Spatiotemporal Patterns of Vegetation Coverage and Its Response to Land-Use Change in the Agro-Pastoral Ecotone of Inner Mongolia, China
Abstract
1. Introduction
2. Materials and Methods
2.1. Study Area
2.2. Data Acquisition
2.2.1. Remote Sensing Data
2.2.2. Land-Use Data
2.2.3. Meteorological Data
2.3. Research Methods
2.3.1. Calculation of Fractional Vegetation Cover (FVC)
2.3.2. Theil–Sen Trend Analysis and Mann–Kendall Significance Test
2.3.3. Coefficient of Variation (CV) Analysis
2.3.4. Future Trend Analysis
2.3.5. Land-Use Transition Matrix
2.3.6. Geographical Detector
2.3.7. Linear Regression Fitting
2.3.8. Future Scenario Projections
- (1)
- Natural development scenario: this scenario assumes a continuation of the land-use change trends observed from 2000 to 2020, maintaining the original land-use transition probabilities and neighborhood weights. The land-use demand for 2040 is predicted based on these parameters, serving as the baseline scenario for other scenario constraints.
- (2)
- Sustainable development scenario: based on the Guiding Opinions on Agricultural Structural Adjustment in the Northern Agro-Pastoral Transition Zone, issued by the Chinese Ministry of Agriculture, this scenario acknowledges the severe challenges in the region, such as overexploitation of water resources, land desertification, and grassland degradation. Future development emphasizes resource-efficient and environmentally friendly agricultural practices to enhance sustainability. Under this scenario, the following are true:
- The probability of cropland and forestland transitioning to built-up land decreases by 10%.
- The probability of grassland and water bodies transitioning to built-up land decreases by 20%.
- The probability of built-up land transitioning to forestland decreases by 20%.
- The probability of built-up land transitioning to grassland, water bodies, and unused land decreases by 10% [37].
- (3)
- Ecological protection scenario: this scenario aligns with China’s ecological priority policies in northern regions, aimed at protecting the environment. To simulate this, the following adjustments are made:
- The probability of forestland and grassland transitioning to built-up land decreases by 20%.
- The probability of water bodies transitioning to built-up land decreases by 30% [38].
- (4)
- Cropland protection scenario: based on the ecological and agricultural priorities in Inner Mongolia, this scenario includes the following adjustments:
- The probability of forestland and grassland transitioning to built-up land decreases by 20%.
- The probability of cropland transitioning to built-up land decreases by 60%.
- The probability of built-up land transitioning to cropland increases by 20% [39].
3. Results
3.1. Temporal Characteristics of Vegetation Coverage
3.2. Spatial Characteristics of Vegetation Coverage
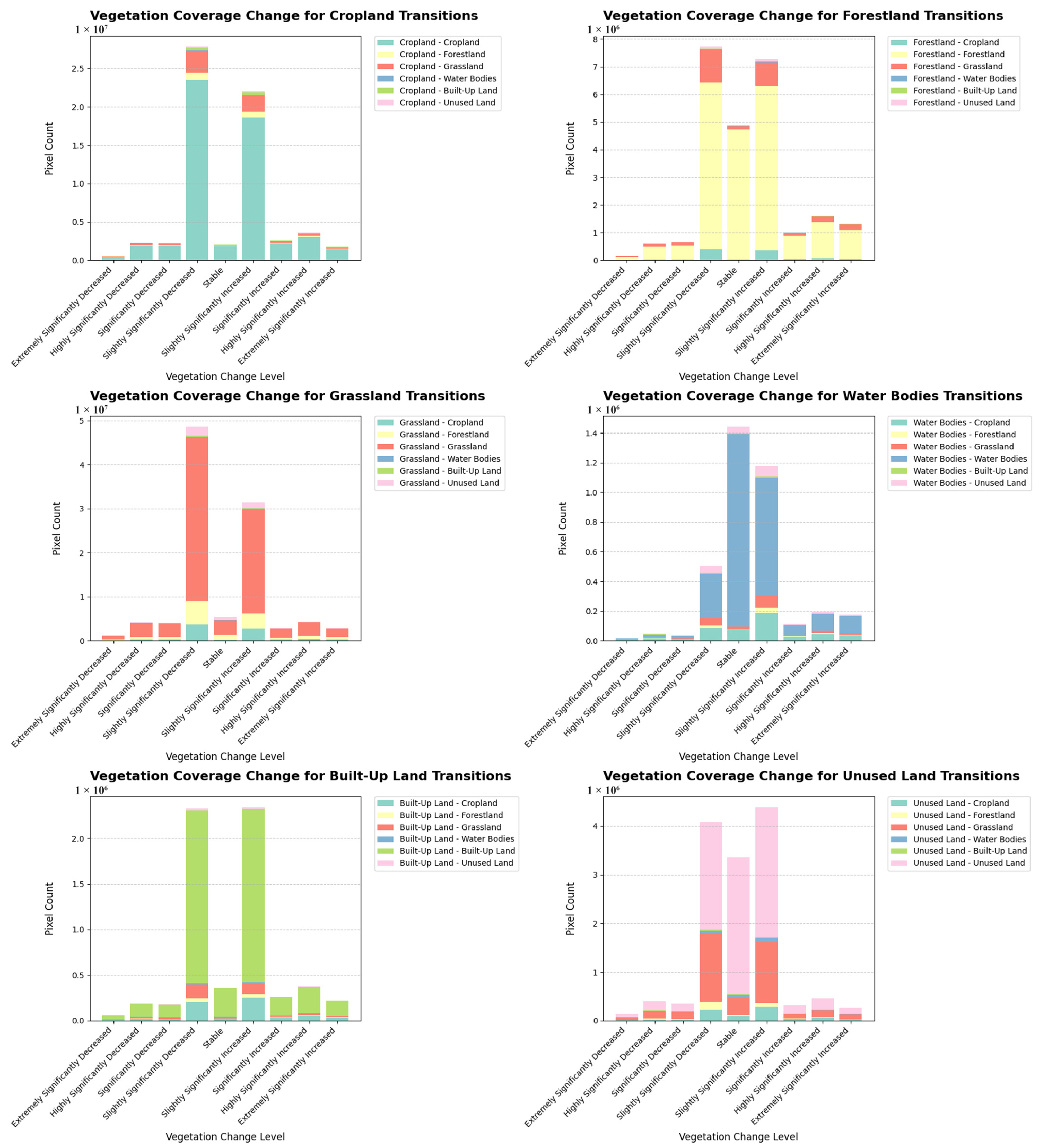
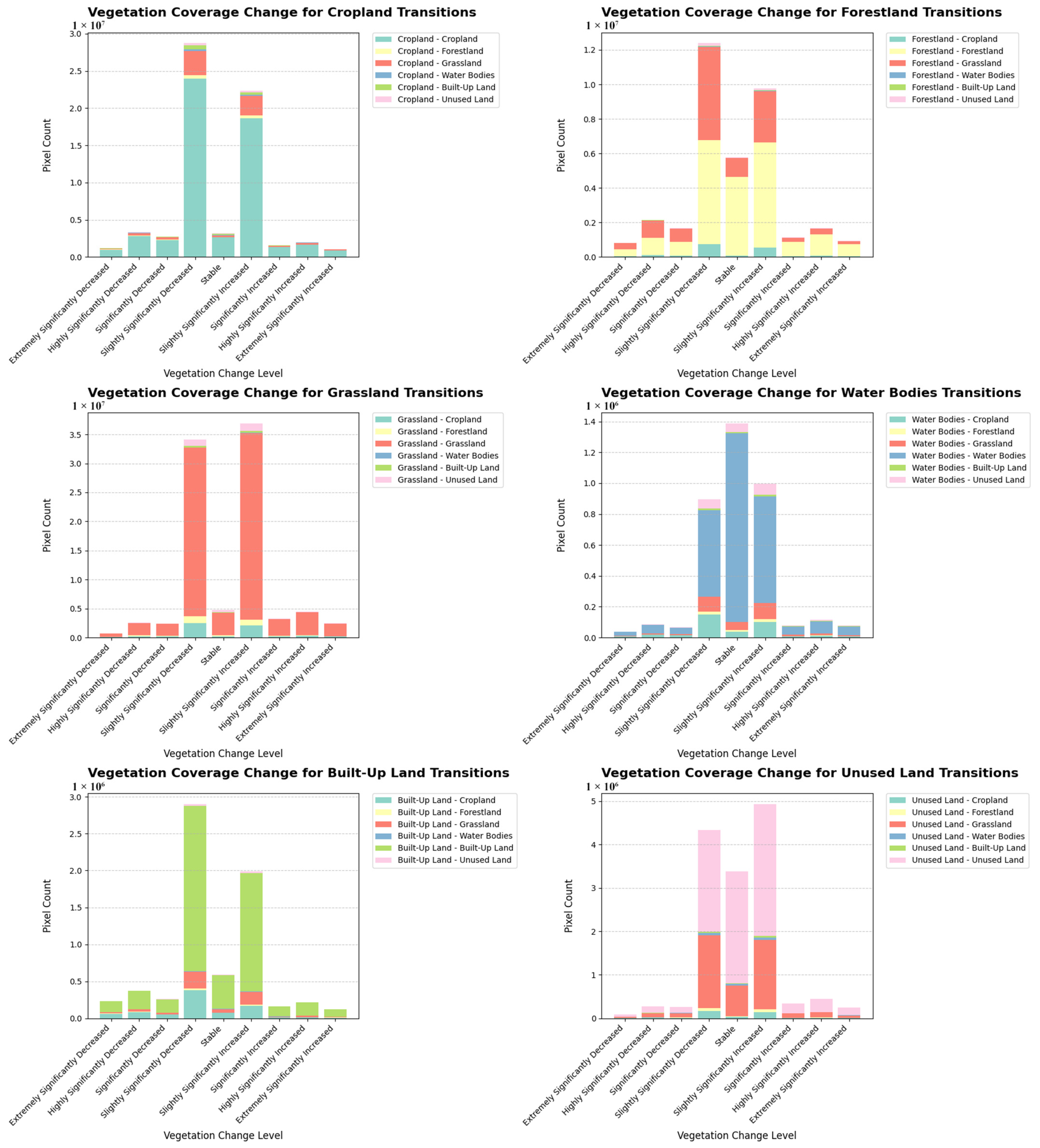
3.3. Land-Use Changes
3.4. Drivers Influencing Vegetation Cover Change
3.5. Fitting Vegetation Coverage with Different Land-Use Types
3.6. Future Scenario Simulations
4. Discussion
5. Conclusions
Author Contributions
Funding
Data Availability Statement
Acknowledgments
Conflicts of Interest
References
- Soto, G.E.; Wilcox, S.W.; Clark, P.E.; Fava, F.P.; Jensen, N.D.; Kahiu, N.; Liao, C.; Porter, B.; Sun, Y.; Barrett, C.B. Mapping Rangeland Health Indicators in Eastern Africa from 2000 to 2022. Earth Syst. Sci. Data 2024, 16, 5375–5404. [Google Scholar] [CrossRef]
- Saad, K.; Kallel, A.; Castaldi, F.; Sahli Chahed, T. Soil Salinity Detection and Mapping by Multi-Temporal Landsat Data: Zaghouan Case Study (Tunisia). Remote Sens. 2024, 16, 4761. [Google Scholar] [CrossRef]
- Luyssaert, S.; Jammet, M.; Stoy, P.C.; Estel, S.; Pongratz, J.; Ceschia, E.; Churkina, G.; Don, A.; Erb, K.; Ferlicoq, M.; et al. Land management and land-cover change have impacts of similar magnitude on surface temperature. Nat. Clim. Change 2014, 4, 389–393. [Google Scholar] [CrossRef]
- Arneth, A.; Denton, F.; Agus, F.; Elbehri, A.; Erb, K.H.; Elasha, B.O.; Rahimi, M.; Rounsevell, M.; Spence, A. Framing and Context. In Climate Change and Land: An IPCC Special Report on Climate Change, Desertification, Land Degradation, Sustainable Land Management, Food Security, and Greenhouse Gas Fluxes in Terrestrial Ecosystems; Shukla, P.R., Ed.; Chapter 1; IPCC: Geneva, Switzerland, 2019; Available online: https://research.vu.nl/en/publications/framing-and-context (accessed on 11 December 2024).
- Radwan, T.M.; Blackburn, G.A.; Whyatt, J.D.; Atkinson, P.M. Global land cover trajectories and transitions. Sci. Rep. 2021, 11, 12814. [Google Scholar] [CrossRef]
- Xu, L.; Li, Y.; Tian, W.; Xu, X.; He, C. Land Use and Land Cover Change in Agro-Pastoral Ecotone in Northern China: A Review. Chin. J. Appl. Ecol. 2018, 29, 3487–3495. [Google Scholar] [CrossRef]
- Guo, M.; Wang, S. Remote Sensing Monitoring and Ecological Risk Assessment of Landscape Patterning in the Agro-Pastoral Ecotone of Northeast China. Complexity 2021, 2021, 8851543. [Google Scholar] [CrossRef]
- Xu, X.; Jiang, H.; Wang, L.; Guan, M.; Li, J.; Li, J.; Liu, X.; Li, L.; Zhang, X. Major Consequences of Land-Use Changes for Ecosystems in the Agro-Pastoral Transitional Zone of Northern China. Appl. Sci. 2020, 10, 6714. [Google Scholar] [CrossRef]
- Lian, J.; Zhao, X.; Li, X.; Zhang, T.; Wang, S.; Luo, Y.; Zhu, Y.; Feng, J. Detecting Sustainability of Desertification Reversion: Vegetation Trend Analysis in Part of the Agro-Pastoral Transitional Zone in Inner Mongolia, China. Sustainability 2017, 9, 211. [Google Scholar] [CrossRef]
- Yuan, J.; Ouyang, Z.; Zheng, H.; Su, Y. Ecosystem carbon storage following different approaches to grassland restoration in south-eastern Horqin Sandy Land, northern China. Glob. Ecol. Conserv. 2021, 27, e01438. [Google Scholar] [CrossRef]
- Dong, J.; Liu, J.; Yan, H.; Tao, F.; Kuang, W. Spatio-temporal pattern and rationality of land reclamation and cropland abandonment in mid-eastern Inner Mongolia of China. Environ. Monit. Assess. 2011, 179, 137–153. [Google Scholar] [CrossRef]
- Gelata, F.T.; Han, J.; Gemeda, S.C. Application of MK trend and test of Sen’s slope estimator to measure impact of climate change on the adoption of conservation agriculture in Ethiopia. J. Water Clim. Change 2023, 14, 977–988. [Google Scholar] [CrossRef]
- Zhu, Z.; Zhang, J.; Yang, Z.; Aljaddani, A.H.; Cohen, W.B.; Qiu, S.; Zhou, C. Continuous monitoring of land disturbance based on Landsat time series. Remote Sens. Environ. 2020, 238, 111116. [Google Scholar] [CrossRef]
- Fu, B.; Lan, F.; Yao, H.; Qin, J.; He, H.; Liu, L.; Huang, L.; Fan, D.; Gao, E. Spatio-temporal monitoring of marsh vegetation phenology and its response to hydro-meteorological factors using CCDC algorithm with optical and SAR images: In case of Honghe National Nature Reserve, China. Sci. Total Environ. 2022, 843, 156990. [Google Scholar] [CrossRef] [PubMed]
- Su, Y.; Feng, Q.; Liu, W.; Zhu, M.; Xia, H.; Ma, X.; Cheng, W.; Zhang, J.; Zhang, C.; Yang, L.; et al. Improved Understanding of Trade-Offs and Synergies in Ecosystem Services via Fine Land-Use Classification and Multi-Scale Analysis in the Arid Region of Northwest China. Remote Sens. 2023, 15, 4976. [Google Scholar] [CrossRef]
- Shi, M.; Wu, H.; Fan, X.; Jia, H.; Dong, T.; He, P.; Baqa, M.F.; Jiang, P. Trade-Offs and Synergies of Multiple Ecosystem Services for Different Land Use Scenarios in the Yili River Valley, China. Sustainability 2021, 13, 1577. [Google Scholar] [CrossRef]
- Mahcer, I.; Baahmed, D.; Oudin, L.; Kaf, C.H.; Boudhar, A.; Boukhris, M.; Boukhris, A.; Djebbar, K.E.-B. Multidimensional Analysis of NDVI Dynamics in Response to Climate and Land Use/Land Cover Change in Northwest Algeria. J. Hydrol. Hydromech. 2024, 72, 123–134. [Google Scholar] [CrossRef]
- Gutman, G.; Ignatov, A. The Derivation of the Green Vegetation Fraction from NOAA/AVHRR Data for Use in Numerical Weather Prediction Models. Int. J. Remote Sens. 1998, 19, 1533–1543. [Google Scholar] [CrossRef]
- Li, S.; Liu, M. The Development Process, Current Situation and Prospects of the Conversion of Farmland to Forests and Grasses Project in China. J. Resour. Ecol. 2022, 13, 120–128. [Google Scholar]
- Jing, X.; Yao, W.Q.; Wang, J.H.; Song, X.Y. A Study on the Relationship between Dynamic Change of Vegetation Coverage and Precipitation in Beijing’s Mountainous Areas during the Last 20 Years. Math. Comput. Model. 2011, 54, 1079–1085. [Google Scholar] [CrossRef]
- Shi, F.; Liu, M.; Qiu, J.; Zhang, Y.; Su, H.; Mao, X.; Li, X.; Fan, J.; Chen, J.; Lv, Y.; et al. Assessing Land Cover and Ecological Quality Changes in the Forest-Steppe Ecotone of the Greater Khingan Mountains, Northeast China, from Landsat and MODIS Observations from 2000 to 2018. Remote Sens. 2022, 14, 725. [Google Scholar] [CrossRef]
- Chu, D. Fractional Vegetation Cover. In Remote Sensing of Land Use and Land Cover in Mountain Region; Springer: Singapore, 2020. [Google Scholar] [CrossRef]
- Chen, X.; Jiapaer, G.; Bao, A. A Comparison of Methods for Estimating Fractional Vegetation Cover in Arid Regions. Agric. For. Meteorol. 2011, 151, 1698–1710. [Google Scholar] [CrossRef]
- Tian, Y.; Bai, X.; Wang, S.; Qin, L.; Li, Y. Spatial-temporal Changes of Vegetation Cover in Guizhou Province, Southern China. Chin. Geogr. Sci. 2017, 27, 761–772. [Google Scholar] [CrossRef]
- Guo, M.; Li, J.; He, H.; Xu, J.; Jin, Y. Detecting Global Vegetation Changes Using Mann-Kendall (MK) Trend Test for 1982–2015 Time Period. Chin. Geogr. Sci. 2018, 28, 320–334. [Google Scholar] [CrossRef]
- Yuan, J.; Xu, Y.; Xiang, J.; Wu, L.; Wang, D. Spatiotemporal Variation of Vegetation Coverage and Its Associated Influence Factor Analysis in the Yangtze River Delta, Eastern China. Environ. Sci. Pollut. Res. 2019, 26, 12006–12018. [Google Scholar] [CrossRef]
- Vandandorj, S.; Boldgiv, B.; Gantsetseg, B. Spatial and Temporal Variability in Vegetation Cover of Mongolia and Its Implications. J. Arid Land 2015, 7, 450–461. [Google Scholar] [CrossRef]
- Rahman, S.; Ghosh, S. Spatio-Temporal Variability of Spectral Indices and Land Surface Temperature for Ecological Change Detection in Faridabad District, India Between 1991 and 2021. In Proceedings of the 2024 International Conference on Remote Sensing and Geoinformation, Singapore, 21–23 August 2024; Springer: Berlin/Heidelberg, Germany, 2024; pp. 123–134. [Google Scholar] [CrossRef]
- Shi, X.; Yang, D.; Zhou, S.; Li, H.; Zeng, S.; Chen, Y.; Yang, M. Citation Analysis of Spatiotemporal Variation Characteristics and Influencing Factors of Grassland Vegetation Coverage in the Qinghai-Tibet Plateau from 2000 to 2023. Land 2024, 13, 2127. [Google Scholar] [CrossRef]
- Huang, Y.; Jin, Y.; Chen, S. The Spatiotemporal Dynamics of Vegetation Cover and Its Response to the Grain for Green Project in the Loess Plateau of China. Forests 2024, 15, 1949. [Google Scholar] [CrossRef]
- Yang, Q.; Chen, J.; Li, B.; Zhu, Y. Evolution and Driving Force Detection of Urban Human Settlement Environment at Urban Agglomeration in the Middle Reaches of the Yangtze River. Sci. Geogr. Sin. 2018, 38, 195–205. [Google Scholar] [CrossRef]
- Wang, J.; Xu, C. Geodetector: Principle and prospective. Acta Geogr. Sin. 2017, 72, 116–134. [Google Scholar] [CrossRef]
- Ge, Q.; Zhang, Z. Interaction of Multiple Geographic Factors in Spatial Analysis: The Geographic Detector Model. Geogr. Anal. 2014, 46, 317–328. [Google Scholar] [CrossRef]
- Zhang, K.; Feng, R.; Zhang, Z.; Deng, C.; Zhang, H.; Liu, K. Exploring the Driving Factors of Remote Sensing Ecological Index Changes from the Perspective of Geospatial Differentiation: A Case Study of the Weihe River Basin, China. Int. J. Environ. Res. Public Health 2022, 19, 10930. [Google Scholar] [CrossRef] [PubMed]
- Feng, D.; Bao, W.; Fu, M.; Zhang, M.; Sun, Y. Current and Future Land Use Characters of a National Central City in Eco-Fragile Region—A Case Study in Xi’an City Based on FLUS Model. Land 2021, 10, 286. [Google Scholar] [CrossRef]
- Zhang, L.N.; Li, X.B. Assessing Hydrological Effects of Human Activities by Hydrological Characteristic Parameters: A Case Study in the Yunzhou Reservoir Basin. Resour. Sci. 2004, 26, 62–67. (In Chinese) [Google Scholar] [CrossRef]
- Chen, Q.; Lin, J. Prediction of the Impact of Land Use Change on Ecosystem Services in the Pearl River Delta under Different Scenarios. J. Ecol. Rural Environ. 2024, 40, 612–621. [Google Scholar] [CrossRef]
- Yuan, X. Simulation of Land Use Change Scenarios and Study on Landscape Ecological Risks in Wuhan City Based on PLUS Model. Master’s Thesis, East China University of Technology, Fuzhou, China, 2023. (In Chinese). [Google Scholar] [CrossRef]
- Xie, X.D.; Lin, X.S.; Wang, Y.; Tu, R.Y.; Zhang, J.X. Multi-Scenario Simulation of Land Use in Nanchuan District of Chongqing Based on PLUS Model. J. Chang. River Sci. Res. Inst. 2023, 40, 86–92+113. [Google Scholar] [CrossRef]
- Yi, H.; Zhang, X.; He, L.; He, J.; Tian, Q.; Zou, Y.; An, Z. Detecting the Impact of the “Grain for Green” Program on Land Use/Land Cover and Hydrological Regimes in a Watershed of the Chinese Loess Plateau over the Next 30 Years. Ecol. Indic. 2023, 150, 110181. [Google Scholar] [CrossRef]
- Hu, Y.; Zhang, S.; Shi, Y.; Guo, L. Quantifying the Impact of the Grain-for-Green Program on Ecosystem Service Scarcity Value in Qinghai, China. Sci. Rep. 2023, 13, 29937. [Google Scholar] [CrossRef]
- Huo, T.; Wang, J.; Zhang, Y.; Wei, B.; Chen, K.; Zhuang, M.; Liu, N.; Zhang, Y.; Liang, J. Grazing Exclusion and Climate Change Effects on Temperate Grassland Vegetation Recovery. Sci. Total Environ. 2024, 857, 159516. [Google Scholar] [CrossRef]
- Jiang, C.; Li, B.; Wang, W. Environmental Change in the Agro-Pastoral Transitional Zone, Northern China: Patterns, Drivers, and Implications. Int. J. Environ. Res. Public Health 2016, 13, 165. [Google Scholar] [CrossRef]
- Carreiras, J.M.B.; Jones, J.; Lucas, R.M.; Gabriel, C. Land Use and Land Cover Change Dynamics across the Brazilian Amazon: Insights from Extensive Time-Series Analysis of Remote Sensing Data. PLoS ONE 2014, 9, e104144. [Google Scholar] [CrossRef]
- Papoutsa, C.; Kouhartsiouk, D.; Themistocleous, K.; Christoforou, M.; Hadjimitsis, D.G. Monitoring of Land Degradation from Overgrazing Using Space-Borne Radar and Optical Imagery: A Case Study in Randi Forest, Cyprus. In Proceedings of the Earth Resources and Environmental Remote Sensing/GIS Applications VII, Edinburgh, UK, 26–29 September 2016; International Society for Optics and Photonics. SPIE: Philadelphia, PA, USA, 2016; 10005, pp. 331–340. [Google Scholar] [CrossRef]
- Zhang, Y.; Lu, Y.; Song, X. Identifying the Main Factors Influencing Significant Global Vegetation Changes. Forests 2023, 14, 1607. [Google Scholar] [CrossRef]
- Abera, B.; Adem, S.; Gebrehiwot, G.; Tsegaye, M. Impact of Climate Variability and Environmental Policies on Vegetation Dynamics in the Semi-Arid Tigray. npj Climate Atmos. Sci. 2024, 7, 24. [Google Scholar] [CrossRef]
- Lyu, F.; Pan, Y.; Yu, L.; Wang, X.; Yu, Z. The Impact of Anthropogenic Activities and Natural Factors on the Grassland over the Agro-Pastoral Ecotone of Inner Mongolia. Land 2023, 12, 2009. [Google Scholar] [CrossRef]
- Zhang, X.; Huang, X.R. Human Disturbance Caused Stronger Influences on Global Vegetation Change Than Climate Change. PeerJ 2019, 7, e7763. [Google Scholar] [CrossRef] [PubMed]
- Hastie, T.; Tibshirani, R.; Friedman, J. The Elements of Statistical Learning: Data Mining, Inference, and Prediction, 2nd ed.; Springer: New York, NY, USA, 2009. [Google Scholar] [CrossRef]
- James, G.; Witten, D.; Hastie, T.; Tibshirani, R. An Introduction to Statistical Learning: With Applications in R; Springer: New York, NY, USA, 2013. [Google Scholar] [CrossRef]
- Wang, R.; Zhao, J.; Chen, G.; Lin, Y.; Yang, A.; Cheng, J. Coupling PLUS–InVEST Model for Ecosystem Service Research in Yunnan Province, China. Sustainability 2022, 15, 271. [Google Scholar] [CrossRef]
- Senthil, K.; Ramasamy, K. High Spatial Resolution Satellite Imagery for Vegetation Monitoring in Semi-Arid Regions. Remote Sens. Environ. 2020, 246, 111816. [Google Scholar] [CrossRef]
- Sun, R.; Chen, S.; Su, H. Trend Analysis and Driving Factors of Vegetation Dynamics in Northern China from 1982 to 2015. Remote Sens. 2022, 14, 6163. [Google Scholar] [CrossRef]
- Wang, Q.; Zhang, W.; Li, N.; Zhao, Y.; Zhang, D. Effects of Climate Change and Human Activities on Vegetation Coverage Change in Northern China Considering Extreme Climate and Time-Lag and -Accumulation Effects. Sci. Total Environ. 2022, 808, 152295. [Google Scholar] [CrossRef]
- Liu, L.; Yu, S.; Zhang, H.; Wang, Y.; Liang, C. Analysis of Land Use Change Drivers and Simulation of Different Future Scenarios: Taking Shanxi Province of China as an Example. Int. J. Environ. Res. Public Health 2023, 20, 1626. [Google Scholar] [CrossRef]
- Han, H.; Yang, C.; Song, J. Scenario Simulation and the Prediction of Land Use and Land Cover Change in Beijing, China. Sustainability 2015, 7, 4260–4279. [Google Scholar] [CrossRef]
- Thomas, C.; Ranchin, T.; Wald, L.; Chanussot, J. Synthesis of Multispectral Images to High Spatial Resolution: A Critical Review of Fusion Methods Based on Remote Sensing Physics. IEEE Trans. Geosci. Remote Sens. 2007, 45, 3012–3028. [Google Scholar] [CrossRef]
- Wang, B.; Wang, B.; Bao, J.; Peng, J.; Zhang, J.; Wang, P. An NDVI Synthesis Method for Multi-Temporal Remote Sensing Images Based on k–NN Learning: A Case Based on GF-1 Data. Remote Sens. Lett. 2018, 9, 541–549. [Google Scholar] [CrossRef]












| Object | Land Use | Subcategories of Land Use |
|---|---|---|
| 1 | Cropland | Paddy fields, dryland |
| 2 | Forestland | Forested land, shrubland, sparse forestland, non-afforested land, abandoned land, and various types of orchards |
| 3 | Grassland | High-cover grassland, medium-cover grassland, low-cover grassland |
| 4 | Water bodies | Rivers and channels, lakes, reservoirs and ponds, permanent glaciers, tidal flats, and shorelines |
| 5 | Built-up land | Urban land, rural settlements, factories, industrial zones, transportation roads, and special-purpose land |
| 6 | Unused land | Sandy land, Gobi Desert, saline–alkali land, marshes, bare land, barren rocky land, alpine desert, and tundra |
| Category | FVC Range | Ecological Significance |
|---|---|---|
| Low coverage | 0–20% | Sparse vegetation, almost no vegetation present. |
| Medium-low coverage | 20–40% | Limited vegetation coverage, with average ecological quality. |
| Medium coverage | 40–60% | Moderate vegetation coverage, with relatively stable ecological conditions. |
| Medium-high coverage | 60–80% | Good vegetation coverage, with a relatively intact ecosystem. |
| High coverage | 80–100% | Very high vegetation coverage, indicating a healthy and well-functioning ecosystem |
| Category | Criteria | MK–Sen Definition |
|---|---|---|
| Stable | Else | FVC changes are negligible, with no significant trend. |
| Extremely significantly decreased | p ≤ 0.01 and β < 0 | FVC exhibits an extremely significant negative trend, with the most severe reduction. |
| Highly significantly decreased | 0.01 < p ≤ 0.05 and β < 0 | FVC exhibits a highly significant negative trend, with a severe reduction. |
| Significantly decreased | 0.05 < p ≤ 0.1 and β < 0 | FVC exhibits a significant negative trend, with a noticeable reduction. |
| Slightly significantly decreased | p ≥ 0.1 and β < 0 | FVC exhibits a slightly significant negative trend, with a minor reduction. |
| Slightly significantly increased | p ≥ 0.1 and β > 0 | FVC exhibits a slightly significant positive trend, with a minor improvement. |
| Significantly increased | 0.05 < p ≤ 0.1 and β > 0 | FVC exhibits a significant positive trend, with a noticeable improvement. |
| Highly significantly increased | 0.01 < p ≤ 0.05 and β > 0 | FVC exhibits a highly significant positive trend, with a substantial improvement. |
| Extremely significantly increased | p ≤ 0.01 and β > 0 | FVC exhibits an extremely significant positive trend, with the most substantial improvement. |
| Category | Criteria | Definition |
|---|---|---|
| Stable | V = 0 | Regions with minimal interannual fluctuations, indicating high FVC stability. |
| Low variation | 0 < V ≤ 0.15 | Regions with small interannual fluctuations, suggesting relatively high FVC stability. |
| Medium variation | 0.15 < V ≤ 0.3 | Regions with moderate FVC fluctuations, possibly influenced by some external disturbances. |
| High variation | 0.3 < V ≤ 0.45 | Regions with significant FVC fluctuations, strongly influenced by human or natural factors. |
| Extreme variation | 0.45 < V | Regions with the most severe FVC fluctuations, often ecological hot spots or sensitive areas. |
| Category | Criteria | Definition |
|---|---|---|
| Regions of continuous growth | Hurst > 0.5 and β > 0.5 | FVC exhibits a sustained growth trend, indicating long-term potential for vegetation improvement. |
| Regions of anti-continuous growth | Hurst < 0.5 and β > 0.5 | FVC shows short-term growth but lacks long-term persistence for continued improvement. |
| Regions of continuous decline | Hurst > 0.5 and β < 0.5 | FVC exhibits a sustained decline trend, indicating potential long-term risks of vegetation loss. |
| Regions of anti-continuous decline | Hurst < 0.5 and β < 0.5 | FVC shows short-term decline, but the long-term trend may reverse. |
| Random variation | Hurst = 0.5 and β = 0.5 | FVC changes are weak, with no significant long-term trend. |
| Type | Cropland | Forestland | Grassland | Water Bodies | Built-Up Land | Unused Land |
|---|---|---|---|---|---|---|
| Natural development | 0.3971 | 0.0001 | 1 | 0.4656 | 0.4937 | 0.4319 |
| Sustainable development | 0.4390 | 0.0001 | 1 | 0.4899 | 0.5031 | 0.5053 |
| Cropland protection | 0.4462 | 0.0001 | 1 | 0.4854 | 0.5018 | 0.4847 |
| Ecological protection | 0.4714 | 0.0001 | 1 | 0.4969 | 0.5051 | 0.5121 |
| Year | 2010 | |||||||
|---|---|---|---|---|---|---|---|---|
| Land-Use Type (km2) | Cropland | Forestland | Grassland | Water Bodies | Built-Up Land | Unused Land | Total Outflows | |
| 2000 | Cropland | 37,422.06 | 1405.61 | 3649.76 | 230.76 | 555.67 | 265.74 | 6107.54 |
| Forestland | 638.10 | 14,036.59 | 1829.97 | 36.22 | 46.78 | 129.92 | 2680.99 | |
| Grassland | 5013.27 | 8176.48 | 52,775.31 | 192.00 | 368.32 | 3081.51 | 16,831.58 | |
| Water Bodies | 309.69 | 48.26 | 113.30 | 1853.81 | 11.63 | 127.47 | 610.35 | |
| Built-Up Land | 339.67 | 66.97 | 192.15 | 16.77 | 3578.88 | 39.79 | 655.35 | |
| Unused Land | 487.17 | 220.63 | 2373.17 | 161.03 | 39.92 | 5779.52 | 3281.92 | |
| Total Inflows | 6787.9 | 9917.95 | 8158.35 | 636.78 | 1022.32 | 3644.43 | ||
| Year | 2020 | |||||||
| Land-Use Type (km2) | Cropland | Forestland | Grassland | Water Bodies | Built-Up Land | Unused Land | Total Outflows | |
| 2010 | Cropland | 37,024.72 | 678.89 | 4900.23 | 337.12 | 795.76 | 471.74 | 7183.74 |
| Forestland | 1170.22 | 14,372.87 | 8039.95 | 52.44 | 97.83 | 220.26 | 9580.7 | |
| Grassland | 4017.81 | 1899.41 | 52,293.60 | 126.48 | 468.21 | 2126.40 | 8638.31 | |
| Water Bodies | 241.16 | 37.38 | 193.10 | 1853.85 | 26.75 | 138.00 | 636.39 | |
| Built-Up Land | 562.13 | 49.89 | 358.62 | 13.33 | 3571.34 | 45.89 | 1029.86 | |
| Unused Land | 274.33 | 122.00 | 2904.92 | 118.60 | 64.62 | 5939.26 | 3484.47 | |
| Total Inflows | 6265.65 | 2787.57 | 16,396.82 | 647.97 | 1453.17 | 3002.29 | ||
| Land Use Type | Cropland | Forestland | Grassland | Water Bodies | Built-Up Land | Unused Land |
|---|---|---|---|---|---|---|
| Coefficient | 0.509843 | 1.602985 | 1.451349 | −0.152119 | −5.174780 | 1.330517 |
| Scenario | Cropland | Forestland | Grassland | Water Bodies | Built-Up Land | Unused Land | FVC Mean |
|---|---|---|---|---|---|---|---|
| Natural development | 42,685.53 | 11,576.47 | 74,567.91 | 2491.30 | 5548.24 | 8922.79 | 0.389882898 |
| Sustainable development | 42,796.98 | 11,572.67 | 74,640.15 | 2495.61 | 5363.52 | 8923.31 | 0.397506362 |
| Cropland protection | 42,911.77 | 11,587.39 | 74,667.76 | 2491.05 | 5208.46 | 8925.83 | 0.403876101 |
| Ecological protection | 42,699.04 | 11,589.94 | 74,686.96 | 2499.90 | 5387.82 | 8928.59 | 0.397001299 |
Disclaimer/Publisher’s Note: The statements, opinions and data contained in all publications are solely those of the individual author(s) and contributor(s) and not of MDPI and/or the editor(s). MDPI and/or the editor(s) disclaim responsibility for any injury to people or property resulting from any ideas, methods, instructions or products referred to in the content. |
© 2025 by the authors. Licensee MDPI, Basel, Switzerland. This article is an open access article distributed under the terms and conditions of the Creative Commons Attribution (CC BY) license (https://creativecommons.org/licenses/by/4.0/).
Share and Cite
Liu, H.; Na, Y.; Wu, Y.; Li, Z.; Qu, Z.; Lv, S.; Jiang, R.; Sun, N.; Hao, D. Spatiotemporal Patterns of Vegetation Coverage and Its Response to Land-Use Change in the Agro-Pastoral Ecotone of Inner Mongolia, China. Land 2025, 14, 1202. https://doi.org/10.3390/land14061202
Liu H, Na Y, Wu Y, Li Z, Qu Z, Lv S, Jiang R, Sun N, Hao D. Spatiotemporal Patterns of Vegetation Coverage and Its Response to Land-Use Change in the Agro-Pastoral Ecotone of Inner Mongolia, China. Land. 2025; 14(6):1202. https://doi.org/10.3390/land14061202
Chicago/Turabian StyleLiu, Hao, Ya Na, Yatang Wu, Zhiguo Li, Zhiqiang Qu, Shijie Lv, Rong Jiang, Nan Sun, and Dongkai Hao. 2025. "Spatiotemporal Patterns of Vegetation Coverage and Its Response to Land-Use Change in the Agro-Pastoral Ecotone of Inner Mongolia, China" Land 14, no. 6: 1202. https://doi.org/10.3390/land14061202
APA StyleLiu, H., Na, Y., Wu, Y., Li, Z., Qu, Z., Lv, S., Jiang, R., Sun, N., & Hao, D. (2025). Spatiotemporal Patterns of Vegetation Coverage and Its Response to Land-Use Change in the Agro-Pastoral Ecotone of Inner Mongolia, China. Land, 14(6), 1202. https://doi.org/10.3390/land14061202

