Spatiotemporal Dynamics of Local Climate Zones and Their Impacts on Land Surface Temperature in the Guangdong–Hong Kong–Macao Greater Bay Area
Abstract
1. Introduction
2. Materials and Methods
2.1. Study Area
2.2. Sen + Mann–Kendall Analysis of LST Trends
2.3. Multi-Temporal LCZ Mapping Based on Multi-Feature Local Sample Transfer
2.4. Analysis of the LCZ Dynamics and LST
3. Results and Discussion
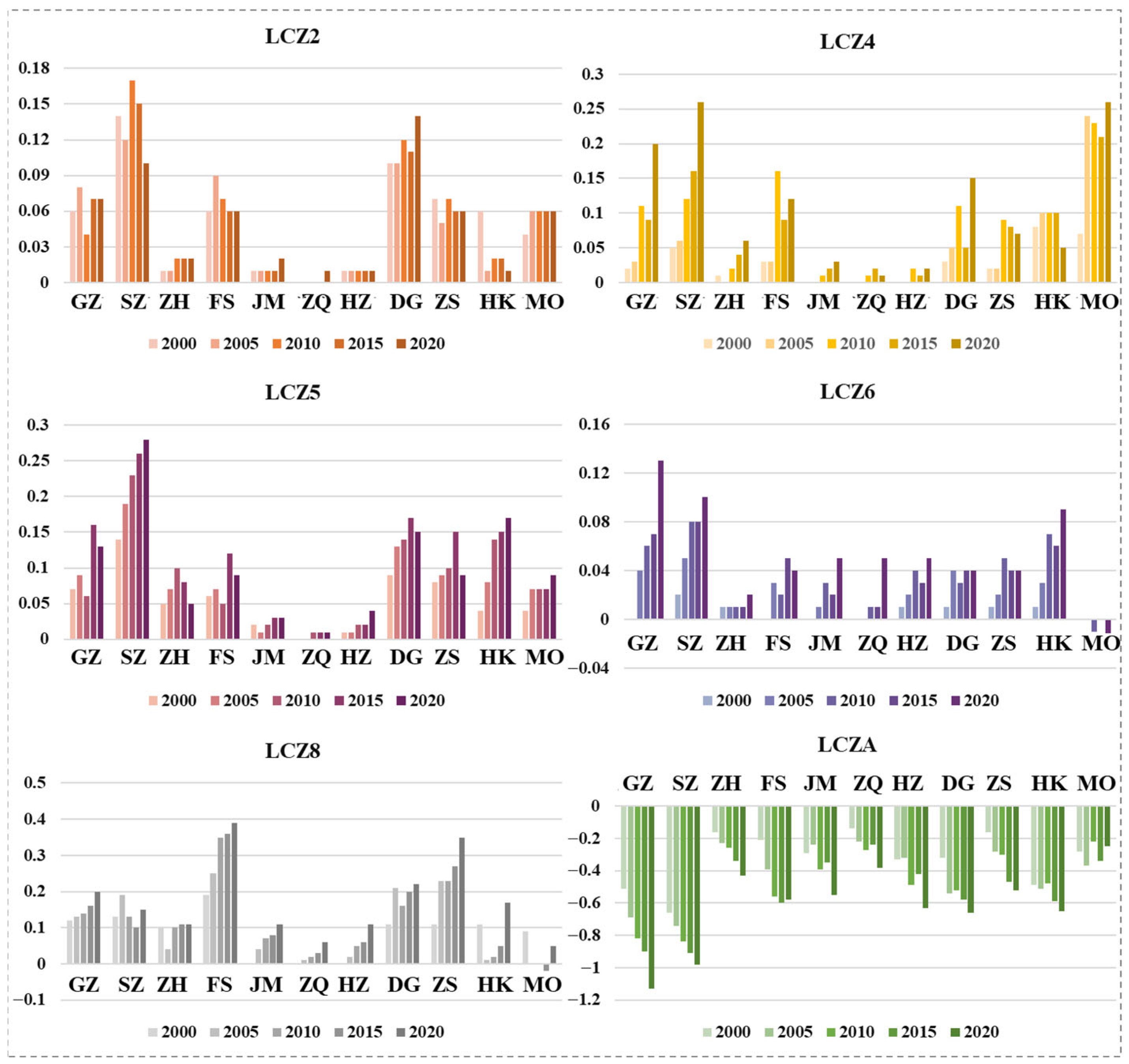
3.1. LCZ Mapping Accuracy and Spatiotemporal Characteristics of LCZ Changes
3.2. Spatial and Temporal Trends of LST
3.3. Relationship Between LCZs and LST
4. Conclusions
Author Contributions
Funding
Data Availability Statement
Conflicts of Interest
References
- Stewart, I.D.; Oke, T.R. Local Climate Zones for Urban Temperature Studies. Bull. Am. Meteorol. Soc. 2012, 93, 1879–1900. [Google Scholar] [CrossRef]
- Stewart, I.D.; Oke, T.R. Classifying urban climate field sites by “local climate zones”: The case of Nagano, Japan. In Proceedings of the Seventh International Conference on Urban Climate, Yokohama, Japan, 29 June–3 July 2009. [Google Scholar]
- Zou, Q.; Yang, J.; Zhang, Y.; Bai, Y.; Wang, J. Variation in community heat vulnerability for Shenyang City under local climate zone perspective. Build. Environ. 2025, 267, 112242. [Google Scholar] [CrossRef]
- Peng, F.; Cao, Y.; Sun, X.; Zou, B. Study on the contributions of 2D and 3D urban morphologies to the thermal environment under local climate zones. Build. Environ. 2024, 263, 111883. [Google Scholar] [CrossRef]
- Zhang, H.; Wang, C.; Yang, H.; Ma, Z. How do morphology factors affect urban heat island intensity? an approach of local climate zones in a fast-growing small city, Yangling, China. Ecol. Indic. 2024, 161, 111972. [Google Scholar] [CrossRef]
- Wang, X.; Yang, J.; Yu, W.; Yu, H.; Xiao, X.; Xia, J.C. Spatial effect of urban morphology on land surface tempature from the perspective of local climate zone. Remote Sens. Appl. Soc. Environ. 2024, 36, 101324. [Google Scholar] [CrossRef]
- Xie, J.; Zhou, S.; Chung, L.C.H.; Chan, T.O. Evaluating land-surface warming and cooling environments across urban–rural local climate zone gradients in subtropical megacities. Build. Environ. 2024, 251, 111232. [Google Scholar] [CrossRef]
- Xie, J.; Ren, C.; Li, X.; Chung, L.C.H. Investigate the urban growth and urban-rural gradients based on local climate zones (1999–2019) in the Greater Bay Area, China. Remote Sens. Appl. 2022, 25, 100669. [Google Scholar] [CrossRef]
- Bechtel, B.; Alexander, P.J.; Beck, C.; Böhner, J.; Brousse, O.; Ching, J.; Demuzere, M.; Fonte, C.; Gál, T.; Hidalgo, J.; et al. Generating WUDAPT Level 0 data—Current status of production and evaluation. Urban. Clim. 2019, 27, 24–45. [Google Scholar] [CrossRef]
- Wang, R.; Cai, M.; Ren, C.; Bechtel, B.; Xu, Y.; Ng, E. Detecting multi-temporal land cover change and land surface temperature in Pearl River Delta by adopting local climate zone. Urban. Clim. 2019, 28, 100455. [Google Scholar] [CrossRef]
- Xi, Y.; Wang, S.; Zou, Y.; Zhou, X.; Zhang, Y. Seasonal surface urban heat island analysis based on local climate zones. Ecol. Indic. 2024, 159, 111669. [Google Scholar] [CrossRef]
- Yang, M.; Li, Y.; Du, Y.; Wang, Y.; Liu, J.; Yang, L.; Huang, J. How to classify microclimates more validly and finely? A novel method for mapping local climate zone (LCZ) on micro-scales. Sustain. Cities Soc. 2025, 120, 106165. [Google Scholar] [CrossRef]
- Liua, S.; Shi, Q. Local climate zone mapping as remote sensing scene classification using deep learning: A case study of metropolitan China. ISPRS J. Photogramm. Remote Sens. 2020, 164, 229–242. [Google Scholar] [CrossRef]
- Vavassori, A.; Oxoli, D.; Venuti, G.; Brovelli, M.A.; Siciliani De Cumis, M.; Sacco, P.; Tapete, D. A combined Remote Sensing and GIS-based method for Local Climate Zone mapping using PRISMA and Sentinel-2 imagery. Int. J. Appl. Earth Obs. 2024, 131, 103944. [Google Scholar] [CrossRef]
- Zhu, Q.; Ran, L.; Zhang, Y.; Guan, Q. Integrating geographic knowledge into deep learning for spatiotemporal local climate zone mapping derived thermal environment exploration across Chinese climate zones. ISPRS J. Photogramm. 2024, 217, 53–75. [Google Scholar] [CrossRef]
- Chen, X.; Xu, Y.; Yang, J.; Wu, Z.; Zhu, H. Remote sensing of urban thermal environments within local climate zones: A case study of two high-density subtropical Chinese cities. Urban. Clim. 2020, 31, 100568. [Google Scholar] [CrossRef]
- Wang, C.; Middel, A.; Myint, S.W.; Kaplan, S.; Brazel, A.J.; Lukasczyk, J. Assessing local climate zones in arid cities: The case of Phoenix, Arizona and Las Vegas, Nevada. ISPRS J. Photogramm. 2018, 141, 59–71. [Google Scholar] [CrossRef]
- Nassar, A.K.; Blackburn, G.A.; Whyatt, J.D. Dynamics and controls of urban heat sink and island phenomena in a desert city: Development of a local climate zone scheme using remotely-sensed inputs. Int. J. Appl. Earth Obs. 2016, 51, 76–90. [Google Scholar] [CrossRef]
- Vandamme, S.; Demuzere, M.; Verdonck, M.; Zhang, Z.; Van Coillie, F. Revealing Kunming’s (China) Historical Urban Planning Policies Through Local Climate Zones. Remote Sens. 2019, 11, 1731. [Google Scholar] [CrossRef]
- Das, M.; Das, A. Assessing the relationship between local climatic zones (LCZs) and land surface temperature (LST)—A case study of Sriniketan-Santiniketan Planning Area (SSPA), West Bengal, India. Urban. Clim. 2020, 32, 100591. [Google Scholar] [CrossRef]
- Wang, R.; Wang, M. Multi-scale analysis of surface thermal environment in relation to urban form: A case study of the Guangdong-Hong Kong-Macao Greater Bay Area. Sustain. Cities Soc. 2023, 99, 104953. [Google Scholar] [CrossRef]
- Wang, J.; Wang, Y.; Chen, T. Spatiotemporal Impacts and Mechanisms of Multi-Dimensional Urban Morphological Characteristics on Regional Heat Effects in the Guangdong–Hong Kong–Macao Greater Bay Area. Land 2025, 14, 729. [Google Scholar] [CrossRef]
- Yujiao, D.; Yaodong, D.; Jiechun, W.; Jie, X.; Weisi, X. Spatiotemporal characteristics and driving factors of urban heat islands in Guangdong-Hong Kong-Marco Greater Bay Area. Chin. J. Ecol. 2020, 39, 2671–2677. [Google Scholar]
- Sen, P.K. Estimates of the Regression Coefficient Based on Kendall’s Tau. J. Am. Stat. Assoc. 1968, 63, 1379–1389. [Google Scholar] [CrossRef]
- Wang, A.; Zhang, M.; Chen, E.; Zhang, C.; Han, Y. Impact of seasonal global land surface temperature (LST) change on gross primary production (GPP) in the early 21st century. Sustain. Cities Soc. 2024, 110, 105572. [Google Scholar] [CrossRef]
- Cano, D.; Cacciuttolo, C.; Haller, A.; Rosario, C.; Guerra, J.C.; de Oliveira, G.G. Spatio-temporal tendencies of urban land surface temperature on the Andean piedmont under climate change: A case study of Metropolitan Lima, Peru (1986–2024). Remote Sens. Appl. Soc. Environ. 2024, 36, 101378. [Google Scholar] [CrossRef]
- Yu, P.; Zhang, L.; Yu, P. The marginal effect of landscapes on urban land surface temperature within local climate zones based on optimal landscape scale. Urban. Clim. 2024, 57, 102110. [Google Scholar] [CrossRef]
- Xiong, W.; Wu, Q.; Qi, J.; Li, J.; Zhu, S.; Qiu, B. Spatiotemporal dynamics of land surface temperature and its drivers within the local climate zone framework. Sustain. Cities Soc. 2025, 133, 106859. [Google Scholar] [CrossRef]
- Haralick, R.M.; Shanmugam, K.; Dinstein, I. Textural Features for Image Classification. IEEE Trans. Syst. Man. Cybern. 1973, 3, 610–621. [Google Scholar] [CrossRef]
- Yoo, C.; Han, D.; Im, J.; Bechtel, B. Comparison between convolutional neural networks and random forest for local climate zone classification in mega urban areas using Landsat images. ISPRS J. Photogramm. 2019, 157, 155–170. [Google Scholar] [CrossRef]
- Holobar, A.; Zazula, D. Multichannel Blind Source Separation Using Convolution Kernel Compensation. IEEE Trans. Signal Process. 2016, 55, 4487–4496. [Google Scholar] [CrossRef]
- Johnson, R.D.; Kasischke, E.S. Change vector analysis: A technique for the multispectral monitoring of land cover and condition. Int. J. Remote Sens. 1998, 19, 411–426. [Google Scholar] [CrossRef]
- Yager, R.R. On the specificity of a possibility distribution. Fuzzy Set Syst. 1992, 50, 279–292. [Google Scholar] [CrossRef]
- Rajadell, O.; Garcia-Sevilla, P.; Dinh, V.C.; Duin, R.P.W. Improving Hyperspectral Pixel Classification with Unsupervised Training Data Selection. IEEE Geosci. Remote Sens. Lett. 2014, 11, 656–660. [Google Scholar] [CrossRef]
- Bala, R.; Prasad, R.; Yadav, V.P. Quantification of Urban Heat Intensity with Land Use/Land Cover Changes Using Landsat Satellite Data Over Urban Landscapes. Theor. Appl. Clim. 2021, 145, 1–12. [Google Scholar] [CrossRef]
- Huang, Q.; Huang, J.; Yang, X.; Fang, C.; Liang, Y. Quantifying the seasonal contribution of coupling urban land use types on Urban Heat Island using Land Contribution Index: A case study in Wuhan, China. Sustain. Cities Soc. 2018, 44, 666–675. [Google Scholar] [CrossRef]
- Sharma, K.V.; Khandelwal, S.; Kaul, N. Downscaling of Coarse Resolution Land Surface Temperature Through Vegetation Indices Based Regression Models; Ghosh, J.K., Da Silva, I., Eds.; Springer: Singapore, 2020; pp. 625–636. [Google Scholar]
- Pu, R.; Bonafoni, S. Thermal infrared remote sensing data downscaling investigations: An overview on current status and perspectives. Remote Sens. Appl. Soc. Environ. 2023, 29, 100921. [Google Scholar] [CrossRef]
- Zhan, W.; Chen, Y.; Zhou, J.; Wang, J.; Liu, W.; Voogt, J.; Zhu, X.; Quan, J.; Li, J. Disaggregation of remotely sensed land surface temperature: Literature survey, taxonomy, issues, and caveats. Remote Sens. Environ. 2013, 131, 119–139. [Google Scholar] [CrossRef]
- Zhang, H.; Yin, Y.; An, H.; Lei, J.; Li, M.; Song, J.; Han, W. Surface urban heat island and its relationship with land cover change in five urban agglomerations in China based on GEE. Environ. Sci. Pollut. Res. 2022, 29, 82271–82285. [Google Scholar] [CrossRef]
- Hu, M.; Wang, Y.; Xia, B.; Huang, G. Surface temperature variations and their relationships with land cover in the Pearl River Delta. Environ. Sci. Pollut. Res. 2020, 27, 37614–37625. [Google Scholar] [CrossRef]
- Zhang, Q.; Guan, Y.; Wu, X.; Zhang, J.; Li, R.; Lin, K.; Wang, Y. Revealing the dynamic effects of land cover change on land surface temperature in global major bay areas. Build. Environ. 2025, 267, 112266. [Google Scholar] [CrossRef]
- Lin, L.; Zhao, Y. Optimizing local climate zones to mitigate urban heat risk: A multi-models coupled approach in the context of urban renewal. Build. Environ. 2025, 282, 113282. [Google Scholar] [CrossRef]
- Deng, X.; Gao, F.; Liao, S.; Liu, Y.; Chen, W. Spatiotemporal evolution patterns of urban heat island and its relationship with urbanization in Guangdong-Hong Kong-Macao greater bay area of China from 2000 to 2020. Ecol. Indic. 2023, 146, 109817. [Google Scholar] [CrossRef]
- Fan, P.Y.; Chun, K.P.; Mijic, A.; Mah, D.N.; He, Q.; Choi, B.; Lam, C.K.C.; Yetemen, O. Spatially-heterogeneous impacts of surface characteristics on urban thermal environment, a case of the Guangdong-Hong Kong-Macau Greater Bay Area. Urban. Clim. 2022, 41, 101034. [Google Scholar] [CrossRef]
- Cai, M.; Li, M.; Liu, H. Optimizing cooling efficiency of urban greenspaces across local climate zones in Wuhan, China. Urban For. Urban Green. 2025, 105, 128691. [Google Scholar] [CrossRef]
- Yang, B.; Hussey, O.; Alexander, S. Quantifying highway expansion impact on urban heat island effect in San Francisco bay area. Cities 2026, 169, 106555. [Google Scholar] [CrossRef]
- Lu, Y.; Yang, J.; Ma, S. Dynamic Changes of Local Climate Zones in the Guangdong–Hong Kong–Macao Greater Bay Area and Their Spatio-Temporal Impacts on the Surface Urban Heat Island Effect between 2005 and 2015. Sustainability 2021, 13, 6374. [Google Scholar] [CrossRef]
- Wang, X.; Meng, Q.; Zhang, L.; Hu, D. Evaluation of urban green space in terms of thermal environmental benefits using geographical detector analysis. Int. J. Appl. Earth Obs. 2021, 105, 102610. [Google Scholar] [CrossRef]
- Masoudi, M.; Tan, P.Y.; Liew, S.C. Multi-city comparison of the relationships between spatial pattern and cooling effect of urban green spaces in four major Asian cities. Ecol. Indic. 2019, 98, 200–213. [Google Scholar] [CrossRef]
- Yu, B.; Pan, J. How do 2D and 3D urban morphology impact spatial patterns of thermal environment? A nested multi-scale local climate zone perspective. Build. Environ. 2026, 288, 114014. [Google Scholar] [CrossRef]
- Yang, L.; Yang, C.; Zhou, W.; Liu, L.; Wang, C. Assessing heat-related health risk based on the hazard–exposure–vulnerability framework in Shenzhen, China: A block-level local climate zone perspective. J. Clean. Prod. 2025, 534, 147036. [Google Scholar] [CrossRef]
- Zhu, Z.; Shen, Y.; Fu, W.; Zheng, D.; Huang, P.; Li, J.; Lan, Y.; Chen, Z.; Liu, Q.; Xu, X. How does 2D and 3D of urban morphology affect the seasonal land surface temperature in Island City? A block-scale perspective. Ecol. Indic. 2023, 150, 9. [Google Scholar] [CrossRef]
- Zhang, H.; Gao, J.; Zhao, J.; Guo, F.; Bai, J.; Wang, Z.; Zhu, P. Applicability of local climate zones in assessing urban heat risk—A survey of coastal city. Cities 2025, 164, 106068. [Google Scholar] [CrossRef]
- Chen, L.; Zhang, Y.; Zhu, E.; Che, Y.; Wu, Y. Segregation of sea breezes and cooling effects on land-surface temperatures in a coastal city. Sustain. Cities Soc. 2025, 118, 106017. [Google Scholar] [CrossRef]















Disclaimer/Publisher’s Note: The statements, opinions and data contained in all publications are solely those of the individual author(s) and contributor(s) and not of MDPI and/or the editor(s). MDPI and/or the editor(s) disclaim responsibility for any injury to people or property resulting from any ideas, methods, instructions or products referred to in the content. |
© 2025 by the authors. Licensee MDPI, Basel, Switzerland. This article is an open access article distributed under the terms and conditions of the Creative Commons Attribution (CC BY) license (https://creativecommons.org/licenses/by/4.0/).
Share and Cite
Lu, Y.; Wen, D. Spatiotemporal Dynamics of Local Climate Zones and Their Impacts on Land Surface Temperature in the Guangdong–Hong Kong–Macao Greater Bay Area. Land 2025, 14, 2370. https://doi.org/10.3390/land14122370
Lu Y, Wen D. Spatiotemporal Dynamics of Local Climate Zones and Their Impacts on Land Surface Temperature in the Guangdong–Hong Kong–Macao Greater Bay Area. Land. 2025; 14(12):2370. https://doi.org/10.3390/land14122370
Chicago/Turabian StyleLu, Yang, and Dawei Wen. 2025. "Spatiotemporal Dynamics of Local Climate Zones and Their Impacts on Land Surface Temperature in the Guangdong–Hong Kong–Macao Greater Bay Area" Land 14, no. 12: 2370. https://doi.org/10.3390/land14122370
APA StyleLu, Y., & Wen, D. (2025). Spatiotemporal Dynamics of Local Climate Zones and Their Impacts on Land Surface Temperature in the Guangdong–Hong Kong–Macao Greater Bay Area. Land, 14(12), 2370. https://doi.org/10.3390/land14122370
