Unpacking Changing Multi-Actor and Multi-Level Actor Ties in Transformative Spaces: Insights from a Degraded Landscape, Machubeni, South Africa
Abstract
1. Introduction
2. Theoretical Background
Linking Social Capital, Polycentrism, and Social Network Analysis
3. Study Area
3.1. Overview of Machubeni Communal Land: Setting the Scene
3.2. The Problem Space
4. Approach and Methods
4.1. Criteria for Selecting Actors
4.2. Data Collection
4.3. Actor Ties Analysis
4.4. Qualitative Analysis
5. Results
5.1. Trends in Participation
“I joined the transformative space because I would like to help transform the Machubeni landscapes into a better sustainable area. I have realised that land degradation has rapidly increased over the past 60 years. Therefore, its has become a necessity to stop land degradation and bush encroachment which is affecting our livelihoods.”
“Whenever we make suggestions during forum meetings, the older participants always interject us. However, we cannot argue with the elders in public because this is against our culture.”Interviewer: But the forum is a safe space where all network members are equal?Respondent: In principle, it is a safe space, but usually after the workshops, we often get a rebuke from the elders for highlighting divergent points to theirs. This resulted in youths keeping quiet during workshop discussions. “It is better to be safe than sorry.”
…“When the university finally exits the project in 2022, I do not see any senior government actors from District or Provincial level attending forum meetings because it will be the mandate of the local municipality as an implementer to take over…..Our role at the Provincial level is to help with policy interpretation, but if the local municipality is non-functional there is nothing we can do”…
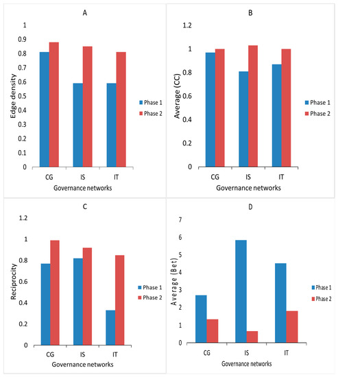
5.2. Evolution and Description of the Common Goals Network over Time
5.3. Evolution and Description of the Information-Sharing Network over Time
5.4. Evolution and Description of the Inter-Organisational Trust Network over Time
“We are the custodians of this community, MMF executive is distributing lucerne seedlings without our blessings. What criteria did they use to distribute the seeds? As the headman, I am the father of the five villages, and I will never let anyone divide my community. Therefore, the selection criteria should include all local semi-autonomous hub leaders.”
“when making decisions, we include the two headmen and their seven sub-headmen. However, when a headman misses an important meeting, it is the responsibility of the sub-headman to inform their headman.”
5.5. Reflection Phase
“I think failure to communicate effectively among ourselves has strained our relations and has resulted in us forming unnecessary cliques which are unhealthy.”
“In order to achieve our goals, we need effective communication and transparency. I have realised that if we work in silos, we will not achieve most of the goals we set in 2018.”
“In order for real transformation to happen in Machubeni, the government and research institutes should create job opportunities that appeal to the youths. I took the youth garden job because I am desperate to make a living otherwise if I were to get a better job opportunity in Johannesburg, I would definitely quit the youth garden job. Moreover, after 2022, there will not be project funding; there is no need to stay permanently in Machubeni.”
6. Discussion
7. Conclusions
Supplementary Materials
Author Contributions
Funding
Acknowledgments
Conflicts of Interest
References
- Steffen, W.; Crutzen, P.J.; McNeill, J.R. The Anthropocene: Are Humans Now Overwhelming the Great Forces of Nature. AMBIO J. Human Environ. 2007, 36, 614–621. [Google Scholar] [CrossRef]
- Steffen, W.; Rockström, J.; Richardson, K.; Lenton, T.M.; Folke, C.; Liverman, D.; Summerhayes, C.P.; Barnosky, A.D.; Cornell, S.E.; Crucifix, M.; et al. Trajectories of the Earth System in the Anthropocene. Proc. Natl. Acad. Sci. USA 2018, 115, 8252–8259. [Google Scholar] [CrossRef]
- Ostrom, E. A general framework for analyzing sustainability of social-ecological systems. Science 2009, 325, 419–422. [Google Scholar] [CrossRef]
- Schoon, M.L.; Robards, M.D.; Brown, K.; Engle, N.; Meek, C.L.; Biggs, R. Politics and the resilience of ecosystem services. In Principles for Building Resilience; Biggs, R., Schluter, M., Schoon, M.L., Eds.; Cambridge University Press: Cambridge, UK, 2015; pp. 32–49. ISBN 978-1-316-01424-0. [Google Scholar]
- Hassan, R.; Scholes, R.; Ash, N. (Eds.) Ecosystems and Human Well-Being: Current State and Trends; Island Press: Washington, DC, USA, 2005; Volume 1. [Google Scholar]
- Díaz, S.; Demissew, S.; Carabias, J.; Joly, C.; Lonsdale, M.; Ash, N.; Larigauderie, A.; Adhikari, J.R.; Arico, S.; Báldi, A.; et al. The IPBES Conceptual Framework—Connecting nature and people. Curr. Opin. Environ. Sustain. 2015, 14, 1–16. [Google Scholar] [CrossRef]
- Falayi, M.; Shackleton, S.E.; Kemp, G.C.; Shackleton, C.M. Changes in household use and sale of locally collected environmental resources over a 15-year period in a rural village, South Africa. For. Trees Livelihoods 2019, 28, 90–107. [Google Scholar] [CrossRef]
- Millennium Ecosystem Assessment. Ecosystem and Human Well-Being: Biodiversity Synthesis; World Resource Institute: Washington, DC, USA, 2005. [Google Scholar]
- Scholes, R.; Montanarella, L.; Brainich, A.; Barger, N.; ten Brink, B.; Cantele, M.; Erasmus, B.; Fisher, J.; Gardner, T.; Holland, T.G. Summary for Policymakers of the Thematic assessment Report on Land Degradation and Restoration of the Intergovernmental Science-Policy Platform on Biodiversity and Ecosystem Services. IPBES Secr. Bonn Ger. 2018, 1–31. [Google Scholar]
- Shackleton, C.M.; Gambiza, J. Social and ecological trade offs in combating land degradation: The case of invasion by a woody shrub (Euryops floribundus) at Macubeni, South Africa. Land Degrad. Dev. 2008, 19, 454–464. [Google Scholar] [CrossRef]
- Reed, M.S.; Stringer, L.C.; Dougill, A.J.; Perkins, J.S.; Atlhopheng, J.R.; Mulale, K.; Favretto, N. Reorienting land degradation towards sustainable land management: Linking sustainable livelihoods with ecosystem services in rangeland systems. J. Environ. Manag. 2015, 151, 472–485. [Google Scholar] [CrossRef]
- Shackleton, S.; Luckert, M.; Shackleton, S.; Luckert, M. Changing Livelihoods and Landscapes in the Rural Eastern Cape, South Africa: Past Influences and Future Trajectories. Land 2015, 4, 1060–1089. [Google Scholar] [CrossRef]
- Milder, J.C.; Buck, L.E.; DeClerck, F.; Scherr, S.J. Landscape Approaches to Achieving Food Production, Natural Resource Conservation, and the Millennium Development Goals. Integr. Ecol. Poverty Reduct. 2012, 77–108. [Google Scholar] [CrossRef]
- Stringer, L.C.; Reed, M.S.; Dougill, A.J.; Seely, M.K.; Rokitzki, M. Implementing the UNCCD: Participatory challenges. Nat. Resour. Forum 2007, 31, 198–211. [Google Scholar] [CrossRef]
- Alexander, S.M.; Armitage, D.; Charles, A. Social networks and transitions to co-management in Jamaican marine reserves and small-scale fisheries. Glob. Environ. Chang. 2015, 35, 213–225. [Google Scholar] [CrossRef]
- Zoumides, C.; Bruggeman, A.; Giannakis, E.; Camera, C.; Djuma, H.; Eliades, M.; Charalambous, K. Community-Based Rehabilitation of Mountain Terraces in Cyprus. Land Degrad. Dev. 2017, 28, 95–105. [Google Scholar] [CrossRef]
- Warner, J. Multi-stakeholder platforms: Integrating society in water resource management? Ambient Soc. 2005, 8, 4–28. [Google Scholar] [CrossRef]
- Kusters, K.; Buck, L.; de Graaf, M.; Minang, P.; van Oosten, C.; Zagt, R. Participatory Planning, Monitoring and Evaluation of Multi-Stakeholder Platforms in Integrated Landscape Initiatives. Environ. Manag. 2018, 62, 170–181. [Google Scholar] [CrossRef]
- Faysse, N. Troubles on the way: An analysis of the challenges faced by multi-stakeholder platforms. Nat. Resour. Forum 2006, 30, 219–229. [Google Scholar] [CrossRef]
- Pinkse, J.; Kolk, A. Addressing the Climate Change—Sustainable Development Nexus: The Role of Multistakeholder Partnerships—Jonatan Pinkse, Ans Kolk, 2012. Bus. Soc. 2012, 51, 176–210. [Google Scholar] [CrossRef]
- Bisaro, A.; Kirk, M.; Zdruli, P.; Zimmermann, W. Global Drivers Setting Desertification Research Priorities: Insights from a Stakeholder Consultation Forum. Land Degrad. Dev. 2014, 25, 5–16. [Google Scholar] [CrossRef]
- Mansourian, S. In the eye of the beholder: Reconciling interpretations of forest landscape restoration. Land Degrad. Dev. 2018, 29, 2888–2898. [Google Scholar] [CrossRef]
- Schwilch, G.; Bachmann, F.; Liniger, H. Appraising and selecting conservation measures to mitigate desertification and land degradation based on stakeholder participation and global best practices. Land Degrad. Dev. 2009, 20, 308–326. [Google Scholar] [CrossRef]
- Mbow, C. Use It Sustainably or Lose It! The Land Stakes in SDGs for Sub-Saharan Africa. Land 2020, 9, 63. [Google Scholar] [CrossRef]
- Patterson, J.; Schulz, K.; Vervoort, J.; van der Hel, S.; Widerberg, O.; Adler, C.; Hurlbert, M.; Anderton, K.; Sethi, M.; Barau, A. Exploring the governance and politics of transformations towards sustainability. Environ. Innov. Soc. Transit. 2017, 24, 1–16. [Google Scholar] [CrossRef]
- Westley, F.; Tjornbo, O.; Schultz, L.; Olsson, P.; Folke, C.; Crona, B.; Bodin, Ö. A Theory of Transformative Agency in Linked Social-Ecological Systems. Ecol. Soc. 2013, 18. [Google Scholar] [CrossRef]
- Walker, B.; Holling, C.S.; Carpenter, S.R.; Kinzig, A. Resilience, Adaptability and Transformability in Social–ecological Systems. Ecol. Soc. 2004, 9. Available online: https://www.jstor.org/stable/26267673 (accessed on 4 June 2020). [CrossRef]
- Frantzeskaki, N.; Wittmayer, J.; Loorbach, D. The role of partnerships in ‘realising’ urban sustainability in Rotterdam’s City Ports Area, The Netherlands. J. Clean. Prod. 2014, 65, 406–417. [Google Scholar] [CrossRef]
- Scoones, I.; Stirling, A.; Abrol, D.; Atela, J.; Charli-Joseph, L.; Eakin, H.; Ely, A.; Olsson, P.; Pereira, L.; Priya, R.; et al. Transformations to sustainability: Combining structural, systemic and enabling approaches. Curr. Opin. Environ. Sustain. 2020. [Google Scholar] [CrossRef]
- Pereira, L.; Karpouzoglou, T.; Frantzeskaki, N.; Olsson, P. Designing transformative spaces for sustainability in social-ecological systems. Ecol. Soc. 2018, 23. [Google Scholar] [CrossRef]
- Moore, M.-L.; Olsson, P.; Nilsson, W.; Rose, L.; Westley, F. Navigating emergence and system reflexivity as key transformative capacities: Experiences from a Global Fellowship program. Ecol. Soc. 2018, 23. [Google Scholar] [CrossRef]
- Pereira, L.; Frantzeskaki, N.; Hebinck, A.; Charli-Joseph, L.; Drimie, S.; Dyer, M.; Eakin, H.; Galafassi, D.; Karpouzoglou, T.; Marshall, F.; et al. Transformative spaces in the making: Key lessons from nine cases in the Global South. Sustain. Sci. 2019. [Google Scholar] [CrossRef]
- Drimie, S.; Hamann, R.; Manderson, A.; Mlondobozi, N. Creating transformative spaces for dialogue and action: Reflecting on the experience of the Southern Africa Food Lab. Ecol. Soc. 2018, 23. [Google Scholar] [CrossRef]
- Lam, A. Organizational learning. In The Oxford handbook of innovation; Fagerberg, J., Mowery, D.C., Nelson, R.R., Eds.; Oxford University Press: Oxford, UK, 2005; ISBN 978-0-19-926455-1. [Google Scholar]
- Charli-Joseph, L.; Siqueiros-Garcia, J.M.; Eakin, H.; Manuel-Navarrete, D.; Shelton, R. Promoting agency for social-ecological transformation: A transformation-lab in the Xochimilco social-ecological system. Ecol. Soc. 2018, 23. [Google Scholar] [CrossRef]
- van Zwanenberg, P.; Cremaschi, A.; Obaya, M.; Marin, A.; Lowenstein, V. Seeking unconventional alliances and bridging innovations in spaces for transformative change: The seed sector and agricultural sustainability in Argentina. Ecol. Soc. 2018, 23. [Google Scholar] [CrossRef]
- Hebinck, A.; Vervoort, J.; Hebinck, P.; Rutting, L.; Galli, F. Imagining transformative futures: Participatory foresight for food systems change. Ecol. Soc. 2018, 23. [Google Scholar] [CrossRef]
- Galafassi, D.; Daw, T.; Thyresson, M.; Rosendo, S.; Chaigneau, T.; Bandeira, S.; Munyi, L.; Gabrielsson, I.; Brown, K. Stories in social-ecological knowledge cocreation. Ecol. Soc. 2018, 23. [Google Scholar] [CrossRef]
- Marshall, F.; Dolley, J.; Priya, R. Transdisciplinary research as transformative space making for sustainability: Enhancing propoor transformative agency in periurban contexts contexts. Ecol. Soc. 2018, 23, 8. [Google Scholar] [CrossRef]
- Dyer, M. Transforming communicative spaces: The rhythm of gender in meetings in rural Solomon Islands. Ecol. Soc. 2018, 23. [Google Scholar] [CrossRef]
- Olsson, P.; Moore, M.-L.; Westley, F.R.; McCarthy, D.D.P. The concept of the Anthropocene as a game-changer: A new context for social innovation and transformations to sustainability. Ecol. Soc. 2017, 22. [Google Scholar] [CrossRef]
- Hoffman, M.T.; Todd, S. A national review of land degradation in South Africa: The influence of biophysical and socio-economic factors. J. South. Afr. Stud. 2000, 26, 743–758. [Google Scholar] [CrossRef]
- ATS/Ikwezi. Machubeni Land Use Plan Assessment Report; Rhodes University: Grahamstown, South Africa, 2004; pp. 1–56. [Google Scholar]
- Putnam, R.D. Bowling Alone: America’s Declining Social Capital. In Culture and Politics: A Reader; Crothers, L., Lockhart, C., Eds.; Palgrave Macmillan US: New York, NY, USA, 2000; pp. 223–234. ISBN 978-1-349-62965-7. [Google Scholar]
- Dekker, P.; Uslaner, E.M. Social Capital and Participation in Everyday Life; Uslaner, E.M., Ed.; Routledge: London, UK, 2001. [Google Scholar]
- Coleman, J.S. Social Capital in the Creation of Human Capital. Am. J. Sociol. 1988, 94, S95–S120. [Google Scholar] [CrossRef]
- Ostrom, E.; Ahn, T.K. The meaning of social capital and its link to collective action. In Handbook of Social Capital: The Troika of Sociology, Political Science and Economics; Edward Elgar Publishing: Cheltenham, UK, 2009. [Google Scholar]
- Bodin, Ö.; Crona, B.I. Management of Natural Resources at the Community Level: Exploring the Role of Social Capital and Leadership in a Rural Fishing Community. World Dev. 2008, 36, 2763–2779. [Google Scholar] [CrossRef]
- Merino-Pérez, L. Conservation or Deterioration: The Impact of Public Policies on Community Institutions and on the Use Practices of Forest Resources; Instituto Nacional de Ecología: Mexico City, Mexico, 2004. [Google Scholar]
- Gambeta, D. Mafia: The price of distrust. In Trust: Making and Breaking Cooperative Relations; Gambetta, D., Ed.; Basil Blackwell: London, UK, 1988. [Google Scholar]
- Stringer, L.C.; Dougill, A.J.; Fraser, E.; Hubacek, K.; Prell, C.; Reed, M.S. Unpacking “Participation” in the Adaptive Management of Social–ecological Systems: A Critical Review. Ecol. Soc. 2006, 11. Available online: www.jstor.org/stable/26266023 (accessed on 4 June 2020). [CrossRef]
- Schoon, M.L.; Robards, M.D.; Meek, C.L.; Galaz, V. 9 Principle 7–Promote polycentric governance systems. In Principles for Building Resilience: Sustaining Ecosystem Services in Social-Ecological Systems; Biggs, R., Schluter, M., Schoon, M.L., Eds.; Cambridge University Press: Cambridge, UK, 2015; pp. 226–250. ISBN 9781316014240|9781107082656. [Google Scholar]
- Ostrom, E. Polycentric systems for coping with collective action and global environmental change. Glob. Environ. Chang. 2010, 20, 550–557. [Google Scholar] [CrossRef]
- McGinnis, M.D.; Ostrom, E. Reflections on Vincent Ostrom, Public Administration, and Polycentricity. Public Adm. Rev. 2012, 72, 15–25. [Google Scholar] [CrossRef]
- Ostrom, E. Coping with tragedies of the commons. Annu. Rev. Polit. Sci. 1999, 2, 493–535. [Google Scholar] [CrossRef]
- Howitt, R. Scale. In A Companion to Political Geography; John Wiley & Sons, Ltd.: Hoboken, NJ, USA, 2007; pp. 132–157. ISBN 978-0-470-99894-6. [Google Scholar]
- Ostrom, E. Beyond Markets and States: Polycentric Governance of Complex Economic Systems. Am. Econ. Rev. 2010, 100, 641–672. [Google Scholar] [CrossRef]
- Morrison, T.H.; Adger, W.N.; Brown, K.; Lemos, M.C.; Huitema, D.; Phelps, J.; Evans, L.; Cohen, P.; Song, A.M.; Turner, R.; et al. The black box of power in polycentric environmental governance. Glob. Environ. Chang. 2019, 57, 101934. [Google Scholar] [CrossRef]
- Bodin, Ö. Collaborative environmental governance: Achieving collective action in social-ecological systems. Science 2017, 357. [Google Scholar] [CrossRef] [PubMed]
- Schoon, M.; Cox, M. Collaboration, Adaptation, and Scaling: Perspectives on Environmental Governance for Sustainability. Sustainability 2018, 10, 679. [Google Scholar] [CrossRef]
- Bixler, R.P. From Community Forest Management to Polycentric Governance: Assessing Evidence from the Bottom Up. Soc. Nat. Resour. 2014, 27, 155–169. [Google Scholar] [CrossRef]
- Folke, C.; Hahn, T.; Olsson, P.; Norberg, J. Adaptive Governance of Social-Ecological Systems. Annu. Rev. Environ. Resour. 2005, 30, 441–473. [Google Scholar] [CrossRef]
- Gelcich, C. Towards polycentric governance of small-scale fisheries: Insights from the new “Management Plans” policy in Chile. Aquat. Conserv. 2014, 24, 575–581. [Google Scholar] [CrossRef]
- Elinor, O. Understanding Institutional Diversity; Princeton University Press: Princeton, NJ, USA, 2005. [Google Scholar]
- Pahl-Wostl, C.; Hare, M. Processes of social learning in integrated resources management. J. Community Appl. Soc. Psychol. 2004, 14, 193–206. [Google Scholar] [CrossRef]
- Reed, M.S.; Dougill, A.J.; Taylor, M.J. Integrating local and scientific knowledge for adaptation to land degradation: Kalahari rangeland management options. Land Degrad. Dev. 2007, 18, 249–268. [Google Scholar] [CrossRef]
- Cash, D.W.; Adger, W.N.; Berkes, F.; Garden, P.; Lebel, L.; Olsson, P.; Pritchard, L.; Young, O. Scale and Cross-Scale Dynamics: Governance and Information in a Multilevel World. Ecol. Soc. 2006, 11. [Google Scholar] [CrossRef]
- Young, O.R. The Architecture of Global Environmental Governance: Bringing Science to Bear on Policy. Glob. Environ. Polit. 2008, 8, 14–32. [Google Scholar] [CrossRef]
- Ostrom, E. Why Do We Need to Protect Institutional Diversity? Eur. Polit. Sci. 2012, 11, 128–147. [Google Scholar] [CrossRef]
- Galaz, V.; Olsson, P.; Hahn, T.; Folke, C.; Svedin, U. The Problem of Fit among Biophysical Systems, Environmental and Resource Regimes, and Broader Governance Systems: Insights and Emerging Challenges. In Institutions and Environmental Change; Young, O.R., King, L.A., Schroeder, H., Eds.; The MIT Press: Cambridge, MA, USA, 2008; pp. 147–186. ISBN 978-0-262-24057-4. [Google Scholar]
- Low, B.; Ostrom, E.; Simon, C.; Wilson, J. Redundancy and Diversity: Do They Influence Optimal Management?” In Navigating Social-Ecological Systems: Building Resilience for Complexity and Change; Berkes, F., Colding, J., Folke, C., Eds.; Cambridge University Press: Cambridge, UK, 2003; pp. 83–111. ISBN 978-1-139-43479-9. [Google Scholar]
- Schoon, M.; York, A.; Sullivan, A.; Baggio, J. The emergence of an environmental governance network: The case of the Arizona borderlands. Reg. Environ. Chang. 2017, 17, 677–689. [Google Scholar] [CrossRef]
- Sardeshpande, M.; Shackleton, C. Urban foraging: Land management policy, perspectives, and potential. PLoS ONE 2020, 15, e0230693. [Google Scholar] [CrossRef]
- Scott, J.; Carrington, P.J. The SAGE Handbook of Social Network Analysis; SAGE publications: Thousand Oaks, CA, USA, 2011. [Google Scholar]
- Bodin, Ö.; Prell, C. Social Networks and Natural Resource Management: Uncovering the Social Fabric of Environmental Governance; Cambridge University Press: Cambridge, UK, 2011; ISBN 978-1-139-49657-5. [Google Scholar]
- Lee, T. Network comparison of socialization, learning and collaboration in the C40 cities climate group. J. Environ. Policy Plan. 2019, 21, 104–115. [Google Scholar] [CrossRef]
- Borg, R.; Toikka, A.; Primmer, E. Social capital and governance: A social network analysis of forest biodiversity collaboration in Central Finland. For. Policy Econ. 2015, 50, 90–97. [Google Scholar] [CrossRef]
- Republic of South Africa. Local Government: Municipal Demarcation Act, Act No. 27 of 1998; Republic of South Africa: Cape Town, South Africa, 1998. [Google Scholar]
- Cundill, G. Learning, Governance and Livelihoods: Toward Adaptive Co-Management under Resource Poor Conditions in South Africa. Ph.D. Thesis, Rhodes University, Grahamstown, South Africa, 2008. [Google Scholar]
- Cundill, G.; Fabricius, C. Adaptive Co-Management in Resource Poor Conditions: Lessons from South Africa. In Exploring Sustainability Science: A Southern African Perspective; African Sun Media: Stellenbosch, South Africa, 2008. [Google Scholar]
- Mucina, L.; Rutherford, M.C. The Vegetation of South Africa, Lesotho and Swaziland; South African National Biodiversity Institute: Pretoria, South Africa, 2006. [Google Scholar]
- Pereira, L.; Karpouzoglou, T.; Doshi, S.; Frantzeskaki, N. Organising a Safe Space for Navigating Social-Ecological Transformations to Sustainability. Int. J. Environ. Res. Public. Health 2015, 12, 6027–6044. [Google Scholar] [CrossRef] [PubMed]
- Leventon, J.; Fleskens, L.; Claringbould, H.; Schwilch, G.; Hessel, R. An applied methodology for stakeholder identification in transdisciplinary research. Sustain. Sci. 2016, 11, 763–775. [Google Scholar] [CrossRef] [PubMed]
- Cundill, G.; Fabricius, C. Monitoring the Governance Dimension of Natural Resource Co-management. Ecol. Soc. 2010, 15. [Google Scholar] [CrossRef]
- Cundill, G. Monitoring Social Learning Processes in Adaptive Comanagement: Three Case Studies from South Africa. Ecol. Soc. 2010, 15. [Google Scholar] [CrossRef]
- Emalahleni Municipal Assessment. Municipal Dermacation: Machubeni Communal Lands. ELM 2018, 1, 1–80. [Google Scholar]
- Chambers, R. Participatory Workshops: A Sourcebook of 21 Sets of Ideas and Activities; Routledge: Abingdon, UK, 2012; ISBN 978-1-84977-213-6. [Google Scholar]
- Carolan, B.V. Social Network Analysis and Education: Theory, Methods & Applications; SAGE Publications: Thousand Oaks, CA, USA, 2013; ISBN 978-1-4833-2079-3. [Google Scholar]
- Bazeley, P. Integrative Analysis Strategies for Mixed Data Sources. Am. Behav. Sci. 2012, 56, 814–828. [Google Scholar] [CrossRef]
- Newell, S.; Swan, J. Trust and inter-organizational networking. Hum. Relat. 2000, 53, 1287–1328. [Google Scholar] [CrossRef]
- Boström, M.; Andersson, E.; Berg, M.; Gustafsson, K.; Gustavsson, E.; Hysing, E.; Lidskog, R.; Löfmarck, E.; Ojala, M.; Olsson, J.; et al. Conditions for Transformative Learning for Sustainable Development: A Theoretical Review and Approach. Sustainability 2018, 10, 4479. [Google Scholar] [CrossRef]
- Maserumule, M.H. Framework for strengthening the capacity of municipalities in South Africa: A developmental local government perspective. J. Public Adm. 2008, 43, 436–451. [Google Scholar]
- Meyer, I.H.; Cloete, F. Policy dynamics: Change, failure and success. Improv. Public Policy Theory Pract. Pretoria Van Schaik Publ. 2006. [Google Scholar]
- Ernstson, H.; Barthel, S.; Andersson, E.; Borgström, S.T. Scale-Crossing Brokers and Network Governance of Urban Ecosystem Services: The Case of Stockholm. Ecol. Soc. 2010, 15. [Google Scholar] [CrossRef]
- Republic of South Africa. The White Paper on Local Government: Ministry for Provincial Affairs and Constitutional Development; Republic of South Africa: Pretoria, South Africa, 1998. [Google Scholar]
- Thornhill, C. The transformed local government system: Some lessons. J. Public Adm. 2008, 43, 492–511. [Google Scholar]
- Koma, S.B. The state of local government in South Africa: Issues, trends and options. J. Public Adm. 2010, 45, 111–120. [Google Scholar]
- Prell, C.; Hubacek, K.; Reed, M. Stakeholder Analysis and Social Network Analysis in Natural Resource Management. Soc. Nat. Resour. 2009, 22, 501–518. [Google Scholar] [CrossRef]
- Meer, T.; Campbell, G. Traditional Leadership in Democratic South Africa; Democracy Development Programme: Durban, South Africa, 2018. [Google Scholar]
- Ntsebeza, L. Rural Governance and Citizenship in Post-1994 South Africa: Democracy Compromised; University of Cape Town: Cape Town, South Africa, 2006. [Google Scholar]
- Department of Rural Development and Land Reform. Communal Land Tenure Policy; Department of Rural Development and Land Reform: Pretoria, South Africa, 2014. [Google Scholar]
- Republic of South Africa. Traditional Leadership and Governance Framework Act, No 41 of 2003; Republic of South Africa: Cape Town, South Africa, 2003. [Google Scholar]
- Republic of South Africa. Statistics South Africa; Republic of South Africa: Pretoria, South Africa, 2011. [Google Scholar]
- Hermans, F.; Sartas, M.; van Schagen, B.; van Asten, P.; Schut, M. Social network analysis of multi-stakeholder platforms in agricultural research for development: Opportunities and constraints for innovation and scaling. PLoS ONE 2017, 12, e0169634. [Google Scholar] [CrossRef]









| Scale | Phase 1: Number of Respondents | Phase 2: Number of Respondents |
|---|---|---|
| Research team | 13 | 12 |
| Local hubs | 75 | 71 |
| Local municipality | 15 | 12 |
| District municipality | 2 | 0 |
| Provincial government | 8 | 8 |
| Total | 113 | 103 |
| Identified Barrier | Strategy |
|---|---|
| Time constraints | • Finding alternative dates that suit all actors. |
| • Dissemination and sharing of institutional calendars to enable effective planning. | |
| • Deepen and accelerate the development of local municipality technical capacity. | |
| Weak communication channels | • Extend and deepen collaboration, coordination, and communication across scales. |
| • Facilitate vertical and horizontal communication. | |
| • Local leaders to oversee project performance and relationships. | |
| Functional incompatibility of democratic and traditional structures at the local level | • Leadership training and capacity development of traditional leaders and hub leaders, e.g., conflict resolution training. |
| • Strengthen and support MMF leadership to develop and implement relevant forum policies and a code of ethics. | |
| Leakages of human capital | • Enhance women participation by including female-headed families and single women engaged in livestock farming. |
| • Provide transport for network members. | |
| • Provide short-term employment for youths as data enumerators. | |
| • Support small business development for the local people, especially the youth and women. |
© 2020 by the authors. Licensee MDPI, Basel, Switzerland. This article is an open access article distributed under the terms and conditions of the Creative Commons Attribution (CC BY) license (http://creativecommons.org/licenses/by/4.0/).
Share and Cite
Falayi, M.; Gambiza, J.; Schoon, M. Unpacking Changing Multi-Actor and Multi-Level Actor Ties in Transformative Spaces: Insights from a Degraded Landscape, Machubeni, South Africa. Land 2020, 9, 227. https://doi.org/10.3390/land9070227
Falayi M, Gambiza J, Schoon M. Unpacking Changing Multi-Actor and Multi-Level Actor Ties in Transformative Spaces: Insights from a Degraded Landscape, Machubeni, South Africa. Land. 2020; 9(7):227. https://doi.org/10.3390/land9070227
Chicago/Turabian StyleFalayi, Menelisi, James Gambiza, and Michael Schoon. 2020. "Unpacking Changing Multi-Actor and Multi-Level Actor Ties in Transformative Spaces: Insights from a Degraded Landscape, Machubeni, South Africa" Land 9, no. 7: 227. https://doi.org/10.3390/land9070227
APA StyleFalayi, M., Gambiza, J., & Schoon, M. (2020). Unpacking Changing Multi-Actor and Multi-Level Actor Ties in Transformative Spaces: Insights from a Degraded Landscape, Machubeni, South Africa. Land, 9(7), 227. https://doi.org/10.3390/land9070227

