Agricultural Land Use Change after NAFTA in Central West Mexico
Abstract
:1. Introduction
2. Materials and Methods
2.1. Study Area
2.2. Data Gathering and Analysis
3. Results
3.1. Dominant Crops in the State
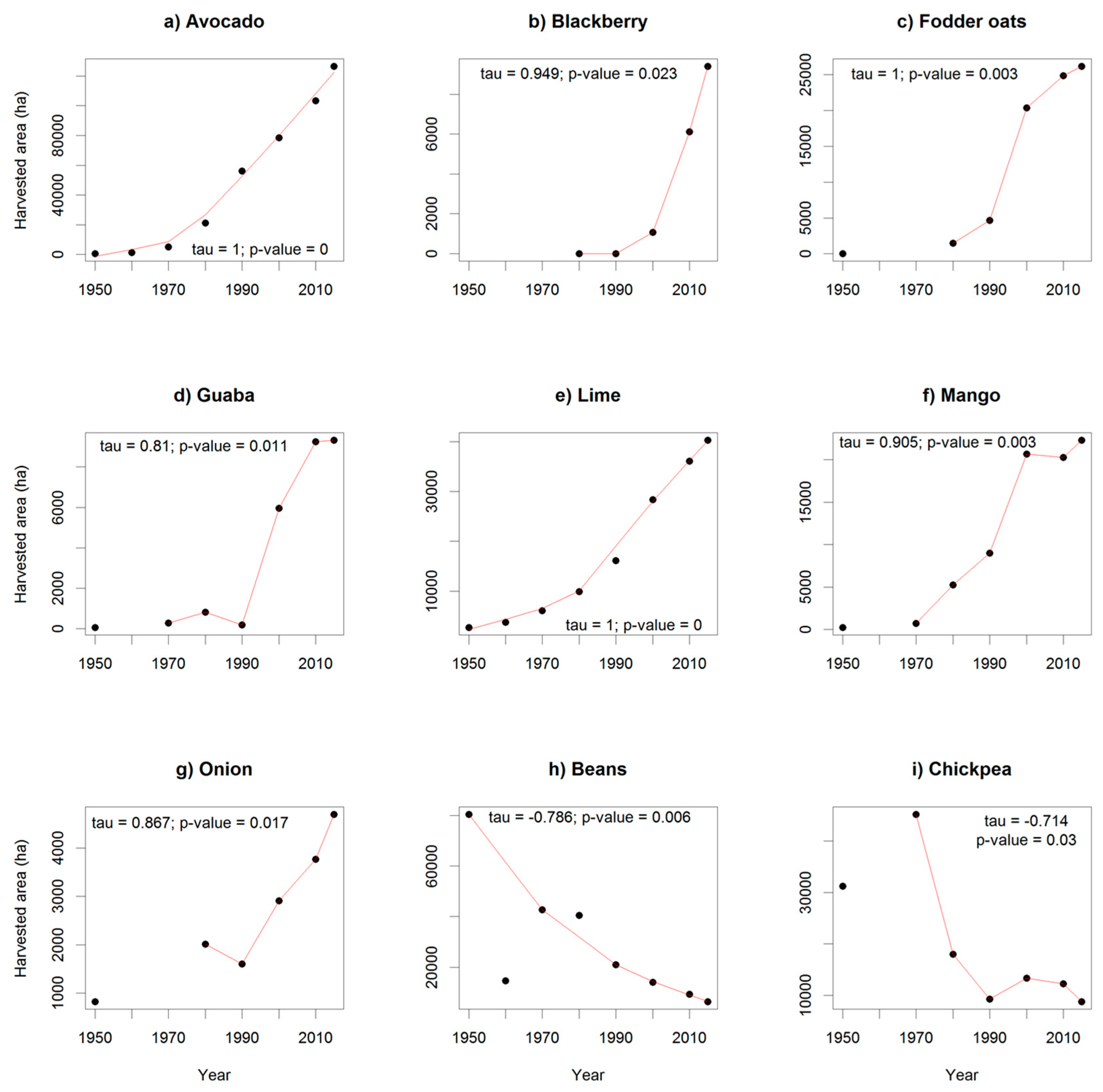
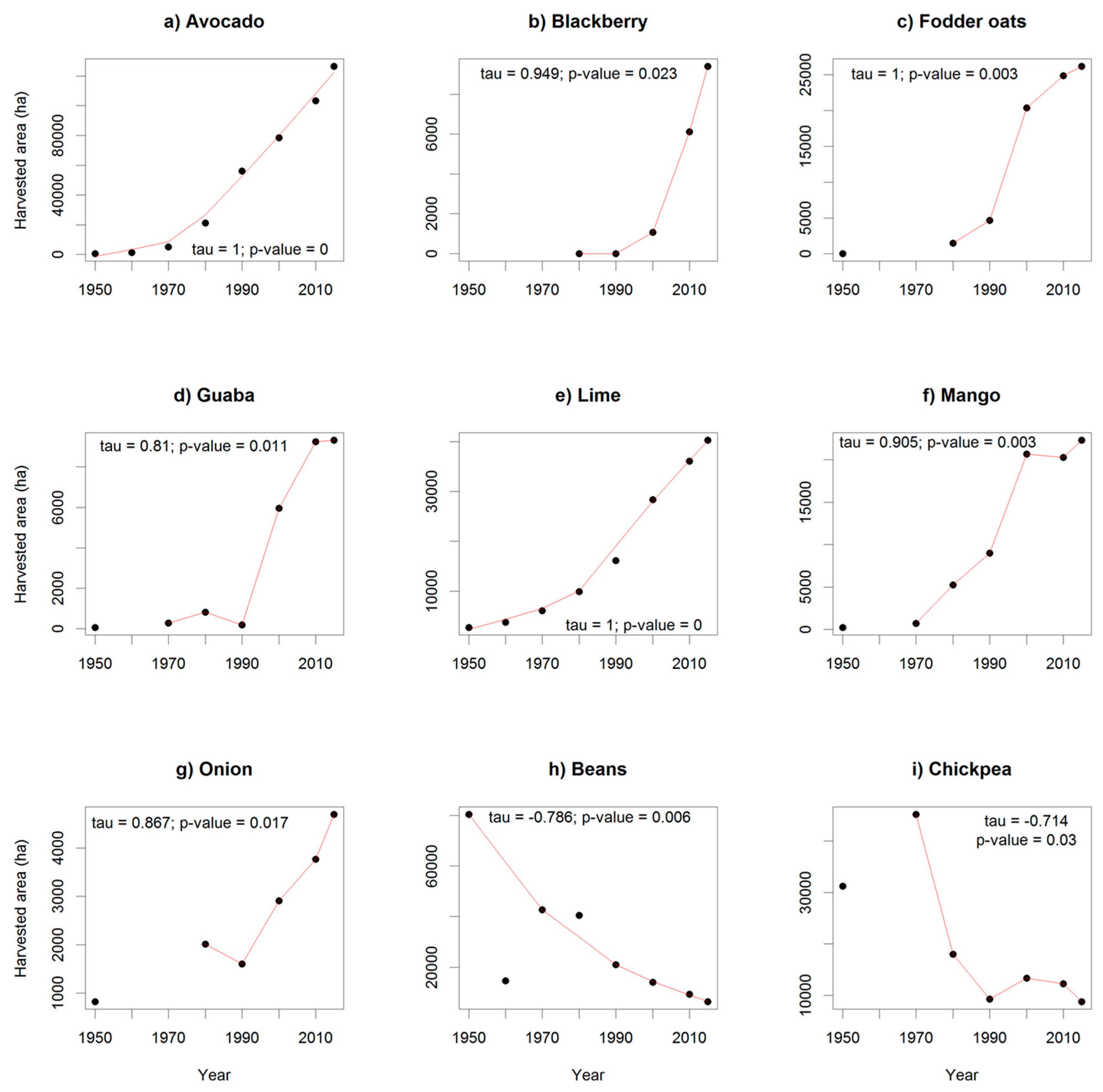
3.2. Main Crop Trends
3.3. Trends in Maize Planted Area by Municipality
3.4. Maize Race Diversity Implications
4. Discussion
5. Conclusions
Supplementary Materials
Acknowledgments
Author Contributions
Conflicts of Interest
References
- Sistema de Información Agroalimentaria y Pesquera (SIAP). Atlas Agroalimentario 2016; Sistema de Información Agroalimentaria y Pesquera: México City, Mexico, 2016.
- Aboites, J. Industrialización y Desarrollo Agrícola en México; Plaza y Valdés: México City, Mexico, 1989. [Google Scholar]
- Harvey, D. A Brief History of Neoliberalism; Oxford University Press: New York, NY, USA, 2007. [Google Scholar]
- Fitting, E. Importing corn, exporting labor: The neoliberal corn regime, GMOs, and the erosion of Mexican biodiversity. Agric. Hum. Values 2006, 23, 15–26. [Google Scholar] [CrossRef]
- Yúnez-Naude, A.; Paredes-Barceinas, F. The Agriculture of México after Ten Years of NAFTA Implementation; Documentos de Trabajo; Banco Central de Chile: Santiago, Chile, 2004; Volume 277, pp. 1–39. [Google Scholar]
- Perales-Rivas, M. Los campesinos de Cantabria, ¿Hombres de maíz? In Ciencia y Paciencia Campesina: El Maíz en Michoacán; Seefoó-Luján, J.J., Keilbach, N., Eds.; Colmich-Gobierno del Estado de Michoacán: Zamora, Mexico, 2010; pp. 161–190.
- Nadal, R.; Wise, T.A. The Environmental Costs of Agriculture Trade Liberalization: México-US Maize Trade under NAFTA; Working Group on Development and Environment in the Americas; Discussion Paper Number 4; Global Development and Environment Institute, Tufts University: Medford, MA, USA, 2004. [Google Scholar]
- Appendini, K. Reconstructing the maize market in rural México. J. Agrar. Chang. 2014, 14, 1–25. [Google Scholar] [CrossRef]
- Van de Wouw, M.; Kik, C.; van Hintum, T.; van Treuren, R.; Visser, B. Genetic erosion in crops: Concept, research results and challenges. Plant Genet. Resour. 2010, 8, 1–15. [Google Scholar] [CrossRef]
- Brush, S.B. Farmers’ Bounty: Locating Crop Diversity in the Contemporary World; Yale University Press: New Haven, CT, USA, 2004. [Google Scholar]
- Perales, H.R.; Aguirre, J.R. Biodiversidad humanizada. In Capital Natural de México, Vol. I: Conocimiento Actual de la Biodiversidad; Soberón, J., Halffer, G., Llorente-Bousquets, J., Eds.; CONABIO: Mexico City, Mexico, 2008; pp. 565–603. [Google Scholar]
- Matsuoka, Y.; Vigouroux, Y.; Goodman, M.M.; Sanchez, J.; Buckler, E.; Doebley, J. A single domestication for maize shown by multilocus microsatellite genotyping. Proc. Natl. Acad. Sci. USA 2002, 99, 6080–6084. [Google Scholar] [CrossRef] [PubMed]
- Kato, T.; Mapes, C.; Mera, L.; Serratos, J.; Bye, R. Origen y Diversificación del Maíz: Una Revisión Analítica; Universidad Nacional Autónoma de México: México City, Mexico, 2009. [Google Scholar]
- Watts, W.A.; Bradbury, J.P. Paleoecological studies at Lake Patzcuaro on the westcentral Mexican Plateau. Quat. Res. 1982, 17, 56–70. [Google Scholar] [CrossRef]
- Orozco-Ramírez, Q.; Barrera-Bassols, N.; Astier, M.; Masera, O. El sistema maíz-tortilla en el estado de Michoacán. In Ciencia y Paciencia Campesina: El maíz en Michoacán; Seefoó-Luján, J.J., Keilbach, N., Eds.; Colmich-Gobierno del Estado de Michoacán: Zamora, Mexico, 2010; pp. 119–136. [Google Scholar]
- CONABIO. Bases de Datos de Maíz. Available online: http://www.biodiversidad.gob.mx/genes/genes.html#NULL (accessed on 6 February 2017).
- Sánchez, J.; Goodman, M.; Stuber, C. Isozymatic and morphological diversity in the races of maize of México. Econ. Bot. 2000, 54, 43–59. [Google Scholar] [CrossRef]
- Carrera-Valtierra, J.A.; Ron-Parra, J.; Sánchez, G.J.J.; Sahagún, C.L.; Márquez, S.F. Diversidad y conservación in situ de los maíces de Michoacán. In Ciencia y Paciencia Campesina: El Maíz en Michoacán; Seefoó-Luján, J.J., Keilbach, N., Eds.; Colmich-Gobierno del Estado de Michoacán: Zamora, Mexico, 2010; pp. 57–71. [Google Scholar]
- Barragán-López, E. Campos de Michoacán. In Frutos del Campo Michoacano; Barragán-López, E., Ed.; El Colegio de Michoacán AC: Zamora, Mexico, 1999; pp. 17–38. [Google Scholar]
- Instituto Nacional de Estadística y Geografía. Anuario Estadístico y Geográfico de Michoacán de Ocampo 2014; INEGI: Aguascalientes, Mexico, 2014. [Google Scholar]
- Carranza-González, E. Vegetación. In La Biodiversidad en Michoacán: Estudio de Estado; Villaseñor-Gómez, L., Ed.; Comisión Nacional Para el Conocimiento y Uso de la Biodiversidad; Gobierno del Estado de Michoacán; Secretaría de Urbanismo y Medio Ambiente; Universidad Michoacana San Nicolás de Hidalgo: Morelia, Michoacán, Mexico, 2005; pp. 38–46. [Google Scholar]
- Cervantes-Zamora, Y.; Cornejo-Olguín, S.L.; Lucero-Márquez, R.; Espinosa-Rodríguez, J.M.; Miranda-Víquez, E.; Pineda-Velásquez, A. Clasificación de Regiones Naturales de México, Atlas Nacional de México; Catálogo de Metadatos Geográficos; Comisión Nacional para el Conocimiento y Uso de la Biodiversidad: México City, Mexico, 1990; Volume II.
- Unger, K.; Verduzco, G. El desarrollo de las regiones de origen de los migrantes: Experiencias y perspectivas. In Migración México-Estados Unidos Opciones de Política; Tuirán, R., Ed.; Consejo Nacional de Población: México City, Mexico, 2000; pp. 204–225. [Google Scholar]
- Corona, R.; Tuirán, R. Medición directa e indirecta de la migración mexicana hacia Estados Unidos 1990–1995. In Migración México-Estados Unidos Opciones de Política; Tuirán, R., Ed.; Consejo Nacional de Población: México City, Mexico, 2000; pp. 63–76. [Google Scholar]
- Dirección General de Estadística. Tercer Censo Agrícola, Ganadero y Ejidal. 1950. Estado de Michoacán; Secretaria de Economía/Dirección General de Estadística: México City, Mexico, 1957.
- Dirección General de Estadística. IV Censos Agrícola, Ganadero y Ejidal. 1960. Michoacán; Secretaria de Industria y Comercio/Dirección General de Estadística: México City, Mexico, 1965.
- Dirección General de Estadística. V Censos Agrícola, Ganadero y Ejidal. 1970. Michoacán; Secretaria de Industria y Comercio/Dirección General de Estadística: México City, Mexico, 1975.
- Sistema de Información Agroalimentaria y Pesquera. Anuario estadístico de la Producción Agrícola. Sistema de Información Agroalimentaria y Pesquera, México. Available online: http://www.gob.mx/siap/acciones-y-programas/produccion-agricola-33119 (accessed on 31 January 2016).
- Instituto Nacional de Estadística y Geografía. Michoacán. Resultados Definitivos. VII Censo Agrícola Ganadero 1991; INEGI: Aguascalientes, Ags., Mexico, 1994. [Google Scholar]
- R Development Core Team. R: A Language and Environment for Statistical Computing; R Foundation for Statistical Computing: Vienna, Austria, 2016; Available online: http://www.r-project.org (accessed on 12 December 2016).
- Gutiérrez-Contreras, M.; Lara-Chávez, M.B.N.; Guillén-Andrade, H.; Chávez-Bárcenas, A.T. Agroecología de la franja aguacatera en Michoacán, México. Interciencia 2010, 35, 647–653. [Google Scholar]
- Contreras-Castillo, J.M. La competitividad de las exportaciones mexicanas de aguacate: Un análisis cuantitativo. Rev. Chapingo Ser. Hortic. 1999, 5, 393–400. [Google Scholar]
- Stout, J.; Huang, S.W.; Calvin, L.; Lucier, G.; Perez, A.; Pollack, S. NAFTA trade in fruits and vegetables. In Global Trade Patterns in Fruits and Vegetables; Wu, H.S., Ed.; Agriculture and Trade Report Number: WRS-04-06; United States Department of Agriculture: Washington, DC, USA, 2004; pp. 39–51. [Google Scholar]
- Peterson, E.B.; Orden, D. Avocado pests and avocado trade. Am. J. Agric. Econ. 2008, 90, 321–335. [Google Scholar] [CrossRef]
- Sánchez, R.G. La Red de Valor de la Zarzamora, El Cluster de Los Reyes, Michoacán un Ejemplo de Reconversión Competitiva; Fundación Produce Michoacán AC: Morelia, Mich, Mexico, 2008. [Google Scholar]
- Food and Agriculture Organization of the United Nations. FAOSTAT Data. Available online: http://www.fao.org/faostat/en/#home (accessed on 12 September 2017).
- International Trade Center. International Trade Statistics 2001–2017. Available online: http://www.intracen.org/itc/market-info-tools/trade-statistics/ (accessed on 12 September 2017).
- Bravo-Espinosa, M.; Mendoza, M.E.; Carlón-Allende, T.; Medina, L.; Sáenz-Reyes, J.T.; Páez, R. Effects of converting forest to avocado orchards on topsoil properties in the Trans-Mexican Volcanic system, Mexico. Land Degrad. Dev. 2014, 25, 452–467. [Google Scholar] [CrossRef]
- Schierhorn, F.; Gittelson, A.K.; Müller, D. How the collapse of the beef sector in post-soviet Russia displaced competition for ecosystem services to the Brazilian Amazon. In Land Use Competition. Ecological, Economic and Social Perspectives; Niewöhner, J., Bruns, A., Hostert, P., Krueger, T., Nielsen, J.Ø., Haberl, H., Lauk, C., Lutz, J., Müller, D., Eds.; Springer International Publishing: Cham, Switzerland, 2016; pp. 165–182. [Google Scholar]
- González, H. Specialization on a global scale and agrifood vulnerability: 30 years of export agriculture in Mexico. Dev. Stud. Res. 2014, 1, 295–310. [Google Scholar] [CrossRef]
- Galvan-Miyoshi, Y.; Walker, R.; Warf, B. Land change regimes and the evolution of the maize-cattle complex in neoliberal Mexico. Land 2015, 4, 754–777. [Google Scholar] [CrossRef]
- Sweeney, S.; Steigerwald, D.G.; Davenport, F.; Eakin, H. Mexican maize production: Evolving organizational and spatial structures since 1980. Appl. Geogr. 2013, 39, 78–92. [Google Scholar] [CrossRef]
- Barkin, D. The reconstruction of a modern Mexican peasantry. J. Peasant Stud. 2002, 30, 73–90. [Google Scholar] [CrossRef]
- Ortiz-Hernández, L.; Delgado-Sánchez, G.; Hernández-Briones, A. Cambios en factores relacionados con la transición alimentaria y nutricional en México. Gac. Méd. Mex. 2006, 142, 181–193. [Google Scholar] [PubMed]
- Orozco-Ramírez, Q.; Astier, M. Socio-economic and environmental changes related to maize richness in México’s central highlands. Agric. Hum. Values 2017, 34, 377–391. [Google Scholar] [CrossRef]
- De Janvry, A.; Sadoulet, E. Income strategies among rural households in Mexico: The role of off-farm activities. World Dev. 2001, 29, 467–480. [Google Scholar] [CrossRef]
- Aquino, P.; Carrión, F.; Calvo, R.; Flores, D. Selected Maize Statistics. In Meeting World Maize Needs: Technological Opportunities and Priorities for the Public Sector; Pingali, P.L., Ed.; International Maize and Wheat Improvement Center (CIMMYT): México City, Mexico, 2001. [Google Scholar]
- Donnet, M.L.; López, D.; Arista, J.; Carrión, F.; Hernández, V.; González, A. El Potencial de Mercado de Semillas Mejoradas de Maíz en México; CIMMYT: México City, Mexico, 2012. [Google Scholar]




| Year | Source | Scale |
|---|---|---|
| 1950 | DGE 1957 [25] | Municipality and State |
| 1960 | DGE 1965 [26] | Municipality and State |
| 1970 | DGE 1975 [27] | Municipality and State |
| 1980 | SIAP 2016b [28] | State |
| 1990 | SIAP 2016b [28] | State |
| 1991 | INEGI 1994 [29] | Municipality |
| 2000 | SIAP 2016b [28] | State |
| 2003 | SIAP 2016b [28] | Municipality |
| 2010 | SIAP 2016b [28] | Municipality and State |
| 2015 | SIAP 2016b [28] | Municipality and State |
| Crop | Harvested Area (ha) | Rank by Harvested Area | Market Value (Mexican Currency $) | Rank by Market Value |
|---|---|---|---|---|
| Avocado 1,2 | 103,303 | 3 | 12,640,768,396 | 1 |
| Banana 2 | 4065 | 17 | 284,903,161 | 17 |
| Beans 1 | 9280 | 11 | 109,664,227 | 21 |
| Blackberry 1,2 | 6118 | 15 | 1,357,880,016 | 3 |
| Chickpea 1 | 7390 | 13 | 53,353,049 | 22 |
| Fodder oat 1,2 | 24,848 | 6 | 300,737,147 | 16 |
| Fodder sorghum 1 | 15,742 | 9 | 189,651,286 | 20 |
| Grain sorghum 1,2 | 114,173 | 2 | 1,224,984,116 | 5 |
| Grass 1,2 | 80,975 | 4 | 442,059,796 | 11 |
| Green chili pepper 2 | 2568 | 21 | 400,943,587 | 12 |
| Guaba 1,2 | 9239 | 12 | 525,721,199 | 10 |
| Lime 1,2 | 36,120 | 5 | 1,340,405,338 | 4 |
| Maize 1,2 | 463,566 | 1 | 4,288,468,774 | 2 |
| Mango 1,2 | 20,265 | 8 | 397,316,453 | 13 |
| Melon 2 | 3326 | 19 | 356,781,482 | 14 |
| Onio 2 | 3766 | 18 | 342,309,621 | 15 |
| Papaya 2 | 1508 | 23 | 243,527,148 | 19 |
| Potato 2 | 1822 | 22 | 616,912,500 | 9 |
| Strawberry 1,2 | 3253 | 20 | 692,534,829 | 7 |
| Sugar cane 1,2 | 14,102 | 10 | 781,180,225 | 6 |
| Tomato 2 | 5059 | 16 | 669,652,934 | 8 |
| Vetch 1 | 6263 | 14 | 49,532,341 | 23 |
| Wheat 1,2 | 20,337 | 7 | 269,596,196 | 18 |
| Total | 957,087.18 | 27,578,883,820.84 | ||
| Percentage of the state | 93% | 92% |
| Crop | Tau Estimate | p-Value |
|---|---|---|
| Avocado | 1.000 | 0.000 |
| Banana | 0.571 | 0.061 |
| Beans | −0.786 | 0.006 |
| Blackberry | 0.949 | 0.023 |
| Chickpea | −0.714 | 0.030 |
| Fodder oats | 1.000 | 0.003 |
| Fodder sorghum | 0.524 | 0.136 |
| Grain sorghum | −0.067 | 1.000 |
| Grass | 1.000 | 0.083 |
| Green Chili Pepper | 0.733 | 0.056 |
| Guava | 0.810 | 0.011 |
| Lime | 1.000 | 0.000 |
| Maize | 0.286 | 0.399 |
| Mango | 0.905 | 0.003 |
| Melon | −0.048 | 1.000 |
| Onion | 0.867 | 0.017 |
| Papaya | 0.600 | 0.233 |
| Potato | 0.067 | 1.000 |
| Strawberry | 0.619 | 0.069 |
| Sugar cane | 0.429 | 0.179 |
| Tomato | 0.600 | 0.136 |
| Vetch | 0.000 | 1.000 |
| Wheat | −0.357 | 0.275 |
| Maize Race | Frequency | Percentage | Collection Period |
|---|---|---|---|
| Ancho | 24 | 2.8% | 2006–2010 |
| Arrocillo Amarillo | 16 | 1.9% | 1979–2010 |
| Azul | 1 | 0.1% | NA |
| Bolita | 1 | 0.1% | NA |
| Cacahuacintle | 3 | 0.4% | NA |
| Celaya | 100 | 11.7% | 1943–2010 |
| Chalqueño | 76 | 8.9% | 1944–2010 |
| Conejo | 28 | 3.3% | 2006–2008 |
| Cónico | 60 | 7.0% | 1943–2010 |
| Cónico Norteño | 2 | 0.2% | 1979–1979 |
| Dulce | 17 | 2.0% | 1944–2008 |
| Elotero de Sinaloa | 34 | 4.0% | 2007–2010 |
| Elotes Cónicos | 40 | 4.7% | 1944–2010 |
| Elotes Occidentales | 33 | 3.9% | 1944–2008 |
| Mountain Yellow | 4 | 0.5% | 1952–2008 |
| Mushito | 152 | 17.8% | 1943–2005 |
| Olotillo | 8 | 0.9% | 1952–1952 |
| Olotón | 11 | 1.3% | 2008–2008 |
| Onaveño | 18 | 2.1% | 2007–2010 |
| Pepitilla | 26 | 3.0% | 1944–2010 |
| Ratón | 1 | 0.1% | 1960–1960 |
| Reventador | 28 | 3.3% | 1952–2010 |
| Tabloncillo | 26 | 3.0% | 1944–2008 |
| Tabloncillo Perla | 17 | 2.0% | 2008–2010 |
| Tuxpeño | 56 | 6.5% | 1947–2010 |
| Vandeño | 38 | 4.4% | 1952–2008 |
| Zamorano Amarillo | 36 | 4.2% | 1943–2008 |
© 2017 by the authors. Licensee MDPI, Basel, Switzerland. This article is an open access article distributed under the terms and conditions of the Creative Commons Attribution (CC BY) license (http://creativecommons.org/licenses/by/4.0/).
Share and Cite
Orozco-Ramírez, Q.; Astier, M.; Barrasa, S. Agricultural Land Use Change after NAFTA in Central West Mexico. Land 2017, 6, 66. https://doi.org/10.3390/land6040066
Orozco-Ramírez Q, Astier M, Barrasa S. Agricultural Land Use Change after NAFTA in Central West Mexico. Land. 2017; 6(4):66. https://doi.org/10.3390/land6040066
Chicago/Turabian StyleOrozco-Ramírez, Quetzalcóatl, Marta Astier, and Sara Barrasa. 2017. "Agricultural Land Use Change after NAFTA in Central West Mexico" Land 6, no. 4: 66. https://doi.org/10.3390/land6040066
APA StyleOrozco-Ramírez, Q., Astier, M., & Barrasa, S. (2017). Agricultural Land Use Change after NAFTA in Central West Mexico. Land, 6(4), 66. https://doi.org/10.3390/land6040066

