Summer Cooling Effect of Rivers in the Yangtze Basin, China: Magnitude, Threshold and Mechanisms
Abstract
1. Introduction
2. Materials and Methods
2.1. Research Area
2.2. Data Source
2.3. Research Methodology
2.3.1. Split Window Algorithm
- (1)
- Data preprocessing.
- (2)
- LST inversion.
2.3.2. Buffer Analysis Method
2.3.3. Optimal Parameter-Based Geographical Detector
- (1)
- Factor detection
- (2)
- Interaction detection
3. Results
3.1. Land Use Patterns and LST Spatial Distribution in the Yangtze River Basin
3.1.1. Spatiotemporal Dynamics of Land Use Patterns
3.1.2. Spatial Distribution Patterns of the LST
3.2. Cooling Effect Magnitude and Threshold Analysis
3.3. Analysis of the Cooling Effect Mechanisms
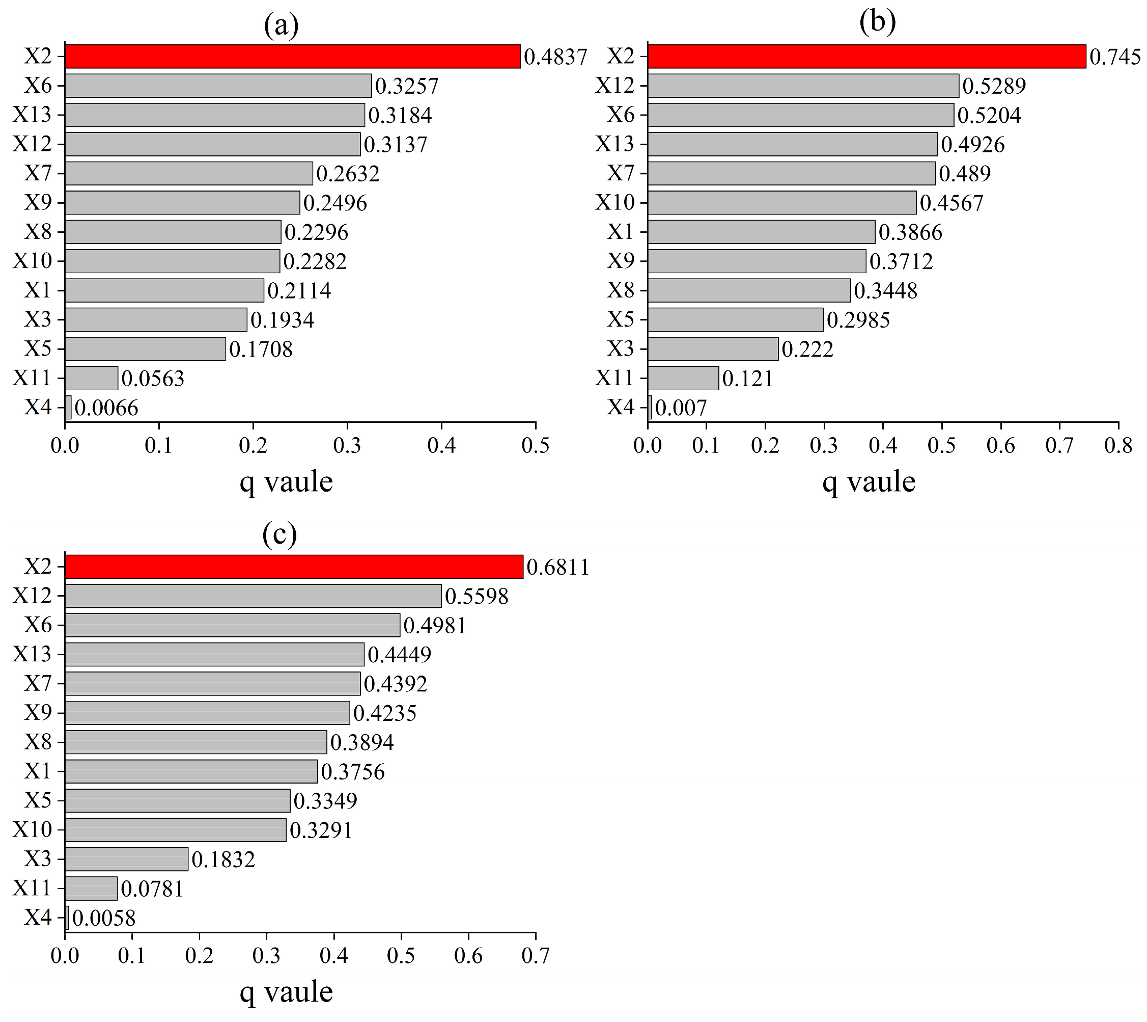
3.3.1. Single-Factor Detection
3.3.2. Factor Interaction Detection
4. Discussion
4.1. Analysis of the Differentiation of the Magnitude and Threshold of the Basin Cooling Effect
4.2. Policy Suggestions
4.3. Uncertainty Analysis of the Research
5. Conclusions
Supplementary Materials
Author Contributions
Funding
Data Availability Statement
Acknowledgments
Conflicts of Interest
References
- Li, H.; Jombach, S.; Tian, G.; Li, Y.; Meng, H. Characterizing Temporal Dynamics of Urban Heat Island in a Rapidly Expanding City: A 39 Years Study in Zhengzhou, China. Land 2022, 11, 1838. [Google Scholar] [CrossRef]
- Xiang, R.; Hou, X.; Li, R. Health risks from extreme heat in China: Evidence from health insurance. J. Environ. Manag. 2024, 354, 120300. [Google Scholar] [CrossRef] [PubMed]
- Tian, P.; Zhang, F.; Yan, Y.; Liu, Y.; Zhang, H.; Li, J. Spatial inequalities in global population exposure to extreme heats and heatwaves. Appl. Geogr. 2025, 174, 103474. [Google Scholar] [CrossRef]
- Du, H.; Song, X.; Jiang, H.; Kan, Z.; Wang, Z.; Cai, Y. Research on the cooling island effects of water body: A case study of Shanghai, China. Ecol. Indic. 2016, 67, 31–38. [Google Scholar] [CrossRef]
- Gupta, N.; Mathew, A.; Khandelwal, S. Analysis of cooling effect of water bodies on land surface temperature in nearby region: A case study of Ahmedabad and Chandigarh cities in India. Egypt. J. Remote Sens. Space Sci. 2019, 22, 81–93. [Google Scholar] [CrossRef]
- Lin, J.; Yang, W.; Yu, K.; Geng, J.; Liu, J. Construction of Water Corridors for Mitigation of Urban Heat Island Effect. Land 2023, 12, 308. [Google Scholar] [CrossRef]
- Moazzam, M.F.U.; Lee, B.G. Urbanization influenced SUHI of 41 megacities of the world using big geospatial data assisted with google earth engine. Sustain. Cities Soc. 2024, 101, 105095. [Google Scholar] [CrossRef]
- Moyer, A.N.; Hawkins, T.W. River effects on the heat island of a small urban area. Urban Clim. 2017, 21, 262–277. [Google Scholar] [CrossRef]
- Tan, J.; Kuang, W.; Yu, D.; Zhou, W.; Li, X.; Liu, Q.; He, L. Investigating the cooling effects of land cover and landscape patterns surrounding rivers: Insights from the subtropical city of Changsha, China. Urban Clim. 2024, 55, 101975. [Google Scholar] [CrossRef]
- Guo, F.; Xu, S.; Zhao, J.; Zhang, H.; Liu, L.; Zhang, Z.; Yin, X. Study on the mechanism of urban morphology on river cooling effect in severe cold regions. Front. Public Health 2023, 11, 117062. [Google Scholar] [CrossRef] [PubMed]
- Park, C.Y.; Lee, D.K.; Asawa, T.; Murakami, A.; Kim, H.G.; Lee, M.K.; Lee, H.S. Influence of urban form on the cooling effect of a small urban river. Landsc. Urban Plan. 2019, 183, 26–35. [Google Scholar] [CrossRef]
- Jiang, L.; Liu, S.; Liu, C.; Feng, Y. How do urban spatial patterns influence the river cooling effect? A case study of the Huangpu Riverfront in Shanghai, China. Sustain. Cities Soc. 2021, 69, 102835. [Google Scholar] [CrossRef]
- Sökmen, E.D.; Eminel Kutay, M. Assessing the cooling effects of narrow urban rivers: A spatial analysis of the Porsuk River. Environ. Monit. Assess. 2025, 197, 800. [Google Scholar] [CrossRef] [PubMed]
- Liu, Q.; Zhang, H.; Peng, J.; Li, Q.; Liu, T.; Hu, F.; Huang, H.; Shen, Y.; Ye, B.; Guo, Y.; et al. Mitigation strategies for regional heat island effects: Integrated network construction of cold and heat islands. Ecol. Indic. 2025, 176, 113703. [Google Scholar] [CrossRef]
- Gao, J.; Qu, L.; Wu, W. Spatial-temporal variation of surface temperature and cold island network construction in the Yangtze River delta urban agglomeration: Perspectives from current and future scenarios. Sustain. Cities Soc. 2025, 126, 106396. [Google Scholar] [CrossRef]
- Peng, W.; Yuan, X.; Gao, W.; Wang, R.; Chen, W. Assessment of urban cooling effect based on downscaled land surface temperature: A case study for Fukuoka, Japan. Urban Clim. 2021, 36, 100790. [Google Scholar] [CrossRef]
- Jiao, Y.; Zhu, G.; Lu, S.; Ye, L.; Qiu, D.; Meng, G.; Wang, Q.; Li, R.; Chen, L.; Wang, Y.; et al. The Cooling Effect of Oasis Reservoir-Riparian Forest Systems in Arid Regions. Water Resour. Res. 2024, 60, e2024WR038301. [Google Scholar] [CrossRef]
- Cheng, L.; Guan, D.; Zhou, L.; Zhao, Z.; Zhou, J. Urban cooling island effect of main river on a landscape scale in Chongqing, China. Sustain. Cities Soc. 2019, 47, 101501. [Google Scholar] [CrossRef]
- Hu, C.; Zhang, M.; Huang, G.; Li, Z.; Sun, Y.; Zhao, J. Tracking the impact of the land cover change on the spatial-temporal distribution of the thermal comfort: Insights from the Qinhuai River Basin, China. Sustain. Cities Soc. 2024, 116, 105916. [Google Scholar] [CrossRef]
- Hathway, E.A.; Sharples, S. The interaction of rivers and urban form in mitigating the Urban Heat Island effect: A UK case study. Build. Environ. 2012, 58, 14–22. [Google Scholar] [CrossRef]
- Zhou, W.; Wu, T.; Tao, X. Exploring the spatial and seasonal heterogeneity of cooling effect of an urban river on a landscape scale. Sci. Rep. 2024, 14, 8327. [Google Scholar] [CrossRef] [PubMed]
- Yujie, R.; Tang, X.; Fan, T.; Kang, D. Does the spatial pattern of urban blue–green space at city-level affects its cooling efficiency? Evidence from Yangtze River Economic Belt, China. Landsc. Ecol. Eng. 2023, 19, 363–379. [Google Scholar] [CrossRef]
- Shi, D.; Song, J.; Huang, J.; Zhuang, C.; Guo, R.; Gao, Y. Synergistic cooling effects (SCEs) of urban green-blue spaces on local thermal environment: A case study in Chongqing, China. Sustain. Cities Soc. 2020, 55, 102065. [Google Scholar] [CrossRef]
- Tan, X.; Sun, X.; Huang, C.; Yuan, Y.; Hou, D. Comparison of cooling effect between green space and water body. Sustain. Cities Soc. 2021, 67, 102711. [Google Scholar] [CrossRef]
- Adamowski, J.; Prokoph, A. Assessing the impacts of the urban heat island effect on streamflow patterns in Ottawa, Canada. J. Hydrol. 2013, 496, 225–237. [Google Scholar] [CrossRef]
- Wang, H.; Chen, C. Quantifying the contributions of urban spatial morphology on the river cold island effect: Taking Changsha, China, as an example. Sustain. Cities Soc. 2025, 122, 106256. [Google Scholar] [CrossRef]
- Cruz, J.A.; Blanco, A.C.; Garcia, J.J.; Santos, J.A.; Moscoso, A.D. Evaluation of the cooling effect of green and blue spaces on urban microclimate through numerical simulation: A case study of Iloilo River Esplanade, Philippines. Sustain. Cities Soc. 2021, 74, 103184. [Google Scholar] [CrossRef]
- Xue, Z.; Hou, G.; Zhang, Z.; Lyu, X.; Jiang, M.; Zou, Y.; Shen, X.; Wang, J.; Liu, X. Quantifying the cooling-effects of urban and peri-urban wetlands using remote sensing data: Case study of cities of Northeast China. Landsc. Urban Plan. 2019, 182, 92–100. [Google Scholar] [CrossRef]
- Wu, S.; Yang, H.; Luo, P.; Luo, C.; Li, H.; Liu, M.; Ruan, Y.; Zhang, S.; Xiang, P.; Jia, H.; et al. The effects of the cooling efficiency of urban wetlands in an inland megacity: A case study of Chengdu, Southwest China. Build. Environ. 2021, 204, 108128. [Google Scholar] [CrossRef]
- Peng, J.; Liu, Q.; Xu, Z.; Lyu, D.; Du, Y.; Qiao, R.; Wu, J. How to effectively mitigate urban heat island effect? A perspective of waterbody patch size threshold. Landsc. Urban Plan. 2020, 202, 103873. [Google Scholar] [CrossRef]
- Deng, Y.; Yao, Y.; Zhang, L. Analysis of urban wetland park cooling effects and their potential influence factors: Evidence from 477 urban wetland parks in China. Ecol. Indic. 2023, 156, 111103. [Google Scholar] [CrossRef]
- Peng, J.; Dan, Y.; Yu, X.; Xu, D.; Yang, Z.; Wang, Q. Response of urban green space cooling effect to urbanization in the Three Ring Road area of Changsha City. Sustain. Cities Soc. 2024, 109, 105534. [Google Scholar] [CrossRef]
- Wang, C.; Zhang, R.; Zhang, S. A 2000-year spatiotemporal pattern and relationship between cities and floods in the Yangtze River Basin, China. River Res. Appl. 2023, 39, 1212–1223. [Google Scholar] [CrossRef]
- Zhang, S.; Ren, Y.; Ren, G.; Tysa, S.K. The change and urbanization effect on extreme temperature trends in the Yangtze River Basin. Theor. Appl. Climatol. 2024, 156, 22. [Google Scholar] [CrossRef]
- Chan, D.; Wu, Q.; Jiang, G.; Dai, X. Projected shifts in Köppen climate zones over China and their temporal evolution in CMIP5 multi-model simulations. Adv. Atmos. Sci. 2016, 33, 283–293. [Google Scholar] [CrossRef]
- Li, Z.-L.; Wu, H.; Duan, S.-B.; Zhao, W.; Ren, H.; Liu, X.; Leng, P.; Tang, R.; Ye, X.; Zhu, J.; et al. Satellite Remote Sensing of Global Land Surface Temperature: Definition, Methods, Products, and Applications. Rev. Geophys. 2023, 61, e2022RG000777. [Google Scholar] [CrossRef]
- Su, Q.; Meng, X.; Sun, L. Investigation and Validation of Split-Window Algorithms for Estimating Land Surface Temperature from Landsat 9 TIRS-2 Data. Remote Sens. 2024, 16, 3633. [Google Scholar] [CrossRef]
- Xin, J.; Yang, J.; Sun, D.; Han, T.; Song, C.; Shi, Z. Seasonal Differences in Land Surface Temperature under Different Land Use/Land Cover Types from the Perspective of Different Climate Zones. Land 2022, 11, 1122. [Google Scholar] [CrossRef]
- Xie, W.; Li, J.; Liu, Y.; Peng, K.; Zhang, K. Evaluation of ecological buffer zone based on landscape pattern for non-point source pollution control: A case study in Hanjiang River basin, China. J. Hydrol. 2023, 626, 130341. [Google Scholar] [CrossRef]
- Song, Y.; Wang, J.; Ge, Y.; Xu, C. An optimal parameters-based geographical detector model enhances geographic characteristics of explanatory variables for spatial heterogeneity analysis: Cases with different types of spatial data. GISci. Remote Sens. 2020, 57, 593–610. [Google Scholar] [CrossRef]
- Yu, Y.; Fang, S.; Zhuo, W. Revealing the Driving Mechanisms of Land Surface Temperature Spatial Heterogeneity and Its Sensitive Regions in China Based on GeoDetector. Remote Sens. 2023, 15, 2814. [Google Scholar] [CrossRef]
- Shi, S.; Wang, X.; Hu, Z.; Zhao, X.; Zhang, S.; Hou, M.; Zhang, N. Geographic detector-based quantitative assessment enhances attribution analysis of climate and topography factors to vegetation variation for spatial heterogeneity and coupling. Glob. Ecol. Conserv. 2023, 42, e02398. [Google Scholar] [CrossRef]
- An, B.; Wang, X.; Huang, X. Changing characteristics, driving factors and future predictions of land use in the Weigan-Kuqa River Delta Oasis, China. Sci. Rep. 2024, 14, 29318. [Google Scholar] [CrossRef] [PubMed]
- Yu, L.; Liu, Y.; Yang, J.; Liu, T.; Bu, K.; Li, G.; Jiao, Y.; Zhang, S. Asymmetric daytime and nighttime surface temperature feedback induced by crop greening across Northeast China. Agric. For. Meteorol. 2022, 325, 109136. [Google Scholar] [CrossRef]
- Breil, M.; Rechid, D.; Davin, E.L.; de Noblet-Ducoudré, N.; Katragkou, E.; Cardoso, R.M.; Hoffmann, P.; Jach, L.L.; Soares, P.M.M.; Sofiadis, G.; et al. The Opposing Effects of Reforestation and Afforestation on the Diurnal Temperature Cycle at the Surface and in the Lowest Atmospheric Model Level in the European Summer. J. Clim. 2020, 33, 9159–9179. [Google Scholar] [CrossRef]
- Zhang, Q.; Yang, J.; Ma, X.; Xin, J.; Ren, J.; Yu, W.; Xiao, X.; Xia, J. Influence of 2-D/3-D Urban Morphology on Diurnal Land Surface Temperature From the Perspective of Functional Zones. IEEE J. Sel. Top. Appl. Earth Obs. Remote Sens. 2024, 17, 17036–17051. [Google Scholar] [CrossRef]
- Jing, P.; Wang, D.; Zhu, C.; Chen, J. Plant Physiological, Morphological and Yield-Related Responses to Night Temperature Changes across Different Species and Plant Functional Types. Front. Plant Sci. 2016, 7, 1774. [Google Scholar] [CrossRef] [PubMed]
- Lin, Y.; Wang, Z.; Jim, C.Y.; Li, J.; Deng, J.; Liu, J. Water as an urban heat sink: Blue infrastructure alleviates urban heat island effect in mega-city agglomeration. J. Clean. Prod. 2020, 262, 121411. [Google Scholar] [CrossRef]
- Sharma, K.V.; Kumar, V.; Gautam, L.; Choudhary, S.; Mathew, A. Geo-physical seasonal deviations of land use, terrain analysis, and water cooling effect on the surface temperature of Pune city. J. Water Clim. Change 2023, 14, 4802–4820. [Google Scholar] [CrossRef]
- Feng, X.; Li, M.; Zhou, Z.; Li, F.; Wang, Y. Quantifying the cooling effect of river and its surrounding land use on local land surface temperature: A case study of Bahe River in Xi’an, China. Egypt. J. Remote Sens. Space Sci. 2023, 26, 975–988. [Google Scholar] [CrossRef]
- Fan, Q.; Song, X.; Shi, Y.; Gao, R. Influencing Factors of Spatial Heterogeneity of Land Surface Temperature in Nanjing, China. IEEE J. Sel. Top. Appl. Earth Obs. Remote Sens. 2021, 14, 8341–8349. [Google Scholar] [CrossRef]
- Cao, X.; Chen, W.; Xing, Y.; Chen, Y.; Chen, X.; Wang, X.; Wu, D.; Niu, X.; Pu, W.; Liu, J.; et al. The changes in remoted land surface temperature (LST) triggered by natural and socioeconomic factors in typical Chinese cities. Urban Clim. 2024, 58, 102151. [Google Scholar] [CrossRef]
- Abbas, A.; He, Q.; Jin, L.; Li, J.; Salam, A.; Lu, B.; Yasheng, Y. Spatio-Temporal Changes of Land Surface Temperature and the Influencing Factors in the Tarim Basin, Northwest China. Remote Sens. 2021, 13, 3792. [Google Scholar] [CrossRef]
- Lai, J.; Zhan, W.; Voogt, J.; Quan, J.; Huang, F.; Zhou, J.; Bechtel, B.; Hu, L.; Wang, K.; Cao, C.; et al. Meteorological controls on daily variations of nighttime surface urban heat islands. Remote Sens. Environ. 2021, 253, 112198. [Google Scholar] [CrossRef]
- Wang, Z.; Meng, Q.; Allam, M.; Hu, D.; Zhang, L.; Menenti, M. Environmental and anthropogenic drivers of surface urban heat island intensity: A case-study in the Yangtze River Delta, China. Ecol. Indic. 2021, 128, 107845. [Google Scholar] [CrossRef]
- Zhang, L.; Bagan, H.; Chen, C.; Yoshida, T. Exploring the impact of urban morphology on river cooling effects: A case study of the Arakawa river in Tokyo. Ecol. Indic. 2025, 172, 113288. [Google Scholar] [CrossRef]
- Zhang, Y.; Sheng, Q.; Wang, B.; Li, J.; Ling, X.; Wu, Z.; Li, K.; Wang, Q.; Gao, F. Analysis of Seasonal Dominant Factors Influencing Land Surface Temperature Over the Tibetan Plateau. IEEE J. Sel. Top. Appl. Earth Obs. Remote Sens. 2025, 18, 13635–13651. [Google Scholar] [CrossRef]
- Wang, Z.; Zhou, R.; Rui, J.; Yu, Y. Revealing the impact of urban spatial morphology on land surface temperature in plain and plateau cities using explainable machine learning. Sustain. Cities Soc. 2025, 118, 106046. [Google Scholar] [CrossRef]
















| LST Grade | Value Range |
|---|---|
| Low-temperature Zone | Ts ≤ (a − 1.5 std) |
| Lower-temperature Zone | (a − 1.5 std) < Ts ≤ (a − 0.5 std) |
| Moderate-temperature Zone | (a − 0.5 std) < Ts ≤ (a + 0.5 std) |
| Higher-temperature Zone | (a + 0.5 std) < Ts ≤ (a + 1.5 std) |
| High-temperature Zone | Ts > (a + 1.5 std) |
| Factor | Indicator | Factor | Indicator | Factor | Indicator |
|---|---|---|---|---|---|
| X1 | Basin Area | X6 | Soil Type | X10 | Per Capita Tertiary Industry Output |
| X2 | Elevation | X7 | Population Density | X11 | Normalized Difference Vegetation Index |
| X3 | Slope | X8 | Per Capita Primary Industry Output | X12 | Wind Speed |
| X4 | Aspect | X9 | Per Capita Secondary Industry Output | X13 | Humidity |
| X5 | Land Use Type |
| Study Area | Country | Research Methods | Cooling Magnitude | Cooling Distance | Influencing Factors | Authors |
|---|---|---|---|---|---|---|
| Cheonggyecheon | South Korea | Mobile measurement | 0.46 °C | 32.7 m | Street Width, Mean Building Height | (Chae Yeon Park et al., 2019) [11] |
| Shenyang Hun River | China | Remote sensing data inversion, correlation analysis, and spatial regression models | / | 2500–4000 m | NDVI, building density | (Fei Guo et al., 2023) [10] |
| The right bank of Sabarmati River | India | Land surface temperature inversion, buffer analysis | 1.57 °C | 200–300 m | Road and building patterns | (Neha Gupta et al., 2019) [5] |
| Pennsylvania River | USA | Site observation, linear regression | 2.25 °C | / | Building morphology | (Ashley N. Moyer et al., 2017) [8] |
| Xiangjiang, Liuyang, and Weishui Rivers | China | Land surface temperature inversion, buffer analysis | 8.01 °C, 7.35 °C, 2.79 °C | / | Land cover type, landscape metrics (Largest Patch Index) | (Jie Tan et al., 2024) [9] |
| Huangpu River | China | Land surface temperature inversion, RCE calculation, and statistical analysis | 4.47 °C | 197.35 m | Building height, density, wind direction | (Li Jiang et al., 2021) [12] |
| Pearl River Delta Rivers | China | GEE-based inversion of average SUHI intensity | / | 100 m | Water area, geometric features | (Yi Lin et al., 2020) [48] |
| Lakes in Pune | India | Land surface temperature calculation and statistical analysis | / | 350 m | Land use type | (Kul Vaibhav Sharma et al., 2023) [49] |
| Bahe River | China | Single-window algorithm, spatial buffer analysis, and linear regression | 3.2–3.7 °C | 300–600 m | Land use type | (Xiaogang Feng et al., 2023) [50] |
| Yangtze River Basin | China | Split window algorithm, buffer analysis, parameter-optimized GeoDetector model | 0.79 °C | 472 m | Land use type, natural factors | This study |
Disclaimer/Publisher’s Note: The statements, opinions and data contained in all publications are solely those of the individual author(s) and contributor(s) and not of MDPI and/or the editor(s). MDPI and/or the editor(s) disclaim responsibility for any injury to people or property resulting from any ideas, methods, instructions or products referred to in the content. |
© 2025 by the authors. Licensee MDPI, Basel, Switzerland. This article is an open access article distributed under the terms and conditions of the Creative Commons Attribution (CC BY) license (https://creativecommons.org/licenses/by/4.0/).
Share and Cite
Xiong, P.; Guan, D.; Su, Y.; Zeng, S. Summer Cooling Effect of Rivers in the Yangtze Basin, China: Magnitude, Threshold and Mechanisms. Land 2025, 14, 1511. https://doi.org/10.3390/land14081511
Xiong P, Guan D, Su Y, Zeng S. Summer Cooling Effect of Rivers in the Yangtze Basin, China: Magnitude, Threshold and Mechanisms. Land. 2025; 14(8):1511. https://doi.org/10.3390/land14081511
Chicago/Turabian StyleXiong, Pan, Dongjie Guan, Yanli Su, and Shuying Zeng. 2025. "Summer Cooling Effect of Rivers in the Yangtze Basin, China: Magnitude, Threshold and Mechanisms" Land 14, no. 8: 1511. https://doi.org/10.3390/land14081511
APA StyleXiong, P., Guan, D., Su, Y., & Zeng, S. (2025). Summer Cooling Effect of Rivers in the Yangtze Basin, China: Magnitude, Threshold and Mechanisms. Land, 14(8), 1511. https://doi.org/10.3390/land14081511
