Constructing the Urban Landscape Through Heat Turbulence Fluxes as a Passive Form to Mitigate Urban Heat Islands
Abstract
1. Introduction
2. Materials and Methods
2.1. Study Site
2.2. Module Selection
2.3. Module Parameters
2.4. Computational Fluid Dynamics
2.4.1. Processing Characteristics
Characteristics Considered for Analysis to Model Processing in Ansys Fluent
- Temporal formulation: Transient state, analysis every hour.
- The orientation of the mesh: North-“x”, east- “z”, and gravity acceleration- “z”.
- Radiation: Surface to surface (S2S) with solar change calculated from the geographical coordinates of the chosen study sites, date, and hour of analysis.
- Turbulence: Dissipation model of k-epsilon energy with improved wall treatment.
- Analysis with heat transfer employing the energy equation and density modeled with the ideal gas law, which is not comprehensible for the density calculation.
Wind Data to Ventilation Analysis in Spaces with Ansys and Calibration
Radiative Properties
2.4.2. Simulation Model Validation
2.4.3. Statistical Analysis
3. Results and Discussion
3.1. Radiative Properties or Spectrophotometry
3.2. Air Temperature Behavior, Numerical Simulation
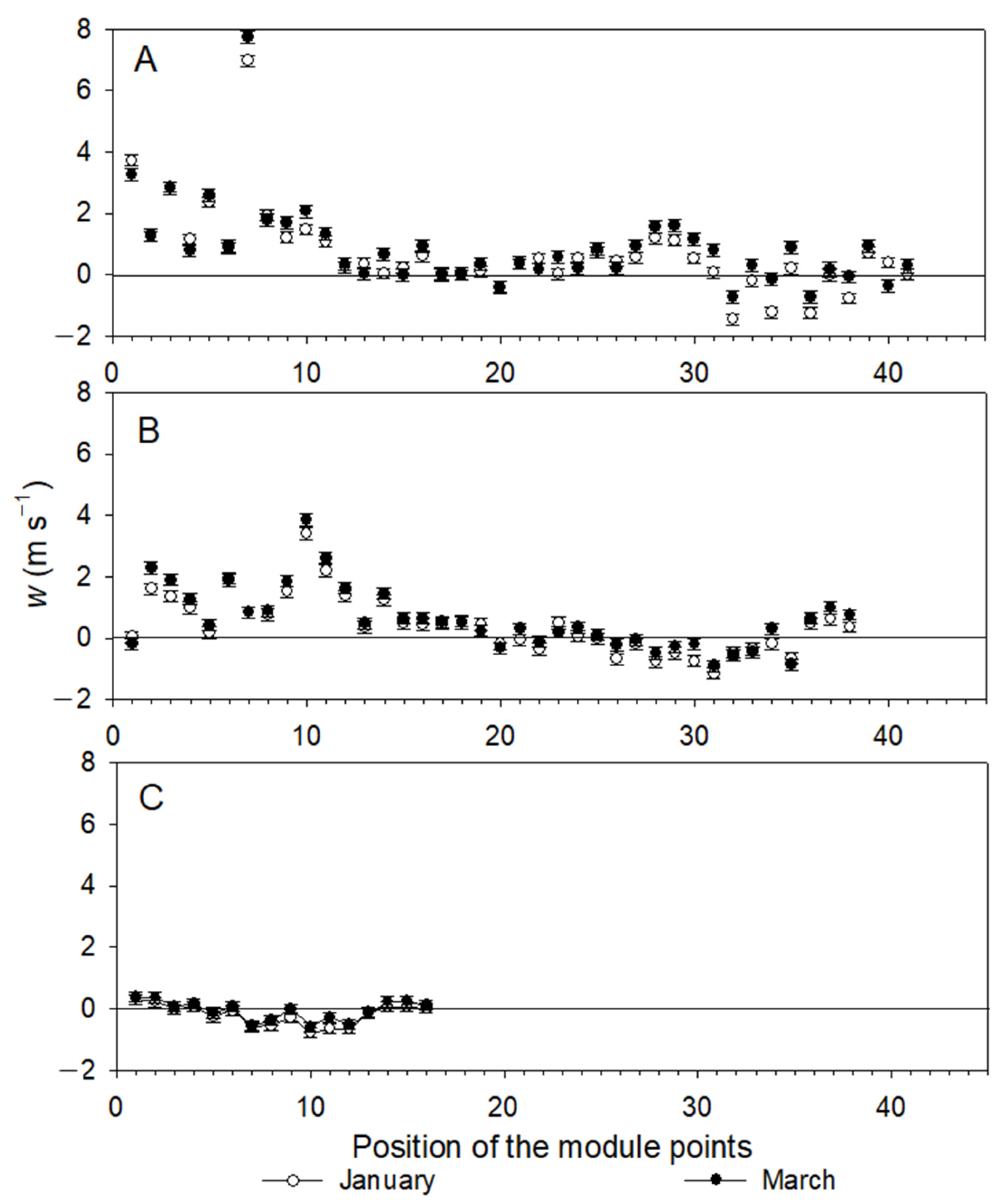
3.3. Vertical Wind Behavior
4. Conclusions
Supplementary Materials
Author Contributions
Funding
Data Availability Statement
Acknowledgments
Conflicts of Interest
References
- Solecki, W.D.; Rosenzweig, C.; Parshall, L.; Pope, G.; Clark, M.; Cox, J.; Wiencke, M. Mitigation of the heat island effect in urban New Jersey. Glob. Environ. Change Part B Environ. Hazards 2005, 6, 39–49. [Google Scholar] [CrossRef]
- Díaz, M. Cálculo del Cambio de Temperatura Atmosférica Debido al Cambio de Albedo. Aplicación Para la Ciudad de México Mediante la Implementación de “Techos Verdes”. Bachelor’s Thesis, Facultad de Ciencias, UNAM, Mexico City, Mexico, 2008. [Google Scholar]
- Chandler, T.J. London’s urban climate. Geogr. J. 1962, 8, 279–298. [Google Scholar] [CrossRef]
- Oke, T.R. The heat island of the urban boundary layer: Characteristics, causes and effects. In Wind Climate in Cities, 1st ed.; Cermak, J.E., Davenport, A.G., Plate, E.J., Viegas, D.X., Eds.; Springer: Dordrecht, The Netherlands, 1995; Volume 277, pp. 81–197. [Google Scholar]
- Santamouris, M.; Synnefa, A.; Karlessi, T. Using advanced cool materials in the urban built environment to mitigate heat islands and improve thermal comfort conditions. Sol. Energy 2011, 85, 3085–3102. [Google Scholar] [CrossRef]
- Ballinas, M.; Barradas, V.L. The urban tree as a tool to mitigate the urban heat island in Mexico City: A simple phenomenological model. J. Environ. Qual. 2016, 45, 157–166. [Google Scholar] [CrossRef] [PubMed]
- Ballinas, M. Mitigación de la Isla de Calor Urbana: Estudio de Caso de la Zona Metropolitana de la Ciudad de México. Master’s Thesis, Centro de Ciencias de la Atmósfera-Instituto de Ecología, UNAM, Mexico City, Mexico, 2011. [Google Scholar]
- Jauregui, E. Impact of land-use changes on the climate of the Mexico City region. Investig. Geogr. 2012, 46. [Google Scholar] [CrossRef]
- Valger, S.A.; Fedorova, N.N. Numerical simulation of heat and mass transfer in air in vicinity of bluff body. J. Phys. 2018, 1105, 12–17. [Google Scholar] [CrossRef]
- Hayes, A.T.; Jandaghian, Z.; Lacasse, M.A.; Gaur, A.; Lu, H.; Laouadi, A.; Ge, H.; Wang, L. Nature-based solutions (nbss) to mitigate urban heat island (UHI) effects in Canadian cities. Buildings 2022, 12, 925. [Google Scholar] [CrossRef]
- Takebayashi, H.; Okubo, M.; Danno, H. Thermal environment map in street canyon for implementing extreme high temperature measures. Atmosphere 2020, 11, 550. [Google Scholar] [CrossRef]
- Hong, T.; Xu, Y.; Sun, K.; Zhang, W.; Luo, X.; Hooper, B. Urban microclimate and its impact on building performance: A case study of San Francisco. Urban Clim. 2021, 38, 100871. [Google Scholar] [CrossRef]
- Coutts, A.M.; Beringer, J.; Tapper, N.J. Impact of increasing urban density on local climate: Spatial and temporal variations in the surface energy balance in Melbourne, Australia. J. Appl. Meteorol. Clim. 2007, 46, 477–493. [Google Scholar] [CrossRef]
- Pattacini, L. Climate and urban form. Urban Des. Int. 2012, 17, 106–114. [Google Scholar] [CrossRef]
- Baklanov, A.; Molina, L.T.; Gauss, M.M. Megacities, air quality and climate. Atmos. Environ. 2016, 126, 235–249. [Google Scholar] [CrossRef]
- Ryu, Y.H.; Baik, J.J.; Lee, S.H. A new single-layer urban canopy model for use in mesoscale atmospheric models. J. Appl. Meteorol. Clim. 2011, 50, 1773–1794. [Google Scholar] [CrossRef]
- Barradas, V.L. Evidencia del efecto de la isla térmica en Jalapa, Veracruz, México. Geofisica 1987, 26, 125–135. [Google Scholar]
- Ballinas, M.; Barradas, V.L. Transpiration and stomatal conductance as potential mechanisms to mitigate the heat load in Mexico City. Urban For. Urban Green. 2016, 20, 152–159. [Google Scholar] [CrossRef]
- Bonifacio-Bautista, M.; Ballinas, M.; Jazcilevich, A.; Barradas, V.L. Estimation of anthropogenic heat release in Mexico City. Urban Clim. 2022, 43, 101158. [Google Scholar] [CrossRef]
- Kumar, P.; Debele, S.E.; Khalili, S.; Halios, C.H.; Sahani, J.; Aghamohammadi, N.; de Fatima Andrade, M.; Athanassiadou, M.; Bhui, K.; Calvillo, N.; et al. Urban heat mitigation by green and blue infrastructure: Drivers, effectiveness, and future needs. Innovation 2024, 5, 100588. [Google Scholar] [CrossRef]
- Irfeey, A.M.M.; Chau, H.W.; Sumaiya, M.M.F.; Wai, C.Y.; Muttil, N.; Jamei, E. Sustainable mitigation strategies for urban heat island effects in urban areas. Sustainability 2023, 15, 10767. [Google Scholar] [CrossRef]
- Aboelata, A.; Sodoudi, S. Evaluating the effect of trees on UHI mitigation and reduction of energy usage in different built-up areas in Cairo. Build. Environ. 2020, 168, 106490. [Google Scholar] [CrossRef]
- Internacional Energy Agency (IEA). Manual de Estadísticas Energéticas. Available online: https://www.iea.org/reports/energy-statistics-manual-2 (accessed on 15 July 2025).
- Ramos-Gutiérrez, L.D.J.; Montenegro-Fragoso, M. La generación de energía eléctrica en México. Tecnol. Cienc. Agua 2012, 3, 197–211. [Google Scholar]
- Secretaría del Medio Ambiente de la Ciudad de México. Calidad del Aire en la Ciudad de México, Infograma: El Consumo Energético en la Ciudad de México. Dirección General de Calidad del Aire, Dirección de Monitoreo de Calidad del Aire. Available online: http://www.aire.cdmx.gob.mx/descargas/publicaciones/simat-infograma-consumo-energetico.pdf (accessed on 25 July 2025).
- Ramos, G.; Heard, C.; Viveros, A.S. Simulación de escenarios de ahorro y uso eficiente de energía con medidas de control pasivo. Rev. FIDE 1998, 7, 17–29. [Google Scholar]
- Ballinas, M.; Morales-Santiago, S.I.; Barradas, V.L.; Lira, A.; Oliva-Salinas, G. Is PET an adequate index to determine human thermal comfort in Mexico City? Sustainability 2022, 14, 12539. [Google Scholar] [CrossRef]
- Kosutova, K.; Van Hooff, T.; Vanderwel, C.; Blocken, B.; Hensen, J. Cross-ventilation in a generic isolated building equipped with louvers: Wind-tunnel experiments and CFD simulations. Build. Environ. 2019, 154, 263–280. [Google Scholar] [CrossRef]
- Geetha, N.B.; Velraj, R.J.E.E.S. Passive cooling methods for energy efficient buildings with and without thermal energy storage—A review. Energy Educ. Sci. Technol. Part A Energy Sci. Res 2012, 29, 913–946. [Google Scholar]
- Nikou, M.K.; Ehsani, M.R. Turbulence models application on CFD simulation of hydrodynamics, heat and mass transfer in a structured packing. Int. Commun. Heat Mass Transf. 2008, 35, 1211–1219. [Google Scholar] [CrossRef]
- Ahmad, A.H.; Abu Bakar, A.F.; Osman, S.A. CFD Analysis of Thermal Conditions and Airflow Patterns in Commercial Laundry Facility using ANSYS Fluent Simulation. J. Adv. Res. Fluid Mech. Therm. Sci. 2025, 126, 106–126. [Google Scholar] [CrossRef]
- Li, Y.; Nielsen, P.V. CFD and ventilation research. Indoor Air 2011, 21, 442–453. [Google Scholar] [CrossRef]
- Thordal, M.S.; Bennetsen, J.C.; Koss, H.H.H. Review for practical application of CFD for the determination of wind load on high-rise buildings. J. Wind. Eng. Ind. Aerodyn. 2019, 186, 155–168. [Google Scholar] [CrossRef]
- Mittal, H.; Sharma, A.; Gairola, A. A review on the study of urban wind at the pedestrian level around buildings. J. Build. Eng. 2018, 18, 154–163. [Google Scholar] [CrossRef]
- Instituto Nacional de Estadística y Geografía (INEGI). Aspectos Geográficos de Ciudad de México: Compendio 2022. Ciudad de México. 2022. Available online: http://www.inegi.org.mx/contenidos/productos/prod_serv/contenidos/espanol/bvinegi/productos/nueva_estruc/889463912972.pdf (accessed on 30 July 2025).
- Servicio Meteorológico Nacional (SMN). Normales Climatológicas. Ciudad de México. 2025. Available online: https://smn.conagua.gob.mx/es/climatologia/informacion-climatologica/normales-climatologicas-por-estado (accessed on 15 July 2025).
- Instituto Nacional de Estadística y Geografía (INEGI). Síntesis Metodológica y Conceptual de la Infraestructura y Características del Entorno Urbano del Censo de Población y Vivienda 2010; INEGI: Ciudad de México, Mexico, 2019. [Google Scholar]
- Oke, T.R.; Cleugh, H.A. Urban heat storage derived as energy balance residuals. Bound.-Layer Meteorol. 1987, 39, 233–245. [Google Scholar] [CrossRef]
- Grimmond, C.S.B.; Oke, T.R. Aerodynamic properties of urban areas derived from analysis of surface form. J. Appl. Meteorol. 1999, 38, 1262–1292. [Google Scholar] [CrossRef]
- Ansys. Available online: www.ansys.com (accessed on 8 August 2025).
- Perera, N.G.R.; Samanthilaka, K.P.P.R. Effect of street canyon materials on the Urban Heat Island phenomenon in Colombo. In Proceedings of the Conference Cities, People Places—ICCPP-2014, Colombo, Sri Lanka, 31 October–2 November 2014. [Google Scholar]
- Hernández Bernardino, J.C. Análisis Integral de Materiales de Azotea, Para la Construcción de Una Política Pública de Mitigación de la Isla de Calor Urbana, para la Ciudad de México, un Enfoque Desde la Sostenibilidad. Master’s Thesis, Posgrado en Ciencias de la Sostenibilidad, Instituto de Ecología, UNAM, Ciudad de México, Mexico.
- Shirzadi, M.; Tominaga, T. CFD evaluation of mean and turbulent wind characteristics around the Urban Heat Island. Build. Eviron. 2022, 225, 109637. [Google Scholar]
- Gagliano, A.; Nocera, F.; Aneli, S. Computational Fluid Dynamics analysis for evaluating the Urban Heat Island effects. Energy Procedia 2017, 134, 508–517. [Google Scholar] [CrossRef]
- Toparlar, Y.; Blockena, B.; Maiheub, B.; van Heijstd, G.J.F. A review on the CFD analysis of urban microclimate. Renew. Sustain. Energy Rev. 2017, 80, 1613–1640. [Google Scholar] [CrossRef]
- Yahia, M.W.; Johansson, E. Landscape interventions in improving thermal comfort in the hot dry city of Damascus, Syria—The example of residential spaces with detached buildings. Landsc. Urban Plan. 2014, 125, 1–16. [Google Scholar] [CrossRef]
- Yahia, M.W.; Johansson, E.; Thorsson, S.; Lindberg, F.; Rasmussen, M.I. Effect of urban design on microclimate and thermal comfort outdoors in warm-humid Dar es Salaam, Tanzania. Int. J. Biometeorol. 2018, 62, 373–385. [Google Scholar] [CrossRef]
- Salata, F.; Golasi, I.; de Lieto Vollaro, R.; de Lieto Vollaro, A. Urban microclimate and outdoor thermal comfort. A proper procedure to fit ENVI-met simulation outputs to experimental data. Sustain. Cities Soc. 2016, 26, 318–343. [Google Scholar] [CrossRef]
- Yang, W.; Lin, Y.; Li, C.Q. Effects of landscape design on urban microclimate and thermal comfort in tropical climate. Adv. Meteorol. 2018, 2809649. [Google Scholar] [CrossRef]
- Mohaher, H.R.H.; Ding, L.; Santamouris, M. Developing heat mitigation strategies in the urban environment of Sydney, Australia. Buildings 2022, 12, 903. [Google Scholar] [CrossRef]






| NAR | ESC | SFE | |
|---|---|---|---|
| % Cover | |||
| Vegetation | 8.1 | 15.4 | 15.7 | 
| Asphalt | 28.4 | 21.7 | 32.9 | 
| Concrete | 4.7 | 4.6 | 2.8 | 
| Bare soil | 1.6 | 0 | 10 | 
| Buildings | 57.3 | 58.3 | 38.6 | 
| Module | Number of Elements | Orthogonal Quality | Bias | 
|---|---|---|---|
| Narvarte | 864,582 | 0.99 ± 0.040 | 0.23 ± 0.80 | 
| Escandon | 475,135 | 0.99 ± 0.049 | 0.022 ± 0.11 | 
| Santa Fe | 1,885,137 | 0.99 ± 0.040 | 0.017 ± 0.10 | 
| Coloration Analogy | Radiation | |
|---|---|---|
| Absorbance | Emittance | |
| Medium gray to dark/concrete | 0.58 | 0.9 | 
| White to light gray/white acrylic waterproofing | 0.43 | 0.89 | 
| Red/red acrylic waterproofing | 0.71 | 0.88 | 
| Asphalt street/paved road | 0.87 | 0.93 | 
| Pinkish/stone light pink | 0.65 | 0.87 | 
| Coloring similar to copper/copper | 0.64 | 0.7 | 
| Beige/dry sand | 0.45 | 0.84 | 
| Red to purple/red-brown linoleum | 0.84 | 0.92 | 
| Orange to Yellow-reddish/red septum | 0.55 | 0.92 | 
| Glass | ||
| Solar transmittance | 0.771 | |
| Solar reflection | 0.07 | |
| Solar absorbance | 0.159 | |
| Visible reflectance | 0.884 | |
| Visible absorptance | 0.036 | |
| Infrared emittance | 0.84 | |
| Infrared transmittance | 0 | |
| Urban Parameters | Narvarte | Escandon | Santa Fe | 
|---|---|---|---|
| Density area (λP) | 0.57 | 0.58 | 0.25 | 
| Frontal density area (λF) | 0.13 | 0.12 | 0.44 | 
| Object height (z) (m) | 9.80 | 11.3 | 124.2 | 
| Roughness length (z0) (m) | 0.5 | 0.51 | 27.1 | 
| Zero displacement (d) (m) | 7.0 | 8.1 | 54.0 | 
| Aerodynamic resistance (s·m−1) | 1.75 | 2.92 | 1.62 | 
| Disclaimer/Publisher’s Note: The statements, opinions and data contained in all publications are solely those of the individual author(s) and contributor(s) and not of MDPI and/or the editor(s). MDPI and/or the editor(s) disclaim responsibility for any injury to people or property resulting from any ideas, methods, instructions or products referred to in the content. | 
© 2025 by the authors. Licensee MDPI, Basel, Switzerland. This article is an open access article distributed under the terms and conditions of the Creative Commons Attribution (CC BY) license (https://creativecommons.org/licenses/by/4.0/).
Share and Cite
Ballinas, M.; Vilchis-Martínez, S.R.S.; Lira-Oliver, A.; Oliva Salinas, J.G.; Barradas, V.L. Constructing the Urban Landscape Through Heat Turbulence Fluxes as a Passive Form to Mitigate Urban Heat Islands. Land 2025, 14, 2013. https://doi.org/10.3390/land14102013
Ballinas M, Vilchis-Martínez SRS, Lira-Oliver A, Oliva Salinas JG, Barradas VL. Constructing the Urban Landscape Through Heat Turbulence Fluxes as a Passive Form to Mitigate Urban Heat Islands. Land. 2025; 14(10):2013. https://doi.org/10.3390/land14102013
Chicago/Turabian StyleBallinas, Monica, Sean Rodolfo S. Vilchis-Martínez, Adriana Lira-Oliver, Juan Gerardo Oliva Salinas, and Victor L. Barradas. 2025. "Constructing the Urban Landscape Through Heat Turbulence Fluxes as a Passive Form to Mitigate Urban Heat Islands" Land 14, no. 10: 2013. https://doi.org/10.3390/land14102013
APA StyleBallinas, M., Vilchis-Martínez, S. R. S., Lira-Oliver, A., Oliva Salinas, J. G., & Barradas, V. L. (2025). Constructing the Urban Landscape Through Heat Turbulence Fluxes as a Passive Form to Mitigate Urban Heat Islands. Land, 14(10), 2013. https://doi.org/10.3390/land14102013
 
        


 
       