Proposed Release of Wilderness Study Areas in Montana (USA) Would Demote the Conservation Status of Nationally-Valuable Wildlands
Abstract
1. Introduction
2. Materials and Methods
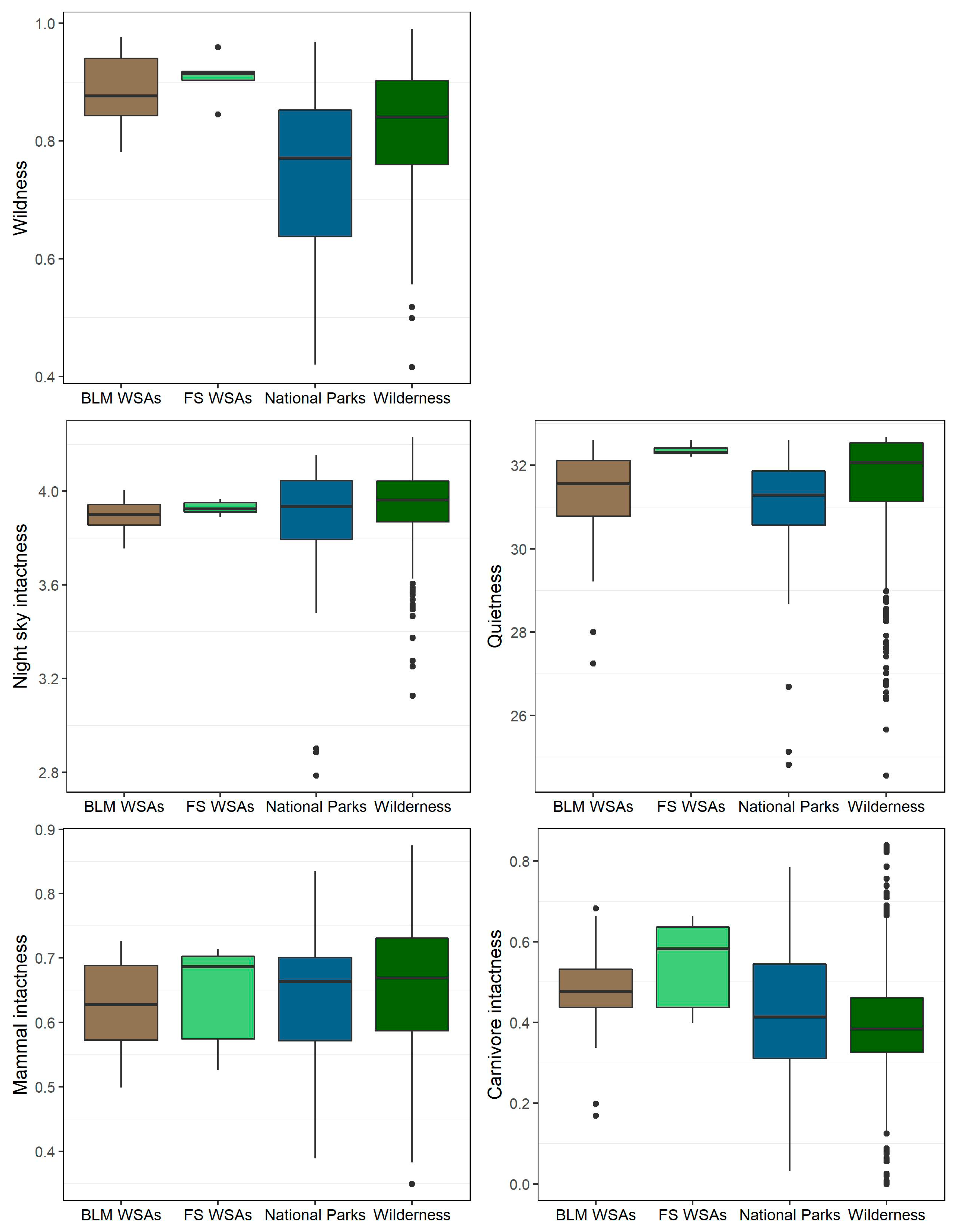
3. Results
4. Discussion
5. Conclusions
Supplementary Materials
Funding
Acknowledgments
Conflicts of Interest
References
- Venter, O.; Sanderson, E.W.; Magrach, A.; Allan, J.R.; Beher, J.; Jones, K.R.; Possingham, H.P.; Laurance, W.F.; Wood, P.; Fekete, B.M.; et al. Sixteen years of change in the global terrestrial human footprint and implications for biodiversity conservation. Nat. Commun. 2016, 7, 1–11. [Google Scholar] [CrossRef] [PubMed]
- Theobald, D.M.; Zachmann, L.J.; Dickson, B.G.; Gray, M.E.; Albano, C.M.; Landau, V.; Harrison-Atlas, D. The Disappearing West: Description of the Approach, Data, and Analytical Methods Used to Estimate Natural Land Loss in the Western U.S.; Conservation Science Partners: Truckee, CA, USA, 2016. [Google Scholar]
- Aplet, G.H. On the nature of wildness: Exploring what wilderness really protects. Denver Law Rev. 1999, 76, 347–367. [Google Scholar]
- Martin, J.-L.; Maris, V.; Simberloff, D.S. The need to respect nature and its limits challenges society and conservation science. Proc. Natl. Acad. Sci. USA 2016, 113, 6105–6112. [Google Scholar] [CrossRef] [PubMed]
- Watson, J.E.M.; Shanahan, D.F.; Marco, M.; Di Allan, J.; Laurance, W.F.; Sanderson, E.W.; Mackey, B.; Venter, O. Catastrophic declines in wilderness areas undermine global environment targets. Curr. Biol. 2016, 26, 1–6. [Google Scholar] [CrossRef] [PubMed]
- Kormos, C.F.; Badman, T.; Jaeger, T.; Bertzky, B.; Merm, R.; Van Osipova, E.; Shi, Y.; Larsen, P.B. World Heritage, Wilderness, and Large Landscapes and Seascapes; International Union for Conservation of Nature: Gland, Switzerland, 2017. [Google Scholar]
- Allan, J.R.; Venter, O.; Watson, J.E.M. Temporally inter-comparable maps of terrestrial wilderness and the Last of the Wild. Sci. Data 2017, 4, 1–8. [Google Scholar] [CrossRef] [PubMed]
- Cantú-Salazar, L.; Gaston, K.J. Very Large Protected Areas and Their Contribution to Terrestrial Biological Conservation. BioScience 2010, 60, 808–818. [Google Scholar] [CrossRef]
- Gaston, K.J.; Jackson, S.F.; Cantú-Salazar, L.; Cruz-Piñón, G. The ecological performance of protected areas. Annu. Rev. Ecol. Evolut. Syst. 2008, 39, 93–113. [Google Scholar] [CrossRef]
- Aycrigg, J.L.; Groves, C.; Hilty, J.A.; Scott, J.M.; Beier, P.; Boyce, D.A.; Figg, D.; Hamilton, H.; Machlis, G.; Muller, K.; et al. Completing the system: Opportunities and challenges for a national habitat conservation system. BioScience 2016, 66, 774–784. [Google Scholar] [CrossRef]
- Belote, R.T.; Dietz, M.S.; Jenkins, C.N.; McKinley, P.S.; Irwin, G.H.; Fullman, T.J.; Leppi, J.C.; Aplet, G.H. Wild, connected, and diverse: Building a more resilient system of protected areas. Ecol. Appl. 2017, 27, 1050–1056. [Google Scholar] [CrossRef] [PubMed]
- U.S. Department of the Interior. The Federal Land Policy and Management Act, as Amended; Bureau of Land Management and Office of the Solicitor, Ed.; U.S. Department of the Interior: Washington, DC, USA, 2001.
- Belote, R.T.; Irwin, G.H. Quantifying the National Significance of Local Areas for Regional Conservation Planning: North Carolina’s Mountain Treasures. Land 2017, 6, 35. [Google Scholar] [CrossRef]
- Noss, R.F.; Platt, W.J.; Sorrie, B.A.; Weakley, A.S.; Means, D.B.; Costanza, J.; Peet, R.K. How global biodiversity hotspots may go unrecognized: Lessons from the North American Coastal Plain. Divers. Distrib. 2015, 21, 236–244. [Google Scholar] [CrossRef]
- USA National Park Service. Compilation of the Administrative Policies for the National Parks and National Monuments of Scientific Significance (Natural Area Category); U.S. Government Publishing Office: Washington, DC, USA, 1970; 147p.
- Belote, R.T.; Dietz, M.S.; McRae, B.H.; Theobald, D.M.; McClure, M.L.; Irwin, G.H.; McKinley, P.S.; Gage, J.A.; Aplet, G.H. Identifying corridors among large protected areas in the United States. PLoS ONE 2016, 11, e0154223. [Google Scholar] [CrossRef] [PubMed]
- Theobald, D.M. A general model to quantify ecological integrity for landscape assessments and US application. Landsc. Ecol. 2013, 28, 1859–1874. [Google Scholar] [CrossRef]
- Longcore, T.; Rich, C. Ecological light pollution. Front. Ecol. Environ. 2004, 2, 191–198. [Google Scholar] [CrossRef]
- Shannon, G.; McKenna, M.F.; Angeloni, L.M.; Crooks, K.R.; Fristrup, K.M.; Brown, E.; Warner, K.A.; Nelson, M.D.; White, C.; Briggs, J.; et al. A synthesis of two decades of research documenting the effects of noise on wildlife. Biol. Rev. 2016, 91, 982–1005. [Google Scholar] [CrossRef] [PubMed]
- Faurby, S.; Svenning, J.C. Historic and prehistoric human-driven extinctions have reshaped global mammal diversity patterns. Divers. Distrib. 2015, 21, 1155–1166. [Google Scholar] [CrossRef]
- Tricker, J.; Landres, P.; Dingman, S.; Callagan, C.; Stark, J.; Bonstead, L.; Fuhrmann, K.; Carver, S. Mapping Wilderness Character in Death Valley National Park; Natural Resource Report NPS/DEVA/NRR—2012/503; National Park Service, U.S. Department of the Interior: Fort Collins, CO, USA, 2012.
- Tricker, J.; Landres, P.; Chenoweth, J.; Hoffman, R.; Scott, R. Mapping Wilderness Character in Olympic National Park Final Report; U.S. Department of Agriculture, Forest Service, Rocky Mountain Research Station, Aldo Leopold Wilderness Research Institute: Missuola, MT, USA, 2013.
- Newbold, T.; Hudson, L.N.; Hill, S.L.L.; Contu, S.; Gray, C.L.; Scharlemann, J.P.W.; Börger, L.; Phillips, H.R.P.; Sheil, D.; Lysenko, I.; et al. Global patterns of terrestrial assemblage turnover within and among land uses. Ecography 2016, 39, 1151–1163. [Google Scholar] [CrossRef]
- Aplet, G.; Thomson, J.; Wilbert, M. Indicators of wildness: Using attributes of the land to assess the context of wilderness. In Proceedings of the Wilderness Science in a Time of Change, Missoula, MT, USA, 23–27 May 1999; McCool, S.F., Cole, D.N., Borrie, W.T., O’Laughlin, J., Eds.; Rocky Mountain Research Station: Fort Collins, CO, USA, 2000; pp. 89–98. [Google Scholar]
- Monahan, W.B.; Gross, J.E.; Svancara, L.K.; Philippi, T. A Guide to Interpreting NPScape Data and Analyses; Natural Resource Technical Report NPS/NRSS/NRTR—2012/578; National Park Service, U.S. Department of the Interior: Fort Collins, CO, USA, 2012.
- Mennitt, D.; Sherrill, K.; Fristrup, K. A geospatial model of ambient sound pressure levels in the contiguous United States. J. Acoust. Soc. Am. 2014, 135, 2746–2764. [Google Scholar] [CrossRef] [PubMed]
- Nelson, L.; Kinseth, M.; Flowe, T. Explanatory Variable Generation for Geospatial Sound Modeling Standard Operating Procedure; Natural Resource Report NPS/NRSS/NRR—2015/936; National Park Service, U.S. Department of the Interior: Fort Collins, CO, USA, 2015.
- Theobald, D.M.; Reed, S.E.; Fields, K.; Soulé, M. Connecting natural landscapes using a landscape permeability model to prioritize conservation activities in the United States. Conserv. Lett. 2012, 5, 123–133. [Google Scholar] [CrossRef]
- Anderson, M.G.; Clark, M.; Sheldon, A.O. Estimating climate resilience for conservation across geophysical settings. Conserv. Biol. 2014, 28, 959–970. [Google Scholar] [CrossRef] [PubMed]
- Martin, T.G.; Watson, J.E.M. Intact ecosystems provide best defence against climate change. Nat. Clim. Chang. 2016, 6, 122–124. [Google Scholar] [CrossRef]
- Newbold, T.; Hudson, L.N.; Arnell, A.P.; Contu, S.; Palma, A.; De Ferrier, S.; Hill, S.L.L.; Hoskins, A.J.; Lysenko, I.; Phillips, H.R.P.; et al. Has land use pushed terrestrial biodiversity beyond the planetary boundary? A global assessment. Science 2016, 353, 288–291. [Google Scholar] [CrossRef] [PubMed]
- Newbold, T.; Hudson, L.N.; Hill, S.L.L.; Contu, S.; Lysenko, I.; Senior, R.A.; Börger, L.; Bennett, D.J.; Choimes, A.; Collen, B.; et al. Global effects of land use on local terrestrial biodiversity. Nature 2015, 520, 45–50. [Google Scholar] [PubMed]
- Scholes, R.J.; Biggs, R. A biodiversity intactness index. Nature 2005, 434, 45–49. [Google Scholar] [CrossRef] [PubMed]



| GAP Status | Definition | Examples |
|---|---|---|
| GAP status 1 | An area having permanent protection from conversion of natural land cover and a mandated management plan in operation to maintain a natural state within which disturbance events (of natural type, frequency, intensity, and legacy) are allowed to proceed without interference or are mimicked through management. | National parks, Wilderness Areas in the National Wilderness Preservation System |
| GAP status 2 | An area having permanent protection from conversion of natural land cover and a mandated management plan in operation to maintain a primarily natural state, but which may receive uses or management practices that degrade the quality of existing natural communities, including suppression of natural disturbance. | National monuments, Wilderness Study Areas |
| GAP status 3 | Area having permanent protection from conversion of natural land cover for the majority of area. Subject to extractive uses of either broad, low-intensity type (e.g., logging) or localized intense type (e.g., mining). Confers protection to federally listed endangered and threatened species throughout the area. | National Forests open for timber harvesting and BLM land open for energy development (i.e., outside of wilderness) |
| GAP status 4 | No known public/private institutional mandates/legally recognized easements. | Department of Defense lands |
| Targeted Wilderness Study Area | Agency | Hectares |
|---|---|---|
| Big Snowies | FS | 88,693 |
| Blue Joint | FS | 63,407 |
| Middle Fork Judith | FS | 80,856 |
| Sapphire | FS | 94,740 |
| West Pioneer | FS | 153,690 |
| Antelope Creek | BLM | 12,912 |
| Axolotl Lakes | BLM | 7824 |
| Bell/Limekiln Canyons | BLM | 9377 |
| Billy Creek | BLM | 3411 |
| Bitter Creek | BLM | 60,851 |
| Black Sage | BLM | 5963 |
| Blacktail Mountains | BLM | 17,530 |
| Bridge Coulee | BLM | 6022 |
| Centennial Mountains | BLM | 47,870 |
| Cow Creek | BLM | 33,658 |
| Dog Creek South | BLM | 5140 |
| East Fork Blacktail Deer Creek | BLM | 6862 |
| Ervin Ridge | BLM | 10,361 |
| Farlin Creek | BLM | 1186 |
| Henneberry Ridge | BLM | 9581 |
| Hidden Pasture Creek | BLM | 15,584 |
| Hoodoo Mountain | BLM | 10,919 |
| Ruby Mountains | BLM | 26,923 |
| Seven Blackfoot | BLM | 20,155 |
| Stafford | BLM | 4923 |
| Terry Badlands | BLM | 42,742 |
| Twin Coulee | BLM | 6839 |
| Wales Creek | BLM | 11,457 |
| Woodhawk | BLM | 8029 |
© 2018 by the author. Licensee MDPI, Basel, Switzerland. This article is an open access article distributed under the terms and conditions of the Creative Commons Attribution (CC BY) license (http://creativecommons.org/licenses/by/4.0/).
Share and Cite
Belote, R.T. Proposed Release of Wilderness Study Areas in Montana (USA) Would Demote the Conservation Status of Nationally-Valuable Wildlands. Land 2018, 7, 69. https://doi.org/10.3390/land7020069
Belote RT. Proposed Release of Wilderness Study Areas in Montana (USA) Would Demote the Conservation Status of Nationally-Valuable Wildlands. Land. 2018; 7(2):69. https://doi.org/10.3390/land7020069
Chicago/Turabian StyleBelote, R. Travis. 2018. "Proposed Release of Wilderness Study Areas in Montana (USA) Would Demote the Conservation Status of Nationally-Valuable Wildlands" Land 7, no. 2: 69. https://doi.org/10.3390/land7020069
APA StyleBelote, R. T. (2018). Proposed Release of Wilderness Study Areas in Montana (USA) Would Demote the Conservation Status of Nationally-Valuable Wildlands. Land, 7(2), 69. https://doi.org/10.3390/land7020069

