Exploring the Impact of Urban Characteristics on Diurnal Land Surface Temperature Based on LCZ and Machine Learning
Abstract
1. Introduction
- Most studies focus on single time points or factors, neglecting diurnal variations and interactive effects among urban characteristics;
- The applicability of LCZ classifications to planning-relevant scales (e.g., community units) is underexplored, especially in high-density Asian cities;
- While machine learning models are increasingly used, few studies leverage explainable AI (e.g., SHAP) to unravel interaction effects between urban variables on LST across different times of day.
- Analyze diurnal LST variations across LCZ types in Beijing;
- Quantify the relative importance of blue–green, morphological, and anthropogenic factors;
- Uncover interaction effects between key variables;
- Provide targeted planning implications for UHI mitigation.
2. Materials and Methods
2.1. Study Area
2.2. ECOSTRESS LST Data
2.3. Urban Characteristics
2.3.1. Blue–Green Space Variables
2.3.2. Urban Form Variables
2.3.3. Population Activity Variables
2.4. LCZ Classification
2.5. Research Framework
2.5.1. XGBoost Regression Model
2.5.2. SHapley Additive exPlanation (SHAP)
3. Results
3.1. The LCZ Classification
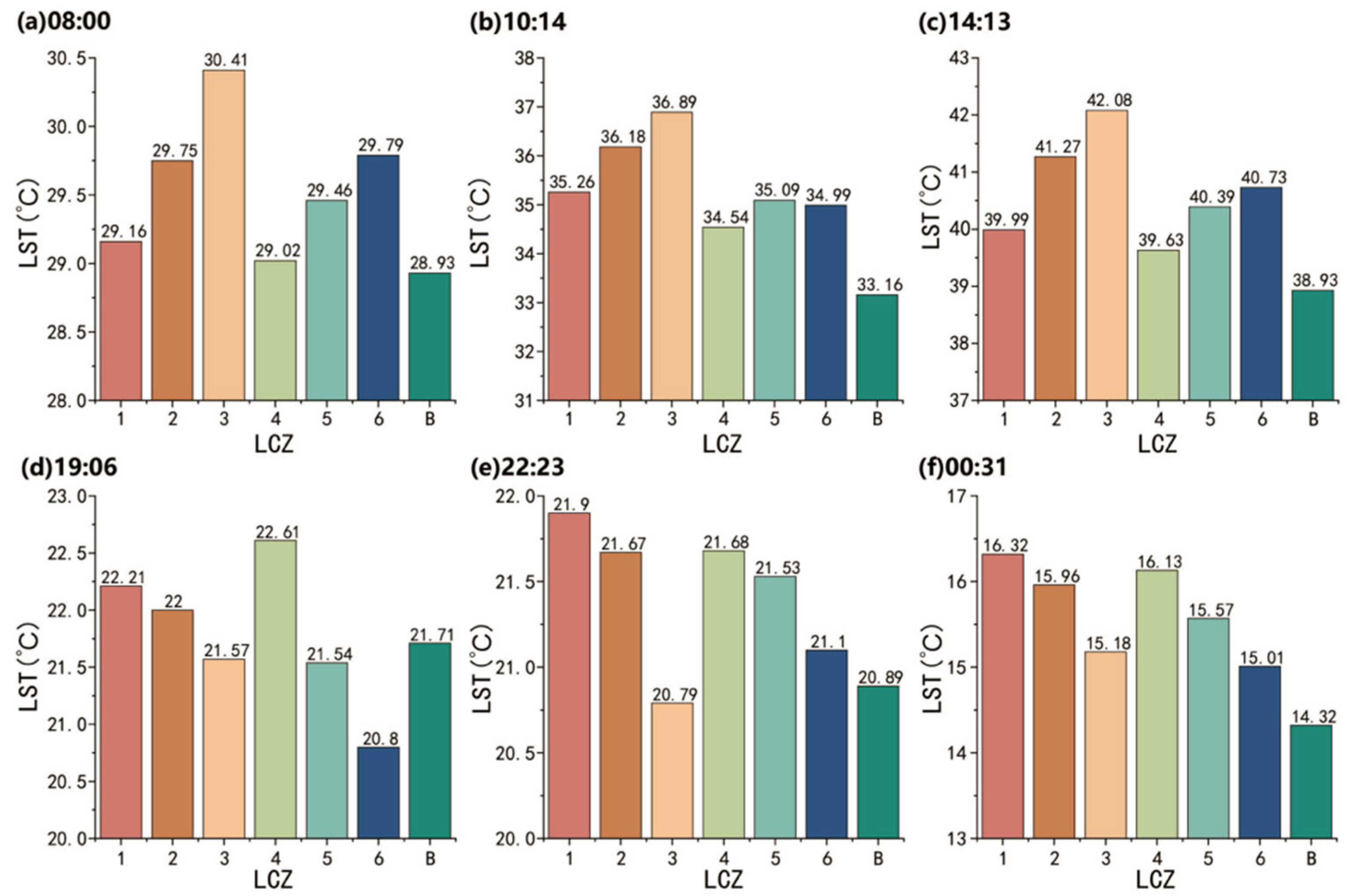
3.2. Characteristics of Diurnal Variations in LST Across LCZ
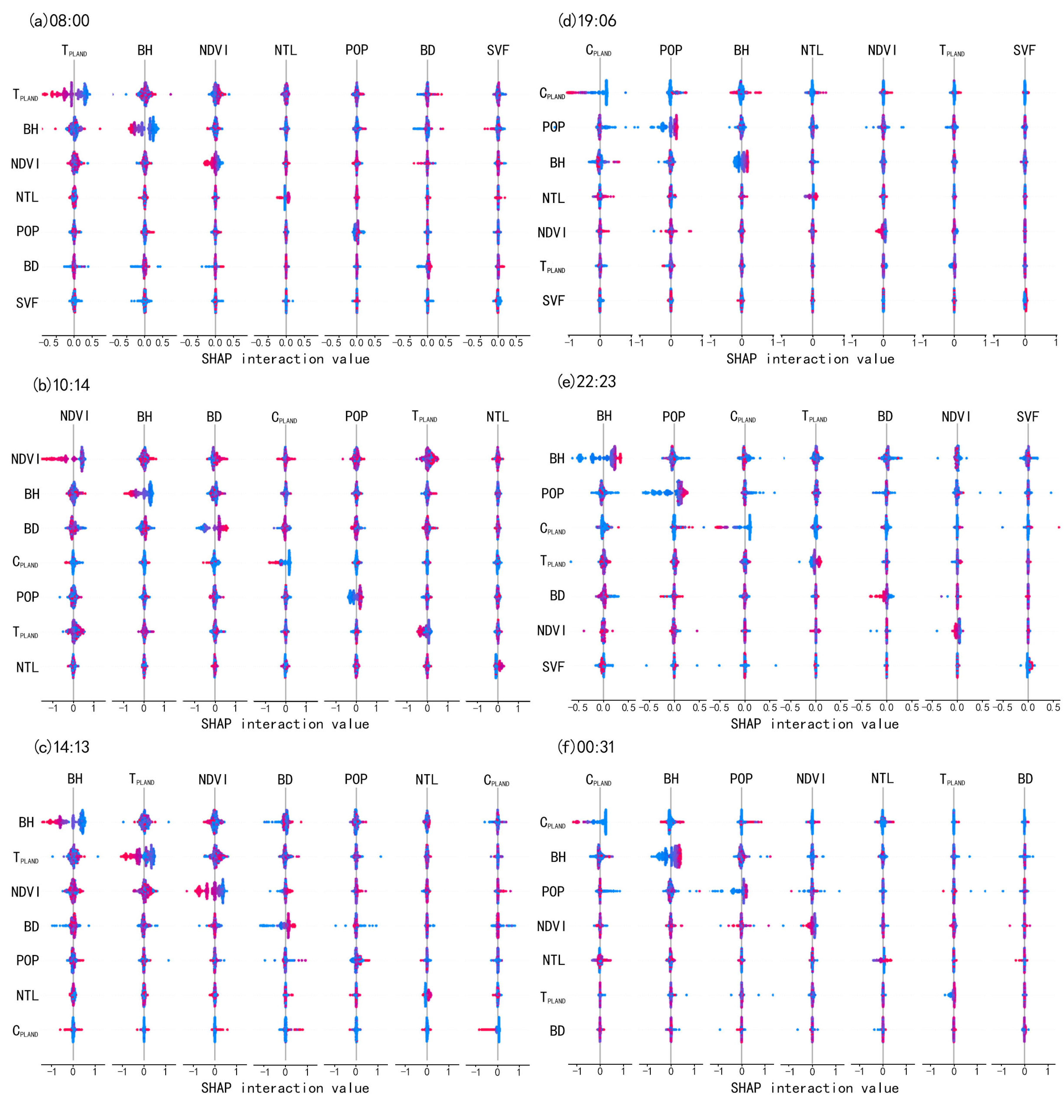
3.3. Results of the XGBoost Regression Model and SHAP
3.3.1. Relative Importance Ranking
- Daytime (08:00–14:13), where TPLAND, NDVI, and BH were the top three factors, although their order varied. These patterns suggest a strong association between vegetation, building height, and LST during daytime hours.
- Nighttime (19:06–00:31), where CPLAND and BH were the top three factors. Notably, the importance of POP increased significantly at night, implying a potential link between human activities and nocturnal warming.
3.3.2. Interaction Effects of Variables on LST
4. Discussion
4.1. The Impacts of LCZ Spatial Patterns on Thermal Environment
4.2. Spatial Effects of Urban Features on LST
4.3. Strategies to Improve the Beijing Thermal Environment in Future Development
4.3.1. Optimizing Urban Form
4.3.2. Expanding Blue–Green Infrastructure
4.3.3. Regulating Population Density and Human Activities
4.3.4. Balancing Daytime Cooling and Nighttime Heat Release
4.4. Limitations of This Study and Future Work
5. Conclusions
- Significant differences in LST across LCZ types: Compact building zones (LCZ 1, LCZ 2, and LCZ 3) exhibited higher daytime LST compared with open building zones (LCZ 4, LCZ 5, and LCZ 6), while nighttime temperature differences between the two were notably smaller. The scattered trees zone (LCZ B) provided strong daytime cooling through evapotranspiration, but its effect diminished at night.
- Diurnal variation in the importance of blue–green infrastructure, urban morphology, and human activity variables: Blue–green space variables had the strongest influence on daytime LST, with NDVI ranking first in relative importance at 10:14 and TPLAND ranking first at 08:00, indicating that vegetation significantly reduced daytime LST through evapotranspiration and shading. Urban morphology variables were more influential at night, with BH ranking first at both 14:13 and 22:23, suggesting that tall buildings affect LST differently through shading in the daytime and heat storage at night. Human activity variables contributed significantly to nighttime LST increases, with POP ranking second and third at 19:06 and 00:31, respectively, implying that population-related heat emissions from energy use and traffic substantially elevate nocturnal LST.
- Strong interaction effects between variable types, varying between day and night: During the day, blue–green space and urban morphology variables interacted significantly: when NDVI exceeded 0.35 and BD was below 0.18, LST decreased markedly, indicating that low BD combined with high NDVI effectively reduced surface temperatures. However, at night, when NDVI exceeded 0.35 and BD was below 0.24, LST increased, suggesting that heat release from buildings and the thermal retention effect of vegetation jointly contributed to higher nocturnal temperatures. Interactions between blue–green space and human activity variables also displayed diurnal variation: during the day, high-TPLAND and lowPOP areas showed substantial cooling, while at night, high TPLAND combined with high POP was associated with elevated LST. Interactions between urban morphology and human activity variables were particularly evident at night, as heat stored by tall buildings during the day and anthropogenic heat from nighttime activities jointly intensified nocturnal LST.
Author Contributions
Funding
Data Availability Statement
Conflicts of Interest
References
- Kovats, R.S.; Campbell-Lendrum, D.; Matthies, F. Climate Change and Human Health: Estimating Avoidable Deaths and Disease. Risk Anal. 2005, 25, 1409–1418. [Google Scholar] [CrossRef] [PubMed]
- Bečić, D.; Gašparović, M. Urban Heat Islands and Land-Use Patterns in Zagreb: A Composite Analysis Using Remote Sensing and Spatial Statistics. Land 2025, 14, 1470. [Google Scholar] [CrossRef]
- Chang, Y.; Xiao, J.; Li, X.; Middel, A.; Zhang, Y.; Gu, Z.; Wu, Y.; He, S. Exploring Diurnal Thermal Variations in Urban Local Climate Zones with ECOSTRESS Land Surface Temperature Data. Remote Sens. Environ. 2021, 263, 112544. [Google Scholar] [CrossRef]
- Xu, J.; Xuan, L.; Li, C.; Wu, T.; Wang, Y.; Wang, Y.; Wang, X.; Wang, Y. Effect of Landscape Architectural Characteristics on LST in Different Zones of Zhengzhou City, China. Land 2025, 14, 1581. [Google Scholar] [CrossRef]
- Zhao, L.; Lee, X.; Smith, R.B.; Oleson, K. Strong Contributions of Local Background Climate to Urban Heat Islands. Nature 2014, 511, 216–219. [Google Scholar] [CrossRef] [PubMed]
- Mishra, A.; Arya, D.S. Assessment of Land-Use Land-Cover Dynamics and Urban Heat Island Effect of Dehradun City, North India: A Remote Sensing Approach. Environ. Dev. Sustain. 2024, 26, 22421–22447. [Google Scholar] [CrossRef]
- Naikoo, M.W.; Rihan, M.; Ishtiaque, M.; Shahfahad. Analyses of Land Use Land Cover (LULC) Change and Built-up Expansion in the Suburb of a Metropolitan City: Spatio-Temporal Analysis of Delhi NCR Using Landsat Datasets. J. Urban Manag. 2020, 9, 347–359. [Google Scholar] [CrossRef]
- Naim, M.N.H.; Kafy, A.A. Assessment of Urban Thermal Field Variance Index and Defining the Relationship between Land Cover and Surface Temperature in Chattogram City: A Remote Sensing and Statistical Approach. Environ. Chall. 2021, 4, 100107. [Google Scholar] [CrossRef]
- Stewart, I.D.; Oke, T.R. Local Climate Zones for Urban Temperature Studies. Bull. Am. Meteorol. Soc. 2012, 93, 1879–1900. [Google Scholar] [CrossRef]
- Cai, M.; Ren, C.; Xu, Y.; Dai, W.; Wang, X.M. Local Climate Zone Study for Sustainable Megacities Development by Using Improved WUDAPT Methodology—A Case Study in Guangzhou. Procedia Environ. Sci. 2016, 36, 82–89. [Google Scholar] [CrossRef]
- He, S.; Zhang, Y.; Gu, Z.; Su, J. Local Climate Zone Classification with Different Source Data in Xi’an, China. Indoor Built Environ. 2019, 28, 1190–1199. [Google Scholar] [CrossRef]
- Peiró, M.N.; Sánchez, C.S.G.; González, F.N. Source Area Definition for Local Climate Zones Studies. A Systematic Review. Build. Environ. 2019, 148, 258–285. [Google Scholar] [CrossRef]
- Jenerette, G.D.; Harlan, S.L.; Buyantuev, A.; Stefanov, W.L.; Declet-Barreto, J.; Ruddell, B.L.; Myint, S.W.; Kaplan, S.; Li, X. Micro-Scale Urban Surface Temperatures Are Related to Land-Cover Features and Residential Heat Related Health Impacts in Phoenix, AZ USA. Landsc. Ecol. 2016, 31, 745–760. [Google Scholar] [CrossRef]
- Luo, P.; Yu, B.; Li, P.; Liang, P.; Liang, Y.; Yang, L. How 2D and 3D Built Environments Impact Urban Surface Temperature under Extreme Heat: A Study in Chengdu, China. Build. Environ. 2023, 231, 110035. [Google Scholar] [CrossRef]
- Greene, C.S.; Millward, A.A. Getting Closure: The Role of Urban Forest Canopy Density in Moderating Summer Surface Temperatures in a Large City. Urban Ecosyst. 2017, 20, 141–156. [Google Scholar] [CrossRef]
- Sun, Y.; Gao, C.; Li, J.; Li, W.; Ma, R. Examining Urban Thermal Environment Dynamics and Relations to Biophysical Composition and Configuration and Socio-Economic Factors: A Case Study of the Shanghai Metropolitan Region. Sustain. Cities Soc. 2018, 40, 284–295. [Google Scholar] [CrossRef]
- Chen, X.; Wang, Z.; Yang, H.; Ford, A.C.; Dawson, R.J. Impacts of Urban Densification and Vertical Growth on Urban Heat Environment: A Case Study in the 4th Ring Road Area, Zhengzhou, China. J. Clean. Prod. 2023, 410, 137247. [Google Scholar] [CrossRef]
- Wei, X.; Guan, F.; Zhang, X.; Van de Weghe, N.; Huang, H. Integrating Planar and Vertical Environmental Features for Modelling Land Surface Temperature Based on Street View Images and Land Cover Data. Build. Environ. 2023, 235, 110231. [Google Scholar] [CrossRef]
- Xu, H.; Li, C.; Hu, Y.; Li, S.; Kong, R.; Zhang, Z. Quantifying the Effects of 2D/3D Urban Landscape Patterns on Land Surface Temperature: A Perspective from Cities of Different Sizes. Build. Environ. 2023, 233, 110085. [Google Scholar] [CrossRef]
- Peel, M.C.; Finlayson, B.L.; McMahon, T.A. Updated World Map of the Köppen-Geiger Climate Classification. Hydrol. Earth Syst. Sci. 2007, 11, 1633–1644. [Google Scholar] [CrossRef]
- Oke, T.R.; Mills, G.; Christen, A.; Voogt, J.A. Urban Climates; Cambridge University Press: Cambridge, UK, 2017; ISBN 978-0-521-84950-0. [Google Scholar]
- Wang, Q.; Wang, X.; Meng, Y.; Zhou, Y.; Wang, H. Exploring the Impact of Urban Features on the Spatial Variation of Land Surface Temperature within the Diurnal Cycle. Sustain. Cities Soc. 2023, 91, 104432. [Google Scholar] [CrossRef]
- Yan, Y.; Jian, W.; Wang, B.; Liu, Z. Multi-Scale Effects of LCZ and Urban Green Infrastructure on Diurnal Land Surface Temperature Dynamics. Sustain. Cities Soc. 2024, 117, 105945. [Google Scholar] [CrossRef]
- Liu, W.; Zhang, L.; Hu, X.; Meng, Q.; Qian, J.; Gao, J.; Li, T. Nonlinear Effects of Urban Multidimensional Characteristics on Daytime and Nighttime Land Surface Temperature in Highly Urbanized Regions: A Case Study in Beijing, China. Int. J. Appl. Earth Obs. Geoinf. 2024, 132, 104067. [Google Scholar] [CrossRef]
- Yang, J.; Dong, J.; Xiao, X.; Dai, J.; Wu, C.; Xia, J.; Zhao, G.; Zhao, M.; Li, Z.; Zhang, Y.; et al. Divergent Shifts in Peak Photosynthesis Timing of Temperate and Alpine Grasslands in China. Remote Sens. Environ. 2019, 233, 111395. [Google Scholar] [CrossRef]
- Li, J.; Song, C.; Cao, L.; Zhu, F.; Meng, X.; Wu, J. Impacts of Landscape Structure on Surface Urban Heat Islands: A Case Study of Shanghai, China. Remote Sens. Environ. 2011, 115, 3249–3263. [Google Scholar] [CrossRef]
- Zhou, Y.; Zhang, G.; Jiang, L.; Chen, X.; Xie, T.; Wei, Y.; Xu, L.; Pan, Z.; An, P.; Lun, F. Mapping Local Climate Zones and Their Associated Heat Risk Issues in Beijing: Based on Open Data. Sustain. Cities Soc. 2021, 74, 103174. [Google Scholar] [CrossRef]
- Chen, T.; Guestrin, C. XGBoost: A Scalable Tree Boosting System. In Proceedings of the 22nd ACM SIGKDD International Conference on Knowledge Discovery and Data Mining, San Francisco, CA, USA, 13–17 August 2016; pp. 785–794. [Google Scholar]
- Lan, H.; Hou, H.; Gou, Z. A Machine Learning Led Investigation to Understand Individual Difference and the Human-Environment Interactive Effect on Classroom Thermal Comfort. Build. Environ. 2023, 236, 110259. [Google Scholar] [CrossRef]
- Hou, L.; Dai, Q.; Song, C.; Liu, B.; Guo, F.; Dai, T.; Li, L.; Liu, B.; Bi, X.; Zhang, Y.; et al. Supplementary Materials for Revealing Drivers of Haze Pollution by Explainable Machine Learning. Environ. Sci. Technol. Lett. 2022, 9, 112–119. [Google Scholar] [CrossRef]
- Zheng, G.; Zhang, Y.; Yue, X.; Li, K. Interpretable Prediction of Thermal Sensation for Elderly People Based on Data Sampling, Machine Learning and SHapley Additive exPlanations (SHAP). Build. Environ. 2023, 242, 110602. [Google Scholar] [CrossRef]
- Doan, Q.C.; Ma, J.; Chen, S.; Zhang, X. Nonlinear and Threshold Effects of the Built Environment, Road Vehicles and Air Pollution on Urban Vitality. Landsc. Urban Plan. 2025, 253, 105204. [Google Scholar] [CrossRef]
- Li, X.; Zhou, Y.; Asrar, G.R.; Imhoff, M.; Li, X. The Surface Urban Heat Island Response to Urban Expansion: A Panel Analysis for the Conterminous United States. Sci. Total Environ. 2017, 605–606, 426–435. [Google Scholar] [CrossRef]
- Zhang, J.; Li, Z.; Wei, Y.; Hu, D. The Impact of the Building Morphology on Microclimate and Thermal Comfort-a Case Study in Beijing. Build. Environ. 2022, 223, 109469. [Google Scholar] [CrossRef]
- Han, D.; An, H.; Wang, F.; Xu, X.; Qiao, Z.; Wang, M.; Sui, X.; Liang, S.; Hou, X.; Cai, H.; et al. Understanding Seasonal Contributions of Urban Morphology to Thermal Environment Based on Boosted Regression Tree Approach. Build. Environ. 2022, 226, 109770. [Google Scholar] [CrossRef]
- Wang, Q.; Wang, X.; Zhou, Y.; Liu, D.; Wang, H. The Dominant Factors and Influence of Urban Characteristics on Land Surface Temperature Using Random Forest Algorithm. Sustain. Cities Soc. 2022, 79, 103722. [Google Scholar] [CrossRef]
- Zeng, P.; Sun, F.; Liu, Y.; Tian, T.; Wu, J.; Dong, Q.; Peng, S.; Che, Y. The Influence of the Landscape Pattern on the Urban Land Surface Temperature Varies with the Ratio of Land Components: Insights from 2D/3D Building/Vegetation Metrics. Sustain. Cities Soc. 2022, 78, 103599. [Google Scholar] [CrossRef]
- Hidalgo-García, D.; Arco-Díaz, J. Modeling the Surface Urban Heat Island (SUHI) to Study of Its Relationship with Variations in the Thermal Field and with the Indices of Land Use in the Metropolitan Area of Granada (Spain). Sustain. Cities Soc. 2022, 87, 104166. [Google Scholar] [CrossRef]
- Huang, J.; Wang, Y. Cooling Intensity of Hybrid Landscapes in a Metropolitan Area: Relative Contribution and Marginal Effect. Sustain. Cities Soc. 2022, 79, 103725. [Google Scholar] [CrossRef]
- Yin, S.; Liu, J.; Han, Z. Relationship between Urban Morphology and Land Surface Temperature—A Case Study of Nanjing City. PLoS ONE 2022, 17, e0260205. [Google Scholar] [CrossRef]
- Zhang, Y.; Middel, A.; Turner, B.L. Evaluating the Effect of 3D Urban Form on Neighborhood Land Surface Temperature Using Google Street View and Geographically Weighted Regression. Landsc. Ecol. 2019, 34, 681–697. [Google Scholar] [CrossRef]
- Ding, Z.; Wang, H. What Are the Key and Catalytic External Factors Affecting the Vitality of Urban Blue-Green Space? A Case Study of Nanjing Main Districts, China. Ecol. Indic. 2024, 158, 111478. [Google Scholar] [CrossRef]







| Categories | Factors | Abbreviation | Description |
|---|---|---|---|
| Blue–green space | Normalized difference vegetation index | NDVI | The average NDVI in a block. |
| Percentage of landscape area occupied by trees | TPLAND | The proportional abundance of tree land within a statistical unit. | |
| Percentage of landscape area occupied by crops | CPLAND | The proportional abundance of crop land within a statistical unit. | |
| Percentage of landscape area occupied by water | WPLAND | The proportional abundance of water areas within a statistical unit. | |
| Urban form | Building height | BH | The average building height (m) in a statistical unit. |
| Building density | BD | The proportional building footprints in a statistical unit. | |
| Sky view factor | SVF | The average SVF value in a statistical unit. | |
| Population activities | Nighttime light | NTL | The mean value of NTL in a statistical unit for the detection of human activity. |
| Population density | POP | Population counts in a statistical unit. |
| LCZ Classes | Built Types | Mean Building Height | Mean Building Density | Percentage of Green Coverage | Land Use Type |
|---|---|---|---|---|---|
| 1 | Compact high-rise | >30 m | >20% | – | – |
| 2 | Compact mid-rise | 10–30 m | >20% | – | – |
| 3 | Compact low-rise | ≤10 m | >20% | – | – |
| 4 | Open high-rise | >30 m | ≤20% | – | – |
| 5 | Open mid-rise | 10–30 m | ≤20% | – | – |
| 6 | Open low-rise | ≤10 m | ≤20% | – | – |
| B | Scattered trees (e.g., urban park) | ≤10 m | ≤20% | >35% | Green land |
| LCZ | 1 | 2 | 3 | 4 | 5 | 6 | B |
|---|---|---|---|---|---|---|---|
| Average temperature | 27.47 | 27.81 | 27.82 | 27.27 | 27.26 | 27.07 | 26.32 |
| Maximum temperature | 39.99 | 41.27 | 42.08 | 39.63 | 40.39 | 40.73 | 38.93 |
| Lowest temperature | 16.32 | 15.96 | 15.18 | 16.13 | 15.57 | 15.01 | 14.32 |
| Temperature difference | 23.67 | 25.31 | 26.90 | 23.49 | 24.83 | 25.72 | 24.61 |
Disclaimer/Publisher’s Note: The statements, opinions and data contained in all publications are solely those of the individual author(s) and contributor(s) and not of MDPI and/or the editor(s). MDPI and/or the editor(s) disclaim responsibility for any injury to people or property resulting from any ideas, methods, instructions or products referred to in the content. |
© 2025 by the authors. Licensee MDPI, Basel, Switzerland. This article is an open access article distributed under the terms and conditions of the Creative Commons Attribution (CC BY) license (https://creativecommons.org/licenses/by/4.0/).
Share and Cite
Zhang, X.; Zhang, J. Exploring the Impact of Urban Characteristics on Diurnal Land Surface Temperature Based on LCZ and Machine Learning. Land 2025, 14, 1813. https://doi.org/10.3390/land14091813
Zhang X, Zhang J. Exploring the Impact of Urban Characteristics on Diurnal Land Surface Temperature Based on LCZ and Machine Learning. Land. 2025; 14(9):1813. https://doi.org/10.3390/land14091813
Chicago/Turabian StyleZhang, Xinyu, and Jun Zhang. 2025. "Exploring the Impact of Urban Characteristics on Diurnal Land Surface Temperature Based on LCZ and Machine Learning" Land 14, no. 9: 1813. https://doi.org/10.3390/land14091813
APA StyleZhang, X., & Zhang, J. (2025). Exploring the Impact of Urban Characteristics on Diurnal Land Surface Temperature Based on LCZ and Machine Learning. Land, 14(9), 1813. https://doi.org/10.3390/land14091813

