Do Metropolitan Zoning Asymmetries Influence the Geography of Suburban Growth and Gentrification?
Abstract
1. Introduction
2. A Literature Review
2.1. From Homogeneous Suburbs to Metropolitan Complexity
2.2. The Role of Land-Use Regulations
3. Methods and Data
3.1. Measuring Metropolitan Zoning Asymmetries
3.2. Classifying Neighborhoods Within Metropolitan Statistical Areas
4. Results
4.1. Population Growth Across Metropolitan and Neighborhood Types
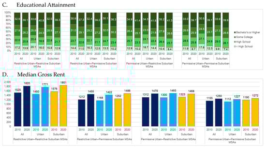
4.2. Changes in Demographic Characteristics by Metro Zoning Configurations
4.3. Urban–Suburban Gentrification Gaps by Zoning Configuration
5. Discussion
6. Conclusions
Author Contributions
Funding
Data Availability Statement
Conflicts of Interest
| 1. | The NZLUD is constructed by applying natural language processing techniques on publicly available zoning and land-use information such as minimum lot size, maximum permitted density, minimum parking requirements, and maximum building height restrictions. For a more detailed explanation, please refer to Mleczko and Desmond (2023) [27]. To ensure consistency with the NZLUD data, we use the 2020 metropolitan area boundaries. |
| 2. | The 8 MSAs that were excluded from this study are Hartford-East Hartford-Middletown, CT, Kansas City, MO-KS, Louisville/Jefferson County, KY–IN, Memphis, TN–MS–AR, Nashville–Davidson–Murfreesboro–Franklin, TN, New Orleans-Metairie, LA, Richmond, VA, and Sacramento–Roseville–Folsom, CA. While the NZNUD is generally considered representative, consistent, and accurate relative to other zoning indices derived from fielding surveys (Mleczko and Descmond, 2023 [27]), there remains the possibility of systemic bias within the sample. |
| 3. | To maintain consistency over time, the census tract boundaries are standardized to 2010 geographic definitions. For census tracts located along the boundaries of urban municipalities, we assign them to either urban or suburban areas based on the proportion of their land area that falls within the urban municipalities. |
References
- Frey, W.H. Diversity Explosion: How New Racial Demographics are Remaking America; Brookings Institution Press: Washington, DC, USA, 2018. [Google Scholar]
- Anacker, K.B. The New American Suburb: Poverty, Race and the Economic Crisis; Routledge: London, UK, 2015. [Google Scholar]
- Lichter, D.T.; Thiede, B.C.; Brooks, M.M. Racial diversity and segregation: Comparing principal cities, inner-ring suburbs, outlying suburbs, and the suburban fringe. RSF Russell Sage Found. J. Soc. Sci. 2023, 9, 26–51. [Google Scholar] [CrossRef]
- Mordechay, K.; Terbeck, F.J. Moving out and apart: Race, poverty, and the suburbanization of public school segregation. Am. J. Educ. 2023, 129, 205–235. [Google Scholar] [CrossRef]
- Orfield, M.; Luce, T.F. America’s racially diverse suburbs: Opportunities and challenges. Hous. Policy Debate 2013, 23, 395–430. [Google Scholar] [CrossRef]
- Jackson, K.T. Crabgrass Frontier: The Suburbanization of the United States; Oxford University Press: Oxford, UK, 1987. [Google Scholar]
- Buchholz, M. Priced out? Household migration out of “superstar” US city-regions. Environ. Plan. A Econ. Space 2022, 54, 1623–1640. [Google Scholar] [CrossRef]
- Frey, W.H. Today’s Suburbs are Symbolic of America’s Rising Diversity: A 2020 Census Portrait; Brookings Institution: Washington, DC, USA, 2022; Available online: https://www.brookings.edu/articles/todays-suburbs-are-symbolic-of-americas-rising-diversity-a-2020-census-portrait/ (accessed on 20 July 2025).
- Pfeiffer, D. African Americans’ search for “more for less” and “peace of mind” on the exurban frontier. Urban Geogr. 2012, 33, 64–90. [Google Scholar] [CrossRef]
- Brown-Saracino, J. Explicating divided approaches to gentrification and growing income inequality. Annu. Rev. Sociol. 2017, 43, 515–539. [Google Scholar] [CrossRef]
- Gyourko, J.; Molloy, R. Regulation and housing supply. In Handbook of Regional and Urban Economics; Duranton, G., Henderson, J.V., Strange, W.C., Eds.; Elsevier: Amsterdam, The Netherlands, 2015; Volume 5B, pp. 1289–1337. [Google Scholar]
- Gyourko, J.; Mayer, C.; Sinai, T. Superstar cities. Am. Econ. J. Econ. Policy 2013, 5, 167–199. [Google Scholar] [CrossRef]
- Baum-Snow, N. Constraints on city and neighborhood growth: The central role of housing supply. J. Econ. Perspect. 2023, 37, 53–74. [Google Scholar] [CrossRef]
- Rothstein, R. The Color of Law: A Forgotten History of How Our Government Segregated America; Liveright Publishing: New York, NY, USA, 2017. [Google Scholar]
- Massey, D.S.; Denton, N.A. American Apartheid: Segregation and the Making of the Underclass; Harvard University Press: Cambridge, MA, USA, 1993. [Google Scholar]
- Beauregard, R.A. When America Became Suburban; University of Minnesota Press: Minneapolis, MN, USA, 2006. [Google Scholar]
- Hanlon, B. A typology of inner–ring suburbs: Class, race, and ethnicity in US suburbia. City Community 2009, 8, 221–246. [Google Scholar] [CrossRef]
- Kneebone, E.; Garr, E. The Suburbanization of Poverty; Brookings Institution: Washington, DC, USA, 2010. [Google Scholar]
- Kneebone, E. The Changing Geography of U.S. Poverty; Brookings Institution: Washington, DC, USA, 2017. [Google Scholar]
- Mordechay, K. Race, space, and America’s subprime housing boom. Urban Geogr. 2020, 41, 936–946. [Google Scholar] [CrossRef]
- Finio, N. Measurement and definition of gentrification in urban studies and planning. J. Plan. Lit. 2022, 37, 249–264. [Google Scholar] [CrossRef]
- Markley, S. Suburban gentrification? Examining the geographies of New Urbanism in Atlanta’s inner suburbs. Urban Geogr. 2018, 39, 606–630. [Google Scholar] [CrossRef]
- Elmendorf, C.S. Beyond the double veto: Housing plans as preemptive intergovernmental compacts. Hastings Law J. 2019, 71, 79–118. [Google Scholar]
- Been, V. City NIMBYs. J. Land Use Environ. Law 2018, 33, 217–250. [Google Scholar]
- Glaeser, E.L.; Gyourko, J.; Saks, R.E. Why have housing prices gone up? Am. Econ. Rev. 2005, 95, 329–333. [Google Scholar] [CrossRef]
- Brouwer, N.R.; Trounstine, J. NIMBYs, YIMBYs, and the politics of land use in American cities. Annu. Rev. Political Sci. 2024, 27, 10.1–10.20. [Google Scholar] [CrossRef]
- Mleczko, M.; Desmond, M. Using natural language processing to construct a national zoning and land use database. Urban Stud. 2023, 60, 2564–2584. [Google Scholar] [CrossRef]
- Frey, W.H. Population Growth in Metro America Since 1980: Putting the Volatile 2000s in Perspective; Brookings Institute: Washington, DC, USA, 2012; Available online: https://www.brookings.edu/wp-content/uploads/2016/06/0320_population_frey.pdf (accessed on 20 July 2025).
- Lee, H. Are Millennials leaving town? Reconciling peak Millennials and youthification typotheses. Int. J. Urban Sci. 2022, 26, 68–86. [Google Scholar] [CrossRef]
- Masnick, G. Despite Upswing in City Population Growth Rates, Suburbs Still Outpace Cities in Numerical Growth; Joint Center for Housing Studies: Cambridge, MA, USA, 2013; Available online: https://www.jchs.harvard.edu/blog/despite-upswing-in-city-population-growth-ratessuburbs-still-outpace-cities-in-numerical-growth (accessed on 20 July 2025).
- Ding, L.; Hwang, J.; Divringi, E. Gentrification and residential mobility in Philadelphia. Reg. Sci. Urban Econ. 2016, 61, 38–51. [Google Scholar] [CrossRef] [PubMed]
- Ellen, I.G.; O’Regan, K.M. How low-income neighborhoods change: Entry, exit, and enhancement. Reg. Sci. Urban Econ. 2011, 41, 89–97. [Google Scholar] [CrossRef]
- Lee, H.; Perkins, K.L. The geography of gentrification and residential mobility. Soc. Forces 2023, 101, 1856–1887. [Google Scholar] [CrossRef]
- Towe, C.A.; Klaiber, H.A.; Wrenn, D.H. Not my problem: Growth spillovers from uncoordinated land use policy. Land Use Policy 2017, 67, 679–689. [Google Scholar] [CrossRef]
- Byun, P.; Waldorf, B.S.; Esparza, A.X. Spillovers and local growth controls: An alternative perspective on suburbanization. Growth Chang. 2005, 36, 196–219. [Google Scholar] [CrossRef]
- McLaughlin, R.B. Land use regulation: Where have we been, where are we going? Cities 2012, 29, S50–S55. [Google Scholar] [CrossRef]
- Leguizamon, S.; Christafore, D. The influence of land use regulation on the probability that low-income neighbourhoods will gentrify. Urban Stud. 2021, 58, 993–1013. [Google Scholar] [CrossRef]
- Catenaccio, G. Urban growth boundaries: Two American examples. MIT J. Plan. 2011, 3, 31–51. [Google Scholar]
- Airgood-Obrycki, W.; McCue, D. The housing shortage is still out there. Hous. Policy Debate 2025, 35, 75–79. [Google Scholar] [CrossRef]
- Gupta, A.; Mittal, V.; Peeters, J.; Van Nieuwerburgh, S. Flattening the curve: Pandemic-induced revaluation of urban real estate. J. Financ. Econ. 2022, 146, 594–636. [Google Scholar] [CrossRef]
- Mordechay, K.; Schachner, J.N. The link between changes in neighborhood and school demographics: A multi-level perspective. In Gentrification and Schooling in Global Cities; Bonal, X., Cordini, M., Eds.; Edward Elgar Publishing: Cheltenham, UK, in press.



| Zoning Restrictiveness Index (ZRI) | |||
|---|---|---|---|
| MSA Title | MSA | Urban | Suburban |
| Restrictive Urban–Restrictive Suburban | |||
| Las Vegas–Henderson–Paradise, NV | 4.58 | 3.32 | 7.09 |
| San Jose–Sunnyvale–Santa Clara, CA | 3.87 | 3.20 | 4.54 |
| Miami–Fort Lauderdale–Pompano Beach, FL | 3.95 | 3.00 | 4.01 |
| Orlando–Kissimmee–Sanford, FL | 3.79 | 3.32 | 3.84 |
| San Francisco–Oakland–Berkeley, CA | 3.55 | 3.48 | 3.55 |
| Portland–Vancouver–Hillsboro, OR–WA | 3.42 | 3.40 | 3.42 |
| Los Angeles–Long Beach–Anaheim, CA | 3.36 | 2.80 | 3.40 |
| Restrictive Urban–Permissive Suburban | |||
| Salt Lake City, UT | 3.01 | 3.71 | 2.92 |
| Austin–Round Rock–Georgetown, TX | 2.91 | 3.04 | 2.83 |
| Phoenix–Mesa–Chandler, AZ | 2.88 | 3.67 | 2.78 |
| Riverside–San Bernardino–Ontario, CA | 2.70 | 3.71 | 2.65 |
| Dallas–Fort Worth–Arlington, TX | 2.61 | 2.82 | 2.59 |
| Atlanta–Sandy Springs–Alpharetta, GA | 2.57 | 3.32 | 2.55 |
| Charlotte–Concord–Gastonia, NC–SC | 2.47 | 3.47 | 2.30 |
| Denver–Aurora–Lakewood, CO | 2.41 | 3.26 | 2.24 |
| San Diego–Chula Vista–Carlsbad, CA | 2.02 | 3.72 | 1.85 |
| Raleigh–Cary, NC | 2.05 | 3.47 | 1.76 |
| Virginia Beach–Norfolk–Newport News, VA–NC | 2.26 | 2.93 | 1.59 |
| Oklahoma City, OK | 0.74 | 3.39 | 0.51 |
| San Antonio–New Braunfels, TX | 0.17 | 4.02 | –0.15 |
| Jacksonville, FL | –0.30 | 3.94 | –2.42 |
| Permissive Urban–Restrictive Suburban | |||
| Washington–Arlington–Alexandria, DC–VA–MD–WV | 5.18 | 1.90 | 5.41 |
| New York–Newark–Jersey City, NY–NJ–PA | 5.12 | 1.60 | 5.22 |
| Tampa–St. Petersburg–Clearwater, FL | 4.30 | 2.19 | 5.01 |
| Providence–Warwick, RI–MA | 4.83 | 2.30 | 4.96 |
| Seattle–Tacoma–Bellevue, WA | 4.53 | 2.53 | 4.69 |
| Milwaukee–Waukesha, WI | 4.06 | 1.90 | 4.16 |
| Detroit–Warren–Dearborn, MI | 3.87 | 1.37 | 3.98 |
| Boston–Cambridge–Newton, MA–NH | 3.87 | 2.49 | 3.92 |
| St. Louis, MO–IL | 3.39 | 1.78 | 3.45 |
| Minneapolis–St. Paul–Bloomington, MN–WI | 3.34 | 2.63 | 3.35 |
| Cleveland–Elyria, OH | 3.28 | 1.78 | 3.33 |
| Houston–The Woodlands–Sugar Land, TX | 3.17 | 1.05 | 3.28 |
| Indianapolis–Carmel–Anderson, IN | 3.00 | 1.97 | 3.08 |
| Cincinnati, OH–KY–N | 3.00 | 1.27 | 3.06 |
| Permissive Urban–Permissive Suburban | |||
| Philadelphia–Camden–Wilmington, PA–NJ–DE–MD | 3.04 | 2.69 | 3.05 |
| Chicago–Naperville–Elgin, IL–IN–WI | 2.94 | 2.69 | 2.95 |
| Baltimore–Columbia–Towson, MD | 2.35 | 2.41 | 2.33 |
| Pittsburgh, PA | 2.18 | 2.30 | 2.17 |
| Birmingham–Hoover, AL | 1.99 | 1.87 | 2.01 |
| Columbus, OH | 1.69 | 2.54 | 1.61 |
| Buffalo–Cheektowaga, NY | 1.33 | 2.21 | 1.21 |
| All | Urban Neighborhoods | Suburban Neighborhoods | |
|---|---|---|---|
| All Neighborhoods | 35,180 | 12,549 | 22,631 |
| Non-Gentrifiable | 21,123 | 5215 | 15,908 |
| Gentrifiable | 14,057 | 7334 | 6723 |
| (%) | 100.0 | 100.0 | 100.0 |
| Gentrifying | 5007 | 2946 | 2061 |
| (%) | 35.6 | 40.2 | 30.7 |
| Non-Gentrifying | 9050 | 4388 | 4662 |
| (%) | 64.4 | 59.8 | 69.3 |
| All Neighborhoods | Urban Neighborhoods | Suburban Neighborhoods | |||||||
|---|---|---|---|---|---|---|---|---|---|
| 2010 | 2020 | (%) | 2010 | 2020 | (%) | 2010 | 2020 | (%) | |
| Restrictive Urban–Restrictive Suburban | 30,937 | 33,306 | 7.7 | 9852 | 10,444 | 6.0 | 21,085 | 22,862 | 8.4 |
| Non-Gentrifiable | 19,034 | 20,731 | 8.9 | 4643 | 5010 | 7.9 | 14,391 | 15,721 | 9.2 |
| Gentrifiable | 11,903 | 12,575 | 5.6 | 5209 | 5434 | 4.3 | 6694 | 7141 | 6.7 |
| Gentrifying | 7902 | 8346 | 5.6 | 3212 | 3350 | 4.3 | 4690 | 4996 | 6.5 |
| Non-Gentrifying | 4001 | 4229 | 5.7 | 1997 | 2084 | 4.3 | 2004 | 2145 | 7.0 |
| Restrictive Urban–Permissive Suburban | 38,442 | 44,488 | 15.7 | 14,316 | 15,903 | 11.1 | 24,126 | 28,586 | 18.5 |
| Non-Gentrifiable | 24,255 | 29,070 | 19.8 | 7389 | 8469 | 14.6 | 16,867 | 20,600 | 22.1 |
| Gentrifiable | 14,186 | 15,419 | 8.7 | 6927 | 7433 | 7.3 | 7259 | 7986 | 10.0 |
| Gentrifying | 9368 | 10,165 | 8.5 | 4361 | 4679 | 7.3 | 5007 | 5486 | 9.6 |
| Non-Gentrifying | 4818 | 5254 | 9.1 | 2566 | 2755 | 7.4 | 2253 | 2500 | 11.0 |
| Permissive Urban–Restrictive Suburban | 60,970 | 65,988 | 8.2 | 18,400 | 19,475 | 5.8 | 42,570 | 46,512 | 9.3 |
| Non-Gentrifiable | 39,014 | 42,723 | 9.5 | 7136 | 7746 | 8.6 | 31,878 | 34,977 | 9.7 |
| Gentrifiable | 21,956 | 23,264 | 6.0 | 11,264 | 11,729 | 4.1 | 10,692 | 11,535 | 7.9 |
| Gentrifying | 14,544 | 15,393 | 5.8 | 6926 | 7197 | 3.9 | 7618 | 8197 | 7.6 |
| Non-Gentrifying | 7412 | 7871 | 6.2 | 4339 | 4532 | 4.5 | 3074 | 3339 | 8.6 |
| Permissive Urban–Permissive Suburban | 24,565 | 25,385 | 3.3 | 6661 | 6826 | 2.5 | 17,904 | 18,560 | 3.7 |
| Non-Gentrifiable | 16,054 | 16,900 | 5.3 | 2181 | 2350 | 7.7 | 13,873 | 14,550 | 4.9 |
| Gentrifiable | 8511 | 8486 | −0.3 | 4480 | 4476 | −0.1 | 4031 | 4010 | −0.5 |
| Gentrifying | 5550 | 5558 | 0.1 | 2647 | 2660 | 0.5 | 2903 | 2898 | −0.2 |
| Non-Gentrifying | 2961 | 2928 | −1.1 | 1832 | 1816 | −0.9 | 1129 | 1112 | −1.5 |
| % Gentrification | Urban–Suburban Gap (pp.) | |||
|---|---|---|---|---|
| MSA Title | MSA | Urban | Suburban | |
| Restrictive Urban–Restrictive Suburban | 34.5 | 38.1 | 31.2 | 7.0 |
| Las Vegas–Henderson–Paradise, NV | 38.5 | 44.2 | 29.5 | 14.7 |
| San Jose–Sunnyvale–Santa Clara, CA | 28.9 | 28.3 | 31.0 | –2.8 |
| Miami–Fort Lauderdale–Pompano Beach, FL | 41.6 | 50.0 | 39.6 | 10.4 |
| Orlando–Kissimmee–Sanford, FL | 36.4 | 34.4 | 37.3 | –3.0 |
| San Francisco–Oakland–Berkeley, CA | 28.5 | 37.5 | 19.8 | 17.7 |
| Portland–Vancouver–Hillsboro, OR–WA | 38.8 | 42.0 | 34.5 | 7.5 |
| Los Angeles–Long Beach–Anaheim, CA | 33.0 | 37.0 | 28.1 | 8.9 |
| Restrictive Urban–Permissive Suburban | 36.1 | 37.5 | 34.2 | 3.4 |
| Salt Lake City, UT | 36.8 | 44.4 | 31.7 | 12.7 |
| Austin–Round Rock–Georgetown, TX | 43.8 | 49.1 | 0.0 | 49.1 |
| Phoenix–Mesa–Chandler, AZ | 37.8 | 37.6 | 38.2 | –0.6 |
| Riverside–San Bernardino–Ontario, CA | 37.4 | 41.4 | 36.2 | 5.2 |
| Dallas–Fort Worth–Arlington, TX | 31.8 | 33.6 | 28.1 | 5.5 |
| Atlanta–Sandy Springs–Alpharetta, GA | 41.5 | 49.2 | 38.7 | 10.5 |
| Charlotte–Concord–Gastonia, NC–SC | 40.9 | 50.0 | 30.2 | 19.8 |
| Denver–Aurora–Lakewood, CO | 33.7 | 32.8 | 35.5 | –2.7 |
| San Diego–Chula Vista–Carlsbad, CA | 33.5 | 36.2 | 30.3 | 5.9 |
| Raleigh–Cary, NC | 34.2 | 34.3 | 33.3 | 1.0 |
| Virginia Beach–Norfolk–Newport News, VA–NC | 35.5 | 38.5 | 30.2 | 8.2 |
| Oklahoma City, OK | 36.7 | 35.8 | 39.1 | –3.3 |
| San Antonio–New Braunfels, TX | 34.5 | 35.2 | 20.0 | 15.2 |
| Jacksonville, FL | 34.7 | 31.8 | 66.7 | –34.8 |
| Permissive Urban–Restrictive Suburban | 36.2 | 40.4 | 30.0 | 10.3 |
| Washington–Arlington–Alexandria, DC–VA–MD–WV | 30.6 | 53.4 | 20.8 | 32.6 |
| New York–Newark–Jersey City, NY–NJ–PA | 38.0 | 39.2 | 34.0 | 5.2 |
| Tampa–St. Petersburg–Clearwater, FL | 37.2 | 56.1 | 28.9 | 27.1 |
| Providence–Warwick, RI–MA | 38.7 | 55.2 | 32.9 | 22.2 |
| Seattle–Tacoma–Bellevue, WA | 34.0 | 44.8 | 29.6 | 15.3 |
| Milwaukee–Waukesha, WI | 32.6 | 31.0 | 50.0 | –19.0 |
| Detroit–Warren–Dearborn, MI | 34.4 | 35.0 | 33.3 | 1.7 |
| Boston–Cambridge–Newton, MA–NH | 30.1 | 44.1 | 22.6 | 21.5 |
| St. Louis, MO–IL | 35.5 | 45.3 | 27.5 | 17.9 |
| Minneapolis–St. Paul–Bloomington, MN–WI | 38.7 | 36.5 | 41.3 | –4.8 |
| Cleveland–Elyria, OH | 38.2 | 39.0 | 36.5 | 2.5 |
| Houston–The Woodlands–Sugar Land, TX | 38.6 | 40.1 | 34.9 | 5.2 |
| Indianapolis–Carmel–Anderson, IN | 40.0 | 45.7 | 11.1 | 34.5 |
| Cincinnati, OH–KY–IN | 38.8 | 44.1 | 33.8 | 10.3 |
| Permissive Urban–Permissive Suburban | 37.2 | 43.2 | 27.9 | 15.3 |
| Philadelphia–Camden–Wilmington, PA–NJ–DE–MD | 35.7 | 46.6 | 21.2 | 25.5 |
| Chicago–Naperville–Elgin, IL–IN–WI | 35.8 | 42.8 | 23.9 | 18.9 |
| Baltimore–Columbia–Towson, MD | 35.6 | 32.4 | 42.9 | –10.5 |
| Pittsburgh, PA | 47.9 | 62.9 | 40.5 | 22.4 |
| Birmingham–Hoover, AL | 39.2 | 39.5 | 38.5 | 1.0 |
| Columbus, OH | 37.7 | 41.3 | 22.7 | 18.6 |
| Buffalo–Cheektowaga, NY | 36.7 | 41.7 | 26.7 | 15.0 |
Disclaimer/Publisher’s Note: The statements, opinions and data contained in all publications are solely those of the individual author(s) and contributor(s) and not of MDPI and/or the editor(s). MDPI and/or the editor(s) disclaim responsibility for any injury to people or property resulting from any ideas, methods, instructions or products referred to in the content. |
© 2025 by the authors. Licensee MDPI, Basel, Switzerland. This article is an open access article distributed under the terms and conditions of the Creative Commons Attribution (CC BY) license (https://creativecommons.org/licenses/by/4.0/).
Share and Cite
Lee, H.; Mordechay, K. Do Metropolitan Zoning Asymmetries Influence the Geography of Suburban Growth and Gentrification? Land 2025, 14, 1555. https://doi.org/10.3390/land14081555
Lee H, Mordechay K. Do Metropolitan Zoning Asymmetries Influence the Geography of Suburban Growth and Gentrification? Land. 2025; 14(8):1555. https://doi.org/10.3390/land14081555
Chicago/Turabian StyleLee, Hyojung, and Kfir Mordechay. 2025. "Do Metropolitan Zoning Asymmetries Influence the Geography of Suburban Growth and Gentrification?" Land 14, no. 8: 1555. https://doi.org/10.3390/land14081555
APA StyleLee, H., & Mordechay, K. (2025). Do Metropolitan Zoning Asymmetries Influence the Geography of Suburban Growth and Gentrification? Land, 14(8), 1555. https://doi.org/10.3390/land14081555

