Research on an Analytical Framework for Urban Spatial Structural and Functional Optimisation: A Case Study of Beijing City, China
Abstract
1. Introduction
2. Materials and Methods
2.1. Study Area
2.2. Data Sources
2.3. Methods
2.3.1. MCR Model
Model Variables
- (1)
- Source selection
- (2)
- The construction of the resistance plane
Formula of the Model
2.3.2. Markov Chain Model
2.3.3. FLUS Model
2.3.4. Design of Future Urban Expansion Scenarios
- (i)
- BAU scenario. This scenario was designed so that the historical rules of mutual transfer among each land type remain unchanged; the land-use demand in 2031 can be calculated on the basis of the initial transition probability matrix for the period of 2010–2017. All land-use types can be transformed from one to another without restrictions.
- (ii)
- ES scenario. According to the ESZs, this scenario took the ecological control zone as the constraint condition and superimposed it on the BAU scenario result in 2031. Additionally, the construction land and cropland in the region are converted into forest, and the water and wetlands are kept stable, effectively guaranteeing ecological security.
- (iii)
- EP scenarios. This scenario integrated the ecological control zone and restricted construction zone as the constraint conditions and superimposed them on the BAU scenario results in 2031. This scenario focuses on protecting ecological security within the ecological control zone; in addition, the new increase in construction land within the restricted construction zones should be controlled.
3. Results
3.1. ESZs of Beijing
3.1.1. Comprehensive Resistance Planes of Beijing
3.1.2. Distribution Characteristics of ESZs
3.2. Simulation of Urban Spatial Structure in Beijing from 2010 to 2017
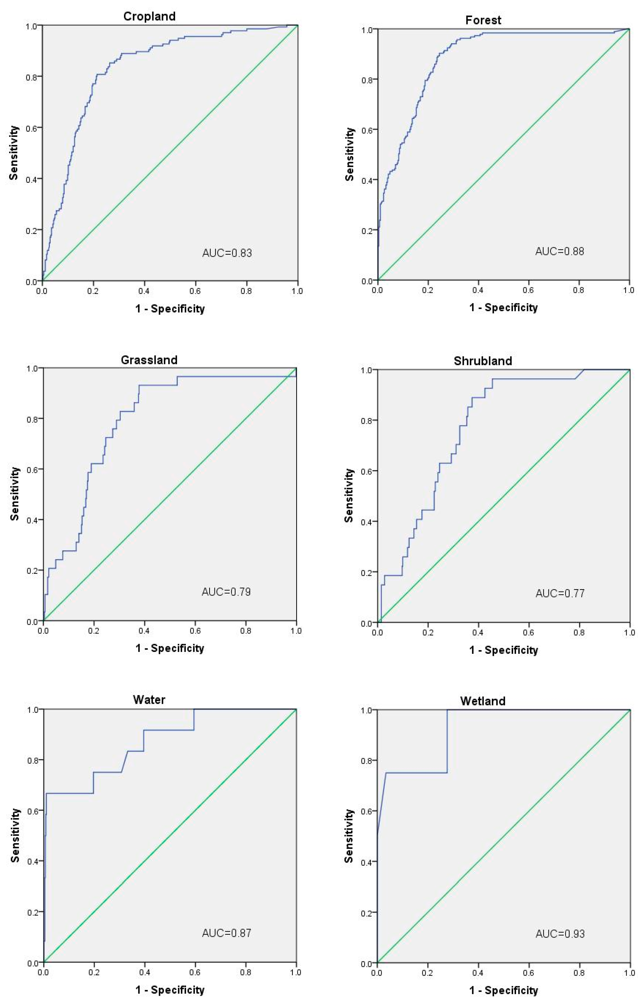
3.2.1. Verification of the FLUS Model
3.2.2. Simulation of Future Urban Expansion in Beijing in 2017
3.3. Optimisation of Urban Spatial Structure and Function in Beijing in 2031
4. Discussion
4.1. The Analytical Framework of Urban Spatial Structural and Functional Optimisation
4.2. Differences between the Three Scenarios
4.3. Limitations and Future Research Directions
5. Conclusions
Author Contributions
Funding
Acknowledgments
Conflicts of Interest
Appendix A
| Category | Data | Year | Data Type | Resolution | Data Resource |
|---|---|---|---|---|---|
| Landscape | Land-use data | 2010–2017 | Raster | 30 m | http://data.ess.tsinghua.edu.cn/ |
| Human influence | Population | 2010 | Raster | 1 km | http://www.resdc.cn/ |
| Gross Domestic Product(GDP) | 2010 | Raster | 1 km | ||
| Defence Meteorological Satellite Program (DMPS) | 2010 | Raster | 817 m | ||
| Terrain | Digital Elevation Model(DEM) | 2013 | Raster | 30 m | https://lpdaac.usgs.gov/ |
| Slope | 2013 | Raster | 30 m | Calculated from DEM | |
| Aspect | 2013 | Raster | 30 m | Calculated from DEM | |
| Soil | Percentage of sand | 2009 | Raster | 817 m | http://westdc.westgis.ac.cn/ |
| Percentage of silt | 2009 | Raster | 817 m | ||
| Percentage of clay | 2009 | Raster | 817 m | ||
| Climate | Annual mean temperature | 2010 | Raster | 1 km | http://www.resdc.cn/ |
| Annual mean precipitation | 2010 | Raster | 1 km | ||
| NDVI | Normalized Difference Vegetation Index (NDVI) data | 2017 | Raster | 1 km | http://www.resdc.cn/ |
| Location | Road network | 2020 | Vector | — | https://www.openstreetmap.org/ |
| Road network | 2010 | Vector | — | https://sedac.ciesin.columbia.edu/data/set/groads-global-roads-open-access-v1# | |
| Basic map of Beijing | Ecological protection red line map | 2017 | Other data | 1:5000 | http://www.beijing.gov.cn/zhengce/zhengcefagui/201905/t20190522_61382.html |
| Basic farmland conservation planning map | 2017 | Other data | 1:5000 | http://www.beijing.gov.cn/gongkai/guihua/wngh/cqgh/201907/t20190701_100008.html | |
| Historical and cultural protection planning map | 2017 | Other data | 1:5000 |


References
- Bourne, L.S. Internal structure of the city: Readings on urban form, growth, and policy. Historian 1982, 26, 1–18. [Google Scholar] [CrossRef]
- Liu, M.; Hu, Y.; Li, C. Landscape metrics for three-dimensional urban building pattern recognition. Appl. Geogr. 2017, 87, 66–72. [Google Scholar] [CrossRef]
- Xu, X.; Ou, J.; Liu, P.; Liu, X.; Zhang, H. Investigating the impacts of three-dimensional spatial structures on CO2 emissions at the urban scale. Sci. Total Environ. 2020, 143096. [Google Scholar] [CrossRef] [PubMed]
- Luo, X.; Lu, X.; Jin, G.; Wan, Q.; Zhou, M. Optimization of urban land-use structure in China’s rapidly developing regions with eco-environmental constraints. Phys. Chem. Earth Parts A B C 2019, 110, 8–13. [Google Scholar] [CrossRef]
- Song, X.; Feng, Q.; Xia, F.; Li, X.; Scheffran, J. Impacts of changing urban land-use structure on sustainable city growth in China: A population-density dynamics perspective. Habitat Int. 2021, 107, 102296. [Google Scholar] [CrossRef]
- Al-Saadi, L.M.; Jaber, S.H.; Al-Jiboori, M.H. Variation of urban vegetation cover and its impact on minimum and maximum heat islands. Urban Clim. 2020, 34, 100707. [Google Scholar] [CrossRef]
- Lin, J.; Huang, B.; Chen, M.; Huang, Z. Modeling urban vertical growth using cellular automata—Guangzhou as a case study. Appl. Geogr. 2014, 53, 172–186. [Google Scholar] [CrossRef]
- Crooks, A.; Pfoser, D.; Jenkins, A.; Croitoru, A.; Stefanidis, A.; Smith, D.; Karagiorgou, S.; Efentakis, A.; Lamprianidis, G. Crowdsourcing urban form and function. Int. J. Geogr. Inf. Sci. 2015, 29, 1–22. [Google Scholar] [CrossRef]
- Yang, Y.; Bao, W.; Liu, Y. Coupling coordination analysis of rural production-living-ecological space in the Beijing-Tianjin-Hebei region. Ecol. Indic. 2020, 117, 106512. [Google Scholar] [CrossRef]
- Zou, L.; Liu, Y.; Wang, J.; Yang, Y. An analysis of land use conflict potentials based on ecological-production-living function in the southeast coastal area of China. Ecol. Indic. 2021, 122, 107297. [Google Scholar] [CrossRef]
- Zou, L.; Liu, Y.; Yang, J.; Yang, S.; Wang, Y.; Cao, Z.; Hu, X. Quantitative identification and spatial analysis of land use ecological-production-living functions in rural areas on China’s. Habitat Int. 2020, 100, 102182. [Google Scholar] [CrossRef]
- Bai, X.; Shi, P.; Liu, Y. Realizing China’s Urban dream. Nature 2014, 509, 158–160. [Google Scholar] [CrossRef] [PubMed]
- Gu, C.L.; Guan, W.; Liu, H. Chinese urbanization 2050: SD modeling and process simulation. Sci. China Earth Sci. 2017, 60, 1067–1082. [Google Scholar] [CrossRef]
- Karen, C.S. Global forecasts of urban expansion to 2030 and direct impacts on biodiversity and carbon pools. Proc. Natl. Acad. Sci. USA 2012, 109, 16083–16088. [Google Scholar]
- Qiu, B.; Li, H.; Tang, Z.; Chen, C.; Berry, J. How cropland losses shaped by unbalanced urbanization process? Land Use Policy 2020, 96, 104715. [Google Scholar] [CrossRef]
- Vimal, R.; Geniaux, G.; Pluvinet, P.; Napoleone, C.; Lepart, J. Detecting threatened biodiversity by urbanization at regional and local scales using an urban sprawl simulation approach: Application on the French Mediterranean region. Landsc. Urban Plan. 2012, 104, 343–355. [Google Scholar] [CrossRef]
- Zhang, Y.; Liu, Y.; Zhang, Y.; Liu, Y.; Zhang, G.; Chen, Y. On the spatial relationship between ecosystem services and urbanization: A case study in Wuhan, China. Sci. Total Environ. 2018, 637–638, 780–790. [Google Scholar] [CrossRef]
- Portela, R.; Rademacher, I. A dynamic model of patterns of deforestation and their effect on the ability of the Brazilian Amazonia to provide ecosystem services. Ecol. Model. 2001, 143, 115–146. [Google Scholar] [CrossRef]
- Pontius, R.; Cornell, J.; Hall, C. Modeling the spatial pattern of land-use change with GEOMOD2: Application and validation for Costa Rica. Agric. Ecosyst. Environ. 2001, 85, 191–203. [Google Scholar] [CrossRef]
- Barredo, J.; Kasanko, M.; McCormick, N.; Lavalle, C. Modelling dynamic spatial processes: Simulation of urban future scenarios through cellular automata. Landsc. Urban Plan. 2003, 64, 145–160. [Google Scholar] [CrossRef]
- Clarke, K.; Hoppen, S.; Gaydos, L. A self-modifying cellular automaton model of historical urbanization in the San Francisco Bay area. Environ. Plan. B Plan. Des. 1997, 24, 247–261. [Google Scholar] [CrossRef]
- Huang, D.; Huang, J.; Liu, T. Delimiting urban growth boundaries using the CLUE-S model with village administrative boundaries. Land Use Policy 2019, 82, 422–435. [Google Scholar] [CrossRef]
- Liu, G.; Jin, Q.; Li, J.; Li, L.; He, C.; Huang, Y.; Yao, Y. Policy factors impact analysis based on remote sensing data and the CLUE-S model in the Lijiang River Basin, China. Catena 2017, 158. [Google Scholar] [CrossRef]
- Verburg, P.H.; Koning, G.; Kok, K.; Veldkamp, A.; Bouma, J. A spatial explicit allocation procedure for modelling the pattern of land use change based upon actual land use. Ecol. Model. 1999, 116. [Google Scholar] [CrossRef]
- Verburg, P.H. Veldkamp, A. Projecting land use transitions at forest fringes in the Philippines at two spatial scales. Landsc. Ecol. 2004, 19. [Google Scholar] [CrossRef]
- Chebeane, H.; Echalier, F. Towards the use of a multi-agents event based design to improve reactivity of production systems. Comput. Ind. Eng. 1999, 37, 9–13. [Google Scholar] [CrossRef]
- Huang, Q.; Song, W. A land-use spatial optimum allocation model coupling a multi-agent system with the shuffled frog leaping algorithm. Comput. Environ. Urban Syst. 2019, 77, 101360. [Google Scholar] [CrossRef]
- Liu, X.P.; Liang, X.; Li, X.; Xu, X.; Wang, S. A future land use simulation model (FLUS) for simulating multiple land use scenarios by coupling human and natural effects. Landsc. Urban Plan. 2017, 168, 94–116. [Google Scholar] [CrossRef]
- Fu, Q.; Hou, Y.; Wang, B.; Bi, X.; Zhang, X. Scenario analysis of ecosystem service changes and interactions in a mountain-oasis-desert system: A case study in Altay Prefecture, China. Sci. Rep. 2018, 8. [Google Scholar] [CrossRef]
- Liang, X.; Liu, X.; Li, X.; Chen, Y.; Tian, H.; Yao, Y. Delineating multi-scenario urban growth boundaries with a CA-based FLUS model and morphological method. Landsc. Urban Plan. 2018, 177, 47–63. [Google Scholar] [CrossRef]
- Lin, W.B.; Sun, Y.; Nijhuis, S.; Wang, Z. Scenario-based flood risk assessment for urbanizing deltas using future land-use simulation (FLUS): Guangzhou Metropolitan Area as a case study. Sci. Total Environ. 2020, 739, 139899. [Google Scholar] [CrossRef] [PubMed]
- Li, F.; Ye, Y.; Song, B.; Wang, R. Evaluation of urban suitable ecological land based on the minimum cumulative resistance model: A case study from Changzhou, China. Ecol. Model. 2015, 318, 194–203. [Google Scholar] [CrossRef]
- Li, S.; Xiao, W.; Zhao, Y.; Lv, X. Incorporating ecological risk index in the multi-process MCRE model to optimize the ecological security pattern in a semi-arid area with intensive coal mining: A case study in northern China. J. Clean. Prod. 2020, 247, 119143. [Google Scholar] [CrossRef]
- Zhang, Y.J.; Yu, B.Y. Analysis of urban ecological network space and optimization of ecological network pattern. Acta Ecol. Sin. 2016, 36, 6969–6984. [Google Scholar]
- Wu, J.S.; Zhang, L.Q.; Peng, J.; Feng, Z.; Liu, H.M.; He, S.B. The integrated recognition of the source area of the urban ecological security pattern in Shenzhen. Acta Ecol. Sin. 2013, 33, 4125–4133. [Google Scholar]
- Zhang, J.; Qiao, Q.; Liu, C.; Wang, H.; Pei, X. Ecological land use planning for Beijing City based on the minimum cumulative resistance model. Acta Ecol. Sin. 2017, 37, 28–36. [Google Scholar]
- Costanza, R.; dA’rge, R.; de Groot, R.; Farberk, S.; Belt, M. The value of the world’s ecosystem services and natural capital. Ecol. Econ. 1997, 25, 3–15. [Google Scholar] [CrossRef]
- Knaapen, J.; Scheffer, M.; Harms, B. Estimating habitat isolation in landscape planning. Landsc. Urban Plan. 1992, 23, 1–16. [Google Scholar] [CrossRef]
- Yu, K.J. Landscape ecological security patterns in biological conservation. Acta Ecol. Sin. 1999, 19, 8–15. [Google Scholar]
- Lu, Q.; Chang, N.; Joyce, J.; Chen, A.; Savic, D.; Djordjevic, S.; Fu, G. Exploring the potential climate change impact on urban growth in London by a cellular automata-based Markov chain model. Comput. Environ. Urban Syst. 2017, 68, 121–132. [Google Scholar] [CrossRef]
- Pontius, R.; Boersma, W.; Castell, J.; Clarke, K.; Nijs, T.; Charles, D.; Zeng, Q.; Eric, F.; Noah, G.; Kasper, K.; et al. Comparing the input, output, and validation maps for several models of land change. Ann. Reg. Sci. 2008, 42, 11–37. [Google Scholar] [CrossRef]
- Liang, X.; Liu, X.; Li, D.; Zhao, H.; Chen, G. Urban growth simulation by incorporating planning policies into a CA-based future land-use simulation model. International J. Geogr. Inf. Sci. 2018, 32, 2294–2316. [Google Scholar] [CrossRef]
- Pontius, R.G.; Huffaker, D.; Denman, K. Useful techniques of validation for spatially explicit land-change models. Ecol. Model. 2004, 179, 445–461. [Google Scholar] [CrossRef]
- Pontius, R.G.; Millones, M. Death to Kappa: Birth of quantity disagreement and allocation disagreement for accuracy assessment. Int. J. Remote Sens. 2011, 32, 4407–4429. [Google Scholar] [CrossRef]
- Hanley, J.A.; McNeil, B.J. The meaning and use of the area under a receiver operating characteristic (ROC) curve. Radiology 1982, 143, 29–36. [Google Scholar] [CrossRef] [PubMed]
- Peng, Y.F. Metropolitan Land Use Optimization Simulation Based on FLUS Model—Setting Shenzhen City as an Example. Shandong Land Resour. 2019, 35, 70–74. [Google Scholar]
- Yu, D.; Liu, Y.; Fu, B. Urban growth simulation guided by ecological constraints in Beijing city Methods and implications for spatial planning. J. Environ. Manag. 2019, 243, 402–410. [Google Scholar] [CrossRef]









| Resistance Coefficient | Landscape Type | Digital Elevation Model (DEM)/m | Slope/° | Normalized Difference Vegetation Index (NDVI)/% | Distance to Urban/m | Distance to Road Network/m | Ecological Barriers | ||||
|---|---|---|---|---|---|---|---|---|---|---|---|
| Ecological Source | Urban Source | Distance to Express | Distance to Primary Road | Distance to Second Road | Distance to Tertiary Road | ||||||
| 10 | 100 | Forest | 1760–2322 | >60 | >0.75 | >3000 | 0–30, >4000 | 0–30, >3000 | 0–20, >3000 | 0–15, >2000 | Ecological protection red line |
| 30 | 70 | Water/ Wetland | 1290–1760 | 45–60 | 0.6–0.75 | 2000–3000 | 30–50,3000–4000 | 2000–3000 | 2000–3000 | 1500–2000 | Basic farmland |
| 50 | 50 | Grassland/ Shrubland | 820–1290 | 30–45 | 0.45–0.6 | 1000–2000 | 2000–3000 | 1500–2000 | 1500–2000 | 1000–1500 | - |
| 70 | 30 | Cropland | 350–820 | 15–30 | 0.3–0.45 | 500–1000 | 1000–2000 | 1000–1500 | 1000–1500 | 500–1000 | - |
| 100 | 10 | Construction land/ Bare land | −121–350 | <15 | <0.3 | <500 | 50–1000 | 30–1000 | 20–1000 | 15–500 | Other areas |
| Weight | 0.2449 | 0.0447 | 0.0283 | 0.0192 | 0.0725 | 0.0996 | 0.4908 | ||||
| Suitability Grade | Expansion Difficulty | Threshold | Area/km2 | Proportion | |
|---|---|---|---|---|---|
| Ecological Land | Urban Land | ||||
| Ecological Control Zone | Easy | Difficulty | −1,319,737–0 | 10,038 | 63% |
| Restricted construction zone | Less easy | Less easy | 0–146,277 | 3420 | 22% |
| Centralised construction zone | Difficulty | Easy | 146,277–698,752 | 2364 | 15% |
| Landscape Types | Cropland | Forest | Shrub Land | Grassland | Water | Wetland | Construction Land | Bare Land |
|---|---|---|---|---|---|---|---|---|
| Simulated values (km2) | 4123 | 7613 | 278 | 1186 | 253 | 3 | 2870 | 55 |
| Actual values (km2) | 4124 | 7621 | 278 | 1187 | 253 | 3 | 2871 | 55 |
| Error (%) | −0.02 | −0.11 | 0 | −0.08 | 0 | 0 | −0.03 | 0 |
| LANDSCAPE TYPES | Cropland | Forest | Shrub Land | Grassland | Water | Wetland | Construction Land | Bare Land |
|---|---|---|---|---|---|---|---|---|
| Business as usual (BAU) | 3020 | 9094 | 763 | 214 | 147 | 2 | 3112 | 41 |
| Ecological security (ES) | 2595 | 9803 | 763 | 214 | 147 | 2 | 2872 | 41 |
| Ecological priority (EP) | 2838 | 9581 | 767 | 215 | 169 | 2 | 2768 | 52 |
Publisher’s Note: MDPI stays neutral with regard to jurisdictional claims in published maps and institutional affiliations. |
© 2021 by the authors. Licensee MDPI, Basel, Switzerland. This article is an open access article distributed under the terms and conditions of the Creative Commons Attribution (CC BY) license (http://creativecommons.org/licenses/by/4.0/).
Share and Cite
Zhang, W.; Li, B. Research on an Analytical Framework for Urban Spatial Structural and Functional Optimisation: A Case Study of Beijing City, China. Land 2021, 10, 86. https://doi.org/10.3390/land10010086
Zhang W, Li B. Research on an Analytical Framework for Urban Spatial Structural and Functional Optimisation: A Case Study of Beijing City, China. Land. 2021; 10(1):86. https://doi.org/10.3390/land10010086
Chicago/Turabian StyleZhang, Wenting, and Bo Li. 2021. "Research on an Analytical Framework for Urban Spatial Structural and Functional Optimisation: A Case Study of Beijing City, China" Land 10, no. 1: 86. https://doi.org/10.3390/land10010086
APA StyleZhang, W., & Li, B. (2021). Research on an Analytical Framework for Urban Spatial Structural and Functional Optimisation: A Case Study of Beijing City, China. Land, 10(1), 86. https://doi.org/10.3390/land10010086
