Spatiotemporal Assessment of As, Cd, and Cu Concentrations in the <63 µm Fraction of Loa River Basin Sediments: Implications for Sediment Quality in the Atacama Desert
Abstract
1. Introduction
2. Materials and Methods
2.1. Study Area
2.2. Sampling

2.3. Statistical Analysis of Spatial and Temporal Evaluation of Metal Concentrations in the Loa River
2.4. Geo-Accumulation Index (Igeo)
2.5. Enrichment Factor (EF)
2.6. Pollution Load Index (PLI)
2.7. Modified Ecological Risk Assessment (m-PEC-Q)
3. Results
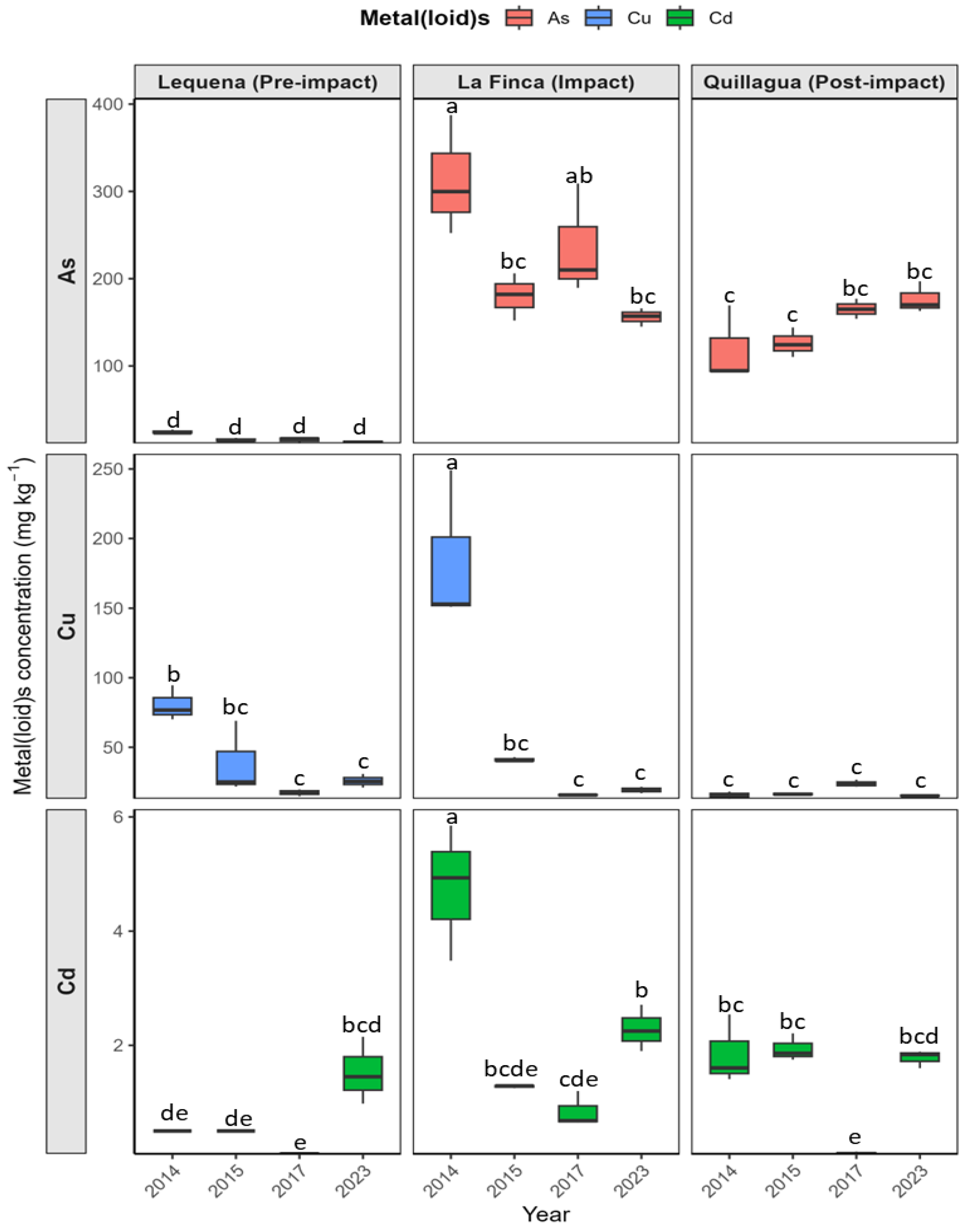
3.1. Spatial and Temporal Distribution of Metal Concentrations in the Loa River
3.2. Principal Component Analysis (PCA)
3.3. Geoaccumulation Index (Igeo)
3.4. Enrichment Factor (EF)
3.5. Pollution Load Index (PLI)
3.6. Ecological Risk Assessment (m-PEC-Q)
4. Discussion
4.1. Spatial Distribution of Metal(loid)s Contamination and Altitudinal Gradient in the Loa River Basin
| Sediment Concentrations (mg kg−1) | ||||
|---|---|---|---|---|
| River Basin | As | Cd | Cu | Paper ID |
| Loa (Chile) | 413 | - | - | [1] |
| Loa (Chile) | 248 | 1.03 | 16.9 | [2] |
| Loa (Chile) | 400 | - | 156 | [6] |
| Loa (Chile) | 654 | - | 13.7 | [24] |
| Yahgtze (China) | 29.9 | 129 | 3.4 | [29] |
| Yinma (China) | 6.19 | 0.29 | 23.80 | [38] |
| Shatt Al-Arab (Iraq) | 7.1 | - | 37.9 | [39] |
| Warta (Poland) | - | 1.13 | 17.0 | [41] |
| Weihr (China) | 15.42 | 1.05 | 29.47 | [42] |
| Tamnava (Serbia) | 4.02 | 0.28 | 18.11 | [43] |
| Cunas (Perú) | 11.5 | 0.3 | 7.2 | [12] |
| Rimac (Perú) | 1543 | 31 | 790 | [66] |
| Tigris (Turkey) | 5.8 | 3.02 | 1334 | [67] |
| Axios (Greece) | 40 | 11 | 180 | [68] |
| Yangtze (China) | - | 0.43 | 28.25 | [72] |
| Moche (Perú) | 0.016 | 0.012 | 1.240 | [69] |
| Buriganga (Bangladesh) | 8.2 | - | 47.21 | [73] |
| Dhaleshwari (Bangladesh) | - | - | 2.55 | [63] |
| La Charrasquilla (Spain) | 28.05 | 14.7 | 44.3 | [74] |
4.2. Identification of Metal Sources: Natural Geological vs. Anthropogenic Influences
4.3. Ecological Risk Assessment and Sediment Quality Guidelines
4.4. Temporal Dynamics and Environmental Factors Influencing Metal Concentrations
4.5. Implications for Pollution Control and Environmental Management Strategies
- Stricter Regulation and Enforcement: Implement and enforce stricter regulations on industrial and mining discharges into the Loa River and its tributaries, particularly in the vicinity of La Finca. This could involve advanced wastewater treatment technologies and regular environmental monitoring to minimize metal emissions, as pollution prevention, control, and remediation measures have been shown to effectively mitigate environmental pollution in other watersheds [83]. Stricter controls have resulted in a decrease in metal discharges from industrial activities in some regions [71].
- Continuous Monitoring Programs: Establish high-resolution, continuous monitoring programs for both natural geochemical baselines (Lequena) and anthropogenic contributions, focusing on key metals and their speciation in sediments and water. Monitoring should be extended to downstream areas such as Quillagua, which show intensifying pollution, to track long-term accumulation trends and assess the effectiveness of mitigation measures. Continuous monitoring is strongly recommended to reduce ecological and health risks [12]. As demonstrated by Jaskula et al. (2021) [41], continuous monitoring is essential in the Warta River to track temporal changes in pollution levels and ecological risk.
- Sediment management: Investigate strategies for managing contaminated sediments, especially in areas of high accumulation such as La Finca and Quillagua. This could involve technologies such as phytoremediation, used in the Cunas River and other mining-affected regions [12]. The aim is to stabilize or remove metals from contaminated soils and sediments, although careful consideration of their climatic feasibility in arid zones is essential [12,84,85].
- Informing regulatory agencies: The robust quantitative data and the clear identification of contamination sources and ecological risks provided by this study offer a strong scientific basis for environmental agencies to develop and update regulatory policies, particularly regarding acceptable discharge limits and quality guidelines for sediments from arid river systems. Improving mining practices is also crucial for mitigating the main anthropogenic sources of contamination [12].
5. Conclusions
Supplementary Materials
Author Contributions
Funding
Data Availability Statement
Acknowledgments
Conflicts of Interest
References
- Bugueno, M.P.; Acevedo, S.E.; Bonilla, C.A.; Pizarro, G.E.; Pasten, P.A. Differential Arsenic Binding in the Sediments of Two Sites in Chile’s Lower Loa River Basin. Sci. Total Environ. 2014, 466, 387–396. [Google Scholar] [CrossRef]
- Miller, J.R.; Walsh, D.; Villarroel, L.F. Use of Paleoflood Deposits to Determine the Contribution of Anthropogenic Trace Metals to Alluvial Sediments in the Hyperarid Río Loa Basin, Chile. Geosciences 2019, 9, 244. [Google Scholar] [CrossRef]
- Carpenter, S.R.; Caraco, N.F.; Correll, D.L.; Howarth, R.W.; Sharpley, A.N.; Smith, V.H. Nonpoint Pollution of Surface Waters with Phosphorus and Nitrogen. Ecol. Appl. 1998, 8, 559–568. [Google Scholar] [CrossRef]
- Pizarro, J.; Vergara, P.M.; Rodriguez, J.A.; Valenzuela, A.M. Heavy Metals in Northern Chilean Rivers: Spatial Variation and Temporal Trends. J. Hazard. Mater. 2010, 181, 747–754. [Google Scholar] [CrossRef] [PubMed]
- Tapia, J.S.; Valdés, J.; Orrego, R.; Tchernitchin, A.; Dorador, C.; Bolados, A.; Harrod, C. Geologic and Anthropogenic Sources of Contamination in Settled Dust of a Historic Mining Port City in Northern Chile: Health Risk Implications. PeerJ 2018, 2018, e4699. [Google Scholar] [CrossRef]
- Romero, L.; Alonso, H.; Campano, P.; Fanfani, L.; Cidu, R.; Dadea, C.; Keegan, T.; Thornton, I.; Farago, M. Arsenic Enrichment in Waters and Sediments of the Rio Loa (Second Region, Chile). Appl. Geochem. 2003, 18, 1399–1416. [Google Scholar] [CrossRef]
- Valdes, J.; Roman, D.; Guinez, M.; Rivera, L.; Morales, T.; Avila, J.; Cortes, P. Distribution and Temporal Variation of Trace Metal Enrichment in Surface Sediments of San Jorge Bay, Chile. Environ. Monit. Assess. 2010, 167, 185–197. [Google Scholar] [CrossRef]
- Valdes, J.; Castillo, A. Evaluacion de La Calidad Ambiental de Los Sedimentos Marinos En El Sistema de Bahias de Caldera (27 S), Chile. Lat. Am. J. Aquat. Res. 2014, 42, 497–513. [Google Scholar] [CrossRef]
- Valdes, J.; Tapia, J.S. Spatial Monitoring of Metals and As in Coastal Sediments of Northern Chile: An Evaluation of Background Values for the Analysis of Local Environmental Conditions. Mar. Pollut. Bull. 2019, 145, 624–640. [Google Scholar] [CrossRef]
- Aguilar, S.C.M. Estudio Geoquímico Ambiental y Mapa de Riesgos de la Cuenca del Río Huasco, III Región de Atacama, Chile; Repositorio Academico de la Universidad de Chile: Santiago de Chile, Chile, 2017. [Google Scholar]
- Zanetta-Colombo, N.C.; Manzano, C.A.; Brombierstäudl, D.; Fleming, Z.L.; Gayo, E.M.; Rubinos, D.A.; Jerez, Ó.; Valdés, J.; Prieto, M.; Nüsser, M. Blowin’ in the Wind: Mapping the Dispersion of Metal(Loid)s from Atacama Mining. GeoHealth 2024, 8, e2024GH001078. [Google Scholar] [CrossRef]
- Custodio, M.; Pizarro, S.; Huarcaya, J.; Ortega, K. Ecological and Human Health Risk Assessment of Heavy Metals in Mining-Affected River Sediments in the Peruvian Central Highlands. Toxics 2025, 13, 783. [Google Scholar] [CrossRef] [PubMed]
- Atibu, E.K.; Devarajan, N.; Laffite, A.; Giuliani, G.; Salumu, J.A.; Muteb, R.C.; Mulaji, C.K.; Otamonga, J.P.; Elongo, V.; Mpiana, P.T.; et al. Assessment of Trace Metal and Rare Earth Elements Contamination in Rivers around Abandoned and Active Mine Areas. The Case of Lubumbashi River and Tshamilemba Canal, Katanga, Democratic Republic of the Congo. Chem. Erde 2016, 76, 353–362. [Google Scholar] [CrossRef]
- Fu, K.; Su, B.; He, D.; Lu, X.; Song, J.; Huang, J. Pollution Assessment of Heavy Metals along the Mekong River and Dam Effects. J. Geogr. Sci. 2012, 22, 874–884. [Google Scholar] [CrossRef]
- Sun, C.; Zhang, Z.; Cao, H.; Xu, M.; Xu, L. Concentrations, Speciation, and Ecological Risk of Heavy Metals in the Sediment of the Songhua River in an Urban Area with Petrochemical Industries. Chemosphere 2019, 219, 538–545. [Google Scholar] [CrossRef] [PubMed]
- Wang, J.; Zhang, X.-X.; Chen, A.-F.; Wang, B.; Zhao, Q.-B.; Liu, G.-N.; Xiao, X.; Cao, J.-N. Source Analysis and Risk Evaluation of Heavy Metal in the River Sediment of Polymetallic Mining Area: Taking the Tonglüshan Skarn Type Cu-Fe-Au Deposit as an Example, Hubei Section of the Yangtze River Basin, China. China Geol. 2022, 5, 649–661. [Google Scholar] [CrossRef]
- Li, W.; Qian, H.; Xu, P.; Zhang, Q.; Chen, J.; Hou, K.; Ren, W.; Qu, W.; Chen, Y. Distribution Characteristics, Source Identification and Risk Assessment of Heavy Metals in Surface Sediments of the Yellow River, China. Catena 2022, 216, 106376. [Google Scholar] [CrossRef]
- Garreaud, R.; Vuille, M.; Clement, A.C. The Climate of the Altiplano: Observed Current Conditions and Mechanisms of Past Changes. Palaeogeogr. Palaeoclimatol. Palaeoecol. 2003, 194, 5–22. [Google Scholar] [CrossRef]
- Direccion General de Aguas (DGA). Analisis Integrado Rio Loa Region de Antofagasta; Direccion General de Aguas (DGA): San Jose, Costa Rica, 2014. [Google Scholar]
- Ministerio de Obras Públicas, Dirección General de Aguas, Definifición de Estudios y Planificación; Gobierno de Chile. Sectorización de Los Acuíferos de La Cuenca Del Río Loa: Resumen Ejecutivo. Sectorización de los Acuíferos de la Cuenca del Río Loa: Resumen Ejecutivo (S.I.T. No. 358); Gobierno de Chile: Santiago de Chile, Chile, 2014; 228p.
- Centro de Ecología Aplicada Ltda. Guía Metodológica para la Estimación del Caudal Ambiental en la Cuenca del Río Loa; Gobierno Regional de Antofagasta: Santiago de Chile, Chile, 2019.
- Byrne, P.; Onnis, P.; Runkel, R.L.; Frau, I.; Lynch, S.F.L.; Edwards, P. Critical Shifts in Trace Metal Transport and Remediation Performance under Future Low River Flows. Environ. Sci. Technol. 2020, 54, 15742–15750. [Google Scholar] [CrossRef]
- Espinoza, S.; Keegan, T.; Fanfani, L.; Alonso, H.; Droguett, F. Resultados Preliminares de un Estudio de Sedimentos de Fondo en el Rio Loa, 2a Region, Chile. In Proceedings of the VI Congreso Internacional de Ciencias de la Tierra de Chile: Ponencias en Ciencias Físicas y Humanas, Santiago, Chile, 7–11 August 2000. [Google Scholar]
- Herrera, V.; Carrasco, C.; Araneda, P.; Varas, V.; Rojo, C. Ecological Potential Risk by Arsenic in the Loas’s River Mouth, North of Chile. Rev. Int. Contam. Ambient. 2019, 35, 609–622. [Google Scholar] [CrossRef]
- Jannat, J.N.; Mia, M.Y.; Jion, M.M.M.F.; Islam, M.S.; Ali, M.M.; Siddique, M.A.B.; Rakib, M.R.J.; Ibrahim, S.M.; Pal, S.C.; Costache, R.; et al. Pollution Trends and Ecological Risks of Heavy Metal(Loid)s in Coastal Zones of Bangladesh: A Chemometric Review. Mar. Pollut. Bull. 2023, 191, 114960. [Google Scholar] [CrossRef]
- Alahabadi, A.; Malvandi, H. Contamination and Ecological Risk Assessment of Heavy Metals and Metalloids in Surface Sediments of the Tajan River, Iran. Mar. Pollut. Bull. 2018, 133, 741–749. [Google Scholar] [CrossRef] [PubMed]
- Fang, X.; Peng, B.; Wang, X.; Song, Z.; Zhou, D.; Wang, Q.; Qin, Z.; Tan, C. Distribution, Contamination and Source Identification of Heavy Metals in Bed Sediments from the Lower Reaches of the Xiangjiang River in Hunan Province, China. Sci. Total Environ. 2019, 689, 557–570. [Google Scholar] [CrossRef] [PubMed]
- Eldridgne, S.L.C.; Hornberger, M.I. Spatiotemporal Variations in Copper, Arsenic, Cadmium, and Zinc Concentrations in Surface Water, Fine-Grained Bed Sediment, and Aquatic Macroinvertebrates in the Upper Clark Fork Basin, Western Montana—A 20-Year Synthesis, 1996–2016; US Geological Survey: Reston, VA, USA, 2023; No. 2023-5. [Google Scholar]
- Yuan, X.; Zhang, L.; Li, J.; Wang, C.; Ji, J. Sediment Properties and Heavy Metal Pollution Assessment in the River, Estuary and Lake Environments of a Fluvial Plain, China. Catena 2014, 119, 52–60. [Google Scholar] [CrossRef]
- de Deckere, E.; de Cooman, W.; Leloup, V.; Meire, P.; Schmitt, C.; von der Ohe, P.C. Development of Sediment Quality Guidelines for Freshwater Ecosystems. J. Soils Sediments 2011, 11, 504–517. [Google Scholar] [CrossRef]
- Ingersoll, C.G.; MacDonald, D.D.; Wang, N.; Crane, J.L.; Field, L.J.; Haverland, P.S.; Kemble, N.E.; Lindskoog, R.A.; Severn, C.; Smorong, D.E. Predictions of Sediment Toxicity Using Consensus-Based Freshwater Sediment Quality Guidelines. Arch. Environ. Contam. Toxicol. 2001, 41, 8–21. [Google Scholar] [CrossRef]
- Long, E.R.; Macdonald, D.D.; Smith, S.L.; Calder, F.D. Incidence of Adverse Biological Effects within Ranges of Chemical Concentrations in Marine and Estuarine Sediments. Environ. Manag. 1995, 19, 81–97. [Google Scholar] [CrossRef]
- MacDonald, D.D.; Ingersoll, C.G.; Berger, T.A. Development and Evaluation of Consensus-Based Sediment Quality Guidelines for Freshwater Ecosystems. Arch. Environ. Contam. Toxicol. 2000, 39, 20–31. [Google Scholar] [CrossRef]
- Müller, G. Schwermetalle in den Sedimenten des Rheins—Veränderungen Seit 1971. Umschau 1979, 79, 133–149. [Google Scholar]
- Tribovillard, N.; Algeo, T.J.; Lyons, T.; Riboulleau, A. Trace Metals as Paleoredox and Paleoproductivity Proxies: An Update. Chem. Geol. 2006, 232, 12–32. [Google Scholar] [CrossRef]
- Bhuiyan, M.A.H.; Parvez, L.; Islam, M.A.; Dampare, S.B.; Suzuki, S. Heavy Metal Pollution of Coal Mine-Affected Agricultural Soils in the Northern Part of Bangladesh. J. Hazard. Mater. 2010, 173, 384–392. [Google Scholar] [CrossRef]
- Long, E.R.; Macdonald, D.D. Human and Ecological Risk Assessment: An Recommended Uses of Empirically Derived, Sediment Quality Guidelines for Marine and Estuarine Ecosystems. Hum. Ecol. Risk Assess. 1998, 4, 1019–1039. [Google Scholar] [CrossRef]
- Guan, J.; Wang, J.; Pan, H.; Yang, C.; Qu, J.; Lu, N.; Yuan, X. Heavy Metals in Yinma River Sediment in a Major Phaeozems Zone, Northeast China: Distribution, Chemical Fraction, Contamination Assessment and Source Apportionment. Sci. Rep. 2018, 8, 12231. [Google Scholar] [CrossRef] [PubMed]
- Allafta, H.; Opp, C. Spatio-Temporal Variability and Pollution Sources Identification of the Surface Sediments of Shatt. Sci. Rep. 2020, 10, 6979. [Google Scholar] [CrossRef] [PubMed]
- Hao, J.; Ren, J.; Tao, L.; Fang, H.; Gao, S.; Chen, Y. Pollution Evaluation and Sources Identification of Heavy Metals in Surface Sediments from Upstream of Yellow River. Pol. J. Environ. Stud. 2021, 30, 1161–1169. [Google Scholar] [CrossRef]
- Jaskuła, J.; Sojka, M. Analysis of Spatial Variability of River Bottom Sediment Pollution with Heavy Metals and Assessment of Potential Ecological Hazard for the Warta River, Poland. Minerals 2021, 11, 327. [Google Scholar] [CrossRef]
- Xu, Y.; Liao, X.; Guo, B. Assessment of Heavy Metal Pollution in Water Sediment and Study on Pollution Mechanism—Taking the Weihe River Basin in China as an Example. Processes 2023, 11, 416. [Google Scholar] [CrossRef]
- Vasic, M.V.; Radomirovic, M.; Velasco, P.M.; Mijatovic, N. Geochemical Profiles of Deep Sediment Layers from the Kolubara District (Western Serbia): Contamination Status and Associated Risks of Heavy Metals. Agronomy 2024, 14, 3009. [Google Scholar] [CrossRef]
- Laaraj, M.; Brahim, Y.A.; Mesnage, V.; Bensalem, F.; Lahmidi, I.; Mliyeh, M.M.; Fattasse, H.; Arari, K.; Benaabidate, L. Heavy Metal Contamination of Sediments in the Inaou è Ne Watershed (Morocco): Indices, Statistical Methods, and Contributions to Sustainable Environmental Management. Sustainability 2025, 17, 4668. [Google Scholar] [CrossRef]
- Gamboa, C.; Godfrey, L.; Herrera, C.; Custodio, E.; Soler, A. The Origin of Solutes in Groundwater in a Hyper-Arid Environment: A Chemical and Multi-Isotope Approach in the Atacama Desert, Chile. Sci. Total Environ. 2019, 690, 329–351. [Google Scholar] [CrossRef]
- Astorga-Eló, M.; Zhang, Q.; Larama, G.; Stoll, A.; Sadowsky, M.J.; Jorquera, M.A. Composition, Predicted Functions and Co-Occurrence Networks of Rhizobacterial Communities Impacting Flowering Desert Events in the Atacama Desert, Chile. Front. Microbiol. 2020, 11, 571. [Google Scholar] [CrossRef]
- Ritter, B.; Wennrich, V.; Medialdea, A.; Brill, D.; King, G.; Schneiderwind, S.; Niemann, K.; Fernández-Galego, E.; Diederich, J.; Rolf, C.; et al. Climatic Fluctuations in the Hyperarid Core of the Atacama Desert during the Past 215 Ka. Sci. Rep. 2019, 9, 5270. [Google Scholar] [CrossRef] [PubMed]
- Stegen, S.; Queirolo, F.; Cortes, S.; Pastenes, J.; Ostapczuk, P.; Backhaus, F.; Mohl, C. Use of the Fresh Water Plants Zannichellia palustris and Myriophyllum acuatium for Biomonitoring of Cd, Pb, and Cu in Anden Rivers of Chile. Bol. LA Soc. Chil. Quim. 2000, 45, 449–459. [Google Scholar] [CrossRef]
- Pell, A.; Márquez, A.; López-Sánchez, J.F.; Rubio, R.; Barbero, M.; Stegen, S.; Queirolo, F.; Díaz-Palma, P. Occurrence of Arsenic Species in Algae and Freshwater Plants of an Extreme Arid Region in Northern Chile, the Loa River Basin. Chemosphere 2013, 90, 556–564. [Google Scholar] [CrossRef] [PubMed]
- Aránguiz-Acuña, A.; Pizarro, H.; Flores-Varas, A.; Tapia, J.; Herrera, J.; Maza, S. Geochemical and Magnetic Properties in Fluvial and Lacustrine Systems as Environmental Quality Proxies in the Atacama Desert. Environ. Earth Sci. 2025, 84, 28. [Google Scholar] [CrossRef]
- Rabbia, O.M.; Correa, K.J.; Hernández, L.B.; Ulrich, T. “Normal” to Adakite-like Arc Magmatism Associated with the El Abra Porphyry Copper Deposit, Central Andes, Northern Chile. Int. J. Earth Sci. 2017, 106, 2687–2711. [Google Scholar] [CrossRef]
- Urzúa, F. Geology, Geochronology and Structural Evolution of La Escondida Copper District, Northern Chile. Ph.D. Thesis, University of Tasmania, Dynnyrne, TAS, Australia, 2009. [Google Scholar]
- John, D.A.; Ayuso, R.A.; Barton, M.D.; Bodnar, R.J.; Dilles, J.H.; Gray, F.; Graybeal, F.T.; Mars, J.C.; McPhee, D.K.; Seal, R.R.; et al. Porphyry Copper Deposit Model. In USGS Scientific Investigation Report 2010-5070-B; US Geological Survey: Reston, VA, USA, 2010; p. 169. [Google Scholar]
- Valente, D.L. The Geology, Geochemistry and Geochronology of the El Abra Mine, Chile, and the Adjacent Pajonal-El Abra Suite of Intrusions; Australian National University: Canberra, ACT, Australia, 2008. [Google Scholar]
- Núñez, L.; Agüero, C.; Cases, b.; De Souza, P. El Campamento Minero Chuquicamata-2 y La Explotación Ciprífera Prehispánica En El Desierto de Atacama. Estud. Atacameños 2003, 25, 7–34. [Google Scholar]
- Zanetta-Colombo, N.C.; Scharnweber, T.; Christie, D.A.; Manzano, C.A.; Blersch, M.; Gayo, E.M.; Muñoz, A.A.; Fleming, Z.L.; Nüsser, M. When Another One Bites the Dust: Environmental Impact of Global Copper Demand on Local Communities in the Atacama Mining Hotspot as Registered by Tree Rings. Sci. Total Environ. 2024, 920, 170954. [Google Scholar] [CrossRef]
- Valdés, J.; Quiroga, E. Metals and Metaloid Preserved in Marine Sediments of an Industrial Complex of Central Chile. Environmental Assessment Using Different Background Values. Environ. Sustain. Indic. 2024, 22, 100373. [Google Scholar] [CrossRef]
- Özşeker, K.; Erüz, C.; Terzi, Y. Evaluation of Toxic Metals in Different Grain Size Fractions of Sediments of the Southeastern Black Sea. Mar. Pollut. Bull. 2022, 182, 113959. [Google Scholar] [CrossRef]
- Ma, J.; Li, Y.; Liu, Y.; Lin, C.; Cheng, H. Effects of Soil Particle Size on Metal Bioaccessibility and Health Risk Assessment. Ecotoxicol. Environ. Saf. 2019, 186, 109748. [Google Scholar] [CrossRef]
- Chuan, O.M.; Yunus, K. Sediment and Organisms as Marker for Metal Pollution. In Monitoring of Marine Pollution; IntechOpen: Rijeka, Croatia, 2019. [Google Scholar] [CrossRef]
- U.S. Environmental Protection Agency. Method 3051A: Microwave Assisted Acid Digestion of Sediments, Sludges, Soils, and Oils (Revision 1). In Test Methods for Evaluating Solid Waste, Physical/Chemical Methods; U.S. Environmental Protection Agency: Washington, DC, USA, 2007. [Google Scholar]
- R Studio Team. RStudio: Integrated Development Environment for R 2024; R Foundation for Statistical Computing: Vienna, Austria, 2024. [Google Scholar]
- Rahman, M.S.; Ahmed, Z.; Seefat, S.M.; Alam, R.; Islam, A.R.M.T.; Choudhury, T.R.; Begum, B.A.; Idris, A.M. Assessment of Heavy Metal Contamination in Sediment at the Newly Established Tannery Industrial Estate in Bangladesh: A Case Study. Environ. Chem. Ecotoxicol. 2022, 4, 1–12. [Google Scholar] [CrossRef]
- Trifuoggi, M.; Donadio, C.; Mangoni, O.; Ferrara, L.; Bolinesi, F.; Nastro, R.A.; Stanislao, C.; Toscanesi, M.; Di Natale, G.; Arienzo, M. Distribution and Enrichment of Trace Metals in Surface Marine Sediments in the Gulf of Pozzuoli and off the Coast of the Brownfield Metallurgical Site of Ilva of Bagnoli (Campania, Italy). Mar. Pollut. Bull. 2017, 124, 502–511. [Google Scholar] [CrossRef] [PubMed]
- Garhin Programa Gestión Ambiental de Recursos Hídricos en Zonas Áridas y su Litoral. Evaluación de Recursos Hídricos de la II Región; Departamento de Química, Facultad de Ciencias, Universidad Católica del Norte: Antofagasta, Chile, 1994. [Google Scholar]
- Butler, L.; Lall, U.; Luc, B. Modeling Cumulative Effects of Heavy Metal Contamination in Mining Areas of the Rimac Basin. Ph.D. Thesis, Earth and Environmental Engineering Department, Columbia University, New York, NY, USA, 2017; pp. 1–27. [Google Scholar]
- Varol, M.; Şen, B. Assessment of Nutrient and Heavy Metal Contamination in Surface Water and Sediments of the Upper Tigris River, Turkey. Catena 2012, 92, 1–10. [Google Scholar] [CrossRef]
- Karageorgis, A.P.; Nikolaidis, N.P.; Karamanos, H.; Skoulikidis, N. Water and Sediment Quality Assessment of the Axios River and Its Coastal Environment. Cont. Shelf Res. 2003, 23, 1929–1944. [Google Scholar] [CrossRef]
- Moreno, F.H.; García, E.M.; León, V.Q.; Arévalo, F.H. Contaminación Por Metales Pesados En La Cuenca Del Río Moche, 1980–2010, La Libertad–Perú. Sci. Agropecu. 2012, 3, 235–247. [Google Scholar]
- Smolders, A.J.P.; Lock, R.A.C.; Van der Velde, G.; Medina Hoyos, R.I.; Roelofs, J.G.M. Effects of Mining Activities on Heavy Metal Concentrations in Water, Sediment, and Macroinvertebrates in Different Reaches of the Pilcomayo River, South America. Arch. Environ. Contam. Toxicol. 2003, 44, 314–323. [Google Scholar] [CrossRef]
- Resongles, E.; Casiot, C.; Freydier, R.; Dezileau, L.; Viers, J.Ô.; Elbaz-Poulichet, F. Persisting Impact of Historical Mining Activity to Metal (Pb, Zn, Cd, Tl, Hg) and Metalloid (As, Sb) Enrichment in Sediments of the Gardon River, Southern France. Sci. Total Environ. 2014, 481, 509–521. [Google Scholar] [CrossRef]
- Zhang, W.; Feng, H.; Chang, J.; Qu, J.; Xie, H.; Yu, L. Heavy Metal Contamination in Surface Sediments of Yangtze River Intertidal Zone: An Assessment from Different Indexes. Environ. Pollut. 2009, 157, 1533–1543. [Google Scholar] [CrossRef]
- Tamim, U.; Khan, R.; Jolly, Y.N.; Fatema, K.; Das, S.; Naher, K.; Islam, M.A.; Islam, S.M.A.; Hossain, S.M. Elemental Distribution of Metals in Urban River Sediments near an Industrial Effluent Source. Chemosphere 2016, 155, 509–518. [Google Scholar] [CrossRef]
- Cuevas, J.; Faz, Á.; Mart, S.; Beltr, J.; Acosta, J.A. Integrated Assessment of Metal Contamination of Soils, Sediments, and Runoff Water in a Dry Riverbed from a Mining Area Under Torrential Rain Events. Land 2024, 13, 1892. [Google Scholar] [CrossRef]
- Tang, Z.; Liu, X.; Niu, X.; Yin, H.; Liu, M.; Zhang, D. Ecological Risk Assessment of Aquatic Organisms Induced by Heavy Metals in the Estuarine Waters of the Pearl River. Sci. Rep. 2023, 13, 9145. [Google Scholar] [CrossRef]
- Mazilamani, L.S.; Annammala, K.V.; Martin, P.; Qi, L.Y.; Sugumaran, D.; Ling, Y.E.; Reynard, P.S.; Nurhidayat, A.; Syawal, M.S.; Sutapa, I.D.A. Comprehensive Assessment of Water and Sediment Quality to Support Sustainable Management Practices and Mitigate Potential Risks of Trace Metal Pollution in the Johor River Basin, South Peninsular Malaysia. Ecohydrol. Hydrobiol. 2024, 25, 215–329. [Google Scholar] [CrossRef]
- Vu, C.T.; Lin, C.; Shern, C.C.; Yeh, G.; Le, V.G.; Tran, H.T. Contamination, Ecological Risk and Source Apportionment of Heavy Metals in Sediments and Water of a Contaminated River in Taiwan. Ecol. Indic. 2017, 82, 32–42. [Google Scholar] [CrossRef]
- Ahoulé, D.G.; Lalanne, F.; Mendret, J.; Brosillon, S.; Maïga, A.H. Arsenic in African Waters: A Review. Water. Air. Soil Pollut. 2015, 226, 302. [Google Scholar] [CrossRef]
- Moreno-Aguirre, S.B.; Vértiz-Osores, J.J.; Paredes-Espinal, C.E.; Meseth, E.; Vílchez-Ochoa, G.L.; Espino-Ciudad, J.A.; Flores del Pino, L. Ecological Risk of Metals in Andean Water Resources: A Framework for Early Environmental Assessment of Mining Projects in Peru. Heliyon 2024, 10, e30739. [Google Scholar] [CrossRef]
- Cerda, M.; Evangelista, H.; Valdés, J.; Siffedine, A.; Boucher, H.; Nogueira, J.; Nepomuceno, A.; Ortlieb, L. A New 20th Century Lake Sedimentary Record from the Atacama Desert/Chile Reveals Persistent PDO (Pacific Decadal Oscillation) Impact. J. S. Am. Earth Sci. 2019, 95, 102302. [Google Scholar] [CrossRef]
- Rutllant, J.A.; Fuenzalida, H.; Torres, R.; Figueroa, D. Interacción Océano-Atmósfera-Tierra En La Región de Antofagasta (Chile, 23° S): Experimento DICLIMA. Rev. Chil. Hist. Nat. 1998, 71, 405–427. [Google Scholar]
- Izquierdo, T.; Rivera, A.L.; Galeano, Á.; Gallardo, D.; Salas, V.; Aparicio, O.; Buylaert, J.P.; Ruiz, F.; Abad, M. Historical Catastrophic Floods at the Southern Edge of the Atacama Desert: A Multi-Archive Reconstruction of the Copiapó River Extreme Events. Glob. Planet. Change 2024, 236, 104411. [Google Scholar] [CrossRef]
- Li, D.; Pan, B.; Han, X.; Li, G.; Feng, Z.; Wang, X. Human Activities Affect the Concentrations and Distributions of Trace Metals in the Heavily Sediment-Laden Yellow River. J. Environ. Chem. Eng. 2023, 11, 109714. [Google Scholar] [CrossRef]
- Liang, H.Y.; Zhang, Y.H.; Du, S.L.; Cao, J.L.; Liu, Y.F.; Zhao, H.; Ding, T.T. Heavy Metals in Sediments of the River-Lake System in the Dianchi Basin, China: Their Pollution, Sources, and Risks. Sci. Total Environ. 2024, 957, 177652. [Google Scholar] [CrossRef]
- Li, X.; Liu, X.; Cao, N.; Fang, S.; Yu, C. Adaptation Mechanisms of Arsenic Metabolism Genes and Their Host Microorganisms in Soils with Different Arsenic Contamination Levels around Abandoned Gold Tailings. Environ. Pollut. 2021, 291, 117994. [Google Scholar] [CrossRef]
- Vdović, N.; Lučić, M.; Mikac, N.; Bačić, N. Partitioning of Metal Contaminants between Bulk and Fine-grained Fraction in Freshwater Sediments: A Critical Appraisal. Minerals 2021, 11, 603. [Google Scholar] [CrossRef]






| Igeo | Category | Sediment Quality |
|---|---|---|
| >5 | 6 | Extremely polluted |
| 4–5 | 5 | Heavily to extremely polluted |
| 3–4 | 4 | Heavily polluted |
| 2–3 | 3 | Moderately to heavily polluted |
| 1–2 | 2 | Moderately polluted |
| 0–1 | 1 | Not polluted to moderately polluted |
| >0 | 0 | Not polluted |
| Enrichment Level | EF Value Range |
|---|---|
| No enrichment | ≤1 |
| No enrichment to minor enrichment | 1 < EF < 3 |
| Minor to moderate enrichment | 3 < EF < 5 |
| Moderate to significant enrichment | 5 < EF < 10 |
| Significant to high enrichment | 10 < EF < 25 |
| High to very high enrichment | 25 < EF < 50 |
| Extremely high enrichment | 50 < EF |
| 2014 | 2015 | 2017 | 2023 | |||||||||||
|---|---|---|---|---|---|---|---|---|---|---|---|---|---|---|
| Zone | n | As | Cd | Cu | As | Cd | Cu | As | Cd | Cu | As | Cd | Cu | |
| Pre-impact | 36 | Mean | 24.498 | 0.500 | 80.476 | 15.367 | 0.500 | 38.567 | 15.241 | 0.107 | 17.340 | 13.200 | 1.527 | 25.767 |
| SD | 2.252 | 0.000 | 12.647 | 1.986 | 0.000 | 26.408 | 3.417 | 0.012 | 2.462 | 1.300 | 0.589 | 4.905 | ||
| Max | 27.096 | 0.500 | 94.572 | 17.600 | 0.500 | 69.000 | 17.750 | 0.120 | 19.650 | 14.700 | 2.150 | 30.800 | ||
| Min | 23.099 | 0.5 | 70.122 | 13.800 | 0.500 | 21.700 | 11.350 | 0.100 | 14.750 | 12.400 | 0.9800 | 21.000 | ||
| Impact | 36 | Mean | 313.163 | 4.754 | 184.337 | 180.033 | 1.280 | 41.133 | 236.167 | 0.843 | 15.653 | 156.000 | 2.287 | 19.267 |
| SD | 68.529 | 1.192 | 56.071 | 27.104 | 0.026 | 1.537 | 63.903 | 0.309 | 0.555 | 10.536 | 0.406 | 2.350 | ||
| Max | 387.394 | 5.847 | 249.072 | 206.100 | 1.300 | 42.900 | 309.000 | 1.200 | 16.210 | 166.000 | 2.710 | 21.600 | ||
| Min | 252.306 | 3.483 | 151.014 | 152.000 | 1.250 | 40.100 | 189.000 | 0.650 | 15.100 | 145.000 | 1.900 | 16.900 | ||
| Post-impact | 36 | Mean | 119.116 | 1.852 | 15.512 | 126.233 | 1.940 | 16.293 | 165.333 | 0.113 | 23.857 | 176.667 | 1.777 | 15.200 |
| SD | 43.521 | 0.605 | 2.581 | 16.983 | 0.240 | 0.907 | 11.504 | 0.023 | 2.594 | 17.954 | 0.155 | 0.436 | ||
| Max | 169.367 | 2.542 | 18.153 | 144.100 | 2.210 | 17.230 | 177.000 | 0.140 | 26.700 | 197.000 | 1.890 | 15.700 | ||
| Min | 93.495 | 1.409 | 12.996 | 110.300 | 1.750 | 15.420 | 154.000 | 0.100 | 21.620 | 163.000 | 1.600 | 14.900 | ||
Disclaimer/Publisher’s Note: The statements, opinions and data contained in all publications are solely those of the individual author(s) and contributor(s) and not of MDPI and/or the editor(s). MDPI and/or the editor(s) disclaim responsibility for any injury to people or property resulting from any ideas, methods, instructions or products referred to in the content. |
© 2026 by the authors. Licensee MDPI, Basel, Switzerland. This article is an open access article distributed under the terms and conditions of the Creative Commons Attribution (CC BY) license.
Share and Cite
Lobos-Parra, N.; Guiñez, M.; Orrego, R. Spatiotemporal Assessment of As, Cd, and Cu Concentrations in the <63 µm Fraction of Loa River Basin Sediments: Implications for Sediment Quality in the Atacama Desert. Land 2026, 15, 226. https://doi.org/10.3390/land15020226
Lobos-Parra N, Guiñez M, Orrego R. Spatiotemporal Assessment of As, Cd, and Cu Concentrations in the <63 µm Fraction of Loa River Basin Sediments: Implications for Sediment Quality in the Atacama Desert. Land. 2026; 15(2):226. https://doi.org/10.3390/land15020226
Chicago/Turabian StyleLobos-Parra, Nataly, Marcos Guiñez, and Rodrigo Orrego. 2026. "Spatiotemporal Assessment of As, Cd, and Cu Concentrations in the <63 µm Fraction of Loa River Basin Sediments: Implications for Sediment Quality in the Atacama Desert" Land 15, no. 2: 226. https://doi.org/10.3390/land15020226
APA StyleLobos-Parra, N., Guiñez, M., & Orrego, R. (2026). Spatiotemporal Assessment of As, Cd, and Cu Concentrations in the <63 µm Fraction of Loa River Basin Sediments: Implications for Sediment Quality in the Atacama Desert. Land, 15(2), 226. https://doi.org/10.3390/land15020226

