. [Google Scholar] [CrossRef] [PubMed]
- Singh, P.K.; Chudasama, H. Pathways for Climate Change Adaptations in Arid and Semi-Arid Regions. J. Clean. Prod. 2021, 284, 124744. [Google Scholar] [CrossRef]
- Huang, J.; Li, Y.; Fu, C.; Chen, F.; Fu, Q.; Dai, A.; Shinoda, M.; Ma, Z.; Guo, W.; Li, Z. Dryland Climate Change: Recent Progress and Challenges. Rev. Geophys. 2017, 55, 719–778. [Google Scholar] [CrossRef]
- Liu, C.; Li, W.; Xu, J.; Zhou, H.; Li, C.; Wang, W. Global Trends and Characteristics of Ecological Security Research in the Early 21st Century: A Literature Review and Bibliometric Analysis. Ecol. Indic. 2022, 137, 108734. [Google Scholar] [CrossRef]
- Liu, L.; Gudmundsson, L.; Hauser, M.; Qin, D.; Li, S.; Seneviratne, S.I. Soil Moisture Dominates Dryness Stress on Ecosystem Production Globally. Nat. Commun. 2020, 11, 4892. [Google Scholar] [CrossRef] [PubMed]
- Su, B.; Su, Z.; Shangguan, Z. Trade-off Analyses of Plant Biomass and Soil Moisture Relations on the Loess Plateau. Catena 2021, 197, 104946. [Google Scholar] [CrossRef]
- Li, B.-B.; Li, P.-P.; Zhang, W.-T.; Ji, J.-Y.; Liu, G.-B.; Xu, M.-X. Deep Soil Moisture Limits the Sustainable Vegetation Restoration in Arid and Semi-Arid Loess Plateau. Geoderma 2021, 399, 115122. [Google Scholar] [CrossRef]
- Sadri, S.; Pan, M.; Wada, Y.; Vergopolan, N.; Sheffield, J.; Famiglietti, J.S.; Kerr, Y.; Wood, E. A Global Near-Real-Time Soil Moisture Index Monitor for Food Security Using Integrated SMOS and SMAP. Remote Sens. Environ. 2020, 246, 111864. [Google Scholar] [CrossRef]
- Peng, J.; Loew, A.; Crueger, T. The Relationship between the Madden-Julian Oscillation and the Land Surface Soil Moisture. Remote Sens. Environ. 2017, 203, 226–239. [Google Scholar] [CrossRef]
- Lu, H.; Shi, J. Reconstruction and Analysis of Temporal and Spatial Variations in Surface Soil Moisture in China Using Remote Sensing. Chin. Sci. Bull. 2012, 57, 2824–2834. [Google Scholar] [CrossRef][Green Version]
- Singh, A.; Gaurav, K.; Sonkar, G.K.; Lee, C.-C. Strategies to Measure Soil Moisture Using Traditional Methods, Automated Sensors, Remote Sensing, and Machine Learning Techniques: Review, Bibliometric Analysis, Applications, Research Findings, and Future Directions. IEEE Access 2023, 11, 13605–13635. [Google Scholar] [CrossRef]
- Sharma, P.K.; Kumar, D.; Srivastava, H.S.; Patel, P. Assessment of Different Methods for Soil Moisture Estimation: A Review. J. Remote Sens. GIS 2018, 9, 57–73. [Google Scholar]
- Peng, J.; Loew, A.; Merlin, O.; Verhoest, N.E.C. A Review of Spatial Downscaling of Satellite Remotely Sensed Soil Moisture. Rev. Geophys. 2017, 55, 341–366. [Google Scholar] [CrossRef]
- Wang, C.; Wang, S.; Fu, B.; Yang, L.; Li, Z. Soil Moisture Variations with Land Use along the Precipitation Gradient in the North–South Transect of the Loess Plateau. Land Degrad. Dev. 2017, 28, 926–935. [Google Scholar] [CrossRef]
- Babaeian, E.; Sadeghi, M.; Jones, S.B.; Montzka, C.; Vereecken, H.; Tuller, M. Ground, Proximal, and Satellite Remote Sensing of Soil Moisture. Rev. Geophys. 2019, 57, 530–616. [Google Scholar] [CrossRef]
- Li, Z.-L.; Leng, P.; Zhou, C.; Chen, K.-S.; Zhou, F.-C.; Shang, G.-F. Soil Moisture Retrieval from Remote Sensing Measurements: Current Knowledge and Directions for the Future. Earth-Sci. Rev. 2021, 218, 103673. [Google Scholar] [CrossRef]
- Dirmeyer, P.A.; Gao, X.; Zhao, M.; Guo, Z.; Oki, T.; Hanasaki, N. GSWP-2: Multimodel Analysis and Implications for Our Perception of the Land Surface. Bull. Am. Meteorol. Soc. 2006, 87, 1381–1398. [Google Scholar] [CrossRef]
- Zawadzki, J.; Kędzior, M. Soil Moisture Variability over Odra Watershed: Comparison between SMOS and GLDAS Data. Int. J. Appl. Earth Obs. Geoinf. 2016, 45, 110–124. [Google Scholar] [CrossRef]
- Gevaert, A.I.; Parinussa, R.M.; Renzullo, L.J.; van Dijk, A.I.J.M.; de Jeu, R.A.M. Spatio-Temporal Evaluation of Resolution Enhancement for Passive Microwave Soil Moisture and Vegetation Optical Depth. Int. J. Appl. Earth Obs. Geoinf. 2016, 45, 235–244. [Google Scholar] [CrossRef]
- Fan, L.; Xiao, Q.; Wen, J.; Liu, Q.; Jin, R.; You, D.; Li, X. Mapping High-Resolution Soil Moisture over Heterogeneous Cropland Using Multi-Resource Remote Sensing and Ground Observations. Remote Sens. 2015, 7, 13273–13297. [Google Scholar] [CrossRef]
- Fang, B.; Lakshmi, V. Soil Moisture at Watershed Scale: Remote Sensing Techniques. J. Hydrol. 2014, 516, 258–272. [Google Scholar] [CrossRef]
- Hoehn, D.C.; Niemann, J.D.; Green, T.R.; Jones, A.S.; Grazaitis, P.J. Downscaling Soil Moisture over Regions That Include Multiple Coarse-Resolution Grid Cells. Remote Sens. Environ. 2017, 199, 187–200. [Google Scholar] [CrossRef]
- Kornelsen, K.C.; Cosh, M.H.; Coulibaly, P. Potential of Bias Correction for Downscaling Passive Microwave and Soil Moisture Data. J. Geophys. Res. Atmos. 2015, 120, 6460–6479. [Google Scholar] [CrossRef]
- Jiang, H.; Shen, H.; Li, H.; Lei, F.; Gan, W.; Zhang, L. Evaluation of Multiple Downscaled Microwave Soil Moisture Products over the Central Tibetan Plateau. Remote Sens. 2017, 9, 402. [Google Scholar] [CrossRef]
- Kaheil, Y.H.; Gill, M.K.; McKee, M.; Bastidas, L.A.; Rosero, E. Downscaling and Assimilation of Surface Soil Moisture Using Ground Truth Measurements. IEEE Trans. Geosci. Remote Sens. 2008, 46, 1375–1384. [Google Scholar] [CrossRef]
- Jin, Y.; Ge, Y.; Wang, J.; Chen, Y.; Heuvelink, G.B.M.; Atkinson, P.M. Downscaling AMSR-2 Soil Moisture Data with Geographically Weighted Area-to-Area Regression Kriging. IEEE Trans. Geosci. Remote Sens. 2018, 56, 2362–2376. [Google Scholar] [CrossRef]
- Piles, M.; Petropoulos, G.P.; Sánchez, N.; González-Zamora, Á.; Ireland, G. Towards Improved Spatio-Temporal Resolution Soil Moisture Retrievals from the Synergy of SMOS and MSG SEVIRI Spaceborne Observations. Remote Sens. Environ. 2016, 180, 403–417. [Google Scholar] [CrossRef]
- Zhao, W.; Li, A.; Jin, H.; Zhang, Z.; Bian, J.; Yin, G. Performance Evaluation of the Triangle-Based Empirical Soil Moisture Relationship Models Based on Landsat-5 TM Data and in Situ Measurements. IEEE Trans. Geosci. Remote Sens. 2017, 55, 2632–2645. [Google Scholar] [CrossRef]
- Li, J.; Wang, S.; Gunn, G.; Joosse, P.; Russell, H.A. A Model for Downscaling SMOS Soil Moisture Using Sentinel-1 SAR Data. Int. J. Appl. Earth Obs. Geoinf. 2018, 72, 109–121. [Google Scholar] [CrossRef]
- Molero, B.; Merlin, O.; Malbéteau, Y.; Al Bitar, A.; Cabot, F.; Stefan, V.; Kerr, Y.; Bacon, S.; Cosh, M.H.; Bindlish, R. SMOS Disaggregated Soil Moisture Product at 1 km Resolution: Processor Overview and First Validation Results. Remote Sens. Environ. 2016, 180, 361–376. [Google Scholar] [CrossRef]
- Naz, B.S.; Kurtz, W.; Montzka, C.; Sharples, W.; Goergen, K.; Keune, J.; Gao, H.; Springer, A.; Hendricks Franssen, H.-J.; Kollet, S. Improving Soil Moisture and Runoff Simulations at 3 km over Europe Using Land Surface Data Assimilation. Hydrol. Earth Syst. Sci. 2019, 23, 277–301. [Google Scholar] [CrossRef]
- Sahoo, A.K.; De Lannoy, G.J.; Reichle, R.H.; Houser, P.R. Assimilation and Downscaling of Satellite Observed Soil Moisture over the Little River Experimental Watershed in Georgia, USA. Adv. Water Resour. 2013, 52, 19–33. [Google Scholar] [CrossRef]
- Abbaszadeh, P.; Moradkhani, H.; Zhan, X. Downscaling SMAP Radiometer Soil Moisture Over the CONUS Using an Ensemble Learning Method. Water Resour. Res. 2019, 55, 324–344. [Google Scholar] [CrossRef]
- Senanayake, I.P.; Yeo, I.-Y.; Tangdamrongsub, N.; Willgoose, G.R.; Hancock, G.R.; Wells, T.; Fang, B.; Lakshmi, V.; Walker, J.P. An In-Situ Data Based Model to Downscale Radiometric Satellite Soil Moisture Products in the Upper Hunter Region of NSW, Australia. J. Hydrol. 2019, 572, 820–838. [Google Scholar] [CrossRef]
- Kheir, A.M.S.; Elnashar, A.; Mosad, A.; Govind, A. An Improved Deep Learning Procedure for Statistical Downscaling of Climate Data. Heliyon 2023, 9, e18200. [Google Scholar] [CrossRef]
- Song, P.; Huang, J.; Mansaray, L.R. An Improved Surface Soil Moisture Downscaling Approach over Cloudy Areas Based on Geographically Weighted Regression. Agric. For. Meteorol. 2019, 275, 146–158. [Google Scholar] [CrossRef]
- Xu, Y.; Wang, L.; Ma, Z.; Li, B.; Bartels, R.; Liu, C.; Zhang, X.; Dong, J. Spatially Explicit Model for Statistical Downscaling of Satellite Passive Microwave Soil Moisture. IEEE Trans. Geosci. Remote Sens. 2020, 58, 1182–1191. [Google Scholar] [CrossRef]
- Piles, M.; Camps, A.; Vall-Llossera, M.; Corbella, I.; Panciera, R.; Rudiger, C.; Kerr, Y.H.; Walker, J. Downscaling SMOS-Derived Soil Moisture Using MODIS Visible/Infrared Data. IEEE Trans. Geosci. Remote Sens. 2011, 49, 3156–3166. [Google Scholar] [CrossRef]
- Toride, K.; Sawada, Y.; Aida, K.; Koike, T. Toward High-Resolution Soil Moisture Monitoring by Combining Active-Passive Microwave and Optical Vegetation Remote Sensing Products with Land Surface Model. Sensors 2019, 19, 3924. [Google Scholar] [CrossRef]
- Wen, F.; Zhao, W.; Wang, Q.; Sánchez, N. A Value-Consistent Method for Downscaling SMAP Passive Soil Moisture with MODIS Products Using Self-Adaptive Window. IEEE Trans. Geosci. Remote Sens. 2019, 58, 913–924. [Google Scholar] [CrossRef]
- Lievens, H.; Tomer, S.K.; Al Bitar, A.; De Lannoy, G.J.; Drusch, M.; Dumedah, G.; Franssen, H.-J.H.; Kerr, Y.H.; Martens, B.; Pan, M. SMOS Soil Moisture Assimilation for Improved Hydrologic Simulation in the Murray Darling Basin, Australia. Remote Sens. Environ. 2015, 168, 146–162. [Google Scholar] [CrossRef]
- Im, J.; Park, S.; Rhee, J.; Baik, J.; Choi, M. Downscaling of AMSR-E Soil Moisture with MODIS Products Using Machine Learning Approaches. Environ. Earth Sci. 2016, 75, 1120. [Google Scholar] [CrossRef]
- Hassija, V.; Chamola, V.; Mahapatra, A.; Singal, A.; Goel, D.; Huang, K.; Scardapane, S.; Spinelli, I.; Mahmud, M.; Hussain, A. Interpreting Black-Box Models: A Review on Explainable Artificial Intelligence. Cogn. Comput. 2024, 16, 45–74. [Google Scholar] [CrossRef]
- Wang, Y.; Shao, M.; Liu, Z. Spatial variability of soil moisture at a regional scale in the Loess Plateau. Adv. Water Sci. 2012, 23, 310–316. (In Chinese) [Google Scholar] [CrossRef]
- Wu, D.; Wang, T.; Di, C.; Wang, L.; Chen, X. Investigation of Controls on the Regional Soil Moisture Spatiotemporal Patterns across Different Climate Zones. Sci. Total Environ. 2020, 726, 138214. [Google Scholar] [CrossRef] [PubMed]
- Zhu, H.D.; Shi, Z.H.; Fang, N.F.; Wu, G.L.; Guo, Z.L.; Zhang, Y. Soil Moisture Response to Environmental Factors Following Precipitation Events in a Small Catchment. Catena 2014, 120, 73–80. [Google Scholar] [CrossRef]
- Qu, W.; Bogena, H.R.; Huisman, J.A.; Vanderborght, J.; Schuh, M.; Priesack, E.; Vereecken, H. Predicting Subgrid Variability of Soil Water Content from Basic Soil Information. Geophys. Res. Lett. 2015, 42, 789–796. [Google Scholar] [CrossRef]
- Van Genuchten, M.T. A Closed-form Equation for Predicting the Hydraulic Conductivity of Unsaturated Soils. Soil Sci. Soc. Am. J. 1980, 44, 892–898. [Google Scholar] [CrossRef]
- Montzka, C.; Rötzer, K.; Bogena, H.R.; Sanchez, N.; Vereecken, H. A New Soil Moisture Downscaling Approach for SMAP, SMOS, and ASCAT by Predicting Sub-Grid Variability. Remote Sens. 2018, 10, 427. [Google Scholar] [CrossRef]
- Cao, Z.; Gao, H.; Nan, Z.; Zhao, Y.; Yin, Z. A Semi-Physical Approach for Downscaling Satellite Soil Moisture Data in a Typical Cold Alpine Area, Northwest China. Remote Sens. 2021, 13, 509. [Google Scholar] [CrossRef]
- Wang, X.; Jiao, F.; Li, X.; An, S. The Loess Plateau. In Multifunctional Land-Use Systems for Managing the Nexus of Environmental Resources; Zhang, L., Schwärzel, K., Eds.; Springer International Publishing: Cham, Switzerland, 2017; pp. 11–27. ISBN 978-3-319-54956-9. [Google Scholar]
- Peng, S.; Gang, C.; Cao, Y.; Chen, Y. Assessment of Climate Change Trends over the Loess Plateau in China from 1901 to 2100. Int. J. Climatol. 2018, 38, 2250–2264. [Google Scholar] [CrossRef]
- Yan, M.-J.; He, Q.-Y.; Yamanaka, N.; Du, S. Location, Geology and Landforms of the Loess Plateau. In Restoration and Development of the Degraded Loess Plateau, China; Tsunekawa, A., Liu, G., Yamanaka, N., Du, S., Eds.; Ecological Research Monographs; Springer: Tokyo, Japan, 2014; pp. 3–21. ISBN 978-4-431-54480-7. [Google Scholar]
- Wang, Q.; Fan, X.; Qin, Z.; Wang, M. Change Trends of Temperature and Precipitation in the Loess Plateau Region of China, 1961–2010. Glob. Planet. Change 2012, 92, 138–147. [Google Scholar] [CrossRef]
- Sun, Q.; Miao, C.; Duan, Q.; Wang, Y. Temperature and Precipitation Changes over the Loess Plateau between 1961 and 2011, Based on High-Density Gauge Observations. Glob. Planet. Change 2015, 132, 1–10. [Google Scholar] [CrossRef]
- Xu, X.; Huang, T. Spatiotemporal Trends and Variation of Precipitation over China’s Loess Plateau across 1957–2018. Atmosphere 2023, 14, 323. [Google Scholar] [CrossRef]
- Leng, P.; Song, X.; Duan, S.-B.; Li, Z.-L. Generation of Continuous Surface Soil Moisture Dataset Using Combined Optical and Thermal Infrared Images. Hydrol. Process. 2017, 31, 1398–1407. [Google Scholar] [CrossRef]
- Huang, Y.; Liu, K.; Wang, S.; Wang, D.; Yuan, F.; Wang, B.; Jing, W.; Wang, W. Comparison and assessment of remote sensing and model-based soil moisture products in typical regions of north China. Remote Sens. Technol. Appl. 2022, 37, 1414–1426. (In Chinese) [Google Scholar]
- Wösten, J.H.M.; Lilly, A.; Nemes, A.; Le Bas, C. Development and Use of a Database of Hydraulic Properties of European Soils. Geoderma 1999, 90, 169–185. [Google Scholar] [CrossRef]
- D’Odorico, P.; Caylor, K.; Okin, G.S.; Scanlon, T.M. On Soil Moisture–Vegetation Feedbacks and Their Possible Effects on the Dynamics of Dryland Ecosystems. J. Geophys. Res. 2007, 112, 2006JG000379. [Google Scholar] [CrossRef]
- Sandholt, I.; Rasmussen, K.; Andersen, J. A Simple Interpretation of the Surface Temperature/Vegetation Index Space for Assessment of Surface Moisture Status. Remote Sens. Environ. 2002, 79, 213–224. [Google Scholar] [CrossRef]
- Huang, Y.; Chen, L.; Fu, B.; Huang, Z.; Gong, J.; Lu, X. Effect of Land Use and Topography on Spatial Variability of Soil Moisture in a Gully Catchment of the Loess Plateau, China. Ecohydrology 2012, 5, 826–833. [Google Scholar] [CrossRef]
- Zhao, W.; Sánchez, N.; Lu, H.; Li, A. A Spatial Downscaling Approach for the SMAP Passive Surface Soil Moisture Product Using Random Forest Regression. J. Hydrol. 2018, 563, 1009–1024. [Google Scholar] [CrossRef]
- Chen, S.; She, D.; Zhang, L.; Guo, M.; Liu, X. Spatial Downscaling Methods of Soil Moisture Based on Multisource Remote Sensing Data and Its Application. Water 2019, 11, 1401. [Google Scholar] [CrossRef]
- Guevara, M.; Vargas, R. Downscaling Satellite Soil Moisture Using Geomorphometry and Machine Learning. PLoS ONE 2019, 14, e0219639. [Google Scholar] [CrossRef]
- Ranney, K.J.; Niemann, J.D.; Lehman, B.M.; Green, T.R.; Jones, A.S. A Method to Downscale Soil Moisture to Fine Resolutions Using Topographic, Vegetation, and Soil Data. Adv. Water Resour. 2015, 76, 81–96. [Google Scholar] [CrossRef]
- Liu, Y.; Jing, W.; Wang, Q.; Xia, X. Generating High-Resolution Daily Soil Moisture by Using Spatial Downscaling Techniques: A Comparison of Six Machine Learning Algorithms. Adv. Water Resour. 2020, 141, 103601. [Google Scholar] [CrossRef]
- Roberts, D.W.; Cooper, S.V. Land Classifications Based on Vegetation: Applications for Resource Management; General Technical Report INT-257; US Department of Agriculture Forest Service: Ogden, UT, USA, 1989. [Google Scholar]
- Maidment, D.R. Handbook of Hydrology; McGraw-Hill Inc.: New York, NY, USA, 1992. [Google Scholar]
- Veroustraete, F.; Li, Q.; Verstraeten, W.W.; Chen, X.; Bao, A.; Dong, Q.; Liu, T.; Willems, P. Soil Moisture Content Retrieval Based on Apparent Thermal Inertia for Xinjiang Province in China. Int. J. Remote Sens. 2012, 33, 3870–3885. [Google Scholar] [CrossRef]
- Chang, T.-Y.; Wang, Y.-C.; Feng, C.-C.; Ziegler, A.D.; Giambelluca, T.W.; Liou, Y.-A. Estimation of Root Zone Soil Moisture Using Apparent Thermal Inertia with MODIS Imagery over a Tropical Catchment in Northern Thailand. IEEE J. Sel. Top. Appl. Earth Obs. Remote Sens. 2012, 5, 752–761. [Google Scholar] [CrossRef]
- Liu, M.; Wang, Q.; Yi, J.; Zhang, H.; Liu, J.; Hu, W. Influence of Vegetation Type and Topographic Position on Volumetric Soil Water Content Dynamics and Similarity among Surface and Deep Soil Layers. Int. Soil Water Conserv. Res. 2023, 11, 183–196. [Google Scholar] [CrossRef]
- Zhu, Q.; Wang, Y.; Luo, Y. Improvement of Multi-layer Soil Moisture Prediction Using Support Vector Machines and Ensemble Kalman Filter Coupled with Remote Sensing Soil Moisture Datasets over an Agriculture Dominant Basin in China. Hydrol. Process. 2021, 35, e14154. [Google Scholar] [CrossRef]
- Merlin, O.; Malbéteau, Y.; Notfi, Y.; Bacon, S.; Er-Raki, S.; Khabba, S.; Jarlan, L. Performance Metrics for Soil Moisture Downscaling Methods: Application to DISPATCH Data in Central Morocco. Remote Sens. 2015, 7, 3783–3807. [Google Scholar] [CrossRef]
- Li, Q.; Shi, G.; Shangguan, W.; Nourani, V.; Li, J.; Li, L.; Huang, F.; Zhang, Y.; Wang, C.; Wang, D. A 1 km Daily Soil Moisture Dataset over China Using In Situ Measurement and Machine Learning. Earth Syst. Sci. Data 2022, 14, 5267–5286. [Google Scholar] [CrossRef]
- Vereecken, H.; Kamai, T.; Harter, T.; Kasteel, R.; Hopmans, J.; Vanderborght, J. Explaining Soil Moisture Variability as a Function of Mean Soil Moisture: A Stochastic Unsaturated Flow Perspective. Geophys. Res. Lett. 2007, 34, L22402. [Google Scholar] [CrossRef]
- Tan, W.-F.; Zhang, R.; Cao, H.; Huang, C.-Q.; Yang, Q.-K.; Wang, M.; Koopal, L.K. Soil Inorganic Carbon Stock under Different Soil Types and Land Uses on the Loess Plateau Region of China. Catena 2014, 121, 22–30. [Google Scholar] [CrossRef]
- Zhao, J.; Luo, X.; Ma, Y.; Shao, T.; Yue, Y. Soil Characteristics and New Formation Model of Loess on the Chinese Loess Plateau. Geosci. J. 2017, 21, 607–616. [Google Scholar] [CrossRef]
- Zhao, C.; Shao, M.; Jia, X.; Zhang, C. Particle Size Distribution of Soils (0–500 cm) in the Loess Plateau, China. Geoderma Reg. 2016, 7, 251–258. [Google Scholar] [CrossRef]
- Liu, J. Downscaling and Validating Satellite-Based Soil Moisture Products over the Maasai Mara in Kenya. Master’s Thesis, University of Twente, Enschede, The Netherlands, 2019. [Google Scholar]
- Das, N.N.; Entekhabi, D.; Njoku, E.G.; Shi, J.J.; Johnson, J.T.; Colliander, A. Tests of the SMAP Combined Radar and Radiometer Algorithm Using Airborne Field Campaign Observations and Simulated Data. IEEE Trans. Geosci. Remote Sens. 2013, 52, 2018–2028. [Google Scholar] [CrossRef]
- Choi, M.; Hur, Y. A Microwave-Optical/Infrared Disaggregation for Improving Spatial Representation of Soil Moisture Using AMSR-E and MODIS Products. Remote Sens. Environ. 2012, 124, 259–269. [Google Scholar] [CrossRef]
- Cowley, G.S.; Niemann, J.D.; Green, T.R.; Seyfried, M.S.; Jones, A.S.; Grazaitis, P.J. Impacts of Precipitation and Potential Evapotranspiration Patterns on Downscaling Soil Moisture in Regions with Large Topographic Relief. Water Resour. Res. 2017, 53, 1553–1574. [Google Scholar] [CrossRef]
- Kim, J.; Hogue, T.S. Improving Spatial Soil Moisture Representation through Integration of AMSR-E and MODIS Products. IEEE Trans. Geosci. Remote Sens. 2011, 50, 446–460. [Google Scholar] [CrossRef]
- Feng, X.; Vico, G.; Porporato, A. On the Effects of Seasonality on Soil Water Balance and Plant Growth. Water Resour. Res. 2012, 48, 2011WR011263. [Google Scholar] [CrossRef]
- Pepin, N.C.; Arnone, E.; Gobiet, A.; Haslinger, K.; Kotlarski, S.; Notarnicola, C.; Palazzi, E.; Seibert, P.; Serafin, S.; Schöner, W.; et al. Climate Changes and Their Elevational Patterns in the Mountains of the World. Rev. Geophys. 2022, 60, e2020RG000730. [Google Scholar] [CrossRef]
- Houze, R.A. Orographic Effects on Precipitating Clouds. Rev. Geophys. 2012, 50, 2011RG000365. [Google Scholar] [CrossRef]
- Ma, Y.; Hou, P.; Zhang, L.; Cao, G.; Sun, L.; Pang, S.; Bai, J. High-Resolution Quantitative Retrieval of Soil Moisture Based on Multisource Data Fusion with Random Forests: A Case Study in the Zoige Region of the Tibetan Plateau. Remote Sens. 2023, 15, 1531. [Google Scholar] [CrossRef]
- Duan, L.; Liu, T.; Wang, X.; Wang, G.; Ma, L.; Luo, Y. Spatio-Temporal Variations in Soil Moisture and Physicochemical Properties of a Typical Semiarid Sand-Meadow-Desert Landscape as Influenced by Land Use. Hydrol. Earth Syst. Sci. 2011, 15, 1865–1877. [Google Scholar] [CrossRef]
- Chen, L.; Huang, Z.; Gong, J.; Fu, B.; Huang, Y. The Effect of Land Cover/Vegetation on Soil Water Dynamic in the Hilly Area of the Loess Plateau, China. Catena 2007, 70, 200–208. [Google Scholar] [CrossRef]
- Gupta, S.; Hasler, J.K.; Alewell, C. Mining Soil Data of Switzerland: New Maps for Soil Texture, Soil Organic Carbon, Nitrogen, and Phosphorus. Geoderma Reg. 2024, 36, e00747. [Google Scholar] [CrossRef]










| Environmental Factors | NDVI | DEM | TRASP | SLOPE | FC | |
|---|---|---|---|---|---|---|
| Windy Sand Hills | R | 0.512 * | 0.077 * | −0.107 * | −0.088 * | 0.268 * |
| weight | 0.334 | 0.157 | 0.165 | 0.169 | 0.175 | |
| Flood Plain | R | 0.505 * | −0.353 * | −0.103 * | 0.349 * | 0.491 * |
| weight | 0.241 | 0.135 | 0.184 | 0.248 | 0.192 | |
| Loess Yuan | R | 0.364 * | 0.325 * | −0.133 * | 0.072 * | −0.148 |
| weight | 0.386 | 0.167 | 0.140 | 0.151 | 0.156 | |
| Hilly Loess | R | 0.539 * | 0.276 * | −0.165 * | 0.383 * | 0.098 * |
| weight | 0.405 | 0.164 | 0.125 | 0.131 | 0.174 | |
| Earth-rock Hills | R | 0.322 * | 0.058 * | −0.116 * | 0.027 * | 0.054 |
| weight | 0.336 | 0.161 | 0.170 | 0.162 | 0.170 | |
| Rocky Mountain | R | 0.389 * | 0.367 * | −0.157 * | 0.301 * | 0.229 * |
| weight | 0.289 | 0.230 | 0.158 | 0.142 | 0.181 | |
| Overall | R | 0.509 * | 0.342 * | −0.135 | 0.366 * | 0.284 * |
| weight | 0.301 | 0.235 | 0.146 | 0.140 | 0.178 | |
| Method | R | Bias (cm3/cm3) | RMSE (cm3/cm3) | ubRMSE (cm3/cm3) |
|---|---|---|---|---|
| Orig | 0.718 | 0.045 | 0.082 | 0.044 |
| TD | 0.716 | 0.044 | 0.081 | 0.044 |
| TDI | 0.718 | 0.044 | 0.081 | 0.044 |
| ID | 0.718 | 0.040 | 0.078 | 0.044 |
| IDI | 0.721 | 0.040 | 0.077 | 0.044 |
| IDI(GD) | 0.753 | 0.040 | 0.071 | 0.042 |
Disclaimer/Publisher’s Note: The statements, opinions and data contained in all publications are solely those of the individual author(s) and contributor(s) and not of MDPI and/or the editor(s). MDPI and/or the editor(s) disclaim responsibility for any injury to people or property resulting from any ideas, methods, instructions or products referred to in the content. |
© 2025 by the authors. Licensee MDPI, Basel, Switzerland. This article is an open access article distributed under the terms and conditions of the Creative Commons Attribution (CC BY) license (https://creativecommons.org/licenses/by/4.0/).
Share and Cite
Han, L.; Miao, Z.; Liu, Z.; Kang, H.; Zhang, H.; Gan, S.; Ren, Y.; Hu, G. An Improved Soil Moisture Downscaling Method Based on Soil Properties and Geographical Divisions over the Loess Plateau. Land 2025, 14, 410. https://doi.org/10.3390/land14020410
Han L, Miao Z, Liu Z, Kang H, Zhang H, Gan S, Ren Y, Hu G. An Improved Soil Moisture Downscaling Method Based on Soil Properties and Geographical Divisions over the Loess Plateau. Land. 2025; 14(2):410. https://doi.org/10.3390/land14020410
Chicago/Turabian StyleHan, Lei, Zheyuan Miao, Zhao Liu, Hongliang Kang, Han Zhang, Shaoan Gan, Yuxuan Ren, and Guiming Hu. 2025. "An Improved Soil Moisture Downscaling Method Based on Soil Properties and Geographical Divisions over the Loess Plateau" Land 14, no. 2: 410. https://doi.org/10.3390/land14020410
APA StyleHan, L., Miao, Z., Liu, Z., Kang, H., Zhang, H., Gan, S., Ren, Y., & Hu, G. (2025). An Improved Soil Moisture Downscaling Method Based on Soil Properties and Geographical Divisions over the Loess Plateau. Land, 14(2), 410. https://doi.org/10.3390/land14020410

