You are currently viewing a new version of our website. To view the old version click .
Land
  • Article
  • Open Access

10 September 2024

Spatio-Temporal Analysis of Green Infrastructure along the Urban-Rural Gradient of the Cities of Bujumbura, Kinshasa and Lubumbashi

,
,
,
,
,
,
,
,
and
1
Research Centre of Natural and Environmental Sciences, University of Burundi, Bujumbura P.O. Box 2700, Burundi
2
Gembloux Agro-Bio Tech, University of Liège, Passage des Déportés 2, 5030 Gembloux, Belgium
3
Department of Environment and Land Resources Management, Faculty of Agricultural Sciences and Environment, Evangelical University in Africa, Bukavu P.O. Box 3323, Democratic Republic of the Congo
4
Ecology, Ecological Restoration and landscape Research Unit, Faculty of Agricultural Sciences, University of Lubumbashi, Lubumbashi P.O. Box 1825, Democratic Republic of the Congo
This article belongs to the Special Issue Ecosystem Services and Urban Green Spaces: Planning, Policy Development and Governance Implications

Abstract

This study analyses the dynamics of green infrastructure (GI) in the cities of Bujumbura, Kinshasa, and Lubumbashi. A remote sensing approach, combined with landscape ecology metrics, characterized this analysis, which was based on three Landsat images acquired in 2000, 2013, and 2022 for each city. Spatial pattern indices reveal that GI was suppressed in Bujumbura and Kinshasa, in contrast to Lubumbashi, which exhibited fragmentation. Furthermore, the values of stability, aggregation, and fractal dimension metrics suggest that Bujumbura experienced rather intense dynamics and a reduction in the continuity of its GI, while Kinshasa showed weaker dynamics and tendencies towards patch aggregation during the study period. In contrast, Lubumbashi exhibited strong dynamics and aggregation of its GI within a context of significant anthropization. The evolution of the Normalized Difference Vegetation Index demonstrates a sawtooth pattern in the evolution of tall vegetation patches in Bujumbura, compared to a gradual decrease in Kinshasa and Lubumbashi. It is recommended that urban growth in these cities should be carefully planned to ensure the integration of sufficient GI.

1. Introduction

With its urban population increasing from 27 million to 567 million between 1950 and 2015, Africa is currently the world’s most rapidly urbanizing region [1]. The urban population of sub-Saharan Africa is the fastest-growing of all developing regions, followed by South and Central Asia [2]. This accelerating urbanization presents several environmental challenges, especially in Africa, thereby contributing to the development of urban ecology.
In this region, wars, natural population growth, and mass migration from rural areas to cities remain significant trends, leading to the expansion of ever-larger cities that are often adequately equipped to accommodate new inhabitants [3]. The spatial expansion of the town of Kampala in Uganda, where the urbanized area has increased fivefold from 71 km2 in 1989 to 386 km2 in 2010, is a striking example [4]. In Mozambique and South Sudan, high levels of urbanization have also occurred as a consequence of civil wars [5,6]. These new urban residents often move into underprivileged, informal neighborhoods that are unhealthy and lack basic infrastructure and services within the context of unplanned urban growth that has prevailed in sub-Saharan cities since the 1950s [4,7].
This lack of planning generally leads to the formation of social ghettos, the reinforcement of social inequalities, and the visual degradation of landscapes [8]. Green elements and formations in urbanized environments (such as urban trees, green belts, and other peri-urban forests) are becoming increasingly important for sustainable development [4] due to their multifunctionality [9]. Consequently, understanding the ecological functioning of urban ecosystems, particularly in tropical regions, has become a crucial area of research.
Although urban green infrastructure (GI) and its ecosystem services [10] are often conceptualized from a predominantly Western perspective of cities and their social, economic, and environmental challenges [11], studies of urban GI in sub-Saharan cities and their ecological functions have already been conducted [12]. Examples include the comparison of the GI of the towns of Bahir Dar and Hawassa [13] and the cities of Bamako and Sikasso [14], as well as the characterization of fruit tree diversity in the cities of Lubumbashi and Kolwezi [15]. However, isolated studies of individual cities do not always allow pertinent comparisons that would enable the development of large-scale regional or even supranational policies due to the application of different methodological approaches and non-standardized data sets.
Despite these methodological issues and the differing ecological, social, and economic contexts, comparative analyses of GI that extend beyond regional and sub-regional scales are valuable for formulating general conclusions that are not confined to a particular city [16,17]. In this context, a comparison of the GI of five different urban areas, including Cape Town, Durban, and Johannesburg in South Africa, and Birmingham and London in the UK, was undertaken [17]. This study examined how GI concepts were integrated into the decision-making processes of these cities. The pivotal role of GI in urban planning was confirmed by [18] for southern and eastern Africa. Similarly, [17] emphasizes the need for local governments to incorporate GI in development and climate adaptation strategies. Thus, comparative studies are justified to better understand and theorize the dynamics of tropical cities and the role of GI within them.
This study compares the GI of the cities of Bujumbura, Kinshasa, and Lubumbashi. Although these three cities have distinct socio-economic, demographic, morphological, and political contexts, they share certain commonalities. Firstly, they were all founded during the colonial era and are characterized by rapid demographic growth, reinforced by rural exodus and migrations due to political instability [19]. Additionally, their development is marked by increasing anthropogenic pressure on GI, resulting from a lack of urban planning [20], and by considerable population densities, estimated in 2023 at 11,686, 1730, and 3764 inhabitants per square kilometer for Bujumbura, Kinshasa and Lubumbashi, respectively. These cities were also selected because of the availability of studies on their ecosystems, which can be illustrated by several examples. For Bujumbura, data on floristic diversity and ecosystem services are available [21]. The typology, spatial structure, plant composition, management practices, state of maintenance, and ecosystem services of GI in the city of Kinshasa have already been analyzed [22]. For Lubumbashi, studies concerning the spatial pattern of GI along the urban-rural gradient [23], the perception by local experts of GI and their ecosystem services [24,25], and the diversity of street-lining trees [26] are available. In addition, peri-urban areas have been intensively described with regard to their tree and shrub vegetation [27]. Despite these individual studies, no comparative study has yet been conducted to identify commonalities between the GI of these three cities.
The aim of this study is to provide a spatio-temporal analysis of the GI of the cities of Bujumbura, Kinshasa, and Lubumbashi from 2000 to 2022, using remote sensing and spatial pattern indices. The central hypothesis posits that while the GI in each of these three cities is undergoing a unique dynamic, it is also characterized by common trends such as the regression of vegetation, an increasing prevalence of herbaceous vegetation, a rise in the level of anthropization, and a decrease in the spatial continuity of the GI. This hypothesis is subdivided into three sub-hypotheses: (i) the GI in all three cities exhibits significant instability and a regressive surface trend, particularly in favor of built-up areas, (ii) the GI of all cities shows an increasing level of anthropization and a decreasing level of spatial continuity over time, (iii) each city demonstrates a specific dynamic in the composition of the GI in terms of low (herbaceous) and high (tree) vegetation that is specific to it, yet with a common trend towards the dominance of lower biomass in GI.

2. Materials and Methods

2.1. Study Area

This study was conducted in three cities: Bujumbura, Kinshasa, and Lubumbashi (Figure 1). The city of Bujumbura was founded in 1897 on the shores of Lake Tanganyika by the Germans on a site called Kajaga. It is situated in the western part of the Republic of Burundi, between 3°30′ and 3°51′ S and 29°31′ and 29°42′ E. Bujumbura covers 10,462 hectares and comprises three communes (Table 1), which are subdivided into 13 administrative entities. These entities are set up as urban areas. The city-province of Kinshasa, founded in 1881 by explorer and journalist Henry Morton Stanley on the southern bank of the Pool Malebo, is located in the western part of the Democratic Republic of Congo, between 4° and 5° S and 15°–16° E, and covers an area of 9965 km2. Since 1968, it has been administratively subdivided into 24 communes (Table 1). For this study, the rural commune of Maluku was excluded from the analyses, not only because of its size (it alone covers an area of 82.8% of the entire city of Kinshasa) but also because of the lack of cloud-free multi-temporal images [28]. The city of Lubumbashi and its outskirts are located in the province of Haut-Katanga in the southeastern part of the Democratic Republic of Congo. It covers an area of almost 747 km2 and is located between 11°27′ and 11°47′ S and 27°19′ and −27°40′ E, and it comprises 7 communes. The town was created in 1910 following the discovery and development of large copper deposits by the Haut-Katanga Mining Union (HKMU) and is the capital of Haut-Katanga province (Table 1).
Figure 1. Bujumbura is located in Burundi and Kinshasa, and Lubumbashi is in the Democratic Republic of the Congo.
Table 1. Characteristics of the cities of Bujumbura, Kinshasa, and Lubumbashi.

2.2. Selection of Satellite Images

The cities of Bujumbura, Kinshasa, and Lubumbashi were each isolated by three 30 m resolution Landsat images acquired and processed on the Google Earth Engine (GEE) geospatial platform. The median images were obtained by selecting the median values of each pixel during the dry season from June to August. Landsat 7 Enhanced Thematic Mapper Plus (ETM+) and Landsat 8 Operational Land Imager (OLI) sensors were used to obtain images from 2000, 2013, and 2022, respectively. The choice of years and intervals was guided by three primary factors. Firstly, the city of Bujumbura underwent urbanization without planning and management tools between 2000 and 2015. It was only from 2015 to 2023 that an urban master plan was developed, outlining a vision for the city up to 2045. Secondly, for the cities of Kinshasa and Lubumbashi, the period from 2000 to 2010 was largely influenced by the liberalization of the mining sector (2002), the first electoral cycle (2006), infrastructure modernization, and the global financial crisis (2008). The period from 2010 to 2022 included further electoral cycles (2011 and 2018), provincial restructuring (2015), and a change in political regime (2019) [29]. Thirdly, the city of Kinshasa is characterized by persistent heavy cloud cover, which limits the availability of satellite imagery. This constraint led us to consider only three specific dates, which we believe are sufficient to understand the phenomenon of urbanization in the cities studied, considering the availability of imagery for these periods. We used surface reflectance data from the Level 2 Collection 2 Tier 1 datasets, collected over a time step of 13 and 9 years, depending on availability, quality, and study objectives. The image acquisition period corresponds to the dry season when cloud cover is low [30]. The training points collected on the GEE platform were supplemented by ground truth points collected jointly in the 3 cities in July 2022. For each class, a total of 20 GPS coordinates were collected, yielding a maximum of 180 GPS points. Additionally, the results for our final year (2022) were compared with those provided by the ESRI_Global-LULC_10m_TS project in for the three cities. The consistency in trends across the results provided reassurance of the credibility of our findings. ArcGIS 10.8.1 software was then used to produce land-use maps.

2.3. Image Pre-Processing, Processing and Classification

The pre-processing involved applying a cloud mask applied to each data set to create a synthetic image with an acceptable cloud cover [31]. The mask used the “QA_PIXEL” band and the Fmask (Function of mask) algorithm to remove clouds and cloud shadows, thereby generating cloud-free composites [32,33].
A false-color composition was created by combining the near-infrared, red, and green bands, with the first two channels being used to discriminate vegetation [34]. Three relevant land cover classes were selected according to the study’s objectives and the composition of each landscape: vegetation (forests, savannahs, fields, fallow lands, and green spaces), built-up and bare soil (built-up and bare soil complexes, including mines) and other (sewage and decantation plants, flooded areas, ponds, swamps). For each of these land cover classes, sample polygons representing the training zones (ROIs) were collected on the same platform (GEE) using Google Earth images of finer resolution (1 m) and completed with ground truth GPS points. A classification based on the “Random Forest” supervised classification algorithm was then performed using the training model obtained from the selected ROIs [35]. Classifications were validated based on the overall accuracy and the Kappa coefficient derived from six confusion matrices [36]. Kappa values below 50%, between 50 and 75%, and above 75% indicate poor, acceptable, and excellent classification, respectively [37]. For each land cover, at least 30% of the total points were used for this assessment.

2.4. Calculation of Spatial Pattern Indices and Detection of Landscape Dynamics

Pattern metrics for each land use class were calculated using the “landscape metrics” and “Landscape tools” packages in R studio 4.2.2. The selected indices provide information on landscape fragmentation [38]. The number of patches belonging to a given class   j n j . This index offers insight into the fragmentation of a class. A high number of patches in a class may be due to its fragmentation [39]. The total area ( a t j ) occupied by the class j (in km2) was calculated according to Equation (1) where a i j is the area of i t h patch of class j :
a t j = i = 1 n j a i j
The index of the largest patch of class j or dominance D j a was calculated using the area of the largest patch ( a m a x , j ):
D j a = a m a x , j a t j × 100
with 0 < D j ( a ) 100 . The higher the dominance value, the less fragmented the class.
The average area a ¯ j of the patches of class j was calculated as follows:
a ¯ j = a t j n j
The aggregation index indicates the frequency with which pairs of patches of the same class are adjacent [40]. Its value is equal to 0 for maximally disaggregated classes and 100 for maximally aggregated classes [41]:
g i i m a x g i i × 100
where g i i is the number of similar adjacencies based on the single count method and m a x g i i is the maximum number of similar adjacencies per class for this class.
The fractal dimension index, which assesses the relationship between the landscape transformation process and the geometry of the resulting patches, is calculated as follows according to [42]:
log P = D 2   log A + log K  
where p represents the perimeter, A the class area, and D the fractal dimension. A log-log surface-perimeter plot for a set of patches, therefore, generates D   (slope) and K (intercept). This technique is based on the analysis of patches of different sizes at a given scale as a “surrogate” for a change of scale [43].
To quantify the dynamics of conversion between land-use classes over the periods considered in the study, two transition matrices were created for each city. The transition matrix, obtained by juxtaposing the land-use maps, provides information on the conversion between land uses (row and column proportions) on the one hand and the stability of land use classes (diagonal) on the other [38]. The stability index was calculated to determine the conversions between the different land-use classes. This index is defined as the ratio of the sum of the diagonal values and the sum of the off-diagonal values of the transition matrix [38]. The underlying spatial transformation processes responsible for the observed changes were identified using the decision tree proposed by [44]. The distinction between fragmentation and dissection was made using the predefined area decrease value t = 0.75 [45]. Values less than or equal to 0.75 indicate fragmentation, while values greater than 0.75 suggest dissection [45].
The aggregation index (AI), which illustrates the spatial organization of patches corresponding to land use types, was also calculated. A high AI value indicates adjacent units and, therefore, aggregated patches [46].
The other index calculated is the fractal dimension index (DF), which indicates that the patches have complex shapes and more tortuous contours when it is higher (approaching 2) and when it is lower (close to 1); this indicates a more regular shape of the patches and smoother contours (anthropogenic) [43].

2.5. Vegetation Index

A variety of vegetation indices have been developed for the purpose of monitoring vegetation distribution and phenology [47,48]. The Normalized Difference Vegetation Index (NDVI) is defined as the normalized difference of spectral reflectance measurements acquired in the “Near Infrared (NIR)” and “Red (RED)” wavelength zones [47,48,49].
N D V I = N I R R E D N I R + R E D
The theoretical value of NDVI varies between −1 and 1. Values below 0.1 are indicative of bodies of water and bare soil, while higher values are associated with high photosynthetic activity, which is typical of shrublands, temperate forests, rainforests, and agricultural land [50]. In practice, an open water surface (ocean, lake, etc.) will exhibit NDVI values close to 0, bare soil will have values of 0.1 to 0.2, while dense vegetation will have values of 0.5 to 0.8 [50].

3. Results

3.1. Satellite Data Analysis: Classification and Mapping (2000 to 2022)

The overall accuracy of supervised classification of Landsat images covering the areas of Bujumbura, Kinshasa, and Lubumbashi ranges between 89% and 99%, with Kappa values between 69% and 97% (Table 2). These values indicate that the discrimination between different land-use classes is statistically reliable [51].
Table 2. Accuracy of supervised classifications of Landsat images from 2000, 2013, and 2022 based on the Random Forest algorithm.
A visual analysis of the land-use maps reveals significant spatial changes in the landscape of Bujumbura and Lubumbashi between 2000, 2013, and 2022. These changes are evidenced by a regression of the “vegetation” class and the “other” class, which have been replaced by the “built-up” class. In contrast, the city of Kinshasa exhibited minimal change (Figure 2).
Figure 2. Land use maps of Bujumbura (Burundi), Kinshasa, and Lubumbashi (DRC) from supervised classification of Landsat images from 2000, 2013, and 2022 based on the Random Forest algorithm.

3.2. Changes in Land Use between 2000 and 2022

Table 3 illustrates the percentage changes between the various land use classes between the years 2000 and 2022 in the cities of Bujumbura, Kinshasa, and Lubumbashi. In the cities of Bujumbura and Lubumbashi, the period studied (2000–2022) was characterized by a transition in which the GI, which constituted the landscape matrix in 2000, was replaced by built-up areas, which became the dominant matrix in 2022. During the period under review, the landscape of Kinshasa underwent no significant modifications, and its GI remained the dominant matrix in 2022 (Table 3).
Table 3. The following transition matrix describes the changes in land use in the cities of Bujumbura (Burundi), Kinshasa, and Lubumbashi (DRC) between the periods 2000–2013 and 2013–2022 in percentages of area (%). The column and row totals correspond to the land-use classes for the initial and subsequent study periods, respectively. The values in bold represent the proportion of the urban footprint that has not undergone transformation between the two specified time points. The remaining values within the matrix provide insight into the nature of the observed changes in land use.
For the city of Bujumbura, the period from 2000 to 2013 was marked by a 47.52% increase in built-up and bare soil at the expense of vegetation. The same period was characterized by the conversion of 30.42% of built-up and bare ground and 4.38% of the “other” class to vegetation. At the same time, areas in the “other” class decreased by 1.9% in favor of built-up and bare ground. Between 2013 and 2022, built-up and bare ground expanded by 26.36% at the expense of vegetation. At the same time, 1.69% of built-up and bare ground was converted to vegetation.
The period between 2000 and 2013 was characterized by a significant increase in built-up and bare soil areas in the city of Bujumbura, with a 47.52% expansion at the expense of vegetation. The same period was characterized by the conversion of 30.42% of built-up and bare ground, as well as 4.38% of the “other” category, to vegetation. Concurrently, the “other” category experienced a 1.9% reduction in area with an increase in built-up and bare ground. Between 2013 and 2022, built-up and bare ground expanded by 26.36% at the expense of vegetation. Concurrently, 1.69% of built-up and bare ground was converted to vegetation.
Regarding the city of Lubumbashi, between the years 2000 and 2013, 1.08% of buildings and bare soil and 3.44% of other areas were converted to accommodate vegetation. Conversely, 17.9% of built-up and bare ground and 21.65% of the “other” category expanded at the expense of vegetation. Concurrently, the “other” category exhibited an increase of 7.75% at the expense of built-up and bare ground. The period between years 2013 and 2022 is characterized by the conversion of 1.88% of built-up and bare ground, 5.48% of other to vegetation, and 15.5% of the “other” class to built-up and bare ground. During the same period, 7.54% of the built-up area and soil and 8.97% of the “other” class were converted to vegetation. Concurrently, 2.36% of the “other” class was converted to bare ground and buildings.
The preceding data illustrate a notable decline in GI and an accompanying surge in the surface area of built-up and bare soil within the urban cores of Bujumbura and Lubumbashi between the years 2000 and 2022. In the case of Kinshasa, there was a slight decrease in GI but no increase in the surface area of built-up and bare soil. However, there was an increase in the “other” class. A sequence of progression/regression of vegetated surfaces was recorded.
Table 4 illustrates the stability index values for land use classes in the cities of Bujumbura, Kinshasa, and Lubumbashi between the years 2000 and 2022. This index exhibits high values in landscapes that have undergone minimal dynamic change.
Table 4. Stability index for the vegetation, built-up, and bare soil classes as well as the “other” class for the cities of Bujumbura (Burundi), Kinshasa, and Lubumbashi (DRC) over the period 2000 to 2022.
Over the period 2000–2013, the vegetation stability index for Kinshasa is 25 times that of Bujumbura and 4 times that of Lubumbashi. Over the same period, the value of the stability index for buildings and bare soil in Kinshasa was 20 times that of Bujumbura and 3 times that of Lubumbashi. Furthermore, the stability index for the “other” category is identical for the cities of Kinshasa and Lubumbashi and is 1.5 times that of Bujumbura.
From 2013 to 2022, the vegetation stability index for Kinshasa was sevenfold that of Bujumbura and 5.5 times that of Lubumbashi. Over the same period, the stability index for buildings and bare soil in Kinshasa was found to be twofold that of Bujumbura and Lubumbashi. Conversely, the stability index for the “other” class in Bujumbura was three times that of Kinshasa and Lubumbashi.
From the aforementioned data, it can be observed that vegetation, buildings, and bare soil in the city of Kinshasa exhibited minimal change over the period 2000–2022. In contrast, the “other” class demonstrated robust growth in all cities (Table 4).

3.3. Dynamics of the Spatial Structure of Vegetation

In Bujumbura, between 2000 and 2013, the characteristic spatial transformation process of vegetation was the dissection of patches, particularly as the increase in the number of patches was accompanied by a decrease in total area, with a t-value greater than 0.75.
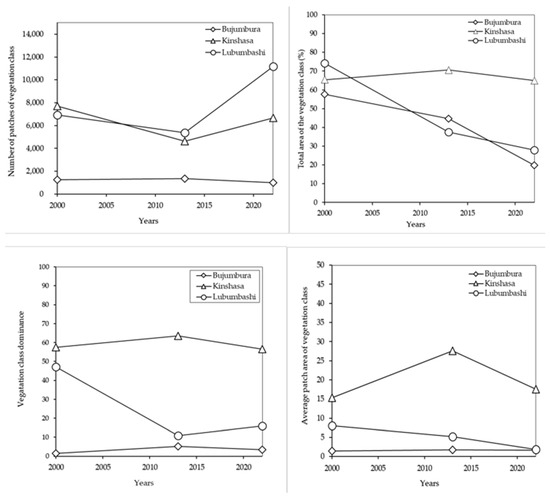
From 2013 to 2022, the characteristic spatial transformation process of vegetation was identified as suppression, which was observed concurrently with a reduction in the number of patches and total area. Between 2000 and 2022, the values assigned to vegetation dominance increased, indicating the presence of undeveloped vegetation areas on the city’s periphery that had not yet been developed. The Aggregation Index (AI), which reflects the spatial organization of patches, showed a 6.96% decline over the study period. The fractal dimension (FD) approached a value of 1, suggesting a reduction in spatial continuity and an increase in anthropization over time.
Between the years 2000 and 2013, the vegetation in the city of Kinshasa exhibited a distinctive pattern characterized by patch aggregation. This was evidenced by a significant increase in the total area of vegetation, which was the result of a simultaneous decrease in the number of patches. From 2013 to 2022, the process of spatial transformation of vegetation was suppressed due to a decrease in both the total area and the number of patches. Over the period 2000 to 2022, the values of vegetated area dominance exhibited a slight decline. The aggregation index demonstrated an increase of 1.72% over the period 2000 to 2022, and the fractal dimension reached 1.04. This indicates a high level of vegetation dominance, which is indicative of a slight increase in spatial continuity and a notable rise in anthropization over time.
In Lubumbashi, the dominant spatial transformation process of vegetation between 2000 and 2013 was suppression, characterized by a simultaneous decrease in both the total area and the number of patches. From 2013 to 2022, the characteristic spatial transformation of vegetation was dissection, with a concomitant increase in the number of patches despite a decrease in total patch area. Between 2000 and 2022, the value of vegetation dominance declined, indicating its gradual disappearance due to anthropogenic influence. The AI demonstrated an increase of 7.77% over the study period. The FD is close to 1, which suggests an increasing level of spatial continuity and anthropization over time (Table 5).
Table 5. Spatial structure indices were calculated in 2000, 2013, and 2022 of the vegetation class for the cities of Bujumbura (Burundi), Kinshasa, and Lubumbashi (DRC). These indices enable the identification of the underlying spatial transformation processes that have resulted in the observed changes. The data were derived from the supervised classification of Landsat images using the Random Forest algorithm. n : number of patches, a t : total area (ha), a ¯ j : average area, D : dominance index of the largest patch (%), F D : fractal dimension, A I : aggregation index.
Figure 3 shows the evolution of the spatial structure indices calculated for the vegetation class of the cities of Bujumbura, Kinshasa, and Lubumbashi for the years 2000, 2013, and 2022.
Figure 3. Trends in number of patches, total area, average patch area, and vegetation class dominance for the cities of Bujumbura (Burundi), Kinshasa, and Lubumbashi (DRC) for the years 2000, 2013, and 2022.

3.4. The Normalized Difference Vegetation Index (NDVI)

The maps generated after calculating the Normalized Difference Vegetation Index (NDVI) for the years 2000, 2013, and 2022 show that the values range from −0.22 to 0.85 for Bujumbura, from −0.21 to 0.92 for Kinshasa (DRC) and from −0.50 to 0.83 for Lubumbashi (DRC) (Figure 4).
Figure 4. Normalized difference vegetation maps of the cities of Bujumbura (Burundi) (A), Kinshasa (B), and Lubumbashi (DRC) (C) for the years 2020, 2013, and 2022.
Figure 5 illustrates the proportions of GI areas across the NDVI intervals identified for each city under study during the specified time periods of 2000, 2013, and 2022. The evolution of tall vegetation in Bujumbura shows a sawtooth pattern, whereas in Kinshasa and Lubumbashi, there is a gradual decline.
Figure 5. Proportions of GI areas over NDVI intervals were found for the cities of Bujumbura, Kinshasa, and Lubumbashi for the years 2000, 2013, and 2022.

4. Discussion

4.1. Methodological Approach

While Landsat images are not optimal for examining urbanized landscapes, where a single pixel may encompass disparate land uses, they have nonetheless enabled the fulfillment of the study’s objective through the consolidation of land use classes. It is also noteworthy that these images are frequently employed for the mapping of urban landscapes in sub-Saharan Africa [20]. Moreover, any approach to classifying satellite images must be based on knowledge of the reality of field observations, which helps to mitigate the degree of confusion between thematically similar pixels [52]. Based on in situ knowledge acquired during field missions, old maps, Google Earth images, and processing on the GEE platform, Kappa values are among the classifications deemed acceptable and excellent in this study [38]. Furthermore, the indices selected in this study, including the number and area of patches, are considered optimal compromises for characterizing landscape configuration [52]. The utilization of the R language and its extensions (packages) was informed by the fact that, since its inception in 1995, it has currently one of the most prevalent programming languages, particularly within the field of ecology. Additionally, it is a language exclusively designed for statistical programming [53]. This methodology has been employed in other countries and contexts. In Rwanda, for instance, the methodology was employed to quantify the physical degradation of forests and to monitor forest cover change and fragmentation [54]. Furthermore, it has been employed for the spatial analysis of urban surface heat islands in four rapidly developing African cities (Ethiopia, Kenya, Nigeria, and Zambia) [55].

4.2. Spatial Structure Indices

Several indices have been put forth with the aim of quantifying and measuring landscape structure [56,57]. The calculation of spatial structure indices serves to elucidate the spatial configuration of class patches within the landscape [46]. It is thus possible to calculate a wide range of indices, although this may result in redundant measurements [46]. In this study, we used indices derived directly from fragmentation. In general, ecology and landscape ecology, in particular, habitat fragmentation, has emerged as a pivotal theme in conservation research [58]. Indeed, fragmentation results in a reduction in total area and an increase in the number of patches [39]. Furthermore, we considered the dominance of the largest patch in the class, as fragmentation implies fragmentation and, therefore, a decrease in patch size towards smaller patches of similar size [59]. The mean area value was employed as an indicator of spatial integrity [55]. The shape index was not considered in this study. Indeed, the quantification of shape is a challenging endeavor, as it can give rise to multiple interpretations [60]. Furthermore, it is linked to degrees of artificialization [61]. It is also associated with landscape heterogeneity [62]. It can be observed that the value of the shape index is inversely proportional to the degree of elongation or irregularity of the shapes of the patches [63]. In contrast, the fractal dimension index was employed. A higher index value (approaching 2) indicates more complex shapes and contours that are more tortuous and natural. Conversely, a low index value (close to 1) suggests a more regular shape and contours that are smoother and anthropogenic [43]. These indices have been used in various contexts to analyze the degree of anthropization of urban or forest landscapes, such as the characterization of dense forest islands in the Monts Kouffé classified forest with the aim of highlighting their spatio-temporal dynamics [59] as well as the quantification of the degenerating condition of the land cover due to anthropogenic activities in Katanga [64]. They were also employed to assess the anthropogenic impact on the dynamics of landscape units, including the quality of ecosystem services in the Kinshasa conurbation [22]. The aggregation index (AI) was also calculated in this study. This index illustrates the spatial organization of patches corresponding to land use types. A high AI value indicates the presence of adjacent units and, consequently, aggregated patches [46]. This index has been employed in other contexts, including the monitoring of landscape anthropization in the Babagulu forest region (DRC) [65] and the assessment of links between landscape elements, their reciprocal influences, and the main transformations observed over time and space for the rational and sustainable management of the Zè commune in Benin [46]. Additionally, this study utilized the stability index, which enables the evaluation of the permanence of the initial landscape [38] in diachronic studies. All these indices were used to test the first two sub-hypotheses of our research.

4.3. Standardized Differential Vegetation Index and Green Infrastructure Composition Dynamics

Spectral vegetation indices are among the most widely used satellite data products for assessments of vegetation cover, change, and processes [49]. The Normalized Difference Vegetation Index (NDVI) provides estimated values of forest “green intensity” based on the analysis of satellite data. The approach is based on the premise that NDVI is an indicator of plant health insofar as a degradation of an ecosystem’s vegetation or a decrease in green intensity would result in a decrease in the NDVI value [50]. Consequently, NDVI values have been employed in a multitude of contexts, including the assessment of vegetation cover variability across Algeria [47], the observation of forest degradation in Mexico [66], the monitoring of climatic variability in the Nakambé watershed in Burkina Faso [67] and the establishment of the link between vegetation NDVI, temperature, and precipitation, in the upper catchments of the Yellow River in China [68]. In this study, the NDVI was calculated to facilitate a comparison of the health of GI in the cities of Bujumbura, Kinshasa, and Lubumbashi and to test our last sub-hypothesis. The NDVI values observed for the cities under investigation exhibited a range between −1 and 1, indicating that the GI of these cities is not solely comprised of vegetation at high and low levels but also includes other elements such as water bodies and soils devoid of water [50]. Indeed, Bujumbura’s GI comprises a variety of elements, including artificial forests [69], GI adjacent to roads, playgrounds, green squares, and agricultural areas. Additionally, it encompasses bare soil, a consequence of land subdivision for new residential developments, particularly in the southern periphery of the city. Furthermore, since the 2020s, the rising waters of Lake Tanganyika have resulted in the formation of swamps in the western part of the coastal city situated on its shores. In addition to the GI that dates back to the pre-independence period, the city of Kinshasa also encompasses private GI, residential GI, swampy areas, and erosion expansion at the edge of watercourses [22]. Bare soils resulting from urbanization and slash-and-burn agriculture [22] are also noted. In addition to GI accompanying roads in the urban part and buffer zones, fields, abandoned areas, and informal spaces in peri-urban areas [22], the city of Lubumbashi also features bare surfaces resulting from mining, especially on the outskirts of the city. This presence can be attributed to the destruction of vegetation cover near mining sites, probably due to the developments carried out to establish mining sites [27]. The proportions of the surface areas of the various GI categories on the NDVI intervals demonstrate variability between cities over the period studied (2000–2023). This variability is evidenced by a sawtooth trend in tall vegetation for the city of Bujumbura and a gradual decrease for the cities of Kinshasa and Lubumbashi.

4.4. Urbanization and Loss of Natural Cover in the Cities of Bujumbura, Kinshasa and Lubumbashi

Urban vegetation plays an instrumental role in the provision of diverse ecosystem services, including the purification of air and water, the regulation of microclimate, and the treatment of waste [70]. Moreover, its presence offers people aesthetic pleasures, recreational opportunities, and physical and psychological well-being [71]. It is regrettable that the current rate of urbanization in developing countries [72] is accompanied by the elimination of GI and their replacement by anthropogenic land uses [73,74]. Cities such as Bujumbura in Burundi, Kinshasa, and Lubumbashi in the Democratic Republic of the Congo illustrate this phenomenon. Indeed, Bujumbura’s urbanization is characterized by the conversion of agricultural land for the construction of new neighborhoods [75]. Furthermore, the expansion of the city is marked by the gradual destruction of GI and other natural ecosystems to make way for new housing and other physical infrastructure, including roads and monuments. Additionally, the vegetation in buffer zones along rivers and Lake Tanganyika has been cleared to accommodate residential development [69]. The urban growth of Kinshasa occurs through the aggregation of built-up areas, which has a detrimental impact on green zones, including residual GI and market gardens [76]. This results in two distinct patterns of urban growth: extreme densification of certain central districts and low-density peripheral extensions [76]. The city of Lubumbashi has experienced a similar expansionary trajectory, with the built-up area extending towards the peri-urban zone, where plot prices are relatively affordable compared to the city center [23]. The regression of GI in all communes has been caused by the combination of strong demographic pressure and the absence of a program to preserve them [24,26]. Our results illustrate the regression and fragmentation of urban vegetation as a result of urbanization. The phenomenon of urban vegetation regression in the wake of rapid and uncontrolled urban spatial growth has also been observed in other African cities, including Abuja in Nigeria [77], Kampala in Uganda [4], and in central Togo [78]. The removal of GI from the city of Bujumbura can be attributed to the emergence of subdivisions, particularly on the outskirts of the city, which have given rise to new neighborhoods. The increasing evolution of built-up and bare soil is thought to have contributed to the disappearance of GI in the city of Kinshasa. This is believed to have originated in the destruction of GI to satisfy the wood energy needs of artisanal pastry businesses and “nganda ntaba” (various corners where kebabs, chicken legs, and grilled goat meat are sold) on the one hand, and their use for various constructions on the other [79]. Additionally, the high consumption of wood energy by restaurants, brickmakers, bakeries, and blacksmiths is a contributing factor [79]. Regarding to the fragmentation of GI in the city of Lubumbashi, this is attributable to a combination of factors, including the city’s rapid urbanization and the expansion of energy production [80]. Additionally, the fragmentation is a consequence of the patchwork nature of the city’s GI, which comprises GI alongside roads in the urban area and buffer zones, fields, abandoned areas, and informal spaces in the peri-urban zones [23]. The urban expansion of the cities of Lubumbashi and Kinshasa and the resulting quest for wood energy are threatening the protected areas around these cities. In the city of Bujumbura, specifically, peri-urban agriculture is under threat.

4.5. Implications in Public Policy

In African cities, GI is still considered by the population and certain authorities in charge of urban planning secondary spaces that are merely decorative or spaces that are free of all occupation and passage [81]. In reality, however, it needs to be preserved and developed, hence the need for scientific assistance in the conservation and development of GI. Our results highlighted the decline in GI in the cities studied and a decrease in tall vegetation, all in the context of increasing anthropization. Indeed, for all the cities studied, urbanization is the primary cause of the reduction in their GI following the installation of new houses or other infrastructures such as monuments, the densification of neighborhoods, and peripheral extensions. This situation should attract the attention of municipal planners and decision-makers and involve a range of policies along the urbanization gradient [82]. These policies concern the legal security of GI and its integration into land use planning, as well as the planning of their management, maintenance, and control [83]. Law enforcement, transparency, reliability, and the absence of corruption are crucial elements for sustainable urbanization that incorporate the conservation of vegetated ecosystems and economic development in the city [2,84]. The demolition of infrastructure or other facilities built on GI should also be considered. In the (peri)urban area, avenue trees should be planted along the main roads running through it and should, above all, be included in the urban development plan for new neighborhoods. The new occupants of these neighborhoods should be made aware of planting trees on secondary roads running through their neighborhoods along their plots, in addition to landscaping them. Priority should be given to preserving and increasing the connectivity of the GI of the cities studied [85] and, above all, to encouraging the creation of GI for buildings and roads. All these cities should adopt a master plan for the sustainable integration of GI into the urban fabric as a matter of urgency. The authorities responsible for urban planning should devote part of the municipal budget to the creation of green infrastructure in the peri-urban and rural parts of cities.

5. Conclusions

The present study conducted a comparative analysis of the GI of the cities of Bujumbura, Kinshasa, and Lubumbashi. The spatial structure indices revealed that Bujumbura and Kinshasa’s GI is characterized by the suppression of patches, whereas Lubumbashi exhibits fragmentation. The mean area of the GI slightly increased in Bujumbura and Kinshasa but decreased significantly in Lubumbashi. Dominance values rose in Bujumbura, while they declined in Kinshasa and Lubumbashi. The stability index indicated weak dynamics in Kinshasa, contrasting with more active changes in Bujumbura and Lubumbashi. The aggregation index suggested a decline in patch continuity in Bujumbura, while Kinshasa and Lubumbashi showed increased patch aggregation. The fractal dimension index highlighted the human impact on the GI of all three cities. These findings substantiate our hypothesis that the GI of these three cities exhibits a distinctive dynamic. However, the NDVI values showed a sawtooth evolution of tall vegetation in Bujumbura, with a gradual decrease in Kinshasa and Lubumbashi. The findings emphasize the need for urban planning to ensure adequate, multifunctional, and interconnected GI, which is vital not only for urban biodiversity but also for the sustainability of ecosystem services. Greening cities is essential for their social, environmental, and economic benefits, making the preservation and enhancement of natural capital imperative.

Author Contributions

Conceptualization, H.K. and J.B.; methodology, H.K.; N.C.C.; H.K.M.; W.S.; K.R.S.; Y.U.S. and J.B.; software, H.K.; D.M.; N.C.C.; H.K.M. and W.S.; validation, H.K.; Y.U.S.; K.R.S. and J.B.; formal analysis, H.K.; W.S.; N.C.C. and H.K.M.; investigation, H.K.; H.K.M.; N.C.C. and K.R.S.; resources, H.K.; H.K.M.; N.C.C. and K.R.S.; writing—original draft preparation, H.K.; writing—review and editing, H.K.; N.C.C.; D.M.; L.M.P.; W.S.; K.R.S.; Y.U.S.; T.M. and J.B.; visualization, H.K. and J.B.; supervision, H.K.; Y.U.S.; K.R.S.; T.M. and J.B.; Project administration, H.K.; T.M. and J.B.; funding acquisition, J.B. All authors have read and agreed to the published version of the manuscript.

Funding

This research was funded by the Académie de Recherche et d’Enseignement Supérieur-Commission de la Coopération au Développement (ARES-CCD, PSRCI-UB programme, UB R 4).

Data Availability Statement

No new data were created or analyzed in this study. Data sharing is not applicable to this article.

Acknowledgments

We would like to thank all the co-authors for providing the information that made this comparative study possible.

Conflicts of Interest

The authors declare no conflicts of interest.

References

  1. OECD/CSAO. Cahiers de l’Afrique de l’Ouest: Dynamiques de l’Urbanisation Africaine 2020: Africapolis, Une Nouvelle Géographie Urbaine; OECD: Paris, France, 2020; ISBN 9789264349025. [Google Scholar]
  2. Angel, S.; Parent, J.; Civco, D.L.; Blei, A.; Potere, D. The Dimensions of Global Urban Expansion: Estimates and Projections for All Countries, 2000-2050. Prog. Plann. 2011, 75, 53–107. [Google Scholar] [CrossRef]
  3. Sanyal, S. The End of Population Growth; Deutsche Bank AG: Hong Kong, China, 2011; pp. 1–13. [Google Scholar]
  4. Vermeiren, K.; Van Rompaey, A.; Loopmans, M.; Serwajja, E.; Mukwaya, P. Urban Growth of Kampala, Uganda: Pattern Analysis and Scenario Development. Landsc. Urban Plan. 2012, 106, 199–206. [Google Scholar] [CrossRef]
  5. Vivet, J. Déplacés de Guerre et Dynamiques Territoriales Postconflit Au Mozambique. Hérodote 2015, 158, 160. [Google Scholar] [CrossRef]
  6. Lavergne, M. De La Cuvette Du Haut-Nil Aux Faubourgs de Khartoum: Les Déplacés Du Sud-Soudan. Déplacés et Réfugiés, La Mobilité Sous La Contrainte. Ed. l’IRD 1999, 109–136. [Google Scholar]
  7. Schäffler, A.; Swilling, M. Valuing Green Infrastructure in an Urban Environment under Pressure - The Johannesburg Case. Ecol. Econ. 2013, 86, 246–257. [Google Scholar] [CrossRef]
  8. Bogaert, J.; Vranken, I.; Andre, M. Biocultural Landscapes. Biocultural Landsc. 2014. [Google Scholar] [CrossRef]
  9. Madureira, H.; Cormier, L. La Complexité de l’ Application Du Concept d’ Infrastructure Verte à l’ Échelle Locale: Exemples de Paris et Porto. In Urbanités Biodiversité. Entre Villes Fertiles Campagnes Urbaines, Quelle Place Pour La Biodiversité? HAL Open Science: Lyon, France, 2017. [Google Scholar]
  10. Zhou, X.; Wanghe, K.; Jiang, H.; Ahmad, S.; Zhang, D. Construction of Green Infrastructure Networks Based on the Temporal and Spatial Variation Characteristics of Multiple Ecosystem Services in a City on the Tibetan Plateau: A Case Study in Xining, China. Ecol. Indic. 2024, 163, 112139. [Google Scholar] [CrossRef]
  11. Osseni, A.A.; Mouhamadou, T.; Tohoain, B.A.C.; Sinsin, B. SIG et Gestion Des Espaces Verts Dans La Ville de Porto-Novo Au Benin. Tropicultura 2015, 332, 146–156. [Google Scholar]
  12. du Toit, M.J.; Cilliers, S.S.; Dallimer, M.; Goddard, M.; Guenat, S.; Cornelius, S.F. Urban Green Infrastructure and Ecosystem Services in Sub-Saharan Africa. Landsc. Urban Plan. 2018, 180, 249–261. [Google Scholar] [CrossRef]
  13. Gashu, K.; Egziabher, T.G. Spatiotemporal Trends of Urban Land Use / Land Cover and Green Infrastructure Change in Two Ethiopian Cities: Bahir Dar and Hawassa. Environ. Syst. Res. 2018. [Google Scholar] [CrossRef]
  14. Fomba, M.; Osunde, Z.D.; Traoré, S.S.; Okhimamhe, A.; Kleemann, J.; Fürst, C. Urban Green Spaces in Bamako and Sikasso, Mali_ Land Use Changes and Perceptions. Land 2024, 13, 59. [Google Scholar] [CrossRef]
  15. Useni, Y.S.; Malaisse, F.; Yona, J.M.; Mwamba, T.M.; Bogaert, J. Diversity, Use and Management of Household-Located Fruit Trees in Two Rapidly Developing Towns in Southeastern D.R. Congo. Urban For. Urban Green. 2021, 63, 127220. [Google Scholar] [CrossRef]
  16. Turner, S.C.; Turner, R.N. Capital Cities: A Special Case in Urban Development. Ann. Reg. Sci. 2011, 46, 19–35. [Google Scholar] [CrossRef]
  17. Washbourne, C. Environmental Policy Narratives and Urban Green Infrastructure: Reflections from Five Major Cities in South Africa and the UK. Environ. Sci. Pol. 2022, 129, 96–106. [Google Scholar] [CrossRef]
  18. Delgado-Capel, M.; Cariñanos, P. Towards a Standard Framework to Identify Green Infrastructure Key Elements in Dense Mediterranean Cities. Forests 2020, 11, 1246. [Google Scholar] [CrossRef]
  19. Turner, M.G. Landscape Ecology: The Effect of Pattern on Process. Annu. Rev. Ecol. Syst. 1989, 20, 171–197. [Google Scholar] [CrossRef]
  20. Messina Ndzomo, J.P.; Sambieni, K.R.; Mbevo Fendoung, P.; Mate Mweru, J.P.; Bogaert, J.; Halleux, J.M. La Croissance De L’Urbanisation Morphologique À Kinshasa Entre 1979 Et 2015: Analyse Densimétrique Et De La Fragmentation Du Bâti. BSGLg 2019, 73, 85–103. [Google Scholar] [CrossRef]
  21. Bigirimana, J. Urban Plant Diversity Patterns, Processes and Conservation Value in Sub-Saharan Africa: Case of Bujumbura in Burundi. Ph.D. Thesis, Université libre de Bruxelles, Brussels, Belgium, 2012. [Google Scholar]
  22. Mavunda, C.A.; Kanda, M.; Folega, F.; Egbelou, V.; Bosela, B.; Drazo, N.A.; Yoka, J.; Dourma, M. Dynamique Spatio-Temporelle Des Changements d ’ Occupation Du Sol Sous Incidence Anthropique Dans La Ville de Kinshasa ( RDC ) de 2001 à 2021. Geo-Eco-Trop 2022, 46, 137–148. [Google Scholar]
  23. Useni, Y.S. Analyse Spatio-Temporelle Des Dynamiques d’anthropisation Paysagère Le Long Du Gradient Urbain-Rural de La Ville de Lubumbashi (Haut-Katanga, République Démocratique Du Congo). Ph.D. Thesis, Université de Lubumbashi République Dé-mocratique du Congo, Lubumbashi, Democratic Republic of the Congo, 2017. [Google Scholar]
  24. Maréchal, J.; Useni, S.Y.; Bogaert, J.; Munyemba, K.F.; Mahy, G. La Perception par des Experts Locaux des Espaces Verts et de Leurs Services Écosystémiques Dans Une Ville Tropicale En Expansion: Le Cas de Lubumbashi. In Anthropisation des Paysages Katangais; Bogaert, J., Colinet, G., Mahy, G., Eds.; Presse Universitaire de Liège: Gembloux, Belgium, 2018; pp. 59–69. [Google Scholar]
  25. Mashagiro, G.Q.; Mujinya, B.B.; Colinet, G.; Mahy, G. Vegetation Degradation Alters Soil Physicochemical Properties and Potentially Affects Ecosystem Services in Green Spaces of a Tropical Megacity (Lubumbashi, DR Congo). Geoderma Reg. 2024, 37. [Google Scholar] [CrossRef]
  26. Useni Sikuzani, Y.; Mpibwe Kalenga, A.; Yona Mleci, J.; N’Tambwe Nghonda, D.; Malaisse, F.; Bogaert, J. Assessment of Street Tree Diversity, Structure and Protection in Planned and Unplanned Neighborhoods of Lubumbashi City (DR Congo). Sustainability 2022, 14, 3830. [Google Scholar] [CrossRef]
  27. Useni Sikuzani, Y.; Boisson, S.; Cabala Kaleba, S.; Nkuku Khonde, C.; Malaisse, F.; Halleux, J.-M.; Bogaert, J.; Munyemba Kankumbi, F. Dynamique de l’ Occupation Du Sol Autour Des Sites Miniers: Analyse à Long Terme de La Structure Spatiale à Lubumbashi. Biotechnol. Agron. Soc. Env. 2019, 24, 14–27. [Google Scholar]
  28. Biona, B. Classification Des Series Temporelles Landsat-8 Pour La Cartographie Du Gradient De Vegetation Dans Le Nord De La Republique Du Congo. Sci. Tech. 2017, 16, 1815–4433. [Google Scholar]
  29. Useni, Y.S.; Mukenza, M.; Mpanza, M.M.; Malaisse, F.; Bogaert, J. Investigating of Spatial Urban Growth Pattern and Associ-ated Landscape Dynamics in Congolese Mining Cities Bordering Zambia from 1990 to 2023. Resources 2024, 13, 107. [Google Scholar] [CrossRef]
  30. Salmon, M.; Ozer, A.; Pissart, A. Les Images Satellitaires Prises En Période de Sécheresse, Outil Utile Pour La Cartographie Géologique de La Belgique. Bull. la Société Géographique Liège 2007, 49, 67–74. [Google Scholar]
  31. Soucy-Gonthier, N.; Marceau, D.; Delage, M.; Cogliastro, A.; Domon, G.; Bouchard, A. Détection de l’évolution des Superficies Forestières en Montérégie Entre Juin 1999 et Août 2002 à Partir d’images Satellitaires LandSat-TM; Université de Montréal: Montreal, QC, Canada, 2003. [Google Scholar]
  32. Zurqani, H.A.; Post, C.J.; Mikhailova, E.A.; Schlautman, M.A.; Sharp, J.L. Geospatial Analysis of Land Use Change in the Savannah River Basin Using Google Earth Engine. Int. J. Appl. Earth Obs. Geoinf. 2018, 69, 175–185. [Google Scholar] [CrossRef]
  33. Zhu, Z.; Woodcock, C.E. Object-Based Cloud and Cloud Shadow Detection in Landsat Imagery. Remote Sens. Environ. 2012, 118, 83–94. [Google Scholar] [CrossRef]
  34. Bonn, F.; Rochon, G. Précis de Télédétection. Principes et Méthodes; Presses de l’Université du Québec: Québec, QC, Canada, 1992. [Google Scholar]
  35. Floreano, I.X.; de Moraes, L.A.F. Land Use/Land Cover (LULC) Analysis (2009–2019) with Google Earth Engine and 2030 Prediction Using Markov-CA in the Rondônia State, Brazil. Environ. Monit. Assess. 2021, 193, 239. [Google Scholar] [CrossRef] [PubMed]
  36. Girard, M.C.; Girard, C.M. Traitement Des Données de Télédétection, 2nd ed.; Dunod: Paris, France, 2010. [Google Scholar]
  37. Mama, V.J.; Oloukoi, J. Évaluation de La Précision Des Traitements Analogiques Des Images Satellitaires Dans l’étude de La Dynamique de l’occupation Du Sol. Télédétection 2003, 3, 429–441. [Google Scholar]
  38. Bogaert, J.; Vranken, I.; Andre, M. Anthropogenic Effects in Landscapes: Historical Context and Spatial Pattern. In Biocultural Landscapes: Diversity, Functions and Values; Springer: Berlin, Germany, 2014; pp. 89–112. [Google Scholar] [CrossRef]
  39. Davidson, C. Issues in Measuring Landscape Fragmentation. Wildl. Soc. Bull. 1998, 32–37. [Google Scholar]
  40. He, H.S.; DeZonia, B.E.; Mladenoff, D.J. An Aggregation Index (AI) to Quantify Spatial Patterns of Landscapes. Landsc. Ecol. 2000, 15, 591–601. [Google Scholar] [CrossRef]
  41. Hesselbarth, M.H.K.; Scianini, M.; With, K.A.; Wiegand, K.; Nowosad, J. Landscaperemetrics: An Open-Source R Tool to Calculae Landscape Ma-trics. Ecography 2019, 42, 1648–1657. [Google Scholar] [CrossRef]
  42. Diallo, H.; Bamba, I.; Barima, Y.S.S.; Visser, M.; Ballo, A.; Mama, A.; Vranken, I.; Maiga, M.; Bogaert, J. Effets Combinés Du Climat et Des Pressions Anthropiques Sur La Dynamique Évolutive de La Dégradation d’une Aire Protégée Du Mali (La Réserve de Fi-na, Boucle Du Baoulé). Sci. Chang. Plan. 2011, 22, 97–107. [Google Scholar]
  43. Krummel, J.R.; Gardner, R.H.; Sugihara, G.; O’neill, R.V.; Coleman, P.R. Landscape Patterns in a Disturbed Environment. Oikos 1987, 321–324. [Google Scholar] [CrossRef]
  44. Bogaert, J.; Ceulemans, R.; Salvador-Van Eysenrode, D. Decision Tree Algorithm for Detection of Spatial Processes in Landscape Transformation. Environ. Manag. 2004, 33, 62–73. [Google Scholar] [CrossRef]
  45. de Haulleville, T.; Rakotondrasoa, O.L.; Rakoto Ratsimba, H.; Bastin, J.F.; Brostaux, Y.; Verheggen, F.J.; Rajoelison, G.L.; Malaisse, F.; Poncelet, M.; Haubruge, É.; et al. Fourteen Years of Anthropization Dynamics in the Uapaca Bojeri Baill. Forest of Madagascar. Landsc. Ecol. Eng. 2018, 14, 135–146. [Google Scholar] [CrossRef]
  46. Tente, O.; Oloukoi, J.; Toko, I.; Tente, O.; Oloukoi, J.; Toko, I. Dynamique Spatiale et Structure Du Paysage Dans La Commune de Zè, Bénin. In OSFACO Conference: Satellite Images for Sustainable Land Management in Africa; CBFP: Washington, DC, USA, 2019. [Google Scholar]
  47. Razagui, A.; Bachari, N.E.I. Spatio-Temporal Analysis of NDVI Vegetation Index Calculated from NOAA and MSG Satellite Images. J. Renew. Energ. 2014, 17, 497–506. [Google Scholar]
  48. Vani, V.; Mandla, V.R. Comparative Study of NDVI and SAVI Vegetation Indices in Anantapur District Semi-Arid Areas. Int. J. Civ. Eng. Technol. 2017, 8, 559–566. [Google Scholar]
  49. Huete, A.; Didan, K.; Van Leeuwen, W.; Miura, T.; Glenn, E. Land Remote Sensing and Global Environmental Change: NASA’s Earth Observing System and the Science of ASTER and MODIS; Springer: Berlin/Heidelberg, Germany, 2011; p. 894. [Google Scholar] [CrossRef]
  50. Meneses-Tovar, C.L. L’indice Différentiel Normalisé de Végétation Comme Indicateur de La Dégradation. Unasylva 2011, 62, 39–46. [Google Scholar]
  51. Landis, J.R.; Koch, G.G. The Measurement of Observer Agreement for Categorical Data Data for Categorical of Observer Agreement The Measurement. Biometrics 1977, 33, 159–174. [Google Scholar] [CrossRef]
  52. Foody, G.M. Assessing the Accuracy of Land Cover Change with Imperfect Ground Rerefence Data. Remote Sens. Envirn. 2010, 144, 2271–2285. [Google Scholar] [CrossRef]
  53. Hesselbarth, M.H.K.; Nowosad, J.; Signer, J.; Graham, L.J. Open-Source Tools in R for Landscape Ecology. Curr. Landsc. Ecol. Rep. 2021, 6, 97–111. [Google Scholar] [CrossRef]
  54. Kayiranga, A.; Kurban, A.; Ndayisaba, F.; Nahayo, L.; Karamage, F.; Ablekim, A.; Li, H.; Ilniyaz, O. Monitoring Forest Cover Change and Fragmentation Using Remote Sensing and Landscape Metrics in Nyungwe-Kibira Park. J. Geosci. Environ. Prot. 2016, 4, 13–33. [Google Scholar] [CrossRef]
  55. Simwanda, M.; Ranagalage, M.; Estoque, R.C.; Murayama, Y. Spatial Analysis of Surface Urban Heat Islands in Four Rapidly Growing African Cities. Remote Sens. 2019, 11, 1645. [Google Scholar] [CrossRef]
  56. Forman, R.T. T Some General Principles of Landscape and Regional Ecology. Landsc. Ecol. 1995, 10, 133–142. [Google Scholar] [CrossRef]
  57. Burel, F.; Baudry, J. Ecologie Du Paysage. Concepts, Méthodes et Applications; Tec & Doc.: Paris, France, 2003. [Google Scholar]
  58. Haila, Y. A Conceptual Genealogy of Fragmentation Research: From Island Biogeography to Landscape Ecology. Ecol. Appl. 2002, 12, 321–334. [Google Scholar] [CrossRef]
  59. Mouhamadou, I.; Imorou, I.; Mèdaho, A.; Sinsin, B. Perceptions Locales Des Déterminants de La Fragmentation Des Îlots de Forêts Denses Dans La Région Des Monts Kouffé Au Bénin. J. Appl. Biosci. 2013, 66, 5049. [Google Scholar] [CrossRef]
  60. Ducrot, D. Méthodes d’analyses et d’interprétation d’images de Télédétection Multisource. Extraction de Caractéristiques Du Paysage; INP: Toulouse, France, 2005. [Google Scholar]
  61. Mouhamadou, I.T.; Touré, F.; Imorou, I.T.; Sinsin, B. Indices de Structures Spatiales Des Îlots de Forêts Denses Dans La Région Des Monts Kouffé. VertigO 2012, 12, 1–17. [Google Scholar] [CrossRef]
  62. Delcros, P. Ecologie Du Paysage et Dynamique Végétale Post-Culturale; CEMAGREF: Fresnes, France, 1994; p. 13. ISBN 2853623823. [Google Scholar]
  63. Bogaert, J.; Rousseau, R.; Van Hecke, P.; Impens, I. Alternative Area-Perimeter Ratios for Measurement of 2D Shape Compactness of Habitats. Appl. Math. Comput. 2000, 111, 71–85. [Google Scholar] [CrossRef]
  64. Dupin, L.; Nkono, C.; Burlet, C.; Muhashi, F.; Vanbrabant, Y. Land Cover Fragmentation Using Multi-Temporal Remote Sensing on Major Mine Sites in Southern Katanga (Democratic Republic of Congo). Adv. Remote Sens. 2013, 02, 127–139. [Google Scholar] [CrossRef][Green Version]
  65. Kabuanga, J.M.; Adipalina Guguya, B.; Ngenda Okito, E.; Maestripieri, N.; Saqalli, M.; Rossi, V.; Iyongo Waya Mongo, L. Suivi de l’anthropisation Du Paysage Dans La Région Forestière de Babagulu, République Démocratique Du Congo. VertigO 2020, 20, 1–27. [Google Scholar] [CrossRef]
  66. Romero-Sanchez, M.E.; Ponce-Hernandez, R. Assessing and Monitoring Forest Degradation in a Deciduous Tropical Forest in Mexico via Remote Sensing Indicators. Forests 2017, 8, 302. [Google Scholar] [CrossRef]
  67. Diello, P.; Mahe, G.; Paturel, J.-E.; Dezetter, A.; Delclaux, F.; Servat, E.; Ouattara, F. Relations Indices de Végétation–Pluie Au Burkina Faso: Cas Du Bassin Versant Du Nakambé. Hydrol. Sci. J. 2005, 50, 221. [Google Scholar] [CrossRef]
  68. Hao, F.; Zhang, X.; Ouyang, W.; Skidmore, A.K.; Toxopeus, A.G. Vegetation NDVI Linked to Temperature and Precipitation in the Upper Catchments of Yellow River. Environ. Model. Assess. 2012, 17, 389–398. [Google Scholar] [CrossRef]
  69. Bangirinama, F.; Nzitwanayo, B.; Hakizimana, P. Utilisation Du Charbon de Bois Comme Principale Source d’énergie de La Population Urbaine: Un Sérieux Problème Pour La Conservation Du Couvert Forestier Au Burundi. Bois Forets des Trop. 2016, 8, 45–53. [Google Scholar] [CrossRef]
  70. Bolund, P.; Hunhammar, S. Ecosystem Services in Urban Areas. Ecol. Econ. 1999, 29, 293–301. [Google Scholar] [CrossRef]
  71. Lotfi, M.; Christiane, W.; Pietro Francesca, D.; Wissal, S. Les Services Écosystémiques Urbains, Vers Une Multifonctionnalité Des Espaces Verts Publics: Revue de Littérature. Environ. Urbain/Urban Environ. 2017, 11. [Google Scholar]
  72. Attoumani, A.; Victor, R.; Randriamampandry, C. La Croissance de La Ville d’Antananarivo et Ses Conséquences. Madamines 2019, 1, 1–25. [Google Scholar]
  73. Kong, F.; Nakagoshi, N. Spatial-Temporal Gradient Analysis of Urban Green Spaces in Jinan, China. Landsc. Urb. Plan. 2006, 78, 147–164. [Google Scholar] [CrossRef]
  74. Mcdonald, R.I.; Forman, R.T.T.; Kareiva, P. Open Space Loss and Land Inequality in United States’ Cities, 1990–2000. PLoS ONE 2010, 5, e9509. [Google Scholar] [CrossRef]
  75. Toyi, O. Politiques Publiques Urbaines de l’Habitat Dans la Ville de Bujumbura de 1962 a 2009. Ph.D. Thesis, Université de Pau et des Pays de l’Adour, Pau, France, 2012. [Google Scholar]
  76. Mangenda, H.H.; Tshibuabua, F.M.; Bokako, C.E.; Dihoka, F.; Kandala, D. Urban Growth and Environmental Degradation in the Municipality of Kalamu, Kinshasa. Hal 2023. Available online: https://hal.science/hal-04151946 (accessed on 22 July 2024).
  77. Ujoh, F.; Dlama, K.I.; Oluseyi, I.O. Urban Expansion and Vegetal Cover Loss in and around Nigeria’ s Federal Capital City. J. Ecol. Nat. Environ. 2011, 3, 1–10. [Google Scholar]
  78. Koumoi, Z.; Alassane, A.; Djangbedja, M.; Boukpessi, T.; Kouya, A.-E. Dynamique Spatio-Temporelle de l’occupation Du Sol Dans Le Centre-Togo. AHOHO-Rev. Géographie LARDYMES 2013, 7, 163–172. [Google Scholar]
  79. Tungi, J.; Luzolo, T.; Ngembo, E.N.; Masivi, C.L.; Landu, E.L.; Kibwila, M.N. Pression Exercée Par Les Entreprises Pâtissières Artisanales et Nganda Ntaba Sur La Végétation Arborée Urbaine et Périurbaine à Kinshasa En République Démocratique Du Congo. Int. J. Innov. Sci. Res. 2022, 62, 25–39. [Google Scholar]
  80. Twite, G.; Balume, S. Utilisation Énergétique à l ’ Échelle Urbaine En République Démocratique Du Congo: État de Lieux, Défis et Perspectives Energy Use at the Urban Scale in the Democratic Republic of Congo: State of Affairs, Challenges and Perspectives; ISTE Ltd.: London, UK, 2000; pp. 1–19. [Google Scholar]
  81. Arnaud, Y.P.; Célestin, A.Y. Problematique de la Gestion Durable de la Foret Periurbaine de l’Anguededou (Abidjan, Cote D’Ivoire ). Rev. Sci. Tchad 2016, 36, 40–50. [Google Scholar]
  82. Kabisch, N. Ecosystem Service Implementation and Governance Challenges in Urban Green Space Planning-The Case of Berlin, Germany. Land Use Policy 2015, 42, 557–567. [Google Scholar] [CrossRef]
  83. Larson, K.L.; Nelson, K.C.; Samples, S.R.; Hall, S.J.; Bettez, N.; Cavender-Bares, J.; Groffman, P.M.; Grove, M.; Heffernan, J.B.; Hobbie, S.E.; et al. Ecosystem Services in Managing Residential Landscapes: Priorities, Value Dimensions, and Cross-Regional Patterns. Urban Ecosyst. 2016, 19, 95–113. [Google Scholar] [CrossRef]
  84. Cohen, B. Urban Growth in Developing Countries: A Review of Current Trends and a Caution Regarding Existing Forecasts. World Dev. 2004, 32, 23–51. [Google Scholar] [CrossRef]
  85. Angelone, S.; Holderegger, R. Population Genetics Suggests Effectiveness of Habitat Connectivity Measures for the European Tree Frog in Switzerland. J. Appl. Ecol. 2009, 46, 879–887. [Google Scholar] [CrossRef]
Disclaimer/Publisher’s Note: The statements, opinions and data contained in all publications are solely those of the individual author(s) and contributor(s) and not of MDPI and/or the editor(s). MDPI and/or the editor(s) disclaim responsibility for any injury to people or property resulting from any ideas, methods, instructions or products referred to in the content.

Article Metrics

Citations

Article Access Statistics

Multiple requests from the same IP address are counted as one view.