Characteristics, Sources, and Risk Assessment of Polycyclic Aromatic Hydrocarbons in Soils and Sediments in the Yellow River Delta, China
Abstract
1. Introduction
2. Materials and Methods
2.1. Study Area
2.2. Sample Collection
2.3. Sample Extraction, Analysis, and Quality Control
2.4. Ecological Risk Assessment
2.4.1. Toxicity Equivalent Quotient (TEQ)
2.4.2. Effect Range Low/Effect Range Median (ERL/ERM)
2.5. Health Risk Assessment
Incremental Lifetime Cancer Risk (ILCR)
2.6. Statistical Analysis
3. Results and Discussion
3.1. PAH Concentration
3.1.1. PAH Concentrations in Uncultivated Land Soil in the YRD
3.1.2. PAH Concentrations in Coastal Beach Sediments near the Yellow River Estuary
3.2. Spatial Distribution of the PAHs
3.3. PAH Composition
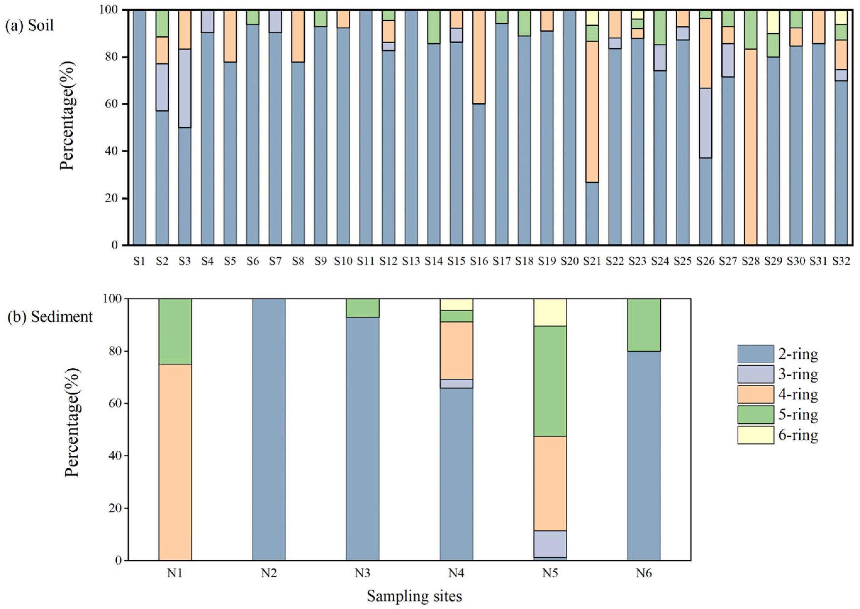
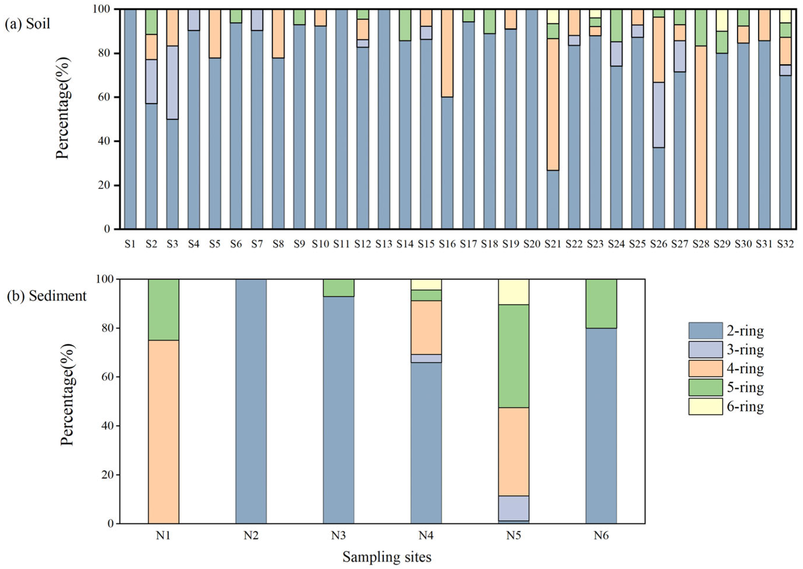
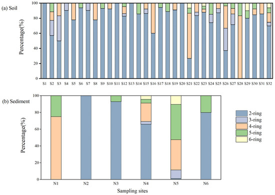
3.3.1. PAH Composition in Uncultivated Land Soils in the YRD
3.3.2. PAH Composition in Coastal Beach Sediments near the Yellow River Estuary
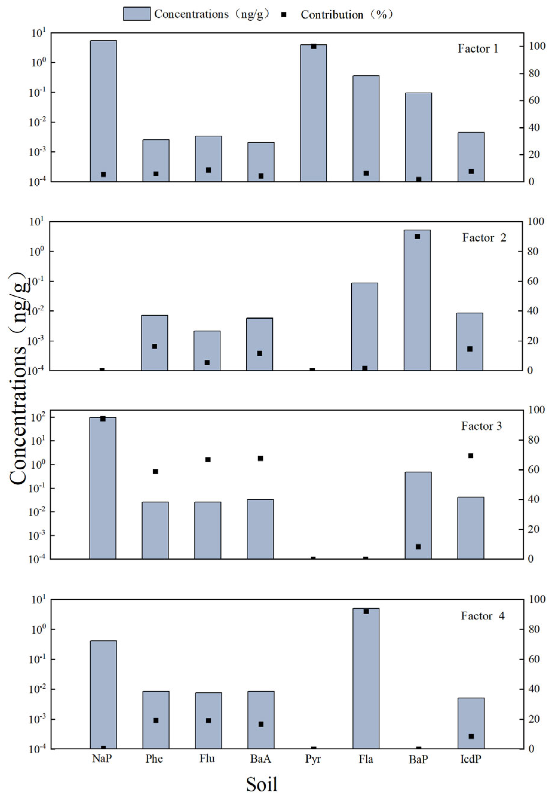
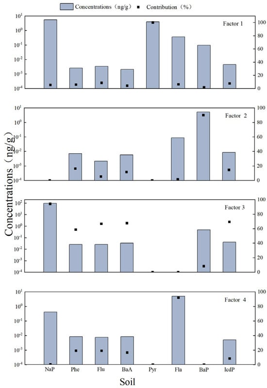
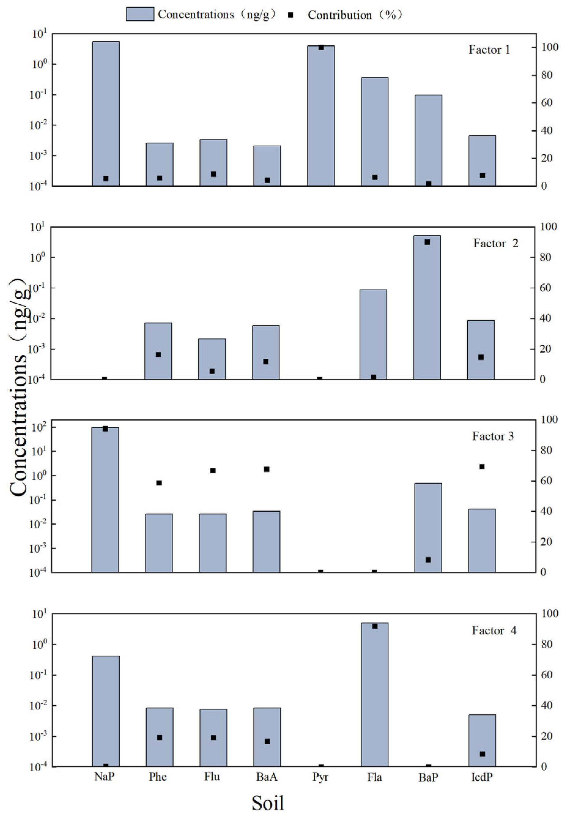
3.4. Source Apportionment
3.5. Ecological Risk Assessment of the PAHs in the Soils and Sediments
3.5.1. Ecological Risk Results Based on TEQ
3.5.2. Ecological Risk Results Based on ERL/ERM Thresholds
3.6. Health Risk Assessment of the Soil PAHs
4. Conclusions
Author Contributions
Funding
Data Availability Statement
Conflicts of Interest
Correction Statement
References
- Menzie, C.A.; Potocki, B.B.; Santodonato, J. Exposure to carcinogenic PAHs in the environment. Environ. Sci. Technol. 1992, 26, 1278–1284. [Google Scholar] [CrossRef]
- Cetin, B.; Yurdakul, S.; Gungormus, E.; Ozturk, F.; Sofuoglu, S.C. Source apportionment and carcinogenic risk assessment of passive air sampler-derived PAHs and PCBs in a heavily industrialized region. Sci. Total Environ. 2018, 633, 30–41. [Google Scholar] [CrossRef] [PubMed]
- Huang, Y.; Wang, A.; Yuan, G.; Li, H.; Huang, D. The content characteristics and source analysis of polycyclic aromatic hydrocarbons in topsoil of Beijing city. Rock Miner. Anal. 2022, 41, 54–65. [Google Scholar]
- Gu, Y.G.; Lin, Q.; Lu, T.T.; Ke, C.L.; Sun, R.X.; Du, F.Y. Levels, composition profiles and sources of polycyclic aromatic hydrocarbons in surface sediments from Nan’ao Island, a representative mariculture base in south China. Mar. Pollut. Bull. 2013, 75, 310–316. [Google Scholar] [CrossRef] [PubMed]
- Jia, X.; Yang, D.; Li, Y.; Zhu, X.; Zhang, L.; Wang, J. Application of the PDMS Passive Sampling Method to Assess Bioavailability and Health Risks Associated with PAH-Contaminated Soil. Sustainability 2023, 15, 9027. [Google Scholar] [CrossRef]
- Zhang, X.; Wang, X.; Wu, F.; Liang, W.; Wang, S.; Liang, J.; Zhao, X.; Wu, F. Machine learning models to predict the bio-accessibility of parent and substituted polycyclic aromatic hydrocarbons (PAHs) in food: Impact on accurate health risk as-sessment. J. Hazard. Mater. 2024, 480, 136102. [Google Scholar] [CrossRef]
- Kuenzer, C.; Ottinger, M.; Liu, G.; Sun, B.; Baumhauer, R.; Dech, S. Earth observation-based coastal zone monitoring of the Yellow River Delta: Dynamics in China’s second largest oil producing region over four decades. Appl. Geogr. 2014, 55, 92–107. [Google Scholar] [CrossRef]
- Du, W.; Wan, Y.; Zhong, N.; Fei, J.; Zhang, Z. Current status of petroleum-contaminated soils and sediments. J. Wuhan Univ. 2011, 57, 311–322. [Google Scholar]
- Li, X.; Hou, X.; Song, Y.; Shan, K.; Zhu, S.; Yu, X.; Mo, X. Assessing changes of habitat quality for shorebirds in stopover sites: A case study in yellow river delta, china. Wetlands 2018, 39, 67–77. [Google Scholar] [CrossRef]
- HJ 805-2016; Soil and Sediment—Determination of Polycyclic Aromatic Hydrocarbons—Gas Chromatography-Mass Spectrometry. Ministry of Environmental Protection of the People’s Republic of China: Beijing, China, 2016.
- Nisbet, I.C.T.; Lagoy, P.K. Toxic equivalency factors (TEFs) for polycyclic aromatic hydrocarbons (PAHs). Regul. Toxicol. Pharmacol. 1992, 16, 290–300. [Google Scholar] [CrossRef]
- Long, E.R.; Macdonald, D.D.; Smith, S.L.; Calder, F.D. Incidence of adverse biological effects within ranges of chemical concentrations in marine and estuarine sediments. Environ. Manag. 1995, 19, 81–97. [Google Scholar] [CrossRef]
- Liu, G.; Niu, J.; Guo, W.; An, X.; Zhao, L. Ecological and health risk-based characterization of agricultural soils contaminated with polycyclic aromatic hydrocarbons in the vicinity of a chemical plant in China. Chemosphere 2016, 163, 461–470. [Google Scholar] [CrossRef]
- Zhang, J.; Li, B.; Bi, E.; Hao, Z.; Huang, J. Pollutant characteristics and risk assessment of polycyclic aromatic hydrocarbons in the sediment of the north canal basin (Beijing section). Res. Environ. Sci. 2019, 32, 1852–1860. [Google Scholar]
- Yu, X.; Ding, Y. Advances of studies on the environmental distribution of polycyclic aromatic hydrocarbons and its bi-oremediation. J. Dalian Marit. Univ. 2004, 30, 55–59. [Google Scholar]
- Onjia, A. Concentration unit mistakes in health risk assessment of polycyclic aromatic hydrocarbons in soil, sediment, and indoor/road dust. Front. Environ. Sci. 2024, 12, 1370397. [Google Scholar] [CrossRef]
- Qiu, H.; Liu, Y.-X.; Xie, X.-F.; Zhang, M.; Wang, W. Distribution characteristics and source analysis of polycyclic aromatic hydrocarbons in salinized farmland soil from the oil mining area of the yellow river delta. Environ. Sci. 2019, 40, 3509–3518. [Google Scholar]
- Guo, X. Study on the Organic Pollution Status and Source Identification of PAHs in Soils of the Yellow River Delta Region. Master’s Thesis, Ocean University of China, Qingdao, China, 2008. [Google Scholar]
- Yuan, H.; Ye, S.; Gao, M.; He, X. Distribution of polycyclic aromatic hydrocarbons in the surface soil of southern wetland of the Yellow River Delta and ecological risk assessment. Mar. Geol. Front. 2011, 27, 24–28. [Google Scholar]
- Xie, W.; Chen, A.; Li, J.; Liu, Q.; Yang, H.; Lu, Z. County-scale distribution of polycyclic aromatic hydrocarbons in topsoil of the Yellow River Delta Region. J. Environ. Sci. Health Part A 2012, 47, 1419–1427. [Google Scholar] [CrossRef]
- Han, L.; Gao, Z.; Bai, J.; Wen, X.; Zhang, G.; Wang, W. PAHs in surface wetland soils of the Pearl River Delta affected by urbanization: Levels, sources, and toxic risks. J. Agro-Environ. Sci. 2019, 38, 609–617. [Google Scholar]
- Ma, C.; Ye, S.; Lin, T.; Ding, X.; Yuan, H.; Guo, Z. Source apportionment of polycyclic aromatic hydrocarbons in soils of wetlands in the Liao River Delta, Northeast China. Mar. Pollut. Bull. 2014, 80, 160–167. [Google Scholar] [CrossRef]
- Huang, W.; Wang, Z.; Yan, W. Distribution and sources of polycyclic aromatic hydrocarbons (PAHs) in sediments from Zhanjiang Bay and Leizhou Bay, South China. Mar. Pollut. Bull. 2012, 64, 1962–1969. [Google Scholar] [CrossRef]
- Chen, P. Pollution characteristics and health risk assessment of soil polycyclic aromatic hydrocarbons in road green belts in Shanghai. J. Zhejiang Agric. Sci. 2020, 61, 1598–1600+1604. [Google Scholar]
- Zhang, H.; Wang, J.; Bao, H.; Li, J.; Wu, F. Polycyclic aromatic hydrocarbons in urban soils of zhengzhou city, china: Occurrence, source and human health evaluation. Bull. Environ. Contam. Toxicol. 2020, 105, 446–452. [Google Scholar] [CrossRef] [PubMed]
- Zhang, J.; Fan, S.; Du, X.; Yang, J.; Wang, W.; Hou, H.; Johnson, S.J. Accumulation, allocation, and risk assessment of polycyclic aromatic hydrocarbons (pahs) in soil-brassica chinensis system. PLoS ONE 2015, 10, e0115863. [Google Scholar] [CrossRef]
- Xu, P.; Tao, B.; Ye, Z.; Zhao, H.; Ren, Y.; Zhang, T.; Huang, Y.; Chen, J. Polycyclic aromatic hydrocarbon concentrations, compositions, sources, and associated carcinogenic risks to humans in farmland soils and riverine sediments from Guiyu, China. J. Environ. Sci. 2016, 48, 102–111. [Google Scholar] [CrossRef]
- Shi, B.; Wu, Q.; Ouyang, H.; Liu, X.; Ma, B.; Zuo, W.; Chen, S. Distribution and source apportionment of polycyclic aromatic hydrocarbons in soils and leaves from high-altitude mountains in southwestern china. J. Environ. Qual. 2014, 43, 1942–1952. [Google Scholar] [CrossRef]
- Jia, T.; Guo, W.; Xing, Y.; Lei, R.; Wu, X.; Sun, S.; He, Y.; Liu, W. Spatial distributions and sources of PAHs in soil in chemical industry parks in the Yangtze River Delta, China. Environ. Pollut. 2021, 283, 117121. [Google Scholar] [CrossRef]
- Liu, X.; Bai, Z.; Yu, Q.; Cao, Y.; Zhou, W. Polycyclic aromatic hydrocarbons in the soil profiles (0–100 cm) from the industrial district of a large open-pit coal mine, China. RSC Adv. 2017, 7, 28029–28037. [Google Scholar] [CrossRef]
- Zhu, Y.; Tian, J.; Wei, E.; Wei, F. Characteristics, sources apportionment and ecological risks assessment of polycyclic ar-omatic hydrocarbons in soils of Tianjin, China. Environ. Chem. 2014, 33, 248–255. [Google Scholar]
- Konstantinova, E.; Minkina, T.; Sushkova, S.; Antonenko, E.; Konstantinov, A. Levels, sources, and toxicity assessment of polycyclic aromatic hydrocarbons in urban topsoils of an intensively developing Western Siberian city. Environ. Geochem. Health 2019, 42, 325–341. [Google Scholar] [CrossRef]
- Liu, Y.; Gao, P.; Su, J.; da Silva, E.B.; de Oliveira, L.M.; Townsend, T.; Xiang, P.; Ma, L.Q. PAHs in urban soils of two Florida cities: Background concentrations, distribution, and sources. Chemosphere 2019, 214, 220–227. [Google Scholar] [CrossRef] [PubMed]
- Alsbou, E.; Zaitoun, M.A.; Alasoufi, A.M.; Al Shra’ah, A. Concentration and source assessment of polycyclic aromatic hydrocarbons in the street soil of ma’an city, jordan. Arch. Environ. Contam. Toxicol. 2019, 77, 619–630. [Google Scholar] [CrossRef] [PubMed]
- Kim, S.-J.; Park, M.-K.; Lee, S.-E.; Go, H.-J.; Cho, B.-C.; Lee, Y.-S.; Choi, S.-D. Impact of traffic volumes on levels, patterns, and toxicity of polycyclic aromatic hydrocarbons in roadside soils. Environ. Sci. Process. Impacts 2019, 21, 174–182. [Google Scholar] [CrossRef]
- Wan, H.; Zhou, J.; Luo, D.; Yang, H.; Huang, C.; Huang, T. Distribution, source characteristics and ecological risk assessment of polycyclic aromatic hydrocarbons in surface sediments of lakes along the middle reaches of the Yangtze River. J. Lake Sci. 2020, 32, 1632–1645. [Google Scholar] [CrossRef]
- Maliszewska-Kordybach, B. Polycyclic aromatic hydrocarbons in agricultural soils in Poland: Preliminary proposals for criteria to evaluate the level of soil contamination. Appl. Geochem. 1996, 11, 121–127. [Google Scholar] [CrossRef]
- Xu, S.; Tao, P.; Li, Y.; Guo, Q.; Zhang, Y.; Wang, M.; Jia, H.; Shao, M. Distribution, source, and ecological risk assessment of polycyclic aromatic hydrocarbons in surface sediment of liaodong bay, northeast china. IOP Conf. Ser. Mater. Sci. Eng. 2018, 301, 012156. [Google Scholar] [CrossRef]
- Han, B.; Liu, A.; Wang, S.; Lin, F.; Zheng, L. Concentration level, distribution model, source analysis, and ecological risk assessment of polycyclic aromatic hydrocarbons in sediments from laizhou bay, China. Mar. Pollut. Bull. 2020, 150, 110690. [Google Scholar] [CrossRef]
- Han, B.; Liu, A.; Gong, J.; Li, Q.; He, X.; Zhao, J.; Zheng, L. Spatial distribution, source analysis, and ecological risk assessment of polycyclic aromatic hydrocarbons (PAHs) in the sediments from rivers emptying into Jiaozhou Bay, China. Mar. Pollut. Bull. 2021, 168, 112394. [Google Scholar] [CrossRef]
- Han, B.; Lin, F.; Ding, Y.; Zheng, L. Distribution characteristics, sources, and ecological risk assessment of polycyclic aro-matic hydrocarbons in sediments from Haizhou Bay, China. Hum. Ecol. Risk. Assess. 2018, 24, 847–858. [Google Scholar] [CrossRef]
- Adeleye, A.O.; Jin, H.; Di, Y.; Li, D.; Chen, J.; Ye, Y. Distribution and ecological risk of organic pollutants in the sediments and seafood of Yangtze Estuary and Hangzhou Bay, East China Sea. Sci. Total. Environ. 2016, 541, 1540–1548. [Google Scholar] [CrossRef]
- Cheng, Q.-M.; Huang, Q.; Liao, Z.-N.; Su, L.; Liu, X.-Q.; Tang, J.-F. Risk assessment and analysis of polycyclic aromatic hydrocarbons in the surface sediments of Xinglin Bay Suburb Rivers of Xiamen. Huanjing Kexue 2015, 36, 179–185. [Google Scholar] [PubMed]
- Lu, Z.Q.; Kang, B.; Ma, L.; Zhao, X. Distribution and sources of polycyclic aromatic hydrocarbons in marine sediments of areas affected by oil spills in Beibu Gulf, China. Appl. Ecol. Environ. Res. 2018, 16, 1697–1710. [Google Scholar] [CrossRef]
- Agah, H.; Mehdinia, A.; Bastami, K.D.; Rahmanpour, S. Polycyclic aromatic hydrocarbon pollution in the surface water and sediments of Chabahar Bay, Oman Sea. Mar. Pollut. Bull. 2017, 115, 515–524. [Google Scholar] [CrossRef] [PubMed]
- Khazaali, A.; Kunzmann, A.; Bastami, K.D.; Baniamam, M. Baseline of polycyclic aromatic hydrocarbons in the surface sediment and sea cucumbers (Holothuria leucospilota and Stichopus hermanni) in the northern parts of Persian Gulf. Mar. Pollut. Bull. 2016, 110, 539–545. [Google Scholar] [CrossRef]
- Wang, Z.; Liu, Z.; Xu, K.; Mayer, L.M.; Zhang, Z.; Kolker, A.S.; Wu, W. Concentrations and sources of polycyclic aromatic hydrocarbons in surface coastal sediments of the northern Gulf of Mexico. Geochem. Trans. 2014, 15, 2. [Google Scholar] [CrossRef]
- Qi, Y.; Wu, Y.; Zhi, Q.; Zhang, Z.; Zhao, Y.; Fu, G. Effects of Polycyclic Aromatic Hydrocarbons on the Composition of the Soil Bacterial Communities in the Tidal Flat Wetlands of the Yellow River Delta of China. Microorganisms 2024, 12, 141. [Google Scholar] [CrossRef]
- Murray, N.J.; Phinn, S.R.; DeWitt, M.; Ferrari, R.; Johnston, R.; Lyons, M.B.; Clinton, N.; Thau, D.; Fuller, R.A. The global distribution and trajectory of tidal flats. Nature 2018, 565, 222–225. [Google Scholar] [CrossRef]
- Edward, N.T. Polycyclic aromatic hydrocarbons (PAH’s) in the terrestrial environment—A review. J. Environ. Qual. 1983, 12, 427–441. [Google Scholar] [CrossRef]
- Appleby, P.G.; Oldfieldz, F. The assessment of 210Pb data from sites with varying sediment accumulation rates. Hydrobiologia 1983, 103, 29–35. [Google Scholar] [CrossRef]
- Hamid, N.; Syed, J.H.; Junaid, M.; Mahmood, A.; Li, J.; Zhang, G.; Malik, R.N. Elucidating the urban levels, sources and health risks of polycyclic aromatic hydrocarbons (PAHs) in Pakistan: Implications for changing energy demand. Sci. Total. Environ. 2018, 619-620, 165–175. [Google Scholar] [CrossRef]
- Biache, C.; Mansuy-Huault, L.; Faure, P. Impact of oxidation and biodegradation on the most commonly used polycyclic aromatic hydrocarbon (PAH) diagnostic ratios: Implications for the source identifications. J. Hazard. Mater. 2014, 267, 31–39. [Google Scholar] [CrossRef]
- Simcik, M.F.; Eisenreich, S.J.; Lioy, P.J. Source apportionment and source/sink relationships of PAHs in the coastal atmosphere of Chicago and Lake Michigan. Atmos. Environ. 1999, 33, 5071–5079. [Google Scholar] [CrossRef]
- Khalili, N.R.; Scheff, P.A.; Holsen, T.M. PAH source fingerprints for coke ovens, diesel and, gasoline engines, highway tunnels, and wood combustion emissions. Atmos. Environ. 1995, 29, 533–542. [Google Scholar] [CrossRef]
- Ciaparra, D.; Aries, E.; Booth, M.-J.; Anderson, D.R.; Almeida, S.M.; Harrad, S. Characterisation of volatile organic compounds and polycyclic aromatic hydrocarbons in the ambient air of steelworks. Atmos. Environ. 2008, 43, 2070–2079. [Google Scholar] [CrossRef]
- Shimada, T.; Fujii-Kuriyama, Y. Metabolic activation of polycyclic aromatic hydrocarbons to carcinogens by cytochromes P450 1A1 and1B1. Cancer Sci. 2004, 95, 1–6. [Google Scholar] [CrossRef] [PubMed]
- Wang, M.; Gao, Y.; Luo, N.; Chen, G.; Niu, X.; Li, G.; An, T. 1-Nitropyrene Metabolism and Health Risk: Identification of Key Enzymes, Pathways, and Metabolites Using a Multimethod Approach. Environ. Health 2023, 1, 383–393. [Google Scholar] [CrossRef]







| Individual PAHs | Ring Numbers | TEF | Individual PAHs | Ring Numbers | TEF |
|---|---|---|---|---|---|
| Nap | 2 | 0.001 | Pyr | 4 | 0.001 |
| Ant | 3 | 0.01 | Fla | 4 | 0.001 |
| Phe | 3 | 0.001 | DahA | 5 | 1 |
| Flu | 3 | 0.001 | BaP | 5 | 1 |
| Ace | 3 | 0.001 | BkF | 5 | 0.1 |
| Acpy | 3 | 0.001 | BbF | 5 | 0.1 |
| Chr | 4 | 0.01 | BghiP | 6 | 0.01 |
| BaA | 4 | 0.1 | IcdP | 6 | 0.1 |
| Parameter | Description | Unit | Adult | Children |
|---|---|---|---|---|
| BW | Body weight | kg | 61.5 | 15 |
| IRsoil | Soil ingestion rate | mg/day | 100 | 200 |
| EF | Exposure frequency | days/a | 350 | 350 |
| ED | Exposure time | years | 24 | 6 |
| AT | Average life span | days | 25,550 | 25,550 |
| IRair | Inhalation rate | m3/day | 20 | 10 |
| PEF | Soil particle emission factor | m3/kg | 1.36 × 109 | 1.36 × 109 |
| SA | Dermal exposure area | cm2/day | 5700 | 2800 |
| AF | Dermal adhesion factor | mg/cm2 | 0.07 | 0.2 |
| ABS | Dermal absorption parameter | unitless | 0.13 | 0.13 |
| PAHs | Range | Mean | SD | CV | Detection Rate (%) |
|---|---|---|---|---|---|
| Nap | ND~228.29 | 100.89 | 53.39 | 0.53 | 96.88 |
| Ant | ND~48.36 | 2.23 | 8.74 | 3.93 | 9.38 |
| Phe | ND~48.36 | 2.60 | 8.89 | 3.42 | 12.5 |
| Flu | ND~9.44 | 2.34 | 3.76 | 1.61 | 28.13 |
| Ace | ND | ND | ND | ND | ND |
| Acpy | ND | ND | ND | ND | ND |
| Chr | ND~32.92 | 2.20 | 7.26 | 3.31 | 9.38 |
| BaA | ND~43.90 | 4.27 | 10.98 | 2.57 | 15.63 |
| Pyr | ND~24.18 | 3.92 | 6.23 | 1.59 | 31.25 |
| Fla | ND~13.14 | 5.44 | 5.82 | 1.07 | 46.88 |
| DahA | ND | ND | ND | ND | ND |
| BaP | ND~13.75 | 5.66 | 5.71 | 1.01 | 50.00 |
| BkF | ND | ND | ND | ND | ND |
| BbF | ND | ND | ND | ND | ND |
| BghiP | ND | ND | ND | ND | ND |
| IcdP | ND~11.52 | 1.34 | 3.56 | 2.65 | 12.50 |
| ΣPAH7 | ND~98.76 | 13.47 | 22.32 | 1.66 | 53.13 |
| ΣPAH16 | 24.97~326.42 | 130.88 | 65.12 | 0.50 | 100.00 |
| Study Area | Types | Range | Mean | References |
|---|---|---|---|---|
| YRD (uncultivated land soil) | 16 | 24.97~326.42 | 130.88 | This study |
| YRD (farmland soil) | 16 | 31.5~1399.4 | 149. 8 | [17] |
| YRD (forest soil) | 16 | 25.53~202.78 | 99.38 | [18] |
| YRD (wetland soil) | 16 | 70.58~1826.12 | 432.01 | [19] |
| YRD (urban soil) | 16 | - | 682.8 | [20] |
| Pearl River Delta (wetland soil) | 16 | 625.0~789.2 | 666.3 | [21] |
| Liao River Delta (wetland soil) | 16 | 106~3148 | 550 | [22] |
| Beijing (urban soil) | 16 | ND~2730.1 | 210 | [23] |
| Shanghai (urban soil) | 16 | 227.85~16,461.75 | 3918.92 | [24] |
| Zhengzhou (urban soil) | 16 | 49.9~11,565 | 1567 | [25] |
| Xi’an (farmland soil) | 16 | - | 207 | [26] |
| Guiyu (farmland soil) | 16 | 56~567 | - | [27] |
| Baise (mountain soil) | 16 | 93.9~802.3 | 252.3 | [28] |
| Yangtze River Delta (industrial soil) | 19 | 16.3~4694 | 688 | [29] |
| Pingshuo (industrial soil) | 16 | 2160~33,520 | 11,940 | [30] |
| Beijing (industrial soil) | 16 | ND~19,716.6 | 1006 | [3] |
| Tianjin (industrial soil) | 16 | 440~1360 | 988 | [31] |
| Siberian (urban soil) | 12 | 33.4~2495.3 | 356.2 | [32] |
| Orlando (urban soil) | 16 | 43~30,428 | 3227 | [33] |
| Tampa (urban soil) | 16 | 59~58,640 | 4562 | [33] |
| Ma’an (traffic soil) | 13 | 266.9~929.2 | 501 | [34] |
| Ulsan (traffic soil) | 16 | 310~1820 | 1079 | [35] |
| PAHs | Range | Mean | SD | CV | Detection Rate (%) |
|---|---|---|---|---|---|
| Nap | ND~155.27 | 71.39 | 63.28 | 0.89 | 83.33 |
| Ant | ND~18.53 | 3.09 | 6.90 | 3.17 | 16.67 |
| Phe | ND~18.53 | 3.09 | 6.90 | 2.24 | 16.67 |
| Flu | ND~25.47 | 5.53 | 9.35 | 1.69 | 33.33 |
| Ace | ND~9.26 | 1.54 | 3.45 | 3.17 | 16.67 |
| Acpy | ND~9.26 | 1.54 | 3.45 | 3.17 | 16.67 |
| Chr | ND~74.11 | 12.35 | 27.62 | 2.24 | 16.67 |
| BaA | ND~92.63 | 22.62 | 33.19 | 1.47 | 50.00 |
| Pyr | ND~55.58 | 14.73 | 19.83 | 1.35 | 50.00 |
| Fla | ND~64.84 | 12.85 | 23.68 | 1.84 | 33.33 |
| DahA | ND | ND | ND | ND | ND |
| BaP | ND~176 | 36.62 | 62.47 | 1.71 | 83.33 |
| BkF | ND~64.84 | 10.81 | 24.17 | 2.24 | 16.67 |
| BbF | ND~92.63 | 15.44 | 34.52 | 2.24 | 16.67 |
| BghiP | ND~9.26 | 1.54 | 3.45 | 3.17 | 16.67 |
| IcdP | ND~74.11 | 14.06 | 27.11 | 1.93 | 33.33 |
| ΣPAH7 | ND~574.32 | 111.90 | 207.43 | 1.85 | 83.33 |
| ΣPAH16 | 46.17~794.32 | 227.22 | 262.55 | 1.16 | 100.00 |
| Study Area | Types | Range | Mean | References |
|---|---|---|---|---|
| Jiaozhou Bay | 16 | 59.82~3979.55 | 965.18 | [40] |
| Haizhou Bay | 16 | 116.6~2414.9 | 662.42 | [41] |
| Hangzhou Bay | 16 | 32.1~171.1 | - | [42] |
| Xinglin Bay | 16 | 413.00~2748.81 | 949.56 | [43] |
| Zhanjiang Bay | 16 | 41.96~933.90 | 315.98 | [23] |
| Leizhou Bay | 16 | 21.72~319.61 | 103.91 | [23] |
| Beibu Gulf | 16 | 11.30~141.56 | 42.12 | [44] |
| Chabahar Bay | 16 | 0~93 | - | [45] |
| Persian Gulf | 16 | 10.33~186.16 | 103.87 | [46] |
| Mexico Gulf | 16 | 100~856 | - | [47] |
| Bohai Bay | 16 | - | 233.7 | [48] |
| PAHs | Soil | Sediment | ||||
|---|---|---|---|---|---|---|
| Minimum | Maximum | Mean | Minimum | Maximum | Mean | |
| Nap | 0.00 | 0.23 | 0.10 | 0.00 | 0.16 | 0.07 |
| Ant | 0.00 | 0.48 | 0.02 | 0.00 | 0.19 | 0.03 |
| Phe | 0.00 | 0.05 | 0.00 | 0.00 | 0.02 | 0.00 |
| Flu | 0.00 | 0.01 | 0.00 | 0.00 | 0.03 | 0.01 |
| Ace | 0.00 | 0.00 | 0.00 | 0.00 | 0.01 | 0.00 |
| Acpy | 0.00 | 0.00 | 0.00 | 0.00 | 0.01 | 0.00 |
| Chr | 0.00 | 0.33 | 0.02 | 0.00 | 0.74 | 0.12 |
| BaA | 0.00 | 4.39 | 0.43 | 0.00 | 9.26 | 2.26 |
| Pyr | 0.00 | 0.02 | 0.00 | 0.00 | 0.06 | 0.01 |
| Fla | 0.00 | 0.01 | 0.01 | 0.00 | 0.06 | 0.01 |
| DahA | 0.00 | 0.00 | 0.00 | 0.00 | 0.00 | 0.00 |
| BaP | 0.00 | 13.75 | 5.66 | 0.00 | 176.00 | 36.62 |
| BkF | 0.00 | 0.00 | 0.00 | 0.00 | 6.48 | 1.08 |
| BbF | 0.00 | 0.00 | 0.00 | 0.00 | 9.26 | 1.54 |
| BghiP | 0.00 | 0.00 | 0.00 | 0.00 | 0.09 | 0.02 |
| IcdP | 0.00 | 1.15 | 0.13 | 0.00 | 7.41 | 1.41 |
| ΣPAH7 | 0.00 | 16.79 | 6.25 | 0.00 | 209.16 | 43.04 |
| ΣPAH16 | 0.02 | 16.86 | 6.38 | 0.07 | 209.63 | 43.20 |
| Population | Statistical Value | ILCRingestion | ILCRinhalation | ILCRdermal | ILCRs |
|---|---|---|---|---|---|
| Adult | Maximum | 1.93 × 10−11 | 1.49 × 10−15 | 3.42 × 10−11 | 5.35 × 10−11 |
| Minimum | 2.85 × 10−14 | 2.21 × 10−18 | 5.07 × 10−14 | 7.92 × 10−14 | |
| Mean | 7.3 × 10−12 | 5.66 × 10−16 | 1.3 × 10−11 | 2.03 × 10−11 | |
| Children | Maximum | 9.63 × 10−12 | 1.87 × 10−16 | 1.2 × 10−11 | 2.16 × 10−11 |
| Minimum | 1.43 × 10−14 | 2.77 × 10−19 | 1.78 × 10−14 | 3.21 × 10−14 | |
| Mean | 3.65 × 10−12 | 7.07 × 10−17 | 4.55 × 10−12 | 8.2 × 10−12 |
Disclaimer/Publisher’s Note: The statements, opinions and data contained in all publications are solely those of the individual author(s) and contributor(s) and not of MDPI and/or the editor(s). MDPI and/or the editor(s) disclaim responsibility for any injury to people or property resulting from any ideas, methods, instructions or products referred to in the content. |
© 2025 by the authors. Licensee MDPI, Basel, Switzerland. This article is an open access article distributed under the terms and conditions of the Creative Commons Attribution (CC BY) license (https://creativecommons.org/licenses/by/4.0/).
Share and Cite
Zhao, Y.; Wu, Y.; Qi, Y.; Li, J.; Huang, X.; Hou, Y.; Hao, H.; Zhu, S. Characteristics, Sources, and Risk Assessment of Polycyclic Aromatic Hydrocarbons in Soils and Sediments in the Yellow River Delta, China. Land 2025, 14, 1608. https://doi.org/10.3390/land14081608
Zhao Y, Wu Y, Qi Y, Li J, Huang X, Hou Y, Hao H, Zhu S. Characteristics, Sources, and Risk Assessment of Polycyclic Aromatic Hydrocarbons in Soils and Sediments in the Yellow River Delta, China. Land. 2025; 14(8):1608. https://doi.org/10.3390/land14081608
Chicago/Turabian StyleZhao, Yilei, Yuxuan Wu, Yue Qi, Junsheng Li, Xueyan Huang, Yuchen Hou, Haojing Hao, and Shuyu Zhu. 2025. "Characteristics, Sources, and Risk Assessment of Polycyclic Aromatic Hydrocarbons in Soils and Sediments in the Yellow River Delta, China" Land 14, no. 8: 1608. https://doi.org/10.3390/land14081608
APA StyleZhao, Y., Wu, Y., Qi, Y., Li, J., Huang, X., Hou, Y., Hao, H., & Zhu, S. (2025). Characteristics, Sources, and Risk Assessment of Polycyclic Aromatic Hydrocarbons in Soils and Sediments in the Yellow River Delta, China. Land, 14(8), 1608. https://doi.org/10.3390/land14081608

