Characteristics and Driving Factors of the Spatial and Temporal Evolution of County Urban–Rural Integration—Evidence from the Beijing–Tianjin–Hebei Region, China
Abstract
1. Introduction
2. Research Methods and Data Sources
2.1. Overview of the Study Area
2.2. An Evaluation System for Urban–Rural Integration of People–Land–Industry, Taking into Account Development and Harmonisation
2.3. Technological Route
2.4. Data Sources
2.5. Evaluation Methods
2.5.1. Global Principal Component Analysis
2.5.2. Spatial Autocorrelation Analysis
- (1)
- Global spatial autocorrelation
- (2)
- Local spatial autocorrelation analysis
2.5.3. Geographical and Temporal Weighted Regression Model (GTWR)
3. Characteristics of the Spatial and Temporal Evolution in the Level of Urban–Rural Integration in the Beijing–Tianjin–Hebei Region
3.1. Characteristics of Time-Series Changes in the Level of Urban–Rural Integration
3.1.1. Level of Urban–Rural Comprehensive Integration (U-RCI)
3.1.2. Level of Urban–Rural People Integration (U-RPI)
3.1.3. Level of Urban–Rural Land Integration (U-RLI)
3.1.4. Level of Urban–Rural Industry Integration (U-RII)
3.2. Characteristics of Spatial Agglomeration in the Level of Urban–Rural Integration
3.2.1. Global Spatial Autocorrelation Analysis
3.2.2. Local Spatial Autocorrelation Analysis
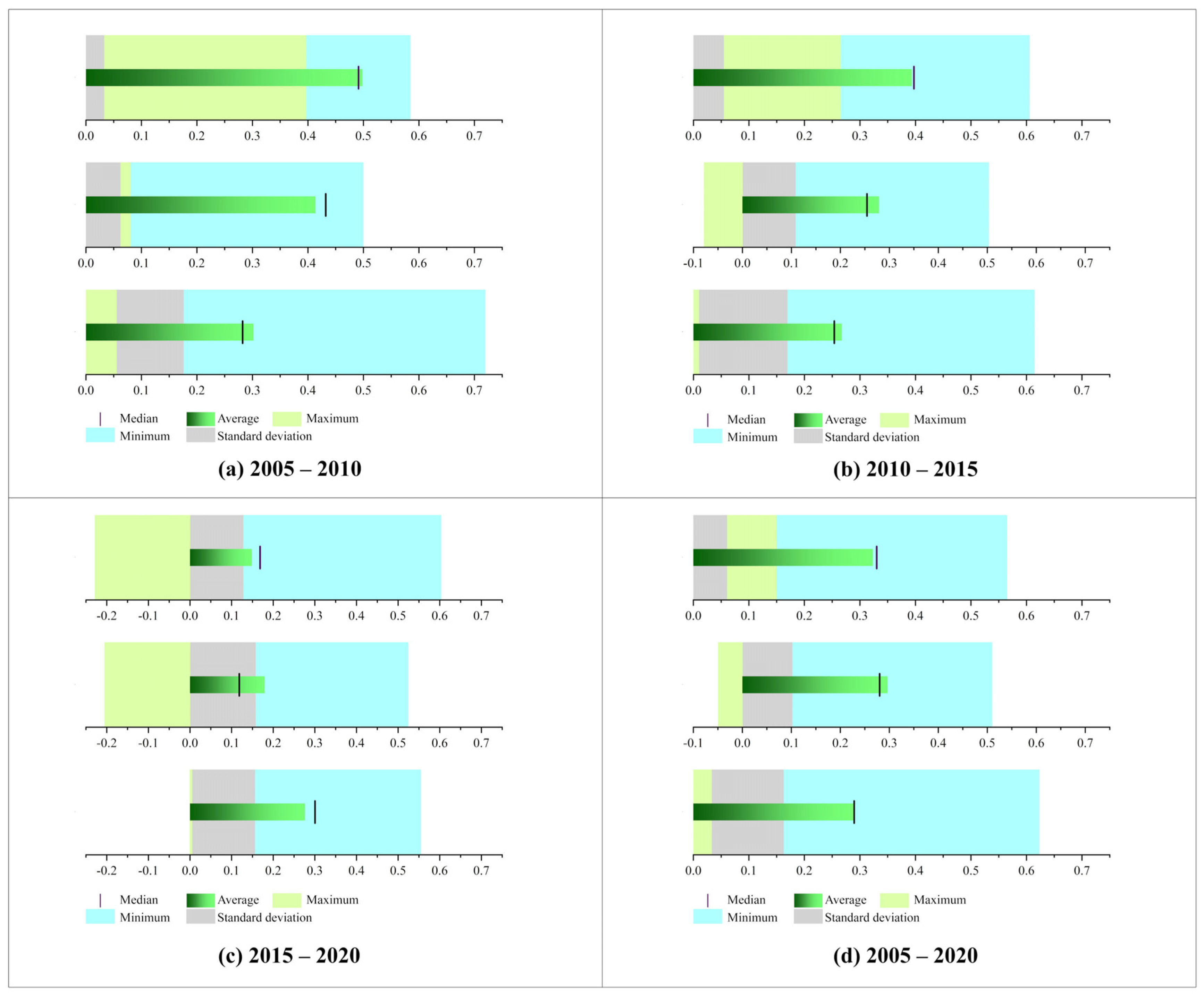
4. Analysis of Factors Affecting the Spatial and Temporal Evolution of Urban–Rural Integration Level Based on GTWR
4.1. Data and Model Screening
4.2. Analysis of the Drivers of the Spatial and Temporal Evolution of the Level of Comprehensive Urban–Rural Integration
5. Discussion
6. Conclusions
- (1)
- The level of U-RCI, U-RPI, U-RLI and U-RII in the Beijing–Tianjin–Hebei region increased during the study period. The areas with high levels of urban–rural integration were mainly located in Beijing and the Bohai Rim region in the eastern part of Tianjin and Hebei, and the level of urban–rural integration in the peri-urban areas of the cities was generally better than that in the remote counties and cities. Among them, U-RPI showed the largest increase, reaching a high level of integration in the category by 2020 for the whole region. U-RLI increased less and was characterised by significant north–south divergence. U-RII showed a more positive and steady increase, with a significant increase in the north-western Damshang Grassland region.
- (2)
- In terms of spatial agglomeration, urban–rural integration was characterised by significant spatial agglomeration. The degree of agglomeration, in descending order, was U-RCI > U-RII > U-RLI > U-RPI. The spatial concentration of U-RII increased over the 15-year study period, while the concentration of U-RPI, U-RLI and U-RCI decreased. On the ground where spatial agglomeration occurred, Beijing and Baoding were the core areas of high-high agglomeration and low-low agglomeration, respectively.
- (3)
- In terms of spatial and temporal drivers of urban–rural integration, the driving role of U-RPI, U-RLI and U-RII for U-RCI weakened gradually. Urban–rural integration in the Beijing–Tianjin–Hebei region counties during the 15 years shifted from a single-role driver to a multidimensional coordinated driver, with the average drivers, from high to low, being U-RPI, U-RLI and U-RII.
Supplementary Materials
Author Contributions
Funding
Data Availability Statement
Conflicts of Interest
References
- Chen, L.; Jiang, H. Integrated Urban-rural Development: Foreign Models, Experiences and Implementation Path. Issues Agric. Econ. 2024, 45, 52–59. [Google Scholar]
- Ye, L.; Wang, J. The Evolution and Prospect of Urban-Rural Relations in China Since the Founding of PRC. J. Huazhong Agric. Univ. (Soc. Sci. Ed.) 2021, 6, 110–120+191. [Google Scholar] [CrossRef]
- Howard, E. Garden Cities of Tomorrow; S. Sonnenschein & Co., Ltd.: London, UK, 1902. [Google Scholar]
- Saarinen, E. The City. Its Growth, Its Decay, Its Future; Reinhold Publishing Corporation: New York, NY, USA, 1943. [Google Scholar]
- Krugman, P. Increasing Returns and Economic Geography. J. Political Econ. 1991, 99, 483–499. [Google Scholar] [CrossRef]
- Ortizbáez, P.; Boisson, S.; Torres, M.; Bogaert, J. Analysis of the urban-rural gradient terminology and its imaginaries in a Latin-American context. Theor. Empir. Res. Urban Manag. 2020, 15, 81–98. [Google Scholar]
- Liu, W.; Wu, M.; Zhang, J. Research on the Effect of Polycentric Spatial Structure in Promoting Urban-rural Integration. J. Manag. 2024, 37, 24–41. [Google Scholar] [CrossRef]
- Wang, X. Compatibility of Urban-Rural Coordination with Regiona! Coordination: From the Practice of Wuhan Urban Agglomeration. Urban Dev. Stud. 2012, 19, 60–65. [Google Scholar]
- Bao, H.; Zhong, W.; Chen, S. Spatial and temporal characteristics, driving pattern and enlightenment of county scale common prosperity in Zhejiang province. J. Nat. Resour. 2025, 40, 382–401. [Google Scholar] [CrossRef]
- Xie, X. Marx’s Thought on the Relationship between Urban and Rural Areas and lts contemporary Enlightenment. Theory Horiz. 2019, 11, 10–16. [Google Scholar] [CrossRef]
- Wang, Z. The Three Humanistic Masters of Urban Planning: Howard, Geddes, and Mumford. Archit. Des. Manag. 2007, 4, 41–43. [Google Scholar]
- Chen, G. A Review of Fei-Lanis’ Binary Structure Model. World Econ. Stud. 1988, 5, 76–81. [Google Scholar] [CrossRef]
- McGee, T.G. Urbanisasi or Kotadesasi? The Emergence of New Regions of Economic Interaction in Asia; East-West Environment and Policy Institute: Honolulu, HI, USA, 1987. [Google Scholar]
- Li, K. The Historical Evolution, Logical Framework, and Implementation Path of China’s Urban-Rural Integration Development. Soc. Sci. Beijing 2025, 5, 39–53. [Google Scholar] [CrossRef]
- Li, X. The Integration of Urban and Rural Areas is Not the Homogenization of Urban and Rural: Thoughts of Rural Construction on the Context of Urbanization. Planners 2013, 29, 32–35. [Google Scholar]
- Litcher, D.T.; Brown, D.L. Rural America in an urban society: Changing spatial and social boundaries. Annu. Rev. Sociol. 2011, 37, 565–592. [Google Scholar] [CrossRef]
- Li, G. Urban-Rural Integration: Logic and Process of Practice. City Plan. Rev. 2021, 45, 109–114+120. [Google Scholar]
- Guo, Z.; Liu, W. A Study on the Rural Development of the United States from the Viewpoint of Urban-rural Integration: Introduction to the Urban and Rural System of the Clemson Area. Shanghai Urban Plan. Rev. 2020, 5, 117–123. [Google Scholar]
- Zhang, L.; Li, W.; Bai, Y. Rural Social Policies and Experiences in Japan and South Korea in Response to Rural Shrinkage. Urban Plan. Int. 2022, 37, 1–9. [Google Scholar] [CrossRef]
- Jiao, B. Progress and Characteristics of the Urbanization in Japan—Evidence from the Structural Change of “City-Town-Village System” in Japan. Fudan J. (Soc. Sci. Ed.) 2017, 59, 162–172. [Google Scholar]
- Sujarwoto, S.; Tampubolon, G. Spatial inequality and the Internet divide in Indonesia 2010–2012. Telecommun. Policy 2016, 40, 602–616. [Google Scholar] [CrossRef]
- Krishna, A. The urban-rural gap and the dilemma of governance. Curr. Hist. 2015, 114, 291–297. [Google Scholar] [CrossRef]
- Edwards, S.E.; Strauss, B.; Miranda, M.L. Geocoding Large Population-level Administrative Datasets at Highly Resolved Spatial Scales. Trans. GIS 2014, 18, 586–603. [Google Scholar] [CrossRef]
- Hiner, C.C. Beyond the Edge and in Between: (Re)conceptualizing the Rural–Urban Interface as Meaning–Model–Metaphor. Prof. Geogr. 2016, 68, 520–532. [Google Scholar] [CrossRef]
- Zeng, Q.; Chen, X. Identification of urban-rural integration types in China–an unsupervised machine learning approach. China Agric. Econ. Rev. 2023, 15, 400–415. [Google Scholar] [CrossRef]
- Pu, X.; Liu, Q.; Xie, B. The Historical Stages and Characteristics of Urban-rural Relationship Driven by Relevant Elements. Planners 2018, 34, 81–87. [Google Scholar]
- Zhang, Q.; Zhang, Y.; Yang, P. China’s Urban-rural Integration Evolution and Fuzhou Practice. Planners 2021, 37, 25–31. [Google Scholar] [CrossRef]
- He, Y.; Tan, H.; Kang, F. Development Model and Effect Evaluation of Urban–rural Integrated in Metropolitan Fringe Areas: A Case Study of Wangcheng District. Econ. Geogr. 2022, 42, 156–164. [Google Scholar] [CrossRef]
- Ma, Y.; Liu, X.; Gao, Z.; Gao, Y. Planning Strategy of Xi’an–Xianyang Urban–rural Integration Pilot Area. Planners 2021, 37, 32–37. [Google Scholar] [CrossRef]
- Sun, J.; Zhang, L. The ProductionLife Theoretical Framework and Key Issues of County—Level Urban–Rural Integration Development. J. Yunnan Minzu Univ. (Philos. Soc. Sci. Ed.) 2024, 41, 129–138. [Google Scholar] [CrossRef]
- Li, Z.; Liu, C.; Chen, X. Power of digital economy to drive urban–rural integration: Intrinsic mechanism and spatial effect, from perspective of multidimensional integration. Int. J. Environ. Res. Public Health 2022, 19, 15459. [Google Scholar] [CrossRef]
- Liu, Y.; Zang, Y.; Yang, Y. China’s rural revitalization and development: Theory, technology and management. J. Geogr. Sci. 2020, 30, 1923–1942. [Google Scholar] [CrossRef]
- Xu, X.; Wang, Y. Research on the Logical Mechanism, Multidimensional Measurement and Regional Coordinated Development of Urban–rural Integration: From the Perspective of Coordinated Promotion of New Urbanization and Rural Vitalization. Issues Agric. Econ. 2023, 11, 49–62. [Google Scholar] [CrossRef]
- Li, J.; Zhang, C. Prospect of urban–rural integration development research under the vision of the Chinese path to modernization. West Forum 2023, 33, 114–122. [Google Scholar] [CrossRef]
- Zhao, M.; Fang, C.; Chen, C. Re-theorizing and Assessing Integrated Urban–rural Development: An Empirical Study on China’s Megacities. Urban Plan. Forum 2018, 2, 11–18. [Google Scholar] [CrossRef]
- Shi, Y.; Zhu, Q.; Xu, L.; Lu, Z.; Wu, Y.; Wang, X.; Fei, Y.; Deng, J. Independent or influential? Spatial-temporal features of coordination level between urbanization quality and urbanization scale in China and its driving mechanism. Int. J. Environ. Res. Public Health 2020, 17, 1587. [Google Scholar] [CrossRef]
- Oddershede, A.; Arias, A.; Cancino, H. Rural development decision support using the Analytic Hierarchy Process. Math. Comput. Model. 2007, 46, 1107–1114. [Google Scholar] [CrossRef]
- Ma, L.; Long, H.; Ge, D.; Tu, S. Research on the Ways of Urban-Rural Coordinated Development and Rural Vitalization in the Farming Areas of China. Econ. Geogr. 2018, 38, 37–44. [Google Scholar] [CrossRef]
- Zhang, H.; He, R.; Li, G.; Wang, J. Spatiotemporal Evolution of Coupling Coordination Degree of Urban-Rural Integration System in Metropolitan Area and Its Influencing Factors: Taking the Capital Region as an Example. Econ. Geogr. 2020, 40, 56–57. [Google Scholar] [CrossRef]
- Lichter, D.T.; Ziliak, J.P. The rural-urban interface: New patterns of spatial interdependence and inequality in America. Ann. Am. Acad. Political Soc. Sci. 2017, 672, 6–25. [Google Scholar] [CrossRef]
- Guo, L.; Liu, Y.; Feng, J.; He, S. Spatial-temporal Pattern of Provincial New–type Urbanization and Integrated Urban–rural Development in China and Its Influence Factor. J. Earth Sci. Environ. 2023, 45, 751–795. [Google Scholar] [CrossRef]
- Victor, O.U.; Hope, E.N. Rural–Urban ‘Symbiosis’, community self-help, and the new planning mandate: Evidence from Southeast Nigeria. Habitat Int. 2011, 35, 350–360. [Google Scholar] [CrossRef]
- Zhou, D.; Qi, J.; Zhong, W.; Wang, J. Urban and rural integration development in urban agglomerations: Measurement and evaluation, obstacle factors and driving factors. Geogr. Res. 2023, 42, 2914–2939. [Google Scholar] [CrossRef]
- Qin, Y.; Xu, J.; Zhang, H.; Ren, W. The Measurement of the Urban–Rural Integration Level of Resource-Exhausted Cities—A Case Study of Zaozhuang City, China. Sustainability 2022, 15, 418. [Google Scholar] [CrossRef]
- Xie, X.; Li, H.; Li, C.; Fu, P. Research on Dynamics Identification and Development Path of Urban–rural Integration Based on BP Neural Network: A Study of 72 Typical Counties in the East, Middle, and West of China. Planners 2022, 38, 109–116. [Google Scholar] [CrossRef]
- Zhou, J.; Qin, F.; Liu, J.; Zhu, G.; Zou, W. Measurement, spatial–temporal evolution and influencing mechanism of urban-rural integration level in China from a multidimensional perspective. China Population. Resour. Environ. 2019, 29, 166–167. [Google Scholar]
- Liu, H.; Ma, L.; Li, G. Spatial-temporal evolution pattern of unbalanced economic development in Beijing–Tianjin–Hebei region since the 1990s. Geogr. Res. 2016, 35, 471–481. [Google Scholar] [CrossRef]
- Xu, L.; Tao, J.; Zhang, M.; Zhang, P.; Zhang, J. Potential Evaluation and Zoning Optimization of County Industrial Undertaking in the Poverty Belt around Beijing and Tianjin Based on Multivariate Data. Geogr. Geo-Inf. Sci. 2021, 37, 135–142. [Google Scholar] [CrossRef]
- Li, X.; Liu, Y.; Guo, Y. The spatial pattern of population–land–industry coupling coordinated development and its influencing factor detection in rural China. J. Geogr. Sci. 2023, 33, 2257–2277. [Google Scholar] [CrossRef]
- Qiao, F.; Yao, J. The application of time series analysis and all-around PCA in the economic dynamic description. J. Appl. Stat. Manag. 2003, 2, 1–5. [Google Scholar] [CrossRef]
- Xuan, H.; Zhang, A.; Lin, Q.; Chen, J. Affecting Factors Research of Chinese Provincial Economic Development Based on GTWR Model. J. Ind. Technol. Econ. 2016, 35, 154–160. [Google Scholar] [CrossRef]
- Gao, H. Spatio-Temporal Analysis of Rural Economic Development in Beijing, Tianjin and Hebei Based on Night Time. Master’s Thesis, Hebei Normal University, Shijiazhuang, China, 2023. [Google Scholar]
- Liu, H.; Ma, L.; Li, G. Pattern evolution and its contributory factor of cold spots and hot spots of economic development in Beijing–Tianjin–Hebei region. Geogr. Res. 2017, 36, 97–108. [Google Scholar]
- Chen, Y.; Sun, B. Does “agglomeration shadow” exist in Beijing–Tianjin–Hebei region? Large cities impact on regional economic growth. Geogr. Res. 2017, 36, 1936–1946. [Google Scholar]
- Zhang, H.; He, R.; Li, N.; Li, G. Spatio-temporal differentiation of urban-rural integration level and rural revitalization path in the Capital Region. J. Nat. Resour. 2021, 36, 2652–2671. [Google Scholar] [CrossRef]
- Mao, R.; Lin, X. Promoting Integrated Development of Rural and Urban Areas amid the Rural Revitalization Strategy: Implications and Lessons from Main Developed Countries. Int. Econ. Rev. 2022, 1, 155–173+8. [Google Scholar]
- Tacoli, C. The links between urban and rural development. Environ. Urban. 2003, 15, 3–12. [Google Scholar] [CrossRef]
- Kratzer, A.; Kister, J. (Eds.) . Rural-Urban Linkages for Sustainable Development; Routledge: Abingdon, UK, 2021. [Google Scholar]
- Satterthwaite, D.; Tacoli, C. Seeking an Understanding of poverty that recognizes rural–urban differences and rural–urban linkages. In Urban Livelihoods; Routledge: Abingdon, UK, 2014; pp. 52–70. [Google Scholar]
- Meijers, E.; Burger, M. Small and medium-sized towns: Out of the dark agglomeration shadows and into the bright city lights? In A Research Agenda for Small and Medium-Sized Towns; Edward Elgar Publishing: Cheltenham, UK, 2022; pp. 23–38. [Google Scholar]
- Li, L.; Huang, T.; Ou, Y. Research on the measurement of the level and spatial and temporalpattern of urban and rural industrial integration in China. Geogr. Res. 2025, 44, 1119–1142. [Google Scholar]
- Xu, H.; Zhao, J.; Yu, X.; Mei, X.; Zhang, X.; Yan, C. A Model Assembly Approach of Planning Urban–rural Transportation Network: A Case Study of Jiangxia District, Wuhan, China. Sustainability 2023, 15, 11876. [Google Scholar] [CrossRef]
- Cao, X.; Cheng, H.; Shang, Y.; Li, H.; Wang, D. Research on the spatial–temporal evolution characteristics and influencing factors of urban—Rural integration based on the “population–land–industry” system—A case study of Jilin Province. Resour. Dev. Mark. 2023, 39, 810–818. [Google Scholar] [CrossRef]
- Mayer, H.; Habersetzer, A.; Meili, R. Rural–urban linkages and sustainable regional development: The role of entrepreneurs in linking peripheries and centers. Sustainability 2016, 8, 745. [Google Scholar] [CrossRef]
- Li, Y.; Huang, H.; Song, C. Rural economic resilience in poor areas and its enlightenment: Case study of Yangyuan County, Hebei Province. Prog. Geogr. 2021, 40, 1839–1846. [Google Scholar] [CrossRef]












| Dimension | ID | Evaluation Indicators | Type | Calculation Method | Efficacy |
|---|---|---|---|---|---|
| People dimension | X1 | Savings of urban and rural residents | Development | —— | + |
| X2 | Teacher–student ratio in basic education | Development | The ratio of the number of teachers to the number of students enrolled in general primary and secondary schools | + | |
| X3 | The number of hospitals and sanatorium beds per 1000 people | Development | The number of hospitals and sanatorium beds × 1000/resident population | + | |
| X4 | The ratio of urban to rural income levels | Coordination | The ratio of disposable income of urban residents to rural residents | − | |
| Land dimension | X5 | Built-up area ratio | Development | The ratio of built-up area to total land area | + |
| X6 | Per capita occupancy rate of cultivated land | Development | The ratio of cultivated land area to total county population | + | |
| X7 | Forest land cover | Development | The ratio of forest area to total land area | + | |
| X8 | Urban–rural road network ratio | Coordination | The ratio of rural roads to other roads (1 is the optimal value) | − | |
| Industry dimension | X9 | Gross regional product per capita | Development | The ratio of GDP to county population | + |
| X10 | Ratio of land used for facility-based agriculture | Development | The ratio of the area of land used for facility-based agriculture to the area of cultivated land | + | |
| X11 | The ratio of non-agricultural output to agricultural output | Coordination | The ratio of secondary and tertiary industry output to primary industry output | − | |
| X12 | The number of scenic spots | Development | —— | + |
| Variable Y | U-RCI | ||
| Variable X | U-RPI | U-RLI | U-RLI |
| Relevance | 0.782 ** | 0.744 ** | 0.782 ** |
| Significance | 0 | 0 | 0 |
| Variable Y | U-RCI | ||
| Variable X | U-RPI | U-RLI | U-RLI |
| Tolerances | 0.665 | 0.879 | 0.644 |
| VIF | 1.503 | 1.138 | 1.552 |
| Category | R2 | AICc | Residual Squares (RSS) | ||||||
|---|---|---|---|---|---|---|---|---|---|
| OLS | GWR | GTWR | OLS | GWR | GTWR | OLS | GWR | GTWR | |
| U-RCI | 0.40134 | 0.534 | 0.5989 | −660.66 | −762.55 | −859.97 | 17.733 | 13.8216 | 11.9004 |
Disclaimer/Publisher’s Note: The statements, opinions and data contained in all publications are solely those of the individual author(s) and contributor(s) and not of MDPI and/or the editor(s). MDPI and/or the editor(s) disclaim responsibility for any injury to people or property resulting from any ideas, methods, instructions or products referred to in the content. |
© 2025 by the authors. Licensee MDPI, Basel, Switzerland. This article is an open access article distributed under the terms and conditions of the Creative Commons Attribution (CC BY) license (https://creativecommons.org/licenses/by/4.0/).
Share and Cite
Tian, J.; Ma, J.; Zeng, S.; Bai, Y. Characteristics and Driving Factors of the Spatial and Temporal Evolution of County Urban–Rural Integration—Evidence from the Beijing–Tianjin–Hebei Region, China. Land 2025, 14, 1563. https://doi.org/10.3390/land14081563
Tian J, Ma J, Zeng S, Bai Y. Characteristics and Driving Factors of the Spatial and Temporal Evolution of County Urban–Rural Integration—Evidence from the Beijing–Tianjin–Hebei Region, China. Land. 2025; 14(8):1563. https://doi.org/10.3390/land14081563
Chicago/Turabian StyleTian, Jian, Junqi Ma, Suiping Zeng, and Yu Bai. 2025. "Characteristics and Driving Factors of the Spatial and Temporal Evolution of County Urban–Rural Integration—Evidence from the Beijing–Tianjin–Hebei Region, China" Land 14, no. 8: 1563. https://doi.org/10.3390/land14081563
APA StyleTian, J., Ma, J., Zeng, S., & Bai, Y. (2025). Characteristics and Driving Factors of the Spatial and Temporal Evolution of County Urban–Rural Integration—Evidence from the Beijing–Tianjin–Hebei Region, China. Land, 14(8), 1563. https://doi.org/10.3390/land14081563

