Abstract
In today’s agriculture, maize is considered to be one of the major feed, food and industrial crops. Cultivation of maize by inappropriate agricultural practices and on unsuitable sites is connected with specific risks of soil degradation, mainly due to water erosion of the soil. The aim of this study was to evaluate the yielding parameters, fodder quality and anti-erosion efficiency of different methods of conservation tillage for maize in two areas (Jevíčko—JEV and Skoupý—SKO) with different climate and soil conditions in the Czech Republic in the period 2016–2018, using multivariate exploratory techniques such as principal component analysis (PCA) and factor analysis (FA). Four variants of soil tillage methods were analysed: Conventional Tillage (CT), two slightly different Strip-Till techniques (ST) and Direct Sowing (DS). The analysed parameters were: dry mass of the plants, height of the plants, starch content (SC), organic matter digestibility (OMD) and content of neutral detergent fibre (NDF), soil loss by erosion and surface runoff. The multivariate exploratory techniques PCA and FA significantly differed in two categories of techniques in both locations. The first category consists of soil conservation techniques (SCT): ST (JEV/SKO) and DS (JEV). These techniques are characterised by lower yields of dry mass, lower height of plants, forage quality equal to CT, but a high level of protection of the soil against erosion. The second category consists of CT (JEV and SKO) and partially of DS (SKO). These treatments are characterised by high dry mass production, higher plants, high forage quality, but a feeble capacity of protection of the soil against erosion. The results of the study confirm the presumption of the positive influence of introduction and application of new agronomical practices in the areas of interest and other areas with similar natural conditions in the sense of sustainable management for agricultural management of agricultural land for the conditions of the Czech Republic and therefore of Central and Eastern Europe. PCA and FA were used as an effective method for comprehensive evaluation of the use of STC in agricultural practice.
1. Introduction
World agriculture, or rather agricultural production intended for human consumption or livestock feeding, is significantly affected by variability and climate change [1,2]. Maize (Zea mays L.) is still considered to be an important feed, food and industrial crop (such as a substrate for the production of biogas in agricultural biogas stations) [3,4,5,6,7] grown on arable land. As a result of global warming, a decline in crop yields has been recorded [8,9,10,11]. These changes are also confirmed by model studies, which predict that potential production of food and feedstuff, including maize, will be further reduced in the future [12,13,14,15,16,17]. It is expected that European countries will not be as affected as other parts of the world [18]. Climate change will not have the same effects in different EU countries, but we can assume that maize will be the most affected crop in terms of yields [17].
We must protect soil as one part of the earth’s ecosystem, especially in the future, due to environmental changes, because soil plays a key role in the production of agricultural crops and subsequently food (an important factor in maintaining food quality and safety, human health and the sustainability of entire ecosystems) [14,19,20]. The conditions of agricultural production have changed drastically (reduction of human labour, inappropriate crop rotation, reduced livestock production, low manure production and thus the supply of organic matter into the soil and dependence on the mineral nitrogen) [21,22]. The problem of soil erosion goes hand in hand with the recent changes in agricultural production [17]. This process is natural but is greatly accelerated by inappropriate agricultural practices [23,24]. The most significant degradation factor in the Czech Republic is water erosion [23,24,25,26], followed by soil organic matter loss [20,26]). More than 50% of the arable land is potentially endangered by water erosion [21,26,27]. In the Czech Republic, the Universal Soil Loss Equation (USLE) is used to determine the vulnerability of soil to water erosion [28,29,30] and to evaluate the effectiveness of the proposed measures [31,32]. The USLE, or more precisely its registered version Revised Universal Soil Loss Equation (RUSLE), uses the C–factor as one of the five factors used to estimate the risk of soil erosion [30,31]. In many places in the Czech Republic maize is grown on inappropriate lands, which causes significant degradation of soil by erosion [32,33]. The most fertile layer of the soil is lost in this process and production capacity, retention and water infiltration decrease and seeds, fertilizers and organic matter are lost [24,33,34,35]. Due to increasing weather fluctuations and alternating droughts and intense precipitation [36,37,38], the soil needs to be effectively protected by appropriate erosion measures (soil conservation techniques) [33,39,40,41,42,43,44]. The aim of soil conservation techniques is to reduce soil processing by leaving the crop residues of the preceding crops on the surface, or to protect the soil via direct sowing of the maize into frost-heaving catch crops [45,46]. These technologies are based on current agricultural trends that focus on cost reduction and the application of technologies that provide environmental benefits. In contrast, conventional technologies are not so environmentally friendly [47,48].
One of the many options for soil conservation measurement is the use of Strip–Till technology [39], which is commonly used mainly in the USA and Canada [48], and is gradually spreading throughout Europe [21,49]. Using the Strip–Till technology for broad–row crops (maize, or sunflower) can improve soil quality, decrease soil erosion and protect the environment [32,50]. However, the absence of tillage, especially during the prolonged application of no-tillage measurement, can lead to reduction in maize yield when compared with conventional tillage management or strip tillage [51].
Significant reduction of soil loss by erosion during the cultivation of maize using the Strip–Till technology or direct planting was described by many studies [42,43,52,53,54]. Another very important parameter is the quantity of production [55,56]. Nevertheless, very few studies have focused on the effect of Strip–Till and direct planting (sowing) measurements on forage quality (starch content, organic matter digestibility, etc.) [49,55].
The aim of the study was to evaluate the yielding parameters (yield of silage, height of the plant), fodder quality (starch content, organic matter digestibility and the content of digestible neutral detergent fibre) and anti-erosion efficiency (soil loss by erosion, surface runoff) of different methods of conservation tillage for maize (Strip-Till techniques; Direct Sowing techniques) in two locations with different climate and soil conditions in the Czech Republic, using multivariate exploratory techniques, such as principal component analysis (PCA) and factor analysis (FA).
2. Materials and Methods
2.1. Site Description
Two experimental sites analysing soil conservation techniques differed in soil-climate conditions (Figure 1). The first locality is Jevíčko (JEV)—The South Moravian Region, Boskovice furrow, 360–380 m a.s.l., the mean annual precipitation and temperature are 545 mm and 7.4 °C, respectively (Jevíčko meteorological station). The soil type is sandy-loam Haplic Luvisol [57]. The basic top-soil (0–0.3 m) properties are: the value of pH (H2O) 6.9; total C and total N concentrations are 1.33% and 0.15%, respectively; bulk density 1.55 g m−3, the sand, silt and clay contents are 71.5%, 25.3% and 3.2%, respectively. The land is slightly sloped (slope 3–4°) at both experimental sites.
Figure 1.
The research areas with experiments focused on soil protection technologies—Jevíčko and Skoupý.
The second locality is Skoupý (SKO)—The Central Bohemian Region, 525–565 m a.s.l. The mean annual precipitation and temperature are 577 mm and 6.7 °C, respectively (Nadějkov meteorological station). The soil type is sandy-loam Cambisol [57]. The basic top-soil (0–0.3 m) properties are: pH (H2O) 6.5; total C and total N concentrations are 1.5% and 0.13%, respectively; bulk density 1.45 g m−3, the sand, silt and clay contents are 51.2%, 42.6% and 6.2%, respectively.
2.2. Experimental Design
Three different techniques of maize stand establishment were evaluated in the period 2016–2018. The first technique was a conventional tillage (Control—CT, classical tillage/via the reversible plough/to the depth 25–30 cm, followed by seedbed preparation in the spring/compactor/). The second one was (a) Strip-Till technique (ST) applied into rye stubble (Secale cereale L., locality JEV), (b) Strip-Till technique (ST) applied into low level productivity grasslands on arable land (locality SKO). The width of tilled strip was 0.25 m and the depth was 0.20–0.25 m. The third technique was a direct sowing (DS) of maize into the rye stubble (broad planting following harvesting of the green matter—JEV; broad planting into the rye stubble—SKO). The ST (Strip–Till technique) and DS (direct sowing) are considered Soil Conservation Techniques (SCT) in this paper.
The experimental localities (areas, soil blocks) were established in autumn on slightly sloping land (slope 3–4°) at both experimental sites. The area of each experimental variant was 360 m2. One half of the experimental area, located at the base of the slope, served for analysis of the water erosion tested via rain simulator, while the top of the slope served for the analysis of maize yield and quality.
The rye was sown in the first half of October in both locations. The seeding rate was four million germinating seeds per ha. The Strip-Till was carried out in mid-November. The maize was planted in the second half of April (JEV) and in the end of April (SKO) via the seeding machine Kinze 3500, the spacing of rows was 0.75 m. The hybrid used in the experiment was FAO 250 and the seeding rate was 85–90 thousand seeds per ha. Desiccation of the rye and grassland stands was performed in mid-April. The active substance was glyphosate applied at the dose of 3–4 l ha−1.
The fertilization of the maize in JEV consisted of organic and mineral fertilizers. The Control treatment was fertilized with digestate in the autumn before tillage (20 m3 ha−1) and in the spring before sowing (20 m3 ha−1 of digestate + 0.1 t ha−1 of urea). The Strip-Till treatments were fertilized with urea (0.2 t ha−1) and mineral NP 15-15 (0.1 t ha−1). The fertilization of the maize in SKO consisted of the application of digestate (20 m3) before the tillage (Control treatment and Direct sowing treatment). The Strip-Till treatment was fertilized with the digestate (20 m3 ha−1) and the urea ammonium nitrate (200 l ha−1 during the growing stage). The standard weed control consisted of MaisTer® Power (Bayer CropScience AG) applied at the dose of 1.5 l ha−1 (JEV) and Adengo (Bayer CropScience AG) applied at the dose 0.44 l ha−1 (SKO). The maize dry matter concentration was 28–35% at the time of harvesting.
2.3. Yield and Forage Quality
The dry matter production was determined annually on the basis of the yield of green matter harvested manually (n = 3 a−1; period 2016–2018 n = 9, the size of the plot was 10 m2/the whole area − maize + strips/, the samples of maize plants were taken from three randomly selected harvesting segments of each variant, consisting of two adjacent rows and excluding edge lines of the experimental plots). The ratio of cobs and the whole plant was determined on the basis of a dry matter analysis of ten plants from three harvesting segments after separation of the cobs from the rest of the plant. The height of the plants and the number of the plants before the harvest (n = 6) were also analysed. The quality of the harvested material (starch content—SC, organic matter digestibility—OMD and the content of neutral detergent fibre—NDF) was determined using NIR spectroscopy (AgriNIRTM, Dinamica Generale, St. Charles, IL [58,59,60].
2.4. Soil Erosion Analysis
The anti-erosion efficiency of the ST and DS was tested using the rain simulator. The size of the experimental plot was 21 m2. The experimental sprinkling of the naturally dry soil was done twice in succession and the operating period of the first and second sprinkling was 30 and 15 min, respectively. The tested area was allotted by nozzles 30WSQ operating at a pressure of 0.5 bar, located 2 m above the terrain. The intensity of the simulated precipitation was chosen on the basis of the recommendations of the Czech Hydrometeorological Institute, based on the average intensity of the storm rainfall in the Czech Republic (60 mm h−1) [27]. The variability of the simulated rain was verified by the Christiansen coefficient [61].
From the beginning of the runoff, the samples of the sediment runoffs were taken at regular intervals of 3 min into the pycnometer during the simulated rainfall. These samples were then evaluated in terms of the content of undissolved substances. The surface runoff water from the simulated rainfall was fed into a 1 l tipping bucket, where the runoff was continuously recorded.
The anti-erosion efficiency of the SCT was measured in three different growth stages: (1) the height of plants 20–30 cm, 3–6 developed leaves, 10–20% field cover; (2) the height of plants 90–110 cm, 7–11 developed leaves, 55–70% field cover; (3) the height of plants 210–260 cm, 12–16 developed leaves, 85–95% field cover.
2.5. Statistical Analysis
All statistical analyses (descriptive statistics, analysis of variance–ANOVA, post hoc HSD/Tukey’s honest significance test/and LSD/least significant difference test/tests, etc.), including graphical outputs, were processed in the Statistica 13.3 (TIBCO Software Inc., Palo Alto, CA, USA). The principal component analysis (PCA) and factor analysis (FA) were used for multidimensional statistical analysis of recorded data [62]. Statistical significance was tested at a significance level of p = 0.05.
3. Results
3.1. Yield
The mean production of the dry mass of silage maize in JEV (2016–2018) was statistically higher (p = 0.05; HSD test) in CT (20.4 t ha−1) compared with DS (15.8 t ha−1). No statistical differences were recorded in the ST treatment (Figure 2). The low yields at JEV’s DS treatment were influenced by later sowing, caused by the harvest of rye for silage, and at the same time by unfavourable weather in May (the month of planting) and in the summer months (a significant precipitation deficit and above–average air temperature–drought (see the current drought status available at www.intersucho.cz, run by National System for Monitoring Agricultural Drought in the Czech Republic). The mean production of dry mass of silage maize was comparable between all analysed treatments in SKO (without statistical differences; the mean yield of dry mass of silage maize ranged from 13.3 to 15.6 t ha−1). The average height of plants ranged from 2.24 to 2.56 m in both locations (without any statistical differences). The weight ratio of cobs (the weight of cobs/the weight of the whole plant) ranged from 56 to 58% in JEV and from 52 to 54% in SKO (no statistical differences). Higher weight ratio was always higher in DS treatment in comparison with CT.
Figure 2.
The dry mass yield of silage maize and the average height of maize plants in period 2016–2018.
3.2. Forage Quality
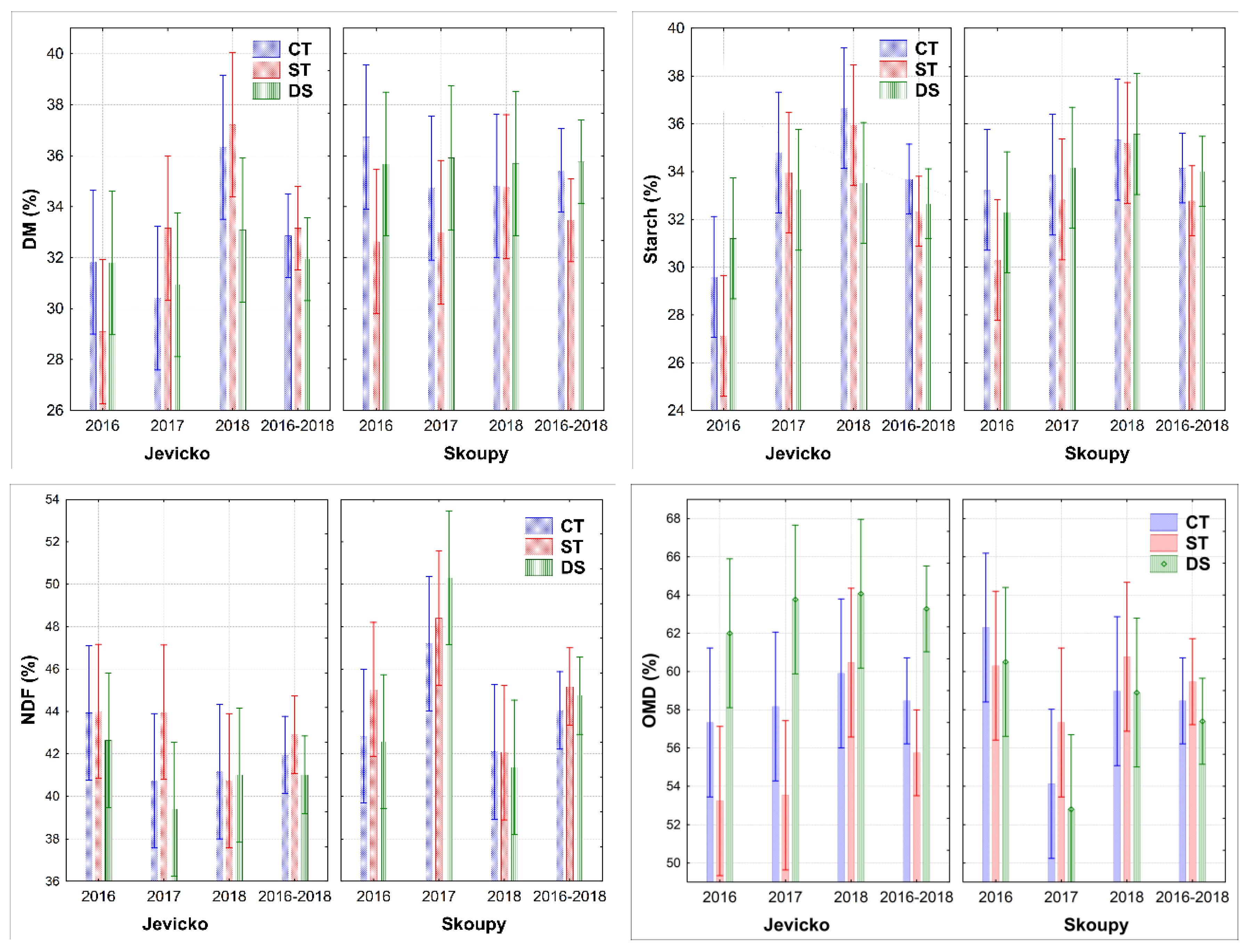
The average dry mass of harvested maize varied from 32 to 36% in both localities (JEV and SKO) with different soil-climate conditions. The maize quality parameters (starch content, OMD and NDF) from SCT treatments were comparable with quality parameters from CT treatment, so the application of the SCT treatments did not affect forage quality in both localities (Figure 3).
Figure 3.
The forage quality parameters of maize in period 2016–2018. Note: DM—Dry Matter, NDF—Neutral Detergent Fibre, OMD—Organic Matter Digestibility.
3.3. Soil Erosion and Surface Runoff
The soil loss caused by erosion was measured three times during the vegetation period of maize via the simulated precipitation (three different growth stages, see chapter 2.4 Soil Erosion Analysis). At the JEV, the average loss of soil caused by erosion (in three different growth stages) was significantly lower in ST (0.40 t ha−1) and DS (0.13 t ha−1) treatments in individual years in the period 2016–2018 compared with CT treatment (2.96 t ha−1). The same situation was recorded between ST and CT treatments at the SKO locality (HSD test, p = 0.05; LSD test, p = 0.01).
The surface runoff was also significantly affected by analysed treatments (Figure 4). The ST treatment significantly reduced surface runoff in both localities (HSD test, p = 0.05; LSD test, p = 0.01).
Figure 4.
Soil loss erosion (t ha−1) and surface runoff (mm) of analysed treatments in the period 2016–2018.
3.4. Multi-Criteria Evaluation
On the plot of component weights PC1, PC2 and PC3 (Figure 5), the first three axes are significant because they contain together 97% of the variability. The PC1 axis on the PC1 × PC2 plot characterizes erosion (r = 0.95, positive relationship) and starch content (r = 0.80, positive relationship), parameters going along the axis and being in a strong and positive correlation. On the PC2 axis there is a significant correlation with NDF (r = −0.98, negative correlation) and grain yield (r = 0.72). A significant negative correlation with OMD (r = −0.76) is visible on the axis PC3 on the plot PC1 × PC3. The scatter plot (Figure 5) differentiates the treatments according to erosion and SC (PC1), yield (PC2) and OMD (PC3). The CT treatment was associated with high grain yields and low level of soil protection against erosion in both localities (JEV, SKO). The DS treatment was also connected with high yields and low level of protection against erosion, but only in the SKO locality. On the other hand, ST treatments proved to have a high level of protection against erosion in both localities, but this was counterbalanced by lower yield of dry matter. The forage quality, expressed by starch content, NDF and OMD, is similar in all treatments so the effect of analysed treatments on forage quality has no statistical significance. The ST treatment in JEV is on the PC1xPC3 chart at the top part because of the lower OMD compared with CT and DS treatments.

Figure 5.
PCA of analysed parameters (Yield, Starch, NDF, OMD, Soil erosion) as affected by locality in the time period 2016–2018. Note: DM—Dry Matter, NDF—Neutral Detergent Fibre, OMD—Organic Matter Digestibility; CT—Conventional Tillage, ST—Strip-Till, DS—Direct Sowing; JEV—Jevicko, SKO—Skoupy.
In addition to PCA, the FA differentiated CT (JEV and SKO) and DS (SKO) as treatments with high grain yields and low level of protection against erosion and ST (JEV, SKO) and DS (JEV) as treatments with high efficiency against erosion, but with low grain yields (Figure 6). The factor weights explain correlations between factors and attributes and mean the most important information, which helps to interpret the factors involved in the analysis. Factor 1 describes erosion and forage quality (starch content and OMD), while factor 2 describes grain yields and the NDF. The communality of a variable is thus the part of the variability of the variable which is explained by the factors. The maximum possible value of communality is equal to 1. This rank can be compared with a parameter (value R2), which we find out if we explain the original features (parameters) using linear regressions by determined factors [61]. According to Table 1 we can say that the communality reached very high value (higher than 0.75), and the values of the model parameters are very well taken into account by the proposed factor model.
Figure 6.
FA (rotation: Varimax normalized) of studied parameters (Yield, Starch, NDF, OMD, Soil erosion) as affected by locality in the time period 2016–2018. Note: DM—Dry Matter, NDF—Neutral Detergent Fibre, OMD—Organic Matter Digestibility; CT—Conventional Tillage, ST—Strip-Till, DS—Direct Sowing; JEV—Jevicko, SKO—Skoupy.
Table 1.
Factor weights and contributions of a given factor to the communality for individual characters after normalized Varimax rotation for production (yield), forage quality (Starch, NDF and OMD) and soil erosion.
4. Discussion
The issue of maize cultivated by SCT is very relevant to our current moment and is gaining ever greater attention, which necessarily requires the need for a comprehensive solution, not only from the viewpoint of research organizations but also from the initiative of the state administration, professional public and farmers [6,43,47]. Soil protection in relation to water erosion is legislatively addressed in the Czech Republic by Act No. 334/1992 Coll. [63] where the users of the agricultural land should not cause the degradation of agricultural land by exceeding the permissible level of its erosive threat. The permissible erosion risk is determined on the basis of the average long-term soil loss expressed in t ha−1 a−1, depending on the depth of the soil. In practice, therefore, the values of permissible soil loss are set out in the professional methodology “Protection of agricultural land against erosion” [27]. This methodology allows soil losses up to 4 t ha−1 a−1 for medium-deep (0.30–0.60 m) and deep (over 0.6 m) soils [22]. The more specific anti-erosion edict has not yet been approved in the Czech Republic. In Europe, recommended limits for soil erosion loss are from 0.3 to 1.4 t ha−1 a−1 [7]. In Germany, the permissible soil loss (long-term average soil erosion) ranges from 1 to 10 t ha−1 and a−1 depending on the quality and thickness of the topsoil horizon [6]. Our ST and DS techniques of maize cultivation significantly reduce soil erosion and surface runoff in both experimental localities (JEV and SKO, Figure 4). The most significant reduction of soil loss caused by erosion was recorded in the ST technique in SKO, where maize was grown in low-level productive grassland on arable land. Similar results were published by [42], who also recorded a significant reduction of soil erosion when ST technique (0.44 t ha−1 a−1) was used, compared with the conventional technique (3.4 t ha−1 a−1). Slightly different results were recorded at the JEV, where maize was planted into the rye. The soil losses were higher in the ST treatment, in comparison with ST treatment in the SKO. But the losses were still significantly lower when compared with the CT. This was caused by lower root penetration of the topsoil by rye and by a lower proportion of plant residues on the soil surface, which is the result of a higher intensity of decomposition processes of desiccated material with a low concentration of fibre and lignin [64,65]. The DS at the JEV significantly reduced soil loss caused by erosion due to growing of maize following the harvesting process of rye grown for silage in comparison with the SKO locality, where maize was established by direct seeding (DS variant) into the desiccated rye stand (similar to ST variation at JEV site). Plant residues (from original grasslands and rye stands) protect the surface of the soil from the kinetic energy of raindrops better and thus contribute to protecting the soil from the formation of impervious crust, which usually results from conventional soil treatment. The forage crops maintain consistency of the upper layer of soil by its root system and increase its surface roughness, resulting in reduced surface water runoff and lower transport capacity of sediments [66,67]. Significant reductions in erosion losses were recorded between conventional soil treatment, the direct sowing and strip-till treatments [44,61,62]. The reduction of soil losses and runoff was more efficient in the direct sowing and strip-till techniques compared with conventional tillage [68,69,70] due to higher levels of plant residues on the soil surface [40,64,65]). The production (the whole area/maize + strips/) of silage maize was 11–13% lower in the ST treatment in both localities in comparison with the CT (no statistically significant differences). Similar results (lower level of dry mass production) were published by [55], who analysed cultivation of maize in desiccated Italian ryegrass (Lolium multiflorum Lam., cv. Lipo) on a farm located near Zurich (424 m a.s.l.). A 10% lower production of silage maize was also recorded in Germany (experimental station Ihinger, 450 m a.s.l., the mean annual precipitation and temperature is 715 mm and 9.3 °C, loam/loess weathered soil type) between 1999 and 2010 [56]. Statistically significantly lower yields were recorded in the DS treatment in JEV, when yields in this treatment were 23% lower over the whole time of experiment and even 50% lower in 2018 compared with the CT (Figure 1). The success of the establishment of maize by direct sowing in rye stubble in mid-May is highly dependent on the quality of sowing and the sufficiency of moisture in the early stages of plant growth and development, with the level of yield likely to fluctuate considerably in harvest years. Climate conditions for field crops, including maize, were favourable in the Czech Republic in 2016 and 2017 but not in 2018, when extreme lack of precipitation and high temperatures negatively affected both localities. The average annual air temperature in the period 2016–2018 was higher by 1.1–3.5 °C in JEV and by 2.2–4.4 °C in SKO, graduating each year. The 2018 April-September growing season was the warmest season (mean temperature 20.1 °C) since 1775 when the recording of annual temperature began in Prague’s Klementinum [71]. Low precipitation in July and August 2018 together with high air temperatures affected JEV as well as the Central Bohemian Highlands (SKO) and led to early harvesting [72]. Regularly recurring dry periods during the growing season, which are recorded in the last decade not only in the Czech Republic but also in Europe, may significantly affect primary production in the future [16,17].
At the SKO, the yield in the DS treatment in individual years was similar or higher than in the Control (CT) treatment, and the average yield in the period 2016–2018 was higher than in the CT treatment, but the difference was not statistically significant. This finding can be explained by different soil–climate conditions compared with the JEV (see above). The SKO is characterised by the Cambisol soil type, which is light, loamy, has a higher proportion of skeleton, has a higher total precipitation, and at the same time has a more even distribution of precipitation during the growing season. A similar study focused on using the direct sowing of maize into mulch (Cambisol, 15% of clay, 25% of loam, and 61% of sand, La Tinaja, Jalisco, Mexico, 1200 m a.s.l., average annual temperature 25 °C, average annual rainfall 525 mm) was published by [54], who also demonstrated a higher or comparable yield of maize, a significant decrease of soil loss caused by erosion, and very low surface runoff.
There were no statistically significant differences in the quality of maize forage. Our results are confirmed by the study of [49], who analysed the quality of forage from different crop establishments (see Section 2.2. Experimental Design) using the NIR technique (NIR system at the Nutristar Lab /Nutristar Spa, Italy/, resp. AgriNIR/DEKALB, Italy/). The study confirmed that the technique of establishment does not have a statistically significant effect on forage quality when using the same hybrid of maize [49].
Multidimensional statistical analyses work on the principle of latent variables (factors, canonical variables), which are a linear combination of original variables (characters) [61,62]. Multicriteria evaluation performed by means of PCA and FA significantly differed in the evaluated parameters (yields, forage quality, soil protection effect) in the period 2016–2018. The differences were observed in two categories of variants within both localities (Boskovice furrow, Central Bohemian Highlands): (1) the SCT treatments are characterized by lower yields of dry mass, lower height of plants, higher level of protection against erosion and forage quality in contrast with the CT treatment. (2) The CT treatment is characterized by high dry mass yields, higher height of plants, high forage quality and low level of protection against erosion. The ST and DS significantly reduce the loss of soil by erosion throughout the entire growing cycle of maize from planting to harvesting.
5. Conclusions
Newly developed agronomical practices for the establishment and cultivation of maize by soil conservation techniques into low-level productivity grasslands and rye stubble on arable land must meet the requirements for ensuring sufficient production of maize in changing environmental conditions, while at the same time they must improve the quality of the environment.
The results of the comprehensive evaluation significantly differed (in the evaluated parameters) in both localities (JEV and SKO) in two categories: (1) the SCT treatments (ST in JEV and SKO; DS in JEV) are characterized by lower yields of dry mass, lower height of plants, higher level of protection against erosion and forage quality in contrast with the CT treatment. (2) The CT treatment (JEV and SKO) and DS treatment in SKO is characterized by high dry mass yields, higher height of plants, high forage quality and low level of protection against erosion. The ST (JEV and SKO) and DS (JEV) significantly reduce the loss of soil by erosion throughout the entire growing cycle of maize from planting to harvesting.
This study confirmed the meaningfulness of the European Good Agricultural and Environmental Conditions (GAEC) for growing crops with a low level of anti-erosion protection (including maize) with the use of soil conservation techniques, such as Strip-Till or direct sowing (establishment of the crops into protective crops or plant residues). These techniques are especially meaningful in conditions with the risk of erosion, from the viewpoint of ecological stability and economic benefits as a presumption of sustainability and economic certainty of current agricultural production in conditions of the Czech Republic or Central and Eastern Europe.
The multivariate exploratory techniques PCA and FA were used as effective methods for complex evaluation of soil conservation techniques in agricultural practice.
Author Contributions
Conceptualization, L.M. and D.K.; methodology, L.M., D.K., P.N., J.S. and V.S.; software, L.M.; formal analysis, L.M. and L.H.; investigation, L.M., D.K., P.N., L.H., J.S. and V.S.; resources, L.M. and D.K.; writing—original draft preparation, L.M. and D.K.; writing—review and editing, L.M., D.K., P.N., L.H. and V.S.; visualization, L.M.; supervision, V.S.; project administration, D.K. and P.N., funding acquisition, D.K. All authors have read and agreed to the published version of the manuscript.
Funding
The study was created thanks to the support of the research plan of the Ministry of Agriculture of the Czech Republic—RO0418 and by the Czech National Agency for Agricultural Research—project no. QJ1510179 “A comprehensive soil protection technology of planting Zea mays L. within the frame of crop production re-intensification” and project no. QK1910334 “Innovation of maize cropping systems using intercrops to reduce soil degradation and improve water management in changing climate”.
Acknowledgments
The authors would like to thank Radek Musil, Libuše Plchová, Monika Mlčochová, Martin Petera for their valuable contribution to this work.
Conflicts of Interest
The authors declare no conflict of interest.
References
- IPCC. IPCC Special Report on Renewable Energy Sources and Climate Change Mitigation. Prepared by Working Group III of the Intergovernmental Panel on Climate Change; Cambridge University Press: Cambridge, UK; New York, NY, USA, 2011. [Google Scholar]
- IPCC. Climate Change 2014: Mitigation of Climate Change. Contribution of Working Group III to the Fifth Assessment Report of the Intergovernmental Panel on Climate Change; Cambridge University Press: Cambridge, UK; New York, NY, USA, 2014. [Google Scholar]
- Zimolka, J. Kukuřice—Hlavní a Alternativní Užitkové Směry; 1. vyd.; Profi Press: Praha, Czech Republic, 2008; ISBN 978-80-86726-31-1 CN—UK-80821/1. [Google Scholar]
- Klopfenstein, T.J.; Erickson, G.E.; Berger, L.L. Maize is a critically important source of food, feed, energy and forage in the USA. Field Crop. Res. 2013, 153, 5–11. [Google Scholar] [CrossRef]
- Yu, C.-L.; Hui, D.; Deng, Q.; Wang, J.; Reddy, K.C.; Dennis, S. Responses of corn physiology and yield to six agricultural practices over three years in middle Tennessee. Sci. Rep. 2016, 6, 1–9. [Google Scholar] [CrossRef] [PubMed]
- Vogel, E.; Deumlich, D.; Kaupenjohann, M. Bioenergy maize and soil erosion—Risk assessment and erosion control concepts. Geoderma 2016, 261, 80–92. [Google Scholar] [CrossRef]
- Chalise, D.; Kumar, L.; Sharma, R.; Kristiansen, P. Assessing the impacts of tillage and mulch on soil erosion and corn yield. Agronomy 2020, 10, 63. [Google Scholar] [CrossRef]
- Jarvis, A.; Lau, C.; Cook, S.; Wollenberg, E.; Hansen, J.; Bonilla, O.; Challinor, A. An integrated adaptation and mitigation framework for developing agricultural research: Synergies and trade-offs. Exp. Agric. 2011, 47, 185–203. [Google Scholar] [CrossRef]
- Knox, J.; Hess, T.; Daccache, A.; Wheeler, T. Climate change impacts on crop productivity in Africa and South Asia. Environ. Res. Lett. 2012, 7. [Google Scholar] [CrossRef]
- Rosenzweig, C.; Elliott, J.; Deryng, D.; Ruane, A.C.; Müller, C.; Arneth, A.; Boote, K.J.; Folberth, C.; Glotter, M.; Khabarov, N.; et al. Assessing agricultural risks of climate change in the 21st century in a global gridded crop model intercomparison. Proc. Natl. Acad. Sci. USA 2014, 111, 3268–3273. [Google Scholar] [CrossRef] [PubMed]
- Steenwerth, K.L.; Reynolds, M.P.; Sandoval Solis, S.; Sischo, W.M.; Lubell, M.N.; Msangi, S.; Prabhu, R.; Springborn, M.; Wollenberg, E.K.; Jarvis, L.S.; et al. Climate-smart agriculture global research agenda: Scientific basis for action [electronic resource]. Agric. Food Secur. 2014, 3, 56. [Google Scholar] [CrossRef]
- Lone, B.; Qayoom, S.; Singh, P.; Dar, Z.; Kumar, S.; Dar, N.; Fayaz, A.; Ahmad, N.; Bhat, M.; Singh, G. Climate Change and Its Impact on Crop Productivity. Br. J. Appl. Sci. Technol. 2017, 21, 1–15. [Google Scholar] [CrossRef]
- Blanco, M.; Ramos, F.; Van Doorslaer, B.; Martínez, P.; Fumagalli, D.; Ceglar, A.; Fernández, F.J. Climate change impacts on EU agriculture: A regionalized perspective taking into account market-driven adjustments. Agric. Syst. 2017, 156, 52–66. [Google Scholar] [CrossRef]
- Brevik, E.C.; Cerdà, A.; Mataix-Solera, J.; Pereg, L.; Quinton, J.N.; Six, J.; Van Oost, K. The interdisciplinary nature of SOIL. Soil 2015, 1, 117–129. [Google Scholar] [CrossRef]
- Menšík, L.; Hlisnikovský, L.; Pospíšilová, L.; Kunzová, E. The effect of application of organic manures and mineral fertilizers on the state of soil organic matter and nutrients in the long-term field experiment. J. Soils Sediments 2018, 18, 2813–2822. [Google Scholar] [CrossRef]
- Menšík, L.; Hlisnikovský, L.; Kunzová, E. The State of the Soil Organic Matter and Nutrients in the Long-Term Field Experiments with Application of Organic and Mineral Fertilizers in Different Soil-Climate Conditions in the View of Expecting Climate Change. In Organic Fertilizers—History, Production and Applications; Larramendy, M.L., Soloneski, S., Eds.; IntechOpen: London, UK, 2019; pp. 23–42. [Google Scholar]
- Žížala, D.; Zádorová, T.; Kapička, J. Assessment of soil degradation by erosion based on analysis of soil properties using aerial hyperspectral images and ancillary data, Czech Republic. Remote Sens. 2017, 9, 28. [Google Scholar] [CrossRef]
- Durán Zuazo, V.H.; Rodríguez Pleguezuelo, C.R. Soil-erosion and runoff prevention by plant covers. A review. Agron. Sustain. Dev. 2008, 28, 65–86. [Google Scholar] [CrossRef]
- Guo, M.; Zhang, T.; Li, Z.; Xu, G. Investigation of Runoff and Sediment Yields Under Different Crop and Tillage Conditions by Field Artificial Rainfall Experiments. Water 2019, 11, 1019. [Google Scholar] [CrossRef]
- Šarapatka, B.; Bednář, M. Analysis of Soil Degradation in the Czech Republic: GIS Approach. Soil Water Res. 2010, 2010, 108–112. [Google Scholar] [CrossRef]
- Brant, V.; Kroulík, M.; Pivec, J.; Zábranský, P.; Hakl, J.; Holec, J.; Kvíz, Z.; Procházka, L. Splash erosion in maize crops under conservation management in combination with shallow strip-Tillage before Sowing. Soil Water Res. 2017, 12, 106–116. [Google Scholar] [CrossRef]
- Poláková, J.; Janků, J.; Nocarová, M. Soil erosion, regulatory aspects and farmer responsibility: Assessing cadastral data. Acta Agric. Scand. Sect. B Soil Plant Sci. 2018, 68, 709–718. [Google Scholar] [CrossRef]
- Menšík, L.; Kincl, D.; Nerušil, P.; Srbek, J.; Kabelka, D.; Herout, M.; Jurka, M.; Šedek, A.; Horký, T.; Vach, M. Pěstování Kukuřice seté Půdoochrannými Technologiemi. Příkladová Studie Boskovická Brázda a Středočeská Pahorkatina; Výzkumný Ústav Rostlinné Výroby, v.v.i.: Praha 6—Ruzyně, Praha, Czech Republic, 2018; ISBN 978-80-7427-288-2. [Google Scholar]
- Kubát, J.; Lipavský, J. Evaluation of Organic Matter Content in Arable Soils in the Czech Republic. In Crop Science and Land Use for Food and Bioenergy; Behl, R.K., Merbach, W., Meliczek, H., Kaetsch, C., Eds.; Agrobios (International): Jodhpur, India, 2010; pp. 245–251. [Google Scholar]
- Šarapatka, B.; Bednář, M. Assessment of Potential Soil Degradation on Agricultural Land in the Czech Republic. J. Environ. Qual. 2015, 44, 154. [Google Scholar] [CrossRef]
- Novotný, I.; Žížala, D.; Kapička, J.; Beitlerová, H.; Mistr, M.; Kristenová, H.; Papaj, V. Adjusting the CPmaxfactor in the Universal Soil Loss Equation (USLE): Areas in need of soil erosion protection in the Czech Republic. J. Maps 2016, 12, 58–62. [Google Scholar] [CrossRef]
- Janeček, M.; Dostál, T.; Kozlovsky-Dufková, J.; Dumbrovský, M.; Hůla, J.; Kadlec, V.; Konečná, J.; Kovář, P.; Krása, J.; Kubátová, E. Ochrana Zemědělské Půdy Před Erozí/Protection of Agricultural Soils from the Soil Erosion/; Powerprint: Praha, Czech Republic, 2012. [Google Scholar]
- Renard, K.G.; Foster, G.R.; Weesies, G.A.; Porter, J.P. RUSLE: Revised universal soil loss equation. J. Soil Water Conserv. 1991, 46, 30–33. [Google Scholar]
- Panagos, P.; Borrelli, P.; Meusburger, K.; Alewell, C.; Lugato, E.; Montanarella, L. Estimating the soil erosion cover-management factor at the European scale. Land Use Policy 2015, 48, 38–50. [Google Scholar] [CrossRef]
- Hůla, J.; Kovaříček, P.; Novák, P.; Vlášková, M. Surface Water Runoff and Soil Loss in Maize Cultivation. In Proceedings of the 6th International Conference on Trends in Agricultural Engineering, Prague, Czech Republic, 7–9 September 2016; pp. 201–205. [Google Scholar]
- Procházková, E.; Kincl, D.; Kabelka, D.; Vopravil, J.; Nerušil, P.; Menšík, L.; Barták, V. The impact of the conservation tillage “maize into grass cover” on reducing the soil loss due to erosion. Soil Water Res. 2020, 15, 158–165. [Google Scholar] [CrossRef]
- Choudhary, M.A.; Lal, R.; Dick, W.A. Long-term tillage effects on runoff and soil erosion under simulated rainfall for a central Ohio soil. Soil Tillage Res. 1997, 42, 175–184. [Google Scholar] [CrossRef]
- Bispo, D.F.A.; Silva, M.L.N.; Pontes, L.M.H.; Guimarães, D.V.; De Sá E Melo Marques, J.J.G.; Curi, N. Soil, water, nutrients and soil organic matter losses by water erosion as a function of soil management in the Posses sub-watershed, Extrema, Minas Gerais, Brazil. Semin. Cienc. Agrar. 2017, 38, 1813–1824. [Google Scholar] [CrossRef][Green Version]
- Kisic, I.; Bogunovic, I.; Zgorelec, Z.; Bilandzija, D. Effects of soil erosion by water under different tillage treatments on distribution of soil chemical parameters. Soil Water Res. 2018, 13, 36–43. [Google Scholar] [CrossRef]
- Potop, V.; Türkott, L.; Kožnarová, V.; Možný, M. Drought episodes in the Czech Republic and their potential effects in agriculture. Theor. Appl. Climatol. 2010, 99, 373–388. [Google Scholar] [CrossRef][Green Version]
- Durdu, Ö.F. Evaluation of climate change effects on future corn (Zea mays L.) yield in western Turkey. Int. J. Climatol. 2013, 33, 444–456. [Google Scholar] [CrossRef]
- Ramirez-Cabral, N.Y.Z.; Kumar, L.; Shabani, F. Global alterations in areas of suitability for maize production from climate change and using a mechanistic species distribution model (CLIMEX). Sci. Rep. 2017, 7, 5910. [Google Scholar] [CrossRef]
- Lal, R. Mechanized tillage systems effects on soil erosion from an alfisol in watersheds cropped to maize. Soil Tillage Res. 1984, 4, 349–360. [Google Scholar] [CrossRef]
- Vyn, T.J.; Raimbault, B.A. Evaluation of strip tillage systems for corn production in Ontario. Soil Tillage Res. 1992, 23, 163–176. [Google Scholar] [CrossRef]
- Cannell, R.Q.; Hawes, J.D. Trends in tillage practices in relation to sustainable crop production with special reference to temperate climates. Soil Tillage Res. 1994, 30, 245–282. [Google Scholar] [CrossRef]
- Basic, F.; Kisic, I.; Mesic, M.; Nestroy, O.; Butorac, A. Tillage and crop management effects on soil erosion in central Croatia. Soil Tillage Res. 2004, 78, 197–206. [Google Scholar] [CrossRef]
- Prasuhn, V. On-farm effects of tillage and crops on soil erosion measured over 10 years in Switzerland. Soil Tillage Res. 2012, 120, 137–146. [Google Scholar] [CrossRef]
- Ryken, N.; Vanden Nest, T.; Al-Barri, B.; Blake, W.; Taylor, A.; Bodé, S.; Ruysschaert, G.; Boeckx, P.; Verdoodt, A. Soil erosion rates under different tillage practices in central Belgium: New perspectives from a combined approach of rainfall simulations and7Be measurements. Soil Tillage Res. 2018, 179, 29–37. [Google Scholar] [CrossRef]
- Buchner, W.; Köller, K. Intergrierte Bodenbearbeitung; Ulmer Verlag: Stuttgart, Germany, 1990. [Google Scholar]
- Claassen, R.; Bowman, M.; McFadden, J.; Smith, D.; Wallander, S. Tillage Intensity and Conservation Cropping in the United States, EIB-197; U.S. Department of Agriculture, Economic Research Service: Washington, DC, USA, 2018. [Google Scholar]
- Mal, P.; Schmitz, M.; Hesse, J.W. Economic and Environmental Effects of Conservation Tillage with Glyphosate Use: A Case Study of Germany. Outlooks Pest Manag. 2015, 26, 24–27. [Google Scholar] [CrossRef]
- Wade, T.; Claassen, R. Modeling No-Till Adoption by Corn and Soybean Producers: Insights into Sustained Adoption. J. Agric. Appl. Econ. 2017, 49, 186–210. [Google Scholar] [CrossRef]
- Zhou, X.; Al-kaisi, M.; Helmers, M.J. Cost effectiveness of conservation practices in controlling water erosion in Iowa. Soil Tillage Res. 2009, 106, 71–78. [Google Scholar] [CrossRef]
- Benincasa, P.; Zorzi, A.; Panella, F.; Tosti, G.; Trevini, M. Strip tillage and sowing: Is precision planting indispensable in silage maize? Int. J. Plant Prod. 2017, 11, 577–588. [Google Scholar] [CrossRef]
- Morrison, J.E. Strip tillage for “no-till” row crop production. Appl. Eng. Agric. 2002, 18, 277–284. [Google Scholar] [CrossRef]
- Vetsch, J.A.; Randall, G.W.; Lamb, J.A. Corn and Soybean Production as Affected by Tillage Systems. Agron. J. 2007, 99, 952–959. [Google Scholar] [CrossRef]
- Holland, J.M. The environmental consequences of adopting conservation tillage in Europe: Reviewing the evidence. Agric. Ecosyst. Environ. Environ. 2004, 103, 1–25. [Google Scholar] [CrossRef]
- Leys, A.; Govers, G.; Gillijns, K.; Poesen, J. Conservation tillage on loamy soils: Explaining the variability in interrill runoff and erosion reduction. Eur. J. Soil Sci. 2007, 58, 1425–1436. [Google Scholar] [CrossRef]
- Scopel, E.; Findeling, A.; Guerra, E.C.; Corbeels, M. Impact of direct sowing mulch-based cropping systems on soil carbon, soil erosion and maize yield. Agron. Sustain. Dev. 2005, 25, 425–432. [Google Scholar] [CrossRef][Green Version]
- Garibay, S.V.; Stamp, P.; Ammon, H.U.; Feil, B. Yield and quality components of silage maize in killed and live cover crop sods. Eur. J. Agron. 1997, 6, 179–190. [Google Scholar] [CrossRef]
- Gruber, S.; Pekrun, C.; Möhring, J.; Claupein, W. Long-term yield and weed response to conservation and stubble tillage in SW Germany. Soil Tillage Res. 2012, 121, 49–56. [Google Scholar] [CrossRef]
- IUSS Working Group WRB. World Reference Base for Soil Resources 2014, Update 2015 International Soil Classification System for Naming Soils and Creating Legends for Soil Maps; World Soil Resources Reports No. 106; FAO: Rome, Italy, 2015. [Google Scholar]
- Old, C.A.; Oltjen, J.W.; Miller, J.R.; Ohanesian, N.; Hinders, R.G.; Vogt, W.; Sapienza, D.A. Reliability of in vivo, in vitro, in silico, and near infrared estimates of pure stand alfalfa hay quality: Component degradability and metabolizability of energy. Prof. Anim. Sci. 2016, 32, 470–483. [Google Scholar] [CrossRef]
- Bell, M.J.; Mereu, L.; Davis, J. The Use of Mobile Near-Infrared Spectroscopy for Real-Time Pasture Management. Front. Sustain. Food Syst. 2018, 2, 76. [Google Scholar] [CrossRef]
- Weld, K.A.; Armentano, L.E. Feeding high oleic acid soybeans in place of conventional soybeans increases milk fat concentration. J. Dairy Sci. 2018, 101, 9768–9776. [Google Scholar] [CrossRef]
- Christiansen, J.E. Irrigation by Sprinkling; University of California—Agricultural Experiment Station Bulletin; University of California: Berkeley, CA, USA, 1942; Volume 670, p. 124. [Google Scholar]
- Meloun, M.; Militký, J. Statistical Data Analysis, A Practical Guide with 1250 Exercises and Answer key on CD; Woodhead Publishing India: New Delhi, India, 2011; ISBN 978-93-80308-11-1. [Google Scholar]
- 334/1992 Coll. CZECH REPUBLIC. Czech National Council Act No. 334/1992 Coll. On the Protection of Agricultural Land Fund. In The Collection of Laws; Czech National Council: Prague, Czech Republic, 1992; Volume 68, Issue 334. [Google Scholar]
- Boerjan, W.; Ralph, J.; Baucher, M. Lignin biosynthesis. Annu. Rev. Plant Biol. 2003, 54, 519–546. [Google Scholar] [CrossRef]
- Torres, I.F.; Bastida, F.; Hernández, T.; Bombach, P.; Richnow, H.H.; García, C. The role of lignin and cellulose in the carbon-cycling of degraded soils under semiarid climate and their relation to microbial biomass. Soil Biol. Biochem. 2014, 75, 152–160. [Google Scholar] [CrossRef]
- Findeling, A.; Ruy, S.; Scopel, E. Modeling the effects of a partial residue mulch on runoff using a physically based approach. J. Hydrol. 2003, 275, 49–66. [Google Scholar] [CrossRef]
- Schiettecatte, W.; Verbist, K.; Gabriels, D. Assessment of detachment and sediment transport capacity of runoff by field experiments on a silt loam soil. Earth Surf. Process. Landf. 2008, 33, 1302–1314. [Google Scholar] [CrossRef]
- Armand, R.; Bockstaller, C.; Auzet, A.-V.; Van Dijk, P. Runoff generation related to intra-field soil surface characteristics variability: Application to conservation tillage context. Soil Tillage Res. 2009, 102, 27–37. [Google Scholar] [CrossRef]
- Moldenhauer, W.C.; Langdale, G.W.; Frye, W.; McCool, D.K.; Papendick, R.I.; Smika, D.E.; Fryrear, D.W. Conservation tillage for erosion control. J. Soil Water Conserv. 1983, 38, 144–151. [Google Scholar]
- Roger-Estrade, J.; Labreuche, J.; Richard, G. Effets de l’adoption des techniques culturales sans labour (TCSL) sur l’état physique des sols: Conséquences sur la protection contre l’érosion hydrique en milieu tempéré. Cah. Agric. 2011, 20, 186–193. [Google Scholar] [CrossRef]
- CHMI Mimořádně Teplý Půlrok. Takové Období Meteorologové Nezaznamenali 243 Let. /Extremely Warm Half a Year. Such a Period of Meteorologists Did Not Record 243 Years. Available online: https://www.novinky.cz/domaci/clanek/mimoradne-teply-pulrok-takove-obdobi-meteorologove-nezaznamenali-243-let-40209881 (accessed on 15 September 2020).
- Nerusil, P.; Mensik, L.; Vach, M.; Mlcochova, M.; Kincl, D. The use of soil-conservation strip-tillage technologies for the establishment of silage corn in forage crops on arable land /in Czech/. Uroda 2018, 66, 339–343. [Google Scholar]
© 2020 by the authors. Licensee MDPI, Basel, Switzerland. This article is an open access article distributed under the terms and conditions of the Creative Commons Attribution (CC BY) license (http://creativecommons.org/licenses/by/4.0/).






