Co-Management Effects on Forest Restoration in Protected Areas of Bangladesh: A Remote Sensing and GIS-Based Analysis
Abstract
1. Introduction
2. Materials and Methods
2.1. Description of the Five Study Protected Areas
2.2. Satellite Image Collection and Processing
2.2.1. Base Map Collection
2.2.2. Acquisition of Long-Term Satellite Image
2.2.3. Filtering the Bad-Quality Pixels
2.2.4. Scan Line Error (SLC) Correction
2.3. Calculation of Spectral Vegetation Indices
2.4. Land Cover Classification
2.5. Statistical Analysis
3. Results
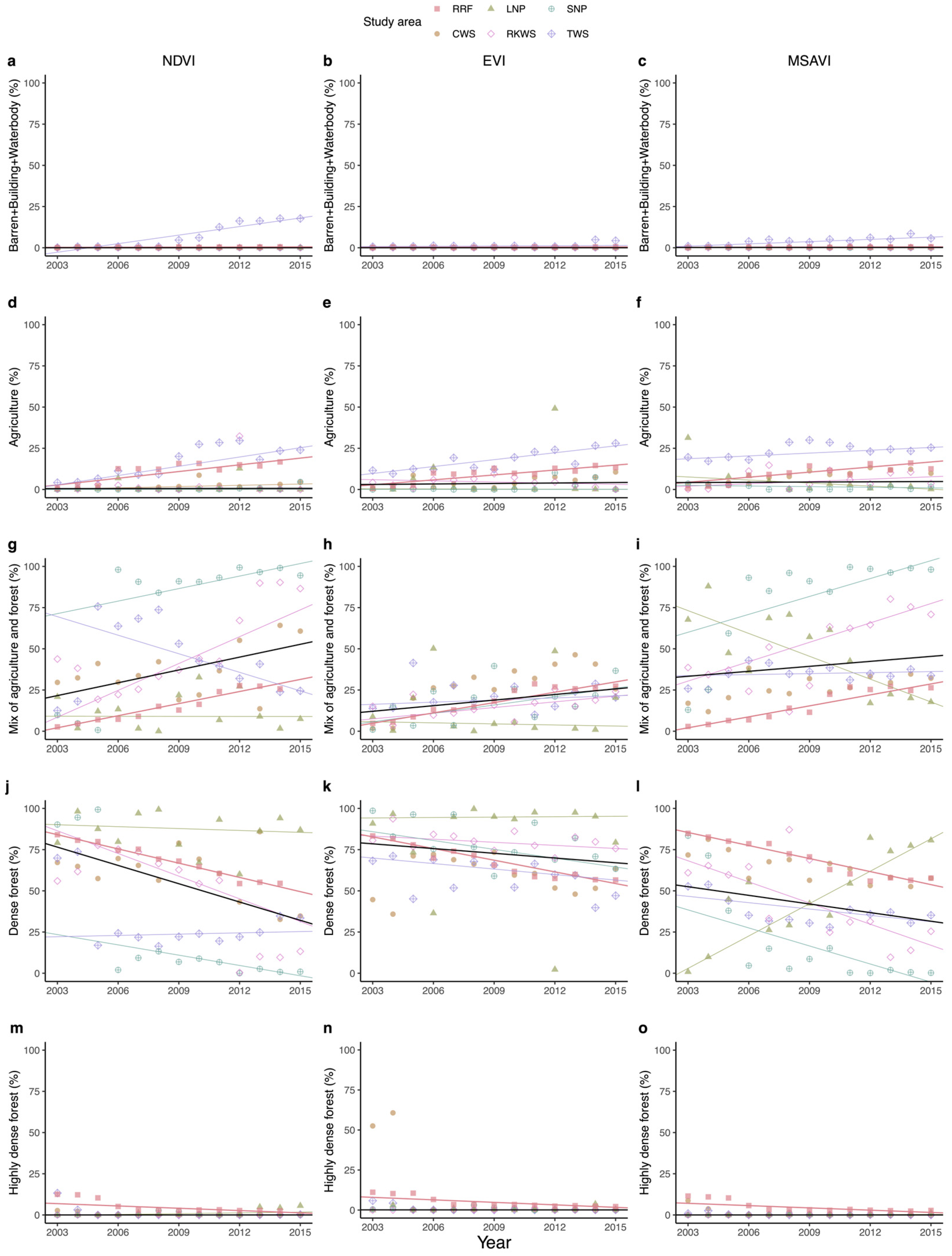
3.1. Overall Trend of Land Cover Change in the Six Study Areas over the Co-Management Period
3.2. Protected Area-Specific Trends in Land Cover Change during the Co-Management Period
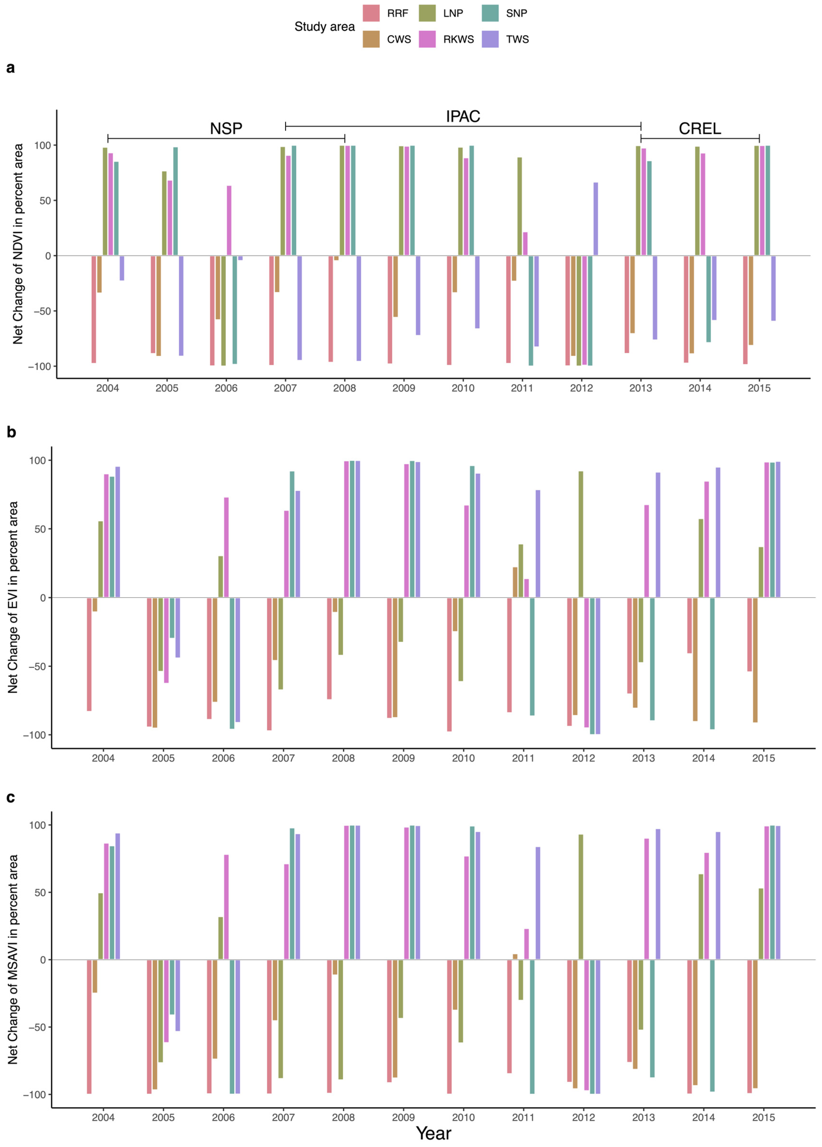
3.3. Pixel-to-Pixel Changes of Spectral Indices over Time
3.4. Forest Cover Change from Global Forest Watch Data
4. Discussion
4.1. Co-Management Reduces Forest Cover in Major Protected Areas of Bangladesh
4.2. Co-Management Increases Forest Cover in LNP
4.3. Co-Management Impact on Total Vegetation Cover in the Five Pilot Protected Areas
4.4. Forest and Total Vegetation Cover in Forests Without Co-Management Practices
5. Conclusions
Supplementary Materials
Author Contributions
Funding
Data Availability Statement
Acknowledgments
Conflicts of Interest
References
- Krsnik, G.; Reynolds, K.M.; Murphy, P.; Paplanus, S.; Garcia-Gonzalo, J.; González Olabarria, J.R. Forest Use Suitability: Towards Decision-Making-Oriented Sustainable Management of Forest Ecosystem Services. Geogr. Sustain. 2023, 4, 414–427. [Google Scholar] [CrossRef]
- Poudyal, B.H.; Maraseni, T.; Cockfield, G. Scientific Forest Management Practice in Nepal: Critical Reflections from Stakeholders’ Perspectives. Forests 2020, 11, 27. [Google Scholar] [CrossRef]
- Charmakar, S.; Kimengsi, J.N.; Giessen, L. Power in Forest Management Institutions: A Systematic Review. Trees For. People 2024, 15, 100465. [Google Scholar] [CrossRef]
- De Pourcq, K.; Thomas, E.; Arts, B.; Vranckx, A.; Léon-Sicard, T.; Van Damme, P. Conflict in Protected Areas: Who Says Co-Management Does Not Work? PLoS ONE 2016, 10, e0144943. [Google Scholar] [CrossRef]
- Begum, F.; Lobry de Bruyn, L.; Kristiansen, P.; Islam, M.A. Institutionalising Co-Management Activities for Conservation of Forest Resources: Evidence from the Sundarban Mangrove Forest Management of Bangladesh. J. Environ. Manag. 2021, 298, 113504. [Google Scholar] [CrossRef] [PubMed]
- Kimengsi, J.N.; Bhusal, P.; Aryal, A.; Fernandez, M.V.; Owusu, R.; Chaudhary, A.; Nielsen, W. What (De)Motivates Forest Users’ Participation in Co-Management? Evidence from Nepal. Forests 2019, 10, 512. [Google Scholar] [CrossRef]
- Ghorbani, M.; Azadi, H. A Social-Relational Approach for Analyzing Trust and Collaboration Networks as Preconditions for Rangeland Comanagement. Rangel. Ecol. Manag. 2021, 75, 170–184. [Google Scholar] [CrossRef]
- Islam, K.N.; Rahman, M.M.; Jashimuddin, M.; Hossain, M.M.; Islam, K.; Faroque, M.A. Analyzing Multi-Temporal Satellite Imagery and Stakeholders’ Perceptions to Have an Insight into How Forest Co-Management Is Changing the Protected Area Landscapes in Bangladesh. For. Policy Econ. 2019, 101, 70–80. [Google Scholar] [CrossRef]
- Quimby, B.; Levine, A. Participation, Power, and Equity: Examining Three Key Social Dimensions of Fisheries Co-management. Sustainability 2018, 10, 3324. [Google Scholar] [CrossRef]
- Bardsley, D.K.; Bardsley, A.M.; Moskwa, E.; Weber, D.; Robinson, G.M. Challenges to the Co-Management of Biodiversity in a Reflexive Modernity. Geogr. Res. 2021, 59, 362–377. [Google Scholar] [CrossRef]
- Plummer, R.; Baird, J. Adaptive Co-Management for Climate Change Adaptation: Considerations for the Barents Region. Sustainability 2013, 5, 629–642. [Google Scholar] [CrossRef]
- Negassa, M.D.; Mallie, D.T.; Gemeda, D.O. Forest Cover Change Detection Using Geographic Information Systems and Remote Sensing Techniques: A Spatio-Temporal Study on Komto Protected Forest Priority Area, East Wollega Zone, Ethiopia. Environ. Syst. Res. 2020, 9, 1. [Google Scholar] [CrossRef]
- Chinangwa, L.L.; Pullin, A.S.; Hockley, N. Impact of Forest Co-Management Programs on Forest Conditions in Malawi. J. Sustain. For. 2017, 36, 338–357. [Google Scholar] [CrossRef]
- Nagendra, H.; Tucker, C.; Carlson, L.; Southworth, J.; Karmacharya, M.; Karna, B. Monitoring Parks through Remote Sensing: Studies in Nepal and Honduras. Environ. Manag. 2004, 34, 748–760. [Google Scholar] [CrossRef]
- Niraula, R.R.; Gilani, H.; Pokharel, B.K.; Qamer, F.M. Measuring Impacts of Community Forestry Program through Repeat Photography and Satellite Remote Sensing in the Dolakha District of Nepal. J. Environ. Manag. 2013, 126, 20–29. [Google Scholar] [CrossRef]
- Gondwe, M.F.; Cho, M.A.; Chirwa, P.W.; Geldenhuys, C.J. Land Use Land Cover Change and the Comparative Impact of Co-Management and Government-Management on the Forest Cover in Malawi (1999–2018). J. Land Use Sci. 2019, 14, 281–305. [Google Scholar] [CrossRef]
- Kaiser, E.T.; Roberts, K.; Pawkham, J.; Thongdi, B.; Morikawa, R.; Satre, D. Healthy Forest, Healthy People: Remote Sensing and Monitoring Support Implementation of Community Forestry in Thailand. In Proceedings of the 2012 IEEE Global Humanitarian Technology Conference, Seattle, WA, USA, 21–24 October 2012; pp. 111–116. [Google Scholar]
- Rasheed, K.B.S. Participatory Forestry as a Strategy for Reforestation in Bangladesh. GeoJournal 1995, 37, 39–44. [Google Scholar] [CrossRef]
- Sarker, S.K.; Deb, J.C.; Halim, M.A. A Diagnosis of Existing Logging Bans in Bangladesh. Int. For. Rev. 2011, 13, 461–475. [Google Scholar] [CrossRef]
- Chowdhury, M.S.H.; Koike, M. An Overview on the Protected Area System for Forest Conservation in Bangladesh. J. For. Res. 2010, 21, 111–118. [Google Scholar] [CrossRef]
- Chowdhury, M.S.H.; Gudmundsson, C.; Izumiyama, S.; Koike, M.; Nazia, N.; Rana, M.P.; Mukul, S.A.; Muhammed, N.; Redowan, M. Community Attitudes toward Forest Conservation Programs through Collaborative Protected Area Management in Bangladesh. Environ. Dev. Sustain. 2014, 16, 1235–1252. [Google Scholar] [CrossRef]
- Rahman, M.M.; Mahmud, M.A.A.; Ahmed, F.U. Restoration of Degraded Forest Ecosystem through Non-Forestry Livelihood Supports: Experience from the Chunati Wildlife Sanctuary in Bangladesh. For. Sci. Technol. 2017, 13, 109–115. [Google Scholar] [CrossRef]
- Rashid, A.Z.M.M.; Craig, D.; Mukul, S.A.; Khan, N.A. A Journey towards Shared Governance: Status and Prospects for Collaborative Management in the Protected Areas of Bangladesh. J. For. Res. 2013, 24, 599–605. [Google Scholar] [CrossRef]
- Rahman, M.S.; Miah, S.; Giessen, L. A New Model of Development Coalition Building: USAID Achieving Legitimate Access and Dominant Information in Bangladesh’s Forest Policy. World Dev. 2018, 105, 248–261. [Google Scholar] [CrossRef]
- Islam, M.W.; Ahmed, S.; Mahin, R.T. Motivation in Community-Based Tourism: Linking Locals to Internationals in Promoting Community Development and Conservation of Natural Resources. In Strategic Tourism Planning for Communities: Restructuring and Rebranding (Building the Future of Tourism); Sharma, A., Arora, S., Eds.; Emerald Publishing Limited: Leeds, UK, 2024; pp. 221–245. ISBN 978-1-83549-016-7. [Google Scholar]
- Mukul, S.A.; Rashid, A.Z.M.M.; Quazi, S.A.; Uddin, M.B.; Fox, J. Local Peoples’ Responses to Co-Management Regime in Protected Areas: A Case Study from Satchari National Park, Bangladesh. For. Trees Livelihoods 2012, 21, 16–29. [Google Scholar] [CrossRef]
- Oldekop, J.A.; Holmes, G.; Harris, W.E.; Evans, K.L. A Global Assessment of the Social and Conservation Outcomes of Protected Areas. Conserv. Biol. 2016, 30, 133–141. [Google Scholar] [CrossRef]
- Bilyaminu, H.; Radhakrishnan, P.; Vidyasagaran, K.; Srinivasan, K. Monitoring Land Use and Land Cover Change of Forest Ecosystems of Shendurney Wildlife Sanctuary, Western Ghats, India. Asian J. Environ. Ecol. 2021, 15, 20–27. [Google Scholar] [CrossRef]
- Meli Fokeng, R.; Gadinga Forje, W.; Meli Meli, V.; Nyuyki Bodzemo, B. Multi-Temporal Forest Cover Change Detection in the Metchie-Ngoum Protection Forest Reserve, West Region of Cameroon. Egypt. J. Remote Sens. Space Sci. 2020, 23, 113–124. [Google Scholar] [CrossRef]
- Vogelmann, J.E.; DeFelice, T.P. Characterization of Intra-Annual Reflectance Properties of Land Cover Classes in Southeastern South Dakota Using Landsat TM and ETM+ Data. Can. J. Remote Sens. 2003, 29, 219–229. [Google Scholar] [CrossRef]
- Xue, J.; Su, B. Significant Remote Sensing Vegetation Indices: A Review of Developments and Applications. J. Sens. 2017, 2017, 1353691. [Google Scholar] [CrossRef]
- da Silva, V.S.; Salami, G.; da Silva, M.I.O.; Silva, E.A.; Monteiro Junior, J.J.; Alba, E. Methodological Evaluation of Vegetation Indexes in Land Use and Land Cover (LULC) Classification. Geol. Ecol. Landsc. 2020, 4, 159–169. [Google Scholar] [CrossRef]
- Zafar, T.B.; Ding, W.; Din, S.U.; Khan, G.M.; Hao, C.; He, L. Forest Cover and Land Use Map of the Chunati Wildlife Sanctuary Based on Participatory Mapping and Satellite Images: Insight into Chunati Beat. Land Use Policy 2021, 103, 105193. [Google Scholar] [CrossRef]
- Islam, K.; Jashimuddin, M.; Nath, B.; Nath, T.K. Quantitative Assessment of Land Cover Change Using Landsat Time Series Data: Case of Chunati Wildlife Sanctuary (CWS), Bangladesh. Int. J. Environ. Geoinformatics 2016, 3, 45–55. [Google Scholar] [CrossRef]
- Ahmed, N.; Mahbub, R.B.; Hossain, M.M.; Sujauddin, M. Modelling Spatio-Temporal Changes of Tropical Forest Cover in the North-Eastern Region of Bangladesh. J. Trop. For. Sci. 2020, 32, 42–51. [Google Scholar]
- Ullah, S.M.A.; Tani, M.; Tsuchiya, J.; Rahman, M.A.; Moriyama, M. Impact of Protected Areas and Co-Management on Forest Cover: A Case Study from Teknaf Wildlife Sanctuary, Bangladesh. Land Use Policy 2022, 113, 105932. [Google Scholar] [CrossRef]
- Hossen, A.; Røskaft, E. A Case Study on Conflict Intensity between Humans and Elephants at Teknaf Wildlife Sanctuary, Cox’s Bazar, Bangladesh. Front. Conserv. Sci. 2023, 4, 1067045. [Google Scholar] [CrossRef]
- Chowdhury, M.S.H.; Koike, M.; Rana, P.; Muhammed, N. Community Development through Collaborative Management of Protected Areas: Evidence from Bangladesh with a Case of Rema-Kalenga Wildlife Sanctuary. Int. J. Sustain. Dev. World Ecol. 2013, 20, 63–74. [Google Scholar] [CrossRef]
- Chowdhury, M.S.H.; Koike, M. Therapeutic Use of Plants by Local Communities in and around Rema-Kalenga Wildlife Sanctuary: Implications for Protected Area Management in Bangladesh. Agrofor. Syst. 2010, 80, 241–257. [Google Scholar] [CrossRef]
- Karim, M.R.; Sultana, F.; Saimun, M.S.R.; Mukul, S.A.; Arfin-Khan, M.A.S. Plant Diversity and Local Rainfall Regime Mediate Soil Ecosystem Functions in Tropical Forests of North-East Bangladesh. Environ. Adv. 2020, 2, 100022. [Google Scholar] [CrossRef]
- Mukul, S.A. Biodiversity Conservation and Ecosystem Functions of Traditional Agroforestry Systems: Case Study from Three Tribal Communities in and Around Lawachara National Park. In Forest Conservation in Protected Areas of Bangladesh: Policy and Community Development Perspectives; Chowdhury, M.S.H., Ed.; Springer International Publishing: Cham, Germany, 2014; pp. 171–179. ISBN 978-3-319-08147-2. [Google Scholar]
- Sohel, M.S.I.; Mukul, S.A.; Burkhard, B. Landscape׳s Capacities to Supply Ecosystem Services in Bangladesh: A Mapping Assessment for Lawachara National Park. Ecosyst. Serv. 2015, 12, 128–135. [Google Scholar] [CrossRef]
- Halim, M.A.; Shahid, A.; Chowdhury, M.S.H.; Nahar, M.N.; Sohel, M.S.I.; Nuruddin, M.J.; Koike, M. Evaluation of Land-Use Pattern Change in West Bhanugach Reserved Forest, Bangladesh, Using Remote Sensing and GIS Techniques. J. For. Res. 2008, 19, 193–198. [Google Scholar] [CrossRef]
- Islam, K.; Rahman, M.F.; Jashimuddin, M. Modeling Land Use Change Using Cellular Automata and Artificial Neural Network: The Case of Chunati Wildlife Sanctuary, Bangladesh. Ecol. Indic. 2018, 88, 439–453. [Google Scholar] [CrossRef]
- Haque, A.K.M.K.; Khan, S.A.; Uddin, S.N.; Shetu, S.S. An Annotated Checklist of the Angiospermic Flora of Rajkandi Reserve Forest of Moulvibazar, Bangladesh. Bangladesh J. Plant Taxon. 2018, 25, 187. [Google Scholar] [CrossRef]
- NSP. Base Maps, NSP (2003–2008); USAID: Dhaka, Bangladesh, 2017.
- UNEP-WCMC Protected Area Profile for Bangladesh from the World Database on Protected Areas. Available online: https://www.protectedplanet.net/country/BGD (accessed on 12 August 2024).
- Peng, D.; Zhang, B.; Liu, L.; Fang, H.; Chen, D.; Hu, Y.; Liu, L. Characteristics and Drivers of Global NDVI-Based FPAR from 1982 to 2006. Glob. Biogeochem. Cycles 2012, 26, GB3015. [Google Scholar] [CrossRef]
- Claverie, M.; Vermote, E.F.; Franch, B.; Masek, J.G. Evaluation of the Landsat-5 TM and Landsat-7 ETM+ Surface Reflectance Products. Remote Sens. Environ. 2015, 169, 390–403. [Google Scholar] [CrossRef]
- Julia, A.B.; Brian, L.M.; Jeffrey, S.C.M.; Dennis, L.H.; Simon, J.H.; John, R.S.; Haque, M.O. Landsat-7 ETM+ Radiometric Calibration Status; SPIE: San Diego, CA, 19 September 2016; Volume 9972, p. 99720C. [Google Scholar]
- Masek, J.G.; Vermote, E.F.; Saleous, N.E.; Wolfe, R.; Hall, F.G.; Huemmrich, K.F.; Gao, F.; Kutler, J.; Lim, T.K. A Landsat Surface Reflectance Dataset for North America, 1990-2000. IEEE Geosci. Remote Sens. Lett. 2006, 3, 68–72. [Google Scholar] [CrossRef]
- Ling, X.; Cao, R. A New Spatiotemporal Data Fusion Method to Reconstruct High-Quality Landsat Ndvi Time-Series Data. In Proceedings of the 2021 IEEE International Geoscience and Remote Sensing Symposium IGARSS, Brussels, Belgium, 11–16 July 2021; IEEE: Brussels, Belgium, 2021; pp. 2564–2567. [Google Scholar]
- Tahsin, S.; Medeiros, S.C.; Hooshyar, M.; Singh, A. Optical Cloud Pixel Recovery via Machine Learning. Remote Sens. 2017, 9, 527. [Google Scholar] [CrossRef]
- Roy, D.P.; Borak, J.S.; Devadiga, S.; Wolfe, R.E.; Zheng, M.; Descloitres, J. The MODIS Land Product Quality Assessment Approach. Remote Sens. Environ. 2002, 83, 62–76. [Google Scholar] [CrossRef]
- Scaramuzza, P.; Micijevic, E.; Chander, G. SLC Gap-Filled Products Phase One Methodology; Landsat Technical Notes; United States Geological Survey (USGS): Reston, VA, USA, 2004; pp. 1–5.
- Zeng, C.; Shen, H.; Zhang, L. Recovering Missing Pixels for Landsat ETM+ SLC-off Imagery Using Multi-Temporal Regression Analysis and a Regularization Method. Remote Sens. Environ. 2013, 131, 182–194. [Google Scholar] [CrossRef]
- Hossain, M.S.; Bujang, J.S.; Zakaria, M.H.; Hashim, M. Assessment of Landsat 7 Scan Line Corrector-off Data Gap-Filling Methods for Seagrass Distribution Mapping. Int. J. Remote Sens. 2015, 36, 1188–1215. [Google Scholar] [CrossRef]
- Liu, D.; Xia, F. Assessing Object-Based Classification: Advantages and Limitations. Remote Sens. Lett. 2010, 1, 187–194. [Google Scholar] [CrossRef]
- Rokni, K.; Musa, T.A. Normalized Difference Vegetation Change Index: A Technique for Detecting Vegetation Changes Using Landsat Imagery. CATENA 2019, 178, 59–63. [Google Scholar] [CrossRef]
- Jiang, Z.; Huete, A.R.; Didan, K.; Miura, T. Development of a Two-Band Enhanced Vegetation Index without a Blue Band. Remote Sens. Environ. 2008, 112, 3833–3845. [Google Scholar] [CrossRef]
- Huete, A.R. A Soil-Adjusted Vegetation Index (SAVI). Remote Sens. Environ. 1988, 25, 295–309. [Google Scholar] [CrossRef]
- Qi, J.; Chehbouni, A.; Huete, A.R.; Kerr, Y.H.; Sorooshian, S. A Modified Soil Adjusted Vegetation Index. Remote Sens. Environ. 1994, 48, 119–126. [Google Scholar] [CrossRef]
- R Core Team. R: A Language and Environment for Statistical Computing; R Core Team: Vienna, Austria, 2024. [Google Scholar]
- Helsel, D.R.; Frans, L.M. Regional Kendall Test for Trend. Environ. Sci. Technol. 2006, 40, 4066–4073. [Google Scholar] [CrossRef]
- Dillencourt, M.B.; Mount, D.M.; Netanyahu, N.S. A Randomized Algorithm for Slope Selection. Int. J. Comput. Geom. Appl. 1992, 2, 1–27. [Google Scholar] [CrossRef]
- Rahman, M.H.; Miah, M.D. Are Protected Forests of Bangladesh Prepared for the Implementation of REDD+? A Forest Governance Analysis from Rema-Kalenga Wildlife Sanctuary. Environments 2017, 4, 43. [Google Scholar] [CrossRef]
- Hossain, M.I.; Numata, S. Effects of Land-Related Policies on Deforestation in a Protected Area: The Case Study of Rema-Kalenga Wildlife Sanctuary, Bangladesh. Conservation 2021, 1, 168–181. [Google Scholar] [CrossRef]
- Masum, K.M.; Mehedi, H.M. Assessment of Land Cover Changes from Protected Forest Areas of Satchari National Park in Bangladesh and Implications for Conservation. J. For. Environ. Sci. 2020, 36, 199–206. [Google Scholar] [CrossRef]
- Masum, K.M.; Islam, M.S.; Fahim, M.S.I.; Parvej, M.; Majeed, M.; Hasan, M.M.; Mansor, A. Temporal Comparison of Land-Use Changes and Biodiversity in Differential IUCN Protected-Area Categories of Bangladesh in the Context of Co-Management. Geol. Ecol. Landsc. 2023, 1–16. [Google Scholar] [CrossRef]
- Rahman, M.F.; Islam, K. Effectiveness of Protected Areas in Reducing Deforestation and Forest Fragmentation in Bangladesh. J. Environ. Manag. 2021, 280, 111711. [Google Scholar] [CrossRef]
- Islam, K.N.; Rahman, M.M.; Jashimuddin, M.; Islam, K.; Zhang, Y. Impact of Co-Management on Tree Diversity and Carbon Sequestration in Protected Areas: Experiences from Bangladesh. Trees For. People 2020, 2, 100033. [Google Scholar] [CrossRef]
- Islam, M.A.; Jimmy, A.N.; Alam, M.S.; Khan, N.A. The Use of Multi-Temporal Landsat Normalized Difference Vegetation Index (NDVI) Data for Assessing Forest Cover Change of Lawarchara National Park. Environ. Dev. Sustain. 2021, 23, 17702–17722. [Google Scholar] [CrossRef]
- Ray, P.C.; Hasan, M.F.; Hossan, M.S.; Hanif, M.A. Forest Co-Management for Improvement of Livelihood and Forest Cover: Experience from Sal Forest of Bangladesh. Trees For. People 2023, 14, 100450. [Google Scholar] [CrossRef]
- Ferdous, F. Co-Management Approach and Its Impacts on Social, Economic and Ecological Developments: Lessons from Lawachara National Park, Bangladesh. Int. J. Res. Land-Use Sustain. 2015, 2, 91–98. [Google Scholar] [CrossRef]
- Jashimuddin, M.; Hasan, M.H.; Baul, T.K.; Chakma, N.; Hossen, S.; Dutta, S.; Ahmed, F.U.; Nath, T.K. Principles of People-Centric Forest Restoration Projects in South-Eastern Bangladesh: Implications for Sustainability. Restor. Ecol. 2024, 32, e14087. [Google Scholar] [CrossRef]
- Islam, K.N.; Jashimuddin, M.; Hasan, K.J.; Khan, M.I.; Kamruzzaman, M.; Nath, T.K. Stakeholders’ Perception on Conservation Outcomes of Forest Protected Area Co-Management in Bangladesh. J. Sustain. For. 2022, 41, 240–256. [Google Scholar] [CrossRef]






| Land Use Land Cover Classes | Threshold Value | ||
|---|---|---|---|
| NDVI | EVI | MSAVI | |
| Barren, with waterbodies, and built-up | 0–0.19 | 0–0.14 | 0–0.19 |
| Agriculture | 0.2–0.4 | 0.15–0.29 | 0.2–0.3 |
| A mix of agriculture and forest | 0.41–0.6 | 0.3–0.34 | 0.31–0.41 |
| Dense forest | 0.61–0.8 | 0.35–0.54 | 0.42–0.65 |
| Highly dense forest | >0.8 | >0.55 | >0.65 |
| PAs | LULC Classes | NDVI | MSAVI | EVI | ||||||
|---|---|---|---|---|---|---|---|---|---|---|
| Tau | p | Slope | Tau | p | Slope | Tau | p | Slope | ||
| Overall | Barren-building-waterbody | −0.38 | <0.01 | −2.1 × 10−17 | −0.25 | <0.01 | 9.8 × 10−16 | −0.29 | <0.01 | 1.05 × 10−16 |
| Agriculture | −0.17 | 0.04 | 0.01 | −0.22 | <0.01 | 0.04 | −0.15 | 0.07 | 0.09 | |
| Forest–agriculture mosaic | 0.13 | 0.12 | 2.59 | 0.37 | <0.01 | 1.00 | −0.13 | 0.10 | 1.13 | |
| Dense forest | −0.15 | 0.07 | −3.7 | −0.28 | <0.01 | −1.74 | 0.29 | <0.01 | −0.96 | |
| Highly dense forest | −0.15 | 0.08 | 1.3 × 10−17 | −0.28 | <0.01 | −6.9 × 10−2 | −0.12 | 0.16 | −0.003 | |
| CWS | Barren-building-waterbody | −0.02 | 0.95 | 0.00 | 0.38 | 0.07 | 0.01 | 0.05 | 0.85 | 0.0009 |
| Agriculture | 0.46 | 0.03 | 0.25 | 0.76 | <0.01 | 0.91 | 0.48 | 0.02 | 0.63 | |
| Forest–agriculture mosaic | 0.28 | 0.20 | 2.43 | 0.53 | 0.01 | 1.34 | 0.64 | <0.01 | 2.94 | |
| Dense forest | −0.25 | 0.24 | −2.15 | −0.59 | <0.01 | −1.74 | −0.12 | 0.58 | −0.96 | |
| Highly dense forest | −0.66 | <0.01 | −0.04 | −0.82 | <0.01 | −0.023 | −0.28 | 0.20 | −0.009 | |
| TWS | Barren-building-waterbody | 0.87 | <0.01 | 1.73 | 0.77 | <0.01 | 0.455 | 0.30 | 0.16 | 0.05 |
| Agriculture | 0.69 | <0.01 | 1.87 | 0.35 | 0.09 | 0.57 | 0.74 | <0.01 | 1.39 | |
| Forest–agriculture mosaic | −0.25 | 0.24 | −3.75 | 0.05 | 0.85 | 0.202 | 0.17 | 0.42 | 0.43 | |
| Dense forest | 0.07 | 0.76 | 0.25 | −0.33 | 0.12 | −1.28 | −0.43 | 0.04 | −1.11 | |
| Highly dense forest | 0.24 | 0.28 | 0.002 | −0.30 | 0.19 | −0.0007 | −0.35 | 0.09 | −0.016 | |
| LNP | Barren-building-waterbody | 1.0 | 1.0 | 0.00 | −0.14 | 0.56 | 0.00 | 0.19 | 0.50 | 0.00 |
| Agriculture | −0.23 | 0.31 | −0.0006 | −0.46 | 0.03 | −0.61 | −0.15 | 0.50 | −0.023 | |
| Forest–agriculture mosaic | −0.05 | 0.854 | −0.017 | −0.56 | <0.01 | −4.62 | −0.05 | 0.85 | −0.22 | |
| Dense forest | −0.10 | 0.669 | −0.387 | 0.667 | <0.01 | 6.55 | 0.05 | 0.85 | 0.08 | |
| Highly dense forest | 0.38 | 0.09 | 0.158 | 0.49 | 0.03 | 0.03 | 0.20 | 0.38 | 0.02 | |
| SNP | Barren-building-waterbody | −0.32 | 0.22 | 0.00 | 0.09 | 0.738 | 0.00 | −0.07 | 0.84 | 0.00 |
| Agriculture | 0.55 | 0.01 | 0.021 | −0.19 | 0.389 | −0.12 | 0.185 | 0.43 | 0.00 | |
| Forest–agriculture mosaic | 0.53 | 0.01 | 2.53 | 0.64 | <0.01 | 3.62 | 0.41 | 0.05 | 1.70 | |
| Dense forest | −0.61 | <0.01 | −2.08 | −0.69 | <0.01 | −3.64 | −0.48 | 0.02 | −1.78 | |
| Highly dense forest | −0.05 | 0.86 | 0.00 | −0.05 | 0.86 | 0.00 | −0.37 | 0.10 | −0.023 | |
| RKWS | Barren-building-waterbody | −0.02 | 1.0 | 0.00 | −0.14 | 0.54 | −0.003 | −0.25 | 0.27 | −0.0002 |
| Agriculture | −0.23 | 0.29 | −0.01 | 0.33 | 0.12 | 0.47 | −0.20 | 0.36 | −0.23 | |
| Forest–agriculture mosaic | 0.61 | <0.01 | 5.42 | 0.53 | 0.01 | 3.92 | 0.43 | 0.04 | 1.14 | |
| Dense forest | −0.53 | 0.01 | −4.58 | −0.48 | 0.02 | −4.27 | −0.33 | 0.12 | −0.62 | |
| Highly dense forest | 0.07 | 0.79 | 0.00 | −0.13 | 0.61 | 0.00 | 0.20 | 0.38 | 0.006 | |
| RRF | Barren-building-waterbody | 0.008 | 0.92 | 0.024 | 0.05 | 0.51 | 0.02 | 0.01 | 0.87 | 0.02 |
| Agriculture | 0.14 | 0.08 | 1.35 | 0.11 | 0.16 | 1.02 | 0.15 | 0.05 | 0.99 | |
| Forest–agriculture mosaic | 0.23 | <0.01 | 2.44 | 0.14 | 0.07 | 2.22 | 0.29 | <0.001 | 2.09 | |
| Dense forest | −0.32 | <0.001 | −2.88 | −0.20 | 0.01 | −2.63 | −0.21 | <0.01 | −2.36 | |
| Highly dense forest | −0.05 | 0.55 | −0.47 | −0.11 | 0.20 | −0.46 | −0.13 | 0.09 | −0.52 | |
Disclaimer/Publisher’s Note: The statements, opinions and data contained in all publications are solely those of the individual author(s) and contributor(s) and not of MDPI and/or the editor(s). MDPI and/or the editor(s) disclaim responsibility for any injury to people or property resulting from any ideas, methods, instructions or products referred to in the content. |
© 2024 by the authors. Licensee MDPI, Basel, Switzerland. This article is an open access article distributed under the terms and conditions of the Creative Commons Attribution (CC BY) license (https://creativecommons.org/licenses/by/4.0/).
Share and Cite
Karim, M.R.; Halim, M.A.; Kayes, I.; Liao, W.; Mukul, S.A.; Rahman, H.M.T.; Thomas, S.C. Co-Management Effects on Forest Restoration in Protected Areas of Bangladesh: A Remote Sensing and GIS-Based Analysis. Land 2024, 13, 1709. https://doi.org/10.3390/land13101709
Karim MR, Halim MA, Kayes I, Liao W, Mukul SA, Rahman HMT, Thomas SC. Co-Management Effects on Forest Restoration in Protected Areas of Bangladesh: A Remote Sensing and GIS-Based Analysis. Land. 2024; 13(10):1709. https://doi.org/10.3390/land13101709
Chicago/Turabian StyleKarim, Md Rezaul, Md Abdul Halim, Imrul Kayes, Wenxi Liao, Sharif A. Mukul, H. M. Tuihedur Rahman, and Sean C. Thomas. 2024. "Co-Management Effects on Forest Restoration in Protected Areas of Bangladesh: A Remote Sensing and GIS-Based Analysis" Land 13, no. 10: 1709. https://doi.org/10.3390/land13101709
APA StyleKarim, M. R., Halim, M. A., Kayes, I., Liao, W., Mukul, S. A., Rahman, H. M. T., & Thomas, S. C. (2024). Co-Management Effects on Forest Restoration in Protected Areas of Bangladesh: A Remote Sensing and GIS-Based Analysis. Land, 13(10), 1709. https://doi.org/10.3390/land13101709

