Analysis of the Evolution of Land-Use Types in the Qilian Mountains from 1980 to 2020
Abstract
1. Introduction
2. Materials and Methods
2.1. Study Area
2.2. Data Sources and Processing
2.3. Research Methodology
2.3.1. Dynamic Degree
- (1)
- Single land use type dynamic degree.
- (2)
- Comprehensive land use dynamic degree
2.3.2. Transfer Matrix
3. Results and Analysis
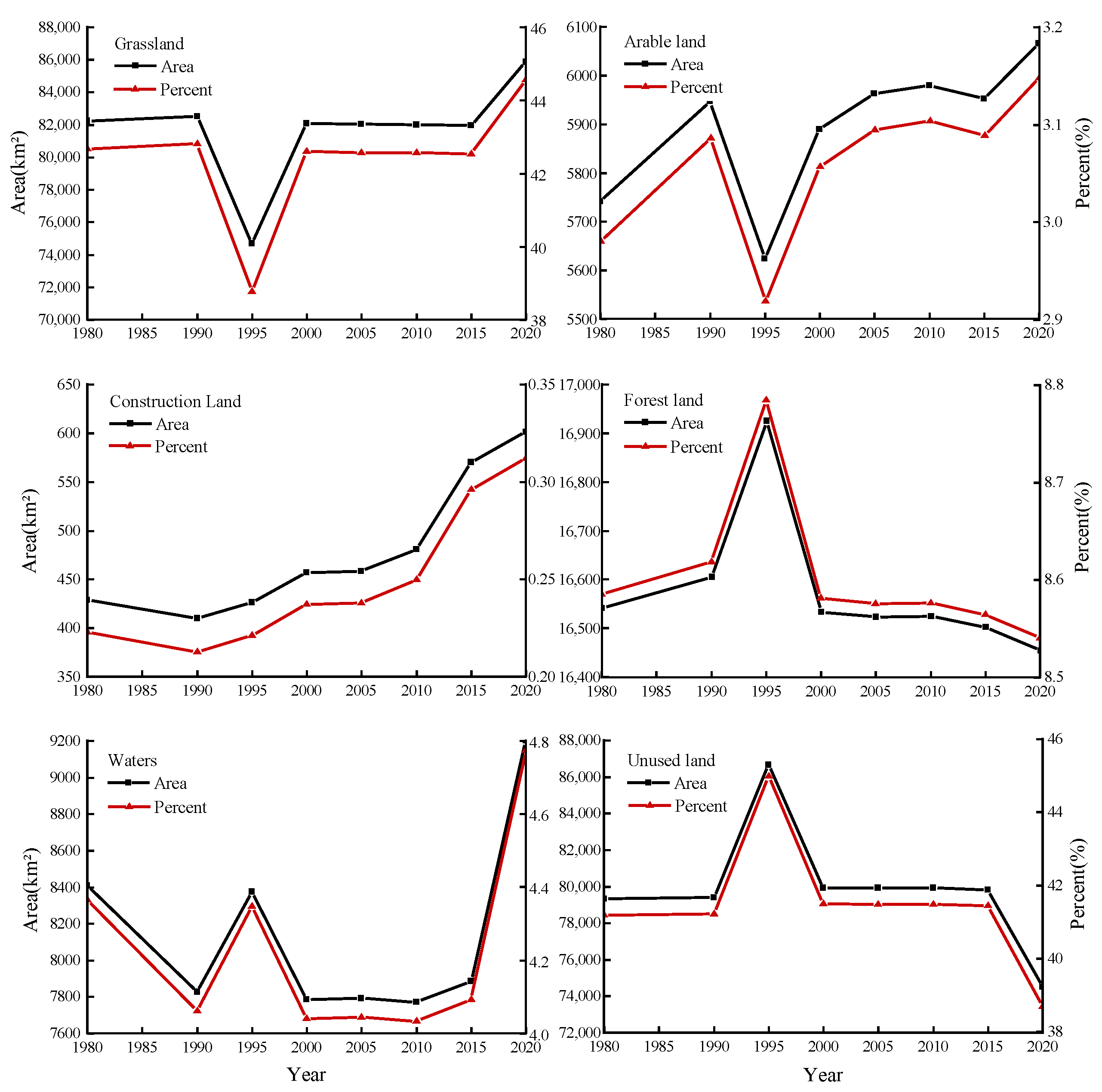
3.1. Land Use Structure Characteristics
3.2. Land Use Dynamic Degree
3.3. Land Use Transfer Matrix
- (1)
- Grassland
- (2)
- Arable land
- (3)
- Construction land
- (4)
- Forest land
- (5)
- Waters
- (6)
- Unused land
4. Discussion and Conclusions
4.1. Discussion
4.2. Conclusions
- (1)
- From 1980 to 2020, grassland, forest land, and unused land were the mainstay of land use in the QMs, construction land accounted for the smallest proportion. Grassland was mainly distributed in the central-eastern part of the study area, unused land in the central-western part of the study area, and forest land in the northeastern part of the study area. A small amount of arable land was distributed at the eastern boundary of the QMs, and the waters were dominated by Qinghai Lake and Hala Lake.
- (2)
- The single land use dynamic degree showed that the dynamic degree of construction land was the highest and the fastest change rate from 2010 to 2015, at 3.70%, followed by the dynamic degree of waters from 2015 to 2020, at 3.34%. The comprehensive land use dynamic degree showed that the intensity of the overall land use change is relatively drastic in the three time periods 1990–1995 (0.84%), 1995–2000 (0.80%), and 2015–2020 (0.56%).
- (3)
- The land use transfer matrix showed that the land-use types in the QMs shifted infrequently during 2000–2005, 2005–2010, and 2010–2015.
- (4)
- The interconversion of grassland and unused land and direct conversion with other land-use types were the main reasons for the changes in the spatial distribution of different land-use types.
- (5)
- The area of grassland (4.40%), arable land (5.64%), construction land (40.09%), and waters (9.39%) increased, and the area of forest land (−0.53%) and unused land (−6.08%) decreased from 1980 to 2020.
Author Contributions
Funding
Institutional Review Board Statement
Informed Consent Statement
Data Availability Statement
Acknowledgments
Conflicts of Interest
References
- Ellis, E.C. Sharing the land between nature and people. Science 2019, 364, 1226–1228. [Google Scholar] [CrossRef]
- Zhu, X.Y.; Wang, Z.M.; Xu, D.W.; Shen, B.B.; Ding, L.; Shao, C.L.; Wang, X.; Chen, B.R.; Xin, X.P. Analysis of land use change and driving forces in ecological functional area of hulunber grassland. Chin. J. Agri. Res. Reg. Plan. 2020, 41, 74–82. [Google Scholar]
- Xu, L.T. Natural Factors of Land Use Change in Wujiang River Basin. J. Soil Water Conserv. 2022, 29, 319–326. [Google Scholar]
- Hu, X.Q.; Jin, Y.Z.; Ji, L.H.; Zeng, J.J.; Cui, Y.Q.; Song, Z.F.; Sun, D.Y.; Cheng, Y.F. Land use/cover change and ITS eco-environment effect in Shiyang River Basin. IOP Conf. Ser. Earth Environ. Sci. 2018, 191, 012016. [Google Scholar] [CrossRef]
- IPCC, Summary for Policymakers-Special Report on Climate Change and Land. Available online: https://ipcc.ch/srccl/chapter/summary-for-policymakers/ (accessed on 16 November 2022).
- Zalles, V.; Hansen, M.C.; Potapov, P.V.; Parker, D.; Stehman, S.V.; Pickens, A.H.; Parente, L.L.; Ferreira, L.G.; Song, X.P.; Serna, A.H.; et al. Rapid expansion of human impact on natural land in South America since 1985. Sci. Adv. 2021, 7, eabg1620. [Google Scholar] [CrossRef] [PubMed]
- Foley, J.A.; Defries, R.; Asner, G.P.; Barford, C.; Bonan, G.; Carpenter, S.R.; Stuart, C.F.; Coe, M.T.; Daily, G.C.; Gibbs, H.K.; et al. Global consequences of land use. Science 2005, 309, 570–574. [Google Scholar] [CrossRef]
- Lawler, J.J.; Lewis, D.J.; Nelson, E.; Plantinga, A.J.; Polasky, S.; Withey, J.C.; Helmers, D.P.; Martinuzzi, S.; Pennington, D.; Radeloff, V.C. Projected land-use change impacts on ecosystem services in the United States. Proc. Natl. Acad. Sci. USA 2014, 111, 7492–7497. [Google Scholar] [CrossRef]
- Jiang, Y.Y.; Han, T.; Wang, D.W. Analysis of land cover change in Shiyang River Basin of Qilian Mountains. Proc. SPIE 2019, 11432, 15–22. [Google Scholar]
- Sterling, S.M.; Ducharne, A.; Polcher, J. The impact of global land-cover change on the terrestrial water cycle. Nat. Clim. Chang. 2012, 3, 385–390. [Google Scholar] [CrossRef]
- Halmy, M.W.A.; Gessler, P.E.; Hicke, J.A.; Salem, B.B. Land use/land cover change detection and prediction in the north-western coastal desert of Egypt using Markov-CA. Appl. Geogr. 2015, 63, 101–112. [Google Scholar] [CrossRef]
- Vitousek, P.M.; Mooney, H.A.; Lubchenco, J.; Melillo, J.M. Human domination of Earth’s ecosystems. Science 1997, 277, 494–499. [Google Scholar] [CrossRef]
- Cai, Y.L. A study on land use/cover change: The need for a new integrated approach. Geo. Res. 2001, 20, 645–652. [Google Scholar]
- Meyfroidt, P.; Lambin, E.F.; Erb, K.H.; Hertel, T.W. Globalization of land use: Distant drivers of land change and geographic displacement of land use. Curr. Opin. Environ. Sust. 2013, 5, 438–444. [Google Scholar] [CrossRef]
- Li, A.N.; Deng, W.; Zhao, W. Land Cover Change and Its Eco-Environmental Responses in Nepal; Springer: Singapore, 2017; pp. 1–465. [Google Scholar]
- Li, S.C.; Zhang, X.Z. Land use-based human activity intensity along the Yangtze River Economic Belt, China (1970s–2015). Chin. Sci. Data 2018, 3, 1–13. [Google Scholar]
- Song, X.P.; Hansen, M.C.; Stehman, S.V.; Potapov, P.V.; Tyukavina, A.; Vermote, E.F.; Townshend, J.R. Global land change from 1982 to 2016. Nature 2018, 560, 639–643. [Google Scholar] [CrossRef] [PubMed]
- Li, S.C.; Su, S.; Liu, Y.X.; Zhou, X.W.; Luo, Q.X.; Paudel, B. Effectiveness of the Qilian Mountain Nature Reserve of China in Reducing Human Impacts. Land 2022, 11, 1071. [Google Scholar] [CrossRef]
- Veldkamp, A.; Lambin, E.F. Predicting land-use change. Agric. Ecosyst. Environ. 2001, 85, 1–6. [Google Scholar] [CrossRef]
- Guan, D.J.; Li, H.F.; Inohae, T.; Su, W.C.; Nagaie, T.; Hokao, K. Modeling urban land use change by the integration of cellular automaton and Markov model. Ecol. Modell. 2011, 222, 3761–3772. [Google Scholar] [CrossRef]
- Leemans, R.; Asrar, G.; Busalacchi, A.; Canadell, J.; Ingram, J.; Larigauderie, A.; Mooney, H.; Nobre, C.; Patwardhan, A.; Rice, M.; et al. Developing a common strategy for integrative global change research and outreach: The Earth System Science Partnership (ESSP). Curr. Opin. Environ. Sust. 2009, 1, 4–13. [Google Scholar] [CrossRef]
- Mauser, W.; Klepper, G.; Rice, M.; Schmalzbauer, B.S.; Hackmann, H.; Leemans, R.; Moore, H. Transdisciplinary global change research: The co-creation of knowledge for sustainability. Curr. Opin. Environ. Sust. 2013, 5, 420–431. [Google Scholar] [CrossRef]
- Jäger, J. The International Human Dimensions Programme on global environmental change (IHDP). Global. Environ. Chang. 2003, 13, 69–73. [Google Scholar] [CrossRef]
- Turner, B.L.; Skole, D.L.; Sanderson, S.; Fischer, G.; Fresco, L.; Leemans, R. Land-Use and Land-Cover Change: Science/research plan. Glob. Chang. Rep. 1995, 43, 669–679. [Google Scholar]
- Scientific Steering Committee and International Project Office of LUCC. Land-Use and Land-Cover Change (LUCC): Implementation Strategy; UNT Digital library: Stockholm, Sweden, 1999. [Google Scholar]
- Nel, V. Can the South African Land use management system be an effective tool in creating lower carbon cities? In Proceedings of the 45th ISOCARP Congress, Porto, Portugal, 18–22 October 2009. [Google Scholar]
- Cheng, L.; Brown, G.; Liu, Y.; Searle, G. An evaluation of contemporary China’s land use policy—The Link Policy: A case study from Ezhou, Hubei Province. Land Use Policy 2020, 91, 104423. [Google Scholar] [CrossRef]
- Franco, L.; Magalhães, M.R. Assessing the ecological suitability of land-use change. Lessons learned from a rural marginal area in southeast Portugal. Land Use Policy 2022, 122, 106381. [Google Scholar] [CrossRef]
- Lidzhegu, Z.; Kabanda, T. Declining land for subsistence and small-scale farming in South Africa: A case study of Thulamela local municipality. Land Use Policy 2022, 119, 106170. [Google Scholar] [CrossRef]
- Liu, J.Y.; Liu, M.L.; Zhuang, D.F.; Zhang, Z.X.; Deng, X.Z. Study on spatial pattern of land-use change in China during 1995–2000. Sci. China Ser. D. Earth Sci. 2003, 46, 373–384. [Google Scholar]
- Zhang, Q.; Zhang, J.; Sun, G.W.; Di, X.H. Research on atmospheric water-vapor distribution over Qilianshan Mountains. Acta Meteorol. Sin. 2007, 65, 633–643. [Google Scholar]
- Wu, L.N.; Yang, S.T.; Liu, X.Y.; Lou, Y.; Zhou, X.; Zhao, H.G. Response analysis of land use change to the degree of human activities in Beiluo River basin since 1976. Acta Geogr. Sin. 2014, 69, 54–63. [Google Scholar]
- Xiao, Y.F.; Chen, W.Y.; Wang, B.J.; Tan, Y.R.; Bing, D.H.; Zhu, L.; Liu, H.Y. Study On Temporal and Spatial Change of Land Use and Its Relationship with Climate Factors in Qilian Mountain National Nature Reserve. Acta Agrestia sin. 2021, 29, 2049–2057. [Google Scholar]
- Qian, D.W.; Cao, G.M.; Du, Y.G.; Li, Q.; Guo, X.W. Impacts of climate change and human factors on land cover change in inland mountain protected areas: A case study of the Qilian Mountain National Nature Reserve in China. Environ. Monit. Assess. 2019, 191, 486. [Google Scholar] [CrossRef]
- Fu, J.X.; Cao, G.C.; Guo, W.J. Land use change and its driving force on the southern slope of Qilian Mountains from 1980 to 2018. Chin. J. Appl. Ecol. 2020, 31, 2699–2709. [Google Scholar]
- Li, Z.X.; Feng, Q.; Li, Z.J.; Wang, X.F.; Gui, J.; Zhang, B.J.; Li, Y.C.; Deng, X.H.; Xue, J.; Gao, W.D.; et al. Reversing conflict between humans and the environment—The experience in the Qilian Mountains. Renew. Sustain. Energy Rev. 2021, 148, 111333. [Google Scholar]
- Li, C.; Zou, Y.; He, J.F.; Zhang, W.; Gao, L.L.; Zhuang, D.F. Response of Vegetation Phenology to the Interaction of Temperature and Precipitation Changes in Qilian Mountains. Remote Sens. 2022, 14, 1248. [Google Scholar] [CrossRef]
- Jia, W.X.; Li, Z.X. Hydrochemical Characteristics and Sources of Ions in Precipitation at the East Qilian Mountains. Environ. Sci. 2016, 37, 3322–3332. [Google Scholar]
- Wang, Y.H.; Li, D.H.; Lu, G.Y.; Jiang, Y.Y.; Huang, P.C. Characteristics of climate change and its impacts on water resources in Qilian Mountains, China. Chin. J. Appl. Ecol. 2022, 33, 2805–2812. [Google Scholar]
- Li, X.; Gou, X.H.; Wang, N.L.; Sheng, Y.; Jin, H.J.; Qi, Y.; Song, X.Y.; Hou, F.J.; Li, Y.; Zhao, C.M.; et al. Tightening ecological management facilitates green development in the Qilian Mountains. Chin. Sci. Bull. 2019, 64, 2928–2937. [Google Scholar]
- Liu, H.B.; Li, Y.; Zhang, X.Z.; Xu, L.M. Climate differences in different time scales in the east and west sections of the Qilian Mountains. J. Lanchow Univ. Nat. Sci. 2020, 56, 724–732. [Google Scholar]
- Song, L.L.; Tian, Q.; Li, Z.J.; Lv, Y.M.; Gui, J.; Zhang, B.J.; Cui, Q. Changes in characteristics of climate extremes from 1961 to 2017 in Qilian Mountain area, northwestern China. Environ. Earth Sci. 2022, 81, 177. [Google Scholar] [CrossRef]
- Jia, W.X.; He, Y.Q.; Li, Z.X.; Pang, H.X.; Yuan, L.L.; Ning, B.Y.; Song, B.; Zhang, N.N. Regional Characteristics of Climatic Change Trend and Break During Last 50 Years in Hexi Corridor. Sci. Geogr. Sin. 2008, 28, 525–531. [Google Scholar]
- Wang, L.; Chen, R.S.; Han, C.T.; Wang, X.Q.; Liu, G.H.; Song, Y.X.; Yang, Y.; Liu, J.F.; Liu, Z.W.; Liu, X.J.; et al. Change characteristics of precipitation and temperature in the Qilian Mountains and Hexi Oasis, Northwestern China. Environ. Earth Sci. 2019, 78, 789–802. [Google Scholar] [CrossRef]
- Xu, X.L.; Liu, J.Y.; Zhang, S.W.; Li, R.D.; Yan, C.Z.; Wu, S.X. Multi-Period Land Use Land Cover Remote Sensing Monitoring Dataset in China (CNLUCC). Resource and Environmental Science Data Registration and Publication System. Available online: http://www.resdc.cn/DOI (accessed on 16 November 2022).
- Liu, J.Y.; Ning, J.; Kuang, W.H.; Xu, X.L.; Zhang, S.W.; Yan, C.Z.; Li, R.D.; Wu, S.X.; Hu, Y.F.; Du, G.M.; et al. Spatio-temporal patterns and characteristics of land-use change in China during 2010–2015. Acta Geogr. Sin. 2018, 73, 54–63. [Google Scholar]
- Xu, X.L.; Liu, J.Y.; Zhang, Z.X.; Zhou, W.C.; Zhang, S.W.; Li, R.D.; Yan, C.Z.; Wu, S.X.; Shi, X.Z. A Time Series Land Ecosystem Classification Dataset of China in Five-Year Increments (1990–2010). J. Glob. Chang. Data Discov. 2017, 1, 52–59. [Google Scholar]
- Wang, X.L.; Bao, Y.H. Study on the methods of land use dynamic change research. Prog. Geogr. 1999, 18, 83–89. [Google Scholar]
- Wei, J.H.; Wen, Y.L.; Gong, Z.J.; Wang, X.L.; Cai, Y.J. Land use changes and ecosystem service value in the buffer zone of Poyang Lake in recent 30 years. Acta Ecol. Sin. 2022, 42, 1–13. [Google Scholar]
- Chen, S.P. Remote Sensing Information Mechanism Research; Science Press: Beijing, China, 1998; pp. 1–415. [Google Scholar]
- Xu, L.; Zhao, Y. Forecast of land use pattern change in Dongling District of Shenyang: An application of Markov process. Chin. J. Appl. Ecol. 1993, 4, 272–277. [Google Scholar]
- Zhu, H.Y.; Li, X.B. Discussion on the index method of regional land use change. Acta Geogr. Sin. 2003, 58, 643–650. [Google Scholar]
- Xue, X.Y.; Wang, X.Y.; Duan, H.M.; Yang, L.; Xie, Y.W. Analysis on Spatio-temporal Evolution of Habitat Quality in Qilian Mountains Based on Land Use Change. Bull. Soil Water Conserv. 2020, 40, 278–284. [Google Scholar]
- Liu, J.R.; Zhao, J.; Shen, S.M.; Zhao, Y.J. Ecological vulnerability assessment of Qilian Mountains region based on SRP conceptual model. Arid Land Geogr. 2020, 43, 1573–1582. [Google Scholar]
- Zhao, J.M.; Zhang, D.G.; Liu, C.Z.; Xu, C.L. The effect of different land use patterns on soil properties in alpine areas of eastern Qilian Mountains. Acta Ecol. Sin. 2012, 32, 548–556. [Google Scholar] [CrossRef]
- Malika, A.; Mansur, S.; Zhang, X.Q. Spatial-Temporal Dynamic Evolution Characteristics of Land Use/Cover in the Middle and Lower Reaches of Yarkant River Basin in Recent 35 Years. J. Ecol. Rural Environ. 2019, 35, 1118–1126. [Google Scholar]
- Zhang, J.M.; Zang, C.F. Spatial and temporal variability characteristics and driving mechanisms of land use in the Southeastern River Basin from 1990 to 2015. Acta Ecol. Sin. 2019, 39, 9339–9350. [Google Scholar]





| Class I Type | Class II Type | |||
|---|---|---|---|---|
| Number | Name | Number | Name | Definition |
| 1 | Arable land (6065 km2) | Refers to land planted with crops, including ripe cultivated land, newly opened land, recreational land, rotational rest land, grass field rotation cropland; land planted mainly with crops, agricultural fruit, agricultural mulberry, agricultural forestry; cultivated for more than three years of the beach and sea shoals. | ||
| 12 | Dryland | Refers to arable land without irrigation water source and facilities, growing crops by natural will water; dry crop arable land with water source and water facilities, which can be irrigated normally in normal years; arable land mainly for growing vegetables; recreational land and rotational rest land with normal crop rotation. | ||
| 2 | Forest land (16,454 km2) | Refers to forestry land for growing trees, shrubs, bamboos, and coastal mangrove land. | ||
| 21 | With forest land | Refers to natural forests and plantations with a denseness of >30%. Including timber forests, economic forests, protective forests, and other mature forest lands. | ||
| 22 | Shrubland | Refers to short forest land and scrub sparse forest land with densities >40% and heights below 2 m. | ||
| 23 | Sparse forest land | Refers to forest land with 10–30% tree densities. | ||
| 24 | Other forest lands | Refers to unestablished afforestation land, trails, nurseries, and various types of gardens (orchards, mulberry gardens, tea gardens, hot crop forestry gardens, etc.). | ||
| 3 | Grassland (85,839 km2) | Refers to all kinds of grasslands with herbaceous plants growing mainly and covering more than 5%, including scrub grasslands with mainly grazing and open forest grasslands with less than 10% depression. | ||
| 31 | High cover Grassland | Refers to natural grassland, improved grassland, and mowed grassland with >50% cover. Such grasslands generally have good moisture conditions and dense grass cover growth. | ||
| 32 | Medium Cover Grassland | Refers to natural and improved grasslands with >20–50% cover, which generally has insufficient moisture and sparse grass cover. | ||
| 33 | Low cover Grassland | Refers to natural grasslands with a cover of 5–20%. This type of grassland is moisture deficient, with sparse grass cover and poor conditions for grazing use. | ||
| 4 | Waters (9199 km2) | Refers to the land of natural land waters and water facilities. | ||
| 41 | Rivers and canals | Refers to naturally formed or artificially excavated rivers and the land below the perennial water level of the main stem. Artificial canals include embankments. | ||
| 42 | Lakes | Refers to the land below the perennial water level in naturally occurring waterlogged areas. | ||
| 43 | Reservoir ponds | Refers to the land below the perennial water level in the artificially constructed water storage area. | ||
| 44 | Permanent Glacial Snow | Refers to land covered by glaciers and snow all year round. | ||
| 46 | Beach land | Refers to the land between the level of the river and lake waters during the flat water period and the level of the flood period. | ||
| 5 | Construction Land (601 km2) | Refers to urban and rural settlements and the land for industry, mining, and transportation beyond them. | ||
| 51 | Urban land | Refers to the land in large, medium, and small cities and built-up areas above the county town. | ||
| 52 | Rural settlements | Refers to rural settlements that are independent of towns. | ||
| 53 | Other Construction Land | Refers to land for factories and mines, large industrial areas, oil fields, salt fields, quarries, etc., and transportation roads, airports, and special land. | ||
| 6 | Unused land (74,504 km2) | Land that is currently unused, including hard-to-use land. | ||
| 61 | Sandy | Refers to the land with the surface covered by sand and the vegetation cover of less than 5%, including desert, excluding the desert in the water system. | ||
| 62 | Gobi | Refers to the land where the surface is dominated by gravel and the vegetation cover is less than 5%. | ||
| 63 | Saline land | Refers to land where salinity collects on the surface and vegetation is sparse, and only strong salinity-tolerant plants can grow. | ||
| 64 | Marshland | Refers to land that is flat and low-lying, poorly drained, chronically wet, seasonally waterlogged or perennially waterlogged, and with wet growing plants on the surface. | ||
| 65 | Bare land | Refers to land with surface soil cover and vegetation cover is less than 5%. | ||
| 66 | Bare rock texture | Refers to land with a rocky or gravelly surface that covers >5% of the area. | ||
| 67 | Others | Refers to other unused lands, including the alpine desert steppe, tundra, etc. | ||
| Year | Land-Use Types | Grassland | Arable Land | Construction Land | Forest Land | Waters | Unused Land |
|---|---|---|---|---|---|---|---|
| 1980 | Area/km2 | 82,218 | 5741 | 429 | 16,541 | 8409 | 79,324 |
| Percent/% | 42.67 | 2.98 | 0.22 | 8.59 | 4.36 | 41.17 | |
| 1990 | Area/km2 | 82,481 | 5946 | 410 | 16,604 | 7825 | 79,396 |
| Percent/% | 42.81 | 3.09 | 0.21 | 8.62 | 4.06 | 41.21 | |
| 1995 | Area/km2 | 74,671 | 5624 | 426 | 16,924 | 8374 | 86,643 |
| Percent/% | 38.76 | 2.92 | 0.22 | 8.78 | 4.35 | 44.97 | |
| 2000 | Area/km2 | 82,076 | 5889 | 457 | 16,533 | 7785 | 79,922 |
| Percent/% | 42.60 | 3.06 | 0.24 | 8.58 | 4.04 | 41.48 | |
| 2005 | Area/km2 | 82,014 | 5962 | 458 | 16,522 | 7791 | 79,915 |
| Percent/% | 42.57 | 3.09 | 0.24 | 8.58 | 4.04 | 41.48 | |
| 2010 | Area/km2 | 81,996 | 5979 | 481 | 16,523 | 7771 | 79,912 |
| Percent/% | 42.56 | 3.10 | 0.25 | 8.58 | 4.03 | 41.48 | |
| 2015 | Area/km2 | 81,941 | 5951 | 570 | 16,501 | 7884 | 79,815 |
| Percent/% | 42.53 | 3.09 | 0.30 | 8.56 | 4.09 | 41.43 | |
| 2020 | Area/km2 | 85,839 | 6065 | 601 | 16,454 | 9199 | 74,504 |
| Percent/% | 44.55 | 3.15 | 0.31 | 8.54 | 4.77 | 38.67 |
| Year and Land Type | Grassland | Arable Land | Construction Land | Forest Land | Waters | Unused Land | |
|---|---|---|---|---|---|---|---|
| 1980–1990 | Area change/km2 | 263 | 205 | −19 | 63 | −584 | 72 |
| Range of change/% | 0.32 | 3.57 | −4.43 | 0.38 | −6.94 | 0.09 | |
| 1990–1995 | Area change/km2 | −7810 | −322 | 16 | 320 | 549 | 7247 |
| Range of change/% | −9.47 | −5.42 | 3.90 | 1.93 | 7.02 | 9.13 | |
| 1995–2000 | Area change/km2 | 7405 | 265 | 31 | −391 | −589 | −6721 |
| Range of change/% | 9.92 | 4.71 | 7.28 | −2.31 | −7.03 | −7.76 | |
| 2000–2005 | Area change/km2 | −62 | 73 | 1 | −11 | 6 | −7 |
| Range of change/% | −0.08 | 1.24 | 0.22 | −0.07 | 0.08 | −0.008 | |
| 2005–2010 | Area change/km2 | −18 | 17 | 23 | 1 | −20 | −3 |
| Range of change/% | −0.02 | 0.29 | 5.02 | 0.006 | −0.26 | −0.003 | |
| 2010–2015 | Area change/km2 | −55 | −28 | 89 | −22 | 113 | −97 |
| Range of change/% | −0.07 | −0.47 | 18.50 | −0.13 | 1.45 | −0.12 | |
| 2015–2020 | Area change/km2 | 3898 | 114 | 31 | −47 | 1315 | −5311 |
| Range of change/% | 4.76 | 1.92 | 5.44 | −0.28 | 16.68 | −6.65 | |
| 1980–2020 | Area change/km2 | 3621 | 324 | 172 | −87 | 790 | −4820 |
| Range of change/% | 4.40 | 5.64 | 40.09 | −0.53 | 9.39 | −6.08 | |
| Year | Single Land Use Dynamic Degree | Comprehensive Land Use Dynamic Degree | |||||
|---|---|---|---|---|---|---|---|
| Grassland | Arable Land | Construction Land | Forest Land | Waters | Unused Land | ||
| 1980–1990 | 0.03 | 0.36 | −0.44 | 0.04 | 0.69 | 0.01 | 0.03 |
| 1990–1995 | −1.89 | −1.08 | 0.78 | 0.39 | 1.40 | 1.83 | 0.84 |
| 1995–2000 | 1.98 | 0.94 | 1.46 | −0.46 | 1.41 | −1.55 | 0.80 |
| 2000–2005 | −0.02 | 0.25 | 0.04 | −0.01 | 0.02 | 0.00 | 0.008 |
| 2005–2010 | 0.00 | 0.06 | 1.00 | 0.00 | −0.05 | 0.00 | 0.004 |
| 2010–2015 | −0.01 | −0.09 | 3.70 | −0.03 | 0.29 | −0.02 | 0.02 |
| 2015–2020 | 0.95 | 0.38 | 1.09 | −0.06 | 3.34 | −1.33 | 0.56 |
| Year | Land Types | Grassland | Arable Land | Construction Land | Forest Land | Waters | Unused Land | Sum |
|---|---|---|---|---|---|---|---|---|
| 1990 | ||||||||
| 1980 | Grassland | 56,781 | 2045 | 159 | 5982 | 769 | 16,482 | 82,218 |
| Arable land | 1936 | 3181 | 153 | 348 | 67 | 56 | 5741 | |
| Construction land | 152 | 180 | 49 | 18 | 8 | 22 | 429 | |
| Forest land | 6062 | 428 | 20 | 8924 | 167 | 940 | 16,541 | |
| Waters | 811 | 62 | 14 | 153 | 5881 | 1488 | 8409 | |
| Unused land | 16,739 | 50 | 15 | 1179 | 933 | 60,408 | 79,324 | |
| Sum | 82,481 | 5946 | 410 | 16,604 | 7825 | 79,396 | 192,662 | |
| 1995 | ||||||||
| 1990 | Grassland | 50,639 | 1942 | 141 | 6192 | 695 | 22,872 | 82,481 |
| Arable land | 2190 | 3093 | 178 | 379 | 50 | 56 | 5946 | |
| Construction land | 147 | 155 | 59 | 16 | 10 | 23 | 410 | |
| Forest land | 5829 | 337 | 27 | 9095 | 225 | 1091 | 16,604 | |
| Waters | 725 | 53 | 6 | 148 | 5899 | 994 | 7825 | |
| Unused land | 15,141 | 44 | 15 | 1094 | 1495 | 61,607 | 79,396 | |
| Sum | 74,671 | 5624 | 426 | 16,924 | 8374 | 86,643 | 192,662 | |
| 2000 | ||||||||
| 1995 | Grassland | 53,143 | 1964 | 119 | 5217 | 622 | 13,606 | 74,671 |
| Arable land | 1655 | 3384 | 193 | 307 | 57 | 28 | 5624 | |
| Construction land | 137 | 163 | 95 | 18 | 4 | 9 | 426 | |
| Forest land | 5530 | 282 | 20 | 9928 | 166 | 998 | 16,924 | |
| Waters | 626 | 43 | 10 | 178 | 6109 | 1408 | 8374 | |
| Unused land | 20,985 | 53 | 20 | 885 | 827 | 63,873 | 86,643 | |
| Sum | 82,076 | 5889 | 457 | 16,533 | 7785 | 79,922 | 192,662 | |
| Year | Land Types | Grassland | Arable Land | Construction Land | Forest Land | Waters | Unused Land | Sum |
|---|---|---|---|---|---|---|---|---|
| 2005 | ||||||||
| 2000 | Grassland | 81,987 | 84 | 2 | 1 | 2 | 82,076 | |
| Arable land | 14 | 5870 | 1 | 4 | 5889 | |||
| Construction land | 457 | 457 | ||||||
| Forest land | 6 | 6 | 16,520 | 1 | 16,533 | |||
| Waters | 1 | 2 | 7781 | 1 | 7785 | |||
| Unused land | 6 | 4 | 79,912 | 79,922 | ||||
| Sum | 82,014 | 5962 | 458 | 16,522 | 7791 | 79,915 | 192,662 | |
| 2010 | ||||||||
| 2005 | Grassland | 81,949 | 35 | 5 | 5 | 4 | 16 | 82,014 |
| Arable land | 15 | 5938 | 7 | 1 | 1 | 5962 | ||
| Construction land | 458 | 458 | ||||||
| Forest land | 1 | 4 | 16,517 | 16,522 | ||||
| Waters | 7 | 7761 | 23 | 7791 | ||||
| Unused land | 31 | 2 | 4 | 6 | 79,872 | 79,915 | ||
| Sum | 81,996 | 5979 | 481 | 16,523 | 7771 | 79,912 | 192,662 | |
| 2015 | ||||||||
| 2010 | Grassland | 81,886 | 7 | 47 | 1 | 41 | 14 | 81,996 |
| Arable land | 6 | 5942 | 27 | 1 | 3 | 5979 | ||
| Construction land | 1 | 480 | 481 | |||||
| Forest land | 2 | 1 | 16,499 | 21 | 16,523 | |||
| Waters | 7731 | 40 | 7771 | |||||
| Unused land | 47 | 16 | 88 | 79,761 | 79,912 | |||
| Sum | 81,941 | 5951 | 570 | 16,501 | 7884 | 79,815 | 192,662 | |
| Year | 2020 | |||||||
|---|---|---|---|---|---|---|---|---|
| Land Types | Grassland | Arable Land | Construction Land | Forest Land | Waters | Unused Land | Sum | |
| 2015 | Grassland | 58,413 | 2046 | 234 | 5763 | 992 | 14,493 | 81,941 |
| Arable land | 1985 | 3356 | 184 | 331 | 54 | 41 | 5951 | |
| Construction land | 176 | 201 | 108 | 22 | 32 | 31 | 570 | |
| Forest land | 5933 | 345 | 23 | 9175 | 161 | 864 | 16,501 | |
| Waters | 711 | 63 | 12 | 148 | 6119 | 831 | 7884 | |
| Unused land | 18,621 | 54 | 40 | 1015 | 1841 | 58,244 | 79,815 | |
| Sum | 85,839 | 6065 | 601 | 16,454 | 9199 | 74,504 | 192,662 | |
| Year | 2020 | |||||||
|---|---|---|---|---|---|---|---|---|
| Land Types | Grassland | Arable Land | Construction Land | Forest Land | Waters | Unused Land | Sum | |
| 1980 | Grassland | 58,451 | 2241 | 254 | 5774 | 1017 | 14,481 | 82,218 |
| Arable land | 1936 | 3185 | 193 | 327 | 62 | 38 | 5741 | |
| Construction land | 141 | 174 | 78 | 18 | 5 | 13 | 429 | |
| Forest land | 5948 | 352 | 23 | 9171 | 175 | 872 | 16,541 | |
| Waters | 874 | 60 | 11 | 150 | 6127 | 1187 | 8409 | |
| Unused land | 18,489 | 53 | 42 | 1014 | 1813 | 57,913 | 79,324 | |
| Sum | 85,839 | 6065 | 601 | 16,454 | 9199 | 74,504 | 192,662 | |
| Year | Grassland | Arable Land | Construction Land | Forest Land | Waters | Unused Land |
|---|---|---|---|---|---|---|
| 1980–1990 | 263 | 205 | −19 | 63 | −584 | 72 |
| 1990–1995 | −7810 | −322 | 16 | 320 | 549 | 7247 |
| 1995–2000 | 7405 | 265 | 31 | −391 | −589 | −6721 |
| 2000–2005 | −62 | 73 | 1 | −11 | 6 | −7 |
| 2005–2010 | −18 | 17 | 23 | 1 | −20 | −3 |
| 2010–2015 | −55 | −28 | 89 | −22 | 113 | −97 |
| 2015–2020 | 3898 | 114 | 31 | −47 | 1315 | −5311 |
| 1980–2020 | 3621 | 324 | 172 | −87 | 790 | −4820 |
Disclaimer/Publisher’s Note: The statements, opinions and data contained in all publications are solely those of the individual author(s) and contributor(s) and not of MDPI and/or the editor(s). MDPI and/or the editor(s) disclaim responsibility for any injury to people or property resulting from any ideas, methods, instructions or products referred to in the content. |
© 2023 by the authors. Licensee MDPI, Basel, Switzerland. This article is an open access article distributed under the terms and conditions of the Creative Commons Attribution (CC BY) license (https://creativecommons.org/licenses/by/4.0/).
Share and Cite
Wang, M.; Yang, M. Analysis of the Evolution of Land-Use Types in the Qilian Mountains from 1980 to 2020. Land 2023, 12, 287. https://doi.org/10.3390/land12020287
Wang M, Yang M. Analysis of the Evolution of Land-Use Types in the Qilian Mountains from 1980 to 2020. Land. 2023; 12(2):287. https://doi.org/10.3390/land12020287
Chicago/Turabian StyleWang, Miao, and Meixue Yang. 2023. "Analysis of the Evolution of Land-Use Types in the Qilian Mountains from 1980 to 2020" Land 12, no. 2: 287. https://doi.org/10.3390/land12020287
APA StyleWang, M., & Yang, M. (2023). Analysis of the Evolution of Land-Use Types in the Qilian Mountains from 1980 to 2020. Land, 12(2), 287. https://doi.org/10.3390/land12020287

