Quantitative Assessment of Age-Friendly Design in Mountainous Urban Community Parks Based on Nonlinear Models: An Empirical Study in Chongqing, China
Abstract
1. Introduction
- (1)
- Which regression model best captures the nonlinear variations in older adults’ satisfaction?
- (2)
- Which planning factors have the most significant impact on older adults’ satisfaction in these parks, and what is their relative importance?
- (3)
- How can community park construction mitigate psychological stress and loneliness in older adults and promote a positive park atmosphere?
2. Methodology
2.1. Study Area
2.2. Questionnaire Design
Determination of Questionnaire Planning Factors Based on the Delphi Method
2.3. Data Collection
2.4. Data Analysis
2.4.1. Principal Component Analysis
2.4.2. Model Selection
2.4.3. Comparison of Regression Models
- Ordered Probit Model
- b.
- Multinomial Logit Model
- c.
- Ordered Logit Model
3. Results
3.1. Principal Component Analysis Results
3.2. Model Performance
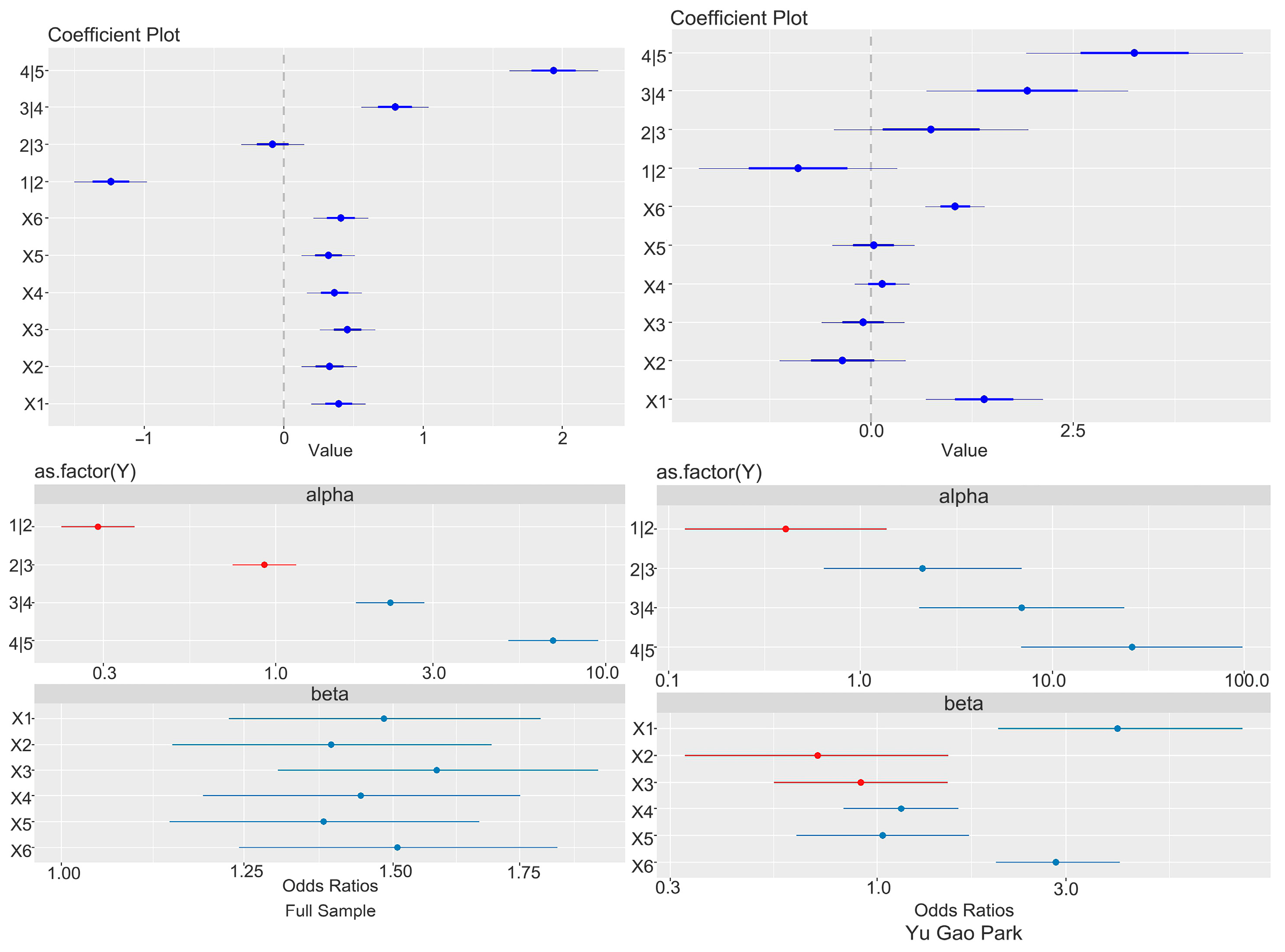
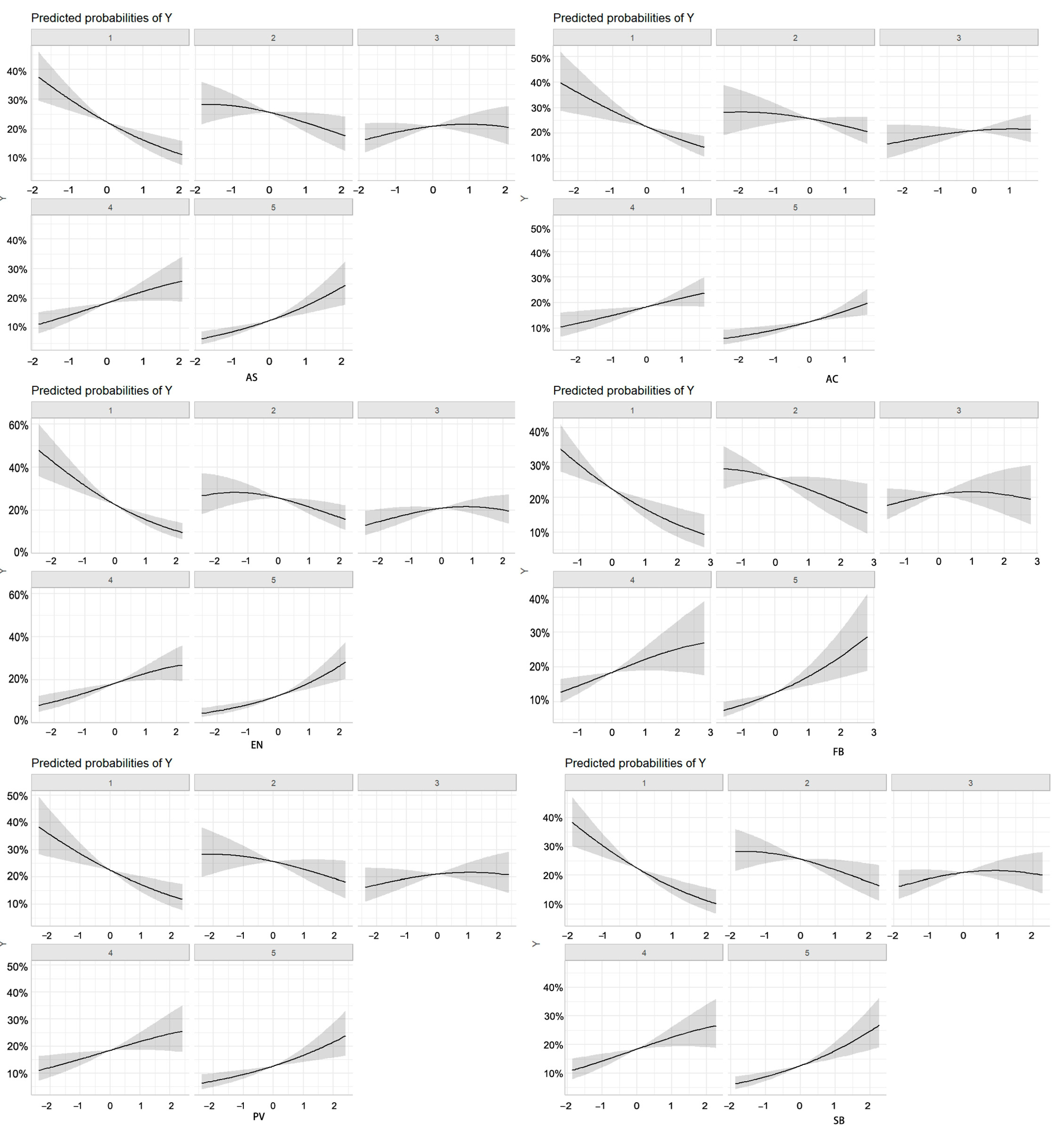
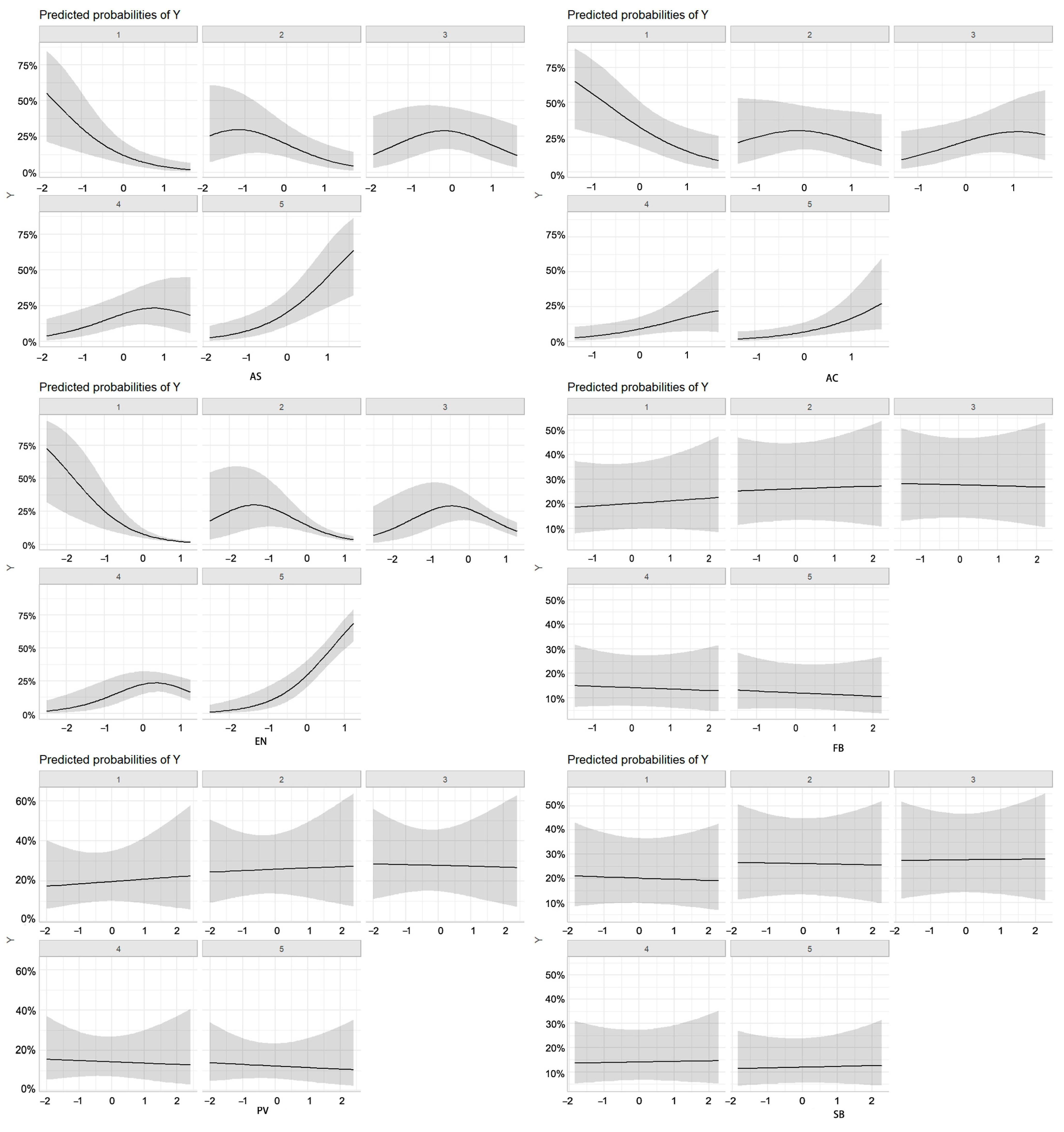
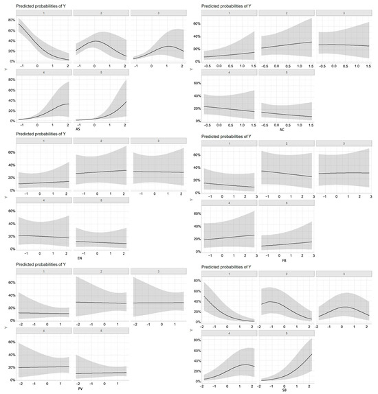
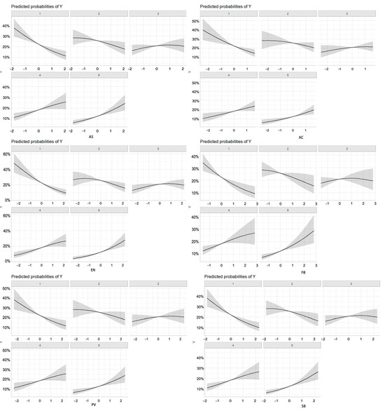
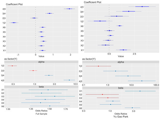
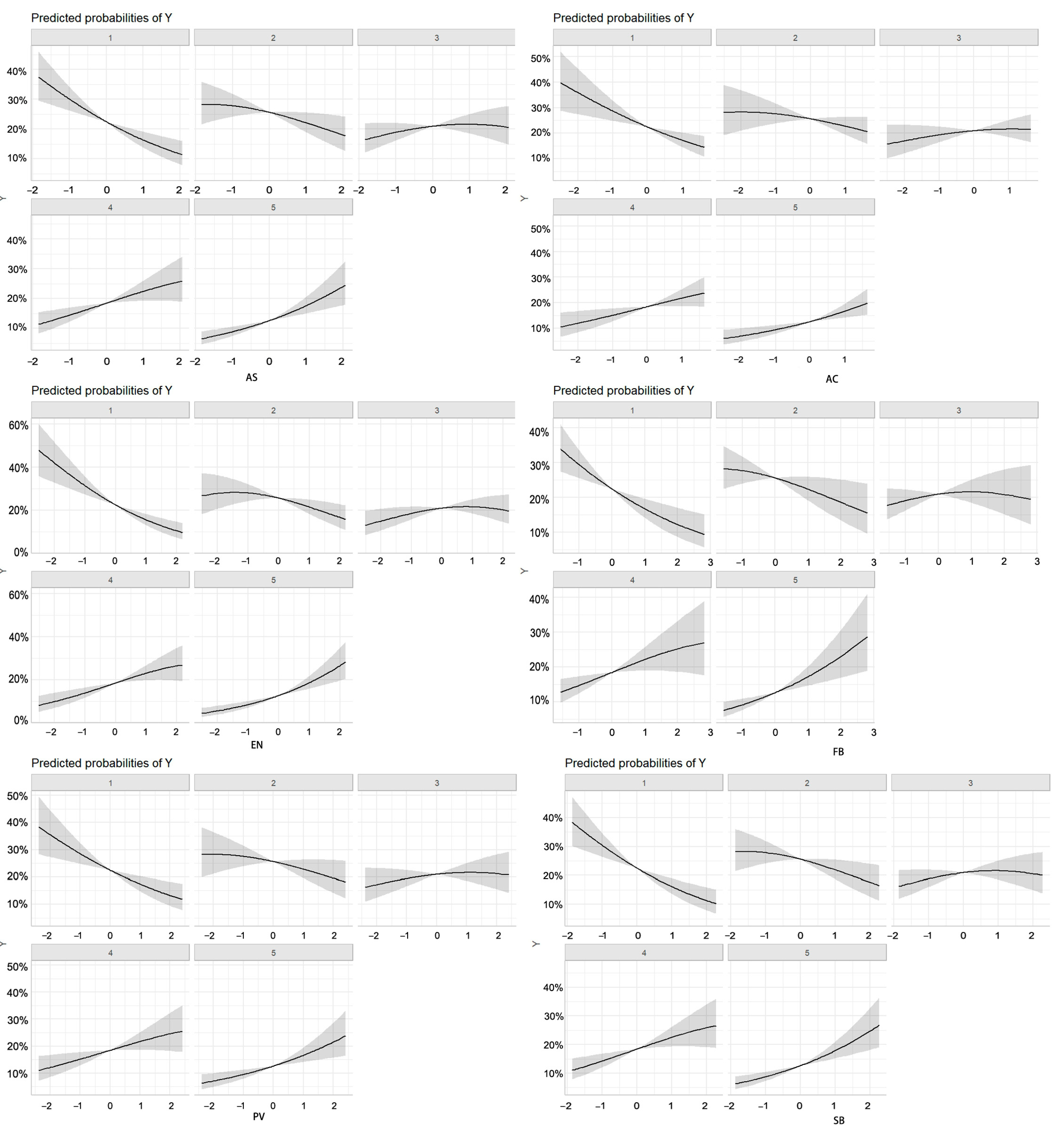
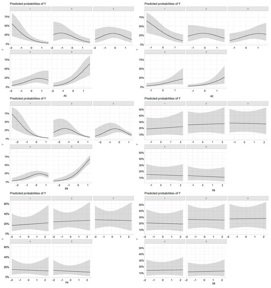
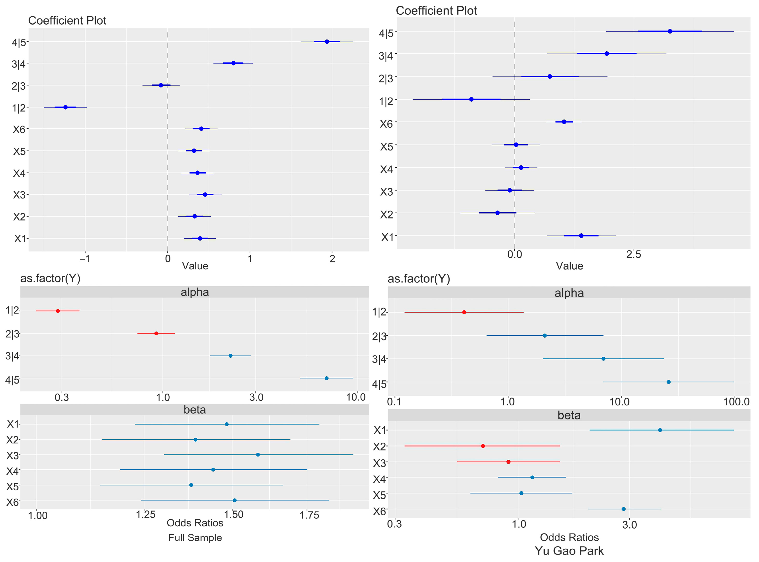
3.3. Ordered Logit Model Estimation Results: Satisfaction Index and Marginal Effects
4. Discussion
4.1. The Applicability of the Ordered Logit Model
4.2. Key Factors in the Construction of Age-Friendly Community Parks
4.3. The Dynamic Mechanism of Psychological Needs on Satisfaction
4.4. Limitations and Future Research Directions
5. Conclusions
Author Contributions
Funding
Institutional Review Board Statement
Informed Consent Statement
Data Availability Statement
Conflicts of Interest
Appendix A
| Element Layer of Indicator | Literature Extracted Indicator Items | Reference Literature for Indicator Selection |
|---|---|---|
| Park accessibility | Convenience of public transportation | [58] |
| Frequency of public transportation | [59] | |
| Distance from elderly residences | [48,60] | |
| Surrounding signage and guidance | [59] | |
| Convenience of pedestrian pathways to the park | [42,61,62] | |
| Accessibility of park entrances and exits | [63] | |
| Surrounding service facilities | Commercial services (the number and distribution of supermarkets, convenience stores, pharmacies, restaurants, tea houses, etc. around the park) | [64,65] |
| Healthcare services (the presence of emergency stations, first aid kits, and medical institutions or community health centers providing health consultations, physical exams, etc.) | [66] | |
| Community service support (the number and activities of community centers, senior activity rooms, etc., around the park, as well as services provided by volunteer organizations) | [67] | |
| Spatial organization and layout | Activity space—fitness activity area | [68,69] |
| Activity space—leisure, entertainment, and parent–child activity area | [70] | |
| Rest space—quiet rest area | [30,71] | |
| Rest space—scenic rest area | [72] | |
| Social space—social activity plaza | [68] | |
| Social space—private and comfortable communication area | Liu and Xiao [72]; Song, Wang and Zhou [73] | |
| Volunteer service space | [74] | |
| Park service efficiency | [75] | |
| Road network connectivity | [30,64,76] | |
| Functionality and safety of infrastructure | Seat layout design | [77,78] |
| Toilet design and placement | [79] | |
| Number and placement of trash bins | [80] | |
| Walking paths and anti-slip ground paving | [78] | |
| Lighting facilities | [59] | |
| Fitness activity equipment | [81,82,83] | |
| Park signage system | [84] | |
| Basic facilities such as sinks, drinking fountains, and rain shelters | [30] | |
| Non-congested facility usage | [80] | |
| Facility stability, condition, and maintenance | [64] | |
| Barrier-free pathways and handrails | [82,85] | |
| Quality of the landscape environment | Plant species diversity | [71,86,87,88] |
| Rich plant phenology | [85] | |
| Perception of natural features | [30,86] | |
| Plant safety | [30] | |
| Water features | [30] | |
| Tree shading | [30] | |
| Landscape maintenance and green environment | [30,68,89,90,91] | |
| Landscape ornaments | [85] | |
| Social participation | Social activity organization | [83,92] |
| Social connections | [93] | |
| Community decision-making participation | [85,94,95] | |
| Valuation and respect | [83] | |
| Regional cultural integration and emotional resonance | Emotional support | [96] |
| Sense of belonging | [97,98,99] | |
| Cultural elements | [100,101,102] | |
| Intergenerational interaction | [83,103] | |
| Emotional attachment | [96,97,98,99] |
Appendix B
| Section 1: Basic Information of Experts | ||||||||||
|---|---|---|---|---|---|---|---|---|---|---|
| Expert | E1 | E2 | E3 | E4 | E5 | E6 | E7 | E8 | E9 | E10 |
| Age | 62 | 46 | 52 | 38 | 54 | 31 | 35 | 34 | 42 | 35 |
| Years of Experience | 42 | 18 | 30 | 11 | 32 | 1 | 6 | 3 | 17 | 6 |
| Education Level | Doctorate | Doctorate | Doctorate | Doctorate | Doctorate | Doctorate | Doctorate | Doctorate | Doctorate | Doctorate |
| Professional title | Professor | Associate Professor | Professor | Professor | Professor | Lecturer | Lecturer | Associate Professor | Associate Professor | Associate Professor |
Appendix C
| With the decline in birth rates and improvements in healthcare, the global population is aging. Future park planning and design should provide better spaces and opportunities for the elderly to promote healthy aging. Based on this, understanding the key planning and design considerations for public resting spaces aimed at the elderly in high-density, old districts is the core focus of this study. We hope to gain your support and participation in the planning and design of future parks so that we can collectively contribute to the development of community park designs. Please take the time to carefully complete this survey. Thank you for your assistance.(Instructions: Please check the box next to the option you consider correct.) | ||||||
| Section 1: Demographic Characteristics | ||||||
| 1. Your age is: | ||||||
| □ 60–70 | ||||||
| □ 70–80 | ||||||
| □ Above 80 | ||||||
| 2. Your gender is: | ||||||
| □ Male □ Female | ||||||
| 3. Your level of education is: | ||||||
| □ Primary school □ Secondary school □ College □ Above | ||||||
| 4. What is your approximate monthly income? | ||||||
| □ Below 2000 □ 2000–4000 □ Above 4000 | ||||||
| 5. The duration of your stay in Chongqing is | ||||||
| □ <1 year □ 1–3 years □ 4–6 years □ 7–10 years □ >10 years | ||||||
| 6. The frequency of your park visits in the past three months: | ||||||
| □ Once a week or more | ||||||
| □ 2–3 times per month | ||||||
| □ Once a month or less | ||||||
| 7. Satisfaction with the park: | ||||||
| □ Very Satisfied □ Satisfied □ Neutral □ Dissatisfied □ Very Dissatisfied | ||||||
| 8. What aspect of the park are you most satisfied with? | ||||||
| 9. The aspect of the park you are most dissatisfied with is: | ||||||
| 10. If the park were to be renovated, what area would you most like to see improved? | ||||||
| Section 2: Evaluation of Community Parks | ||||||
| (1 denotes “very dissatisfied”; 2 denotes “dissatisfied”; 3 denotes “neutral”; 4 denotes “satisfied”; 5 denotes “very satisfied”) | ||||||
| Serial Number | Question Setting | Satisfaction Level | ||||
| 1 | The park is not far from my community, and I can walk there. The park entrances and exits are equipped with relevant barrier-free facilities. | 1 | 2 | 3 | 4 | 5 |
| 2 | There is convenient public transportation near the park, making it easy for me to get there and back. | 1 | 2 | 3 | 4 | 5 |
| 3 | The park provides clear public transportation schedules, with sufficient options and frequent services, making it easy for me to return home. | 1 | 2 | 3 | 4 | 5 |
| 4 | There are clear directional signs around the park, guiding me to the park. | 1 | 2 | 3 | 4 | 5 |
| 5 | The area around the park has well-developed service facilities (e.g., stores, cafés, clinics), making it convenient for me to use. | 1 | 2 | 3 | 4 | 5 |
| 6 | The park provides me and my friends with a private space and a quiet, relaxing environment. | 1 | 2 | 3 | 4 | 5 |
| 7 | The park offers a secure space where I can comfortably chat and socialize with my friends. | 1 | 2 | 3 | 4 | 5 |
| 8 | The park provides an open activity space where I can exercise, dance, and pursue my interests with my companions. | 1 | 2 | 3 | 4 | 5 |
| 9 | The activity spaces within the park are well-connected, and the pathways are smooth and easy to navigate. | 1 | 2 | 3 | 4 | 5 |
| 10 | The park has parent–child activity spaces where I can look after and play with my children. | 1 | 2 | 3 | 4 | 5 |
| 11 | The park’s variety of plants provides me with good viewing opportunities and shade. | 1 | 2 | 3 | 4 | 5 |
| 12 | The park offers seasonal plant diversity, allowing me to enjoy different park landscapes throughout the year. | 1 | 2 | 3 | 4 | 5 |
| 13 | When I am in the park’s open space, the park’s natural features (e.g., flowers, trees, fountains, ponds) give me a sense of connection with nature. | 1 | 2 | 3 | 4 | 5 |
| 14 | The plants in the park are thornless and non-toxic, and I am not allergic to them. | 1 | 2 | 3 | 4 | 5 |
| 15 | Thanks to thorough and timely maintenance, I can continuously enjoy the pleasant and green landscape. | 1 | 2 | 3 | 4 | 5 |
| 16 | The park features well-designed and aesthetically pleasing landscape elements, creating an excellent environmental experience. | 1 | 2 | 3 | 4 | 5 |
| 17 | Using the public restrooms in the park is not a problem, and they are within walking distance. | 1 | 2 | 3 | 4 | 5 |
| 18 | I can use the park’s facilities without overcrowding. | 1 | 2 | 3 | 4 | 5 |
| 19 | There are accessible ramps at the park’s elevated areas, which I can use safely and conveniently. | 1 | 2 | 3 | 4 | 5 |
| 20 | The park has an adequate number of benches, making it easy for me to rest. | 1 | 2 | 3 | 4 | 5 |
| 21 | The park is well-lit at night, and I enjoy walking there after dark. | 1 | 2 | 3 | 4 | 5 |
| 22 | The park is equipped with fitness facilities that meet my exercise needs. | 1 | 2 | 3 | 4 | 5 |
| 23 | The park has large and clear signage that guides me to any location within the park. | 1 | 2 | 3 | 4 | 5 |
| 24 | The park has sufficient basic facilities, such as washbasins, water dispensers, and rain shelters. | 1 | 2 | 3 | 4 | 5 |
| 25 | There are plenty of trash bins in the park, placed at reasonable intervals, ensuring the park stays clean. | 1 | 2 | 3 | 4 | 5 |
| 26 | The park’s facilities are well-maintained and managed in a timely manner, ensuring that they are always available, in good condition, and safe to use. | 1 | 2 | 3 | 4 | 5 |
| 27 | The park allows me to meet new people and fosters social interactions. | 1 | 2 | 3 | 4 | 5 |
| 28 | In the park, I participate in discussions and decision-making regarding its planning. | 1 | 2 | 3 | 4 | 5 |
| 29 | In the park, I can feel the respect and recognition from other social groups, which helps me develop my interests and hobbies. | 1 | 2 | 3 | 4 | 5 |
| 30 | The park allows me to dance, play chess, and engage in other activities with others, enriching my spiritual life and reducing loneliness. | 1 | 2 | 3 | 4 | 5 |
| 31 | The park gives me a sense of belonging and emotional attachment to the surrounding environment. | 1 | 2 | 3 | 4 | 5 |
| 32 | The park reminds me of elements that represent our local culture and history. | 1 | 2 | 3 | 4 | 5 |
| 33 | The park provides opportunities for me to interact with people of different age groups. | 1 | 2 | 3 | 4 | 5 |
References
- United Nations General Assembly. Resolution Adopted by the General Assembly on 11 September 2015; United Nations: New York, NY, USA, 2015. [Google Scholar]
- Liu, M.; Dai, X. With a Huge Population of 1.4 Billion, China Is Gradually Aging, and It Is Expected That by 2035, the Proportion of the Elderly Population Will Exceed 30%. BJNews 20 September 2022. Available online: https://www.bjnews.com.cn/detail/166366819014235.html (accessed on 15 April 2025).
- Bureau, C.S. Chongqing Statistics Yearbook 2023; China Statistics Press: Beijing, China, 2024. [Google Scholar]
- Lefebvre, H. Le droit à la ville. L’Homme La Société 1967, 6, 29–35. [Google Scholar] [CrossRef]
- Story, M.F. Principles of universal design. In Universal Design Handbook; McGraw-Hill: New York, NY, USA, 2001; Volume 2. [Google Scholar]
- World Health Organization. Global Age-Friendly Cities: A Guide; World Health Organization: Geneva, Switzerland, 2007. [Google Scholar]
- Huai, S.Y.; Liu, S.; Zheng, T.C.; van de Voorde, T. Are social media data and survey data consistent in measuring park visitation, park satisfaction, and their influencing factors? A case study in Shanghai. Urban For. Urban Green. 2023, 81, 127869. [Google Scholar] [CrossRef]
- Xiang, Y.; Hedblom, M.; Wang, S.; Qiu, L.; Gao, T. Indicator selection combining audio and visual perception of urban green spaces. Ecol. Indic. 2022, 137, 108772. [Google Scholar] [CrossRef]
- Bottero, M.; Caprioli, C.; Foth, M.; Mitchell, P.; Rittenbruch, M.; Santangelo, M. Urban parks, value uplift and green gentrification: An application of the spatial hedonic model in the city of Brisbane. Urban For. Urban Green. 2022, 74, 127618. [Google Scholar] [CrossRef]
- Wang, P.W.; Han, L.R.; Mei, R. An Impact Asymmetry Analysis of Small Urban Green Space Attributes to Enhance Visitor Satisfaction. Int. J. Environ. Res. Public Health 2022, 19, 2922. [Google Scholar] [CrossRef]
- Tang, Q.; Cao, J.; Yin, C.; Cheng, J. Examining the nonlinear relationships between park attributes and satisfaction with pocket parks in Chengdu. Urban For. Urban Green. 2024, 101, 128548. [Google Scholar] [CrossRef]
- Valentine, S. Assessing organizational behavior models: A comparison of linear and nonlinear methods. J. Appl. Soc. Psychol. 1999, 29, 1028–1044. [Google Scholar] [CrossRef]
- Breen, R.; Karlson, K.B.; Holm, A. Interpreting and Understanding Logits, Probits, and Other Nonlinear Probability Models. Annu. Rev. Sociol. 2018, 44, 39–54. [Google Scholar] [CrossRef]
- Hou, Q.Z.; Huo, X.Y.; Leng, J.Q.; Mannering, F. A note on out-of-sample prediction, marginal effects computations, and temporal testing with random parameters crash-injury severity models. Anal. Methods Accid. Res. 2022, 33, 100191. [Google Scholar] [CrossRef]
- Agresti, A. Tutorial on modeling ordered categorical response data. Psychol. Bull. 1989, 105, 290–301. [Google Scholar] [CrossRef]
- Zhang, J.; Li, Z.B.; Pu, Z.Y.; Xu, C.C. Comparing Prediction Performance for Crash Injury Severity Among Various Machine Learning and Statistical Methods. IEEE Access 2018, 6, 60079–60087. [Google Scholar] [CrossRef]
- Montefusco, M. The Nordic Region for All: Nordic Co-Operation on Universal Design and Accessibility; Nordic Welfare Centre: Stockholm, Sweden, 2016. [Google Scholar]
- Takagi, D.; Kondo, N.; Tsuji, T.; Kondo, K. Parks/sports facilities in local communities and the onset of functional disability among older adults in Japan: The J-shaped spatial spillover effects. Health Place 2022, 75, 102801. [Google Scholar] [CrossRef]
- Petrican, R.; Moscovitch, M.; Schimmack, U. Cognitive resources, valence, and memory retrieval of emotional events in older adults. Psychol. Aging 2008, 23, 585. [Google Scholar] [CrossRef]
- Hayauchi, G.; Ariyoshi, R.; Morikawa, T.; Nakamura, F.J.S. Assessment of the improvement of public transport in hillside cities considering the impact of topography on walking choices. Sustainability 2023, 15, 9571. [Google Scholar] [CrossRef]
- Huang, H.; Qian, X.M.; Xiao, Y.; Luo, Z.X. Mega-city construction engineering to residential satisfaction: New insights from Yan’an of China. Front. Public Health 2023, 11, 1187519. [Google Scholar] [CrossRef] [PubMed]
- Guo, Y.Q.; Liu, Y.Q.; Lu, S.Y.; Chan, O.F.; Chui, C.H.K.; Lum, T.Y.S. Objective and perceived built environment, sense of community, and mental wellbeing in older adults in Hong Kong: A multilevel structural equation study. Landsc. Urban Plan. 2021, 209, 104058. [Google Scholar] [CrossRef]
- Gruebner, O.; Rapp, M.A.; Adli, M.; Kluge, U.; Galea, S.; Heinz, A. Cities and Mental Health. Dtsch. Arztebl. Int. 2017, 114, 121–127. [Google Scholar] [CrossRef]
- Guo, Y.; Wen, J.; Yang, Y.; Wang, X.; Xu, W.; Yang, Z. Analysis of the Causative Mechanism and Prediction of the Evolutionary Trend of Mountainous Multilevel Earth Landslides: A Case Study of Jiubaoyan Landslide in Chongqing. Sci. Technol. Eng. 2025, 25, 2721–2731. [Google Scholar]
- Chongqing Statistics Bureau. At Present, the Proportion of the Elderly Population Over 60 Years Old in Our City Is 21.67%—Chongqing Implements the “Six Major Plans” to Let the Elderly Have Fun in Old Age. 2023. Available online: https://www.cq.gov.cn/ywdt/jrcq/202303/t20230326_11811399.html (accessed on 15 April 2025).
- Li, L.; Li, J.; Zhong, S.; Yang, C.; Wei, C. Suitability evaluation of suitable-for-mechanization transformation of cultivated land based on topographic complexity in Chongqing, China. Chin. J. Eco-Agric. 2022, 30, 302–313. [Google Scholar]
- Yung, E.H.K.; Conejos, S.; Chan, E.H.W. Public open spaces planning for the elderly: The case of dense urban renewal districts in Hong Kong. Land Use Policy 2016, 59, 1–11. [Google Scholar] [CrossRef]
- Guo, S.Y.; Luo, Y.W.; Cao, Y.; Zhang, Y.; Yu, J.N. Cultural ecosystem services show superiority in promoting subjective mental health of senior residents: Evidences from old urban areas of Beijing. Urban For. Urban Green. 2023, 86, 128011. [Google Scholar] [CrossRef]
- Zhai, Y.J.; Li, D.Y.; Wu, C.Z.; Wu, H.B. Urban park facility use and intensity of seniors’ physical activity—An examination combining accelerometer and GPS tracking. Landsc. Urban Plan. 2021, 205, 103950. [Google Scholar] [CrossRef]
- Veitch, J.; Ball, K.; Rivera, E.; Loh, V.; Deforche, B.; Best, K.; Timperio, A. What entices older adults to parks? Identification of park features that encourage park visitation, physical activity, and social interaction. Landsc. Urban Plan. 2022, 217, 104254. [Google Scholar] [CrossRef]
- Xie, B.; An, Z.H.; Zheng, Y.L.; Li, Z.G. Healthy aging with parks: Association between park accessibility and the health status of older adults in urban China. Sustain. Cities Soc. 2018, 43, 476–486. [Google Scholar] [CrossRef]
- Kang, H.-W.; Park, M.; Wallace, J.P. The impact of perceived social support, loneliness, and physical activity on quality of life in South Korean older adults. J. Sport Health Sci. 2018, 7, 237–244. [Google Scholar] [CrossRef] [PubMed]
- Han, B.; Li, D.; Chang, P.-J. The effect of place attachment and greenway attributes on well-being among older adults in Taiwan. Urban For. Urban Green. 2021, 65, 127306. [Google Scholar] [CrossRef]
- Jodra, P.; Maté-Muñoz, J.L.; Domínguez, R. Perception of health, self-esteem and physical self-concept in elderly persons based on their physical activity. Rev. De Psicol. Del Deporte 2019, 28, 127–134. [Google Scholar]
- Landeta, J. Current validity of the Delphi method in social sciences. Technol. Forecast. Soc. Change 2006, 73, 467–482. [Google Scholar] [CrossRef]
- Dalkey, N.; Helmer, O. An experimental application of the delphi method to the use of experts. Manag. Sci. 1963, 9, 458–467. [Google Scholar] [CrossRef]
- Asmelash, A.G.; Kumar, S. Assessing progress of tourism sustainability: Developing and validating sustainability indicators. Tour. Manag. 2019, 71, 67–83. [Google Scholar] [CrossRef]
- Alizadeh, H.; Sharifi, A. Toward a societal smart city: Clarifying the social justice dimension of smart cities. Sustain. Cities Soc. 2023, 95, 104612. [Google Scholar] [CrossRef]
- Zhao, R.; Zhan, L.P.; Yao, M.X.; Yang, L.C. A geographically weighted regression model augmented by Geodetector analysis and principal component analysis for the spatial distribution of PM2.5. Sustain. Cities Soc. 2020, 56, 102106. [Google Scholar] [CrossRef]
- Ananth, C.V.; Kleinbaum, D.G. Regression models for ordinal responses: A review of methods and applications. Int. J. Epidemiol. 1997, 26, 1323–1333. [Google Scholar] [CrossRef]
- Greene, W.H. Econometric Analysis; Pearson Education: London, UK, 2012. [Google Scholar]
- Wang, S.Q.; Yung, E.H.K.; Sun, Y. Effects of open space accessibility and quality on older adults’ visit: Planning towards equal right to the city. Cities 2022, 125, 103611. [Google Scholar] [CrossRef]
- Washington, S.; Karlaftis, M.G.; Mannering, F.; Anastasopoulos, P. Statistical and Econometric Methods for Transportation Data Analysis; CRC: Boca Raton, FL, USA, 2011. [Google Scholar]
- Train, K. Discrete Choice Methods with Simulation; Cambridge University Press: Cambridge, UK, 2003. [Google Scholar]
- Xiao, X.; Zhang, J.; Lu, J.Y.; Li, L.; Xu, Y.Q.; Zhang, H.L.; Riungu, G.K. Distance decay of place attachment and perceived authenticity of mountain tourism destinations in China. J. Mt. Sci. 2021, 18, 194–204. [Google Scholar] [CrossRef]
- Zhao, X.K.; Lu, Y.X.; Huang, W.W.; Lin, G.S. Assessing and interpreting perceived park accessibility, usability and attractiveness through texts and images from social media. Sustain. Cities Soc. 2024, 112, 105619. [Google Scholar] [CrossRef]
- Long, J.S.; Freese, J. Regression Models for Categorical Dependent Variables Using Stata; Stata Press: Lewisville, TX, USA, 2006. [Google Scholar]
- Kaczynski, A.T.; Besenyi, G.M.; Stanis, S.A.W.; Koohsari, M.J.; Oestman, K.B.; Bergstrom, R.; Potwarka, L.R.; Reis, R.S. Are park proximity and park features related to park use and park-based physical activity among adults? Variations by multiple socio-demographic characteristics. Int. J. Behav. Nutr. Phys. Act. 2014, 11, 146. [Google Scholar] [CrossRef] [PubMed]
- Schamel, J.; Job, H. National Parks and demographic change—Modelling the effects of ageing hikers on mountain landscape intra-area accessibility. Landsc. Urban Plan. 2017, 163, 32–43. [Google Scholar] [CrossRef]
- Eiter, S.; Potthoff, K. Landscape changes in Norwegian mountains: Increased and decreased accessibility, and their driving forces. Land Use Policy 2016, 54, 235–245. [Google Scholar] [CrossRef]
- Gong, Q.Q.; Li, J.M.; Wu, L.Z.; Zhu, M.E.; Luo, M.Y.; Sun, J.Y.; Fu, W.Q.; Ma, R.F.; Liang, X.J. Exploring Accessibility and Its Impact in the Mountain City: A Typical Case Study of Nyingchi City, Tibet Autonomous Region, China. Land 2023, 12, 361. [Google Scholar] [CrossRef]
- Losier, G.F.; Bourque, P.E.; Vallerand, R.J. A motivational model of leisure participation in the elderly. J. Psychol. 1993, 127, 153–170. [Google Scholar] [CrossRef] [PubMed]
- Afshar, P.F.; Foroughan, M.; Vedadhir, A.; Tabatabaei, M.G. The effects of place attachment on social well-being in older adults. Educ. Gerontol. 2017, 43, 45–51. [Google Scholar] [CrossRef]
- Chen, S.; Sun, Y.; Seo, B.K. The Effects of Public Open Space on Older People’s Well-Being: From Neighborhood Social Cohesion to Place Dependence. Int. J. Environ. Res. Public Health 2022, 19, 16170. [Google Scholar] [CrossRef]
- Lager, D.; Van Hoven, B.; Meijering, L. Places that matter: Place attachment and wellbeing of older Antillean migrants in the Netherlands. Eur. Spat. Res. Policy 2012, 19, 81–94. [Google Scholar] [CrossRef]
- Lies, M.M.; Kang, M.; Sample, R.K. Place attachment and design features in a rural senior cohousing community. Hous. Soc. 2017, 44, 41–63. [Google Scholar] [CrossRef]
- Washington, T.L.; Cushing, D.F.; Mackenzie, J.; Buys, L.; Trost, S. Fostering Social Sustainability through Intergenerational Engagement in Australian Neighborhood Parks. Sustainability 2019, 11, 4435. [Google Scholar] [CrossRef]
- Rigolon, A.; Park, K.; Choi, D.A.; Wang, Y.Y. Riding transit to parks in Utah: Motivations, constraints, negotiations, and policy recommendations. Transp. Res. Part D-Transp. Environ. 2024, 133, 104297. [Google Scholar] [CrossRef]
- Saeedi, I.; Shayesteh, K.; Faraji, T. Urban green infrastructure and safety: Examining the relative effects of socio-economic and environmental factors on perceived safety of users. Secur. J. 2025, 38, 6. [Google Scholar] [CrossRef]
- Tu, X.Y.; Huang, G.L.; Wu, J.G.; Guo, X. How do travel distance and park size influence urban park visits? Urban For. Urban Green. 2020, 52, 126689. [Google Scholar] [CrossRef]
- Zhang, S.J.; Yu, P.H.; Chen, Y.Y.; Jing, Y.; Zeng, F.N. Accessibility of Park Green Space in Wuhan, China: Implications for Spatial Equity in the Post-COVID-19 Era. Int. J. Environ. Res. Public Health 2022, 19, 5440. [Google Scholar] [CrossRef]
- Pfeiffer, D.; Ehlenz, M.M.; Andrade, R.; Cloutier, S.; Larson, K.L. Do Neighborhood Walkability, Transit, and Parks Relate to Residents’ Life Satisfaction? Insights From Phoenix. J. Am. Plan. Assoc. 2020, 86, 171–187. [Google Scholar] [CrossRef]
- Zhang, D.L.; Ma, S.F.; Fan, J.H.; Xie, D.X.; Jiang, H.Y.; Wang, G.W. Assessing spatial equity in urban park accessibility: An improve two-step catchment area method from the perspective of 15-mintue city concept. Sustain. Cities Soc. 2023, 98, 104824. [Google Scholar] [CrossRef]
- Roberts, H.; Kellar, I.; Conner, M.; Gidlow, C.; Kelly, B.; Nieuwenhuijsen, M.; McEachan, R. Associations between park features, park satisfaction and park use in a multi-ethnic deprived urban area. Urban For. Urban Green. 2019, 46, 126485. [Google Scholar] [CrossRef]
- Licari, M.J.; McLean, W.; Rice, T.W. The condition of community streets and parks: A comparison of resident and nonresident evaluations. Public Adm. Rev. 2005, 65, 360–368. [Google Scholar] [CrossRef]
- Mowen, A.J.; Barrett, A.G.; Graefe, A.R.; Kraschnewski, J.L.; Sciamanna, C.N. “Take in two parks and call me in the morning”—Perception of parks as an essential component of our healthcare system. Prev. Med. Rep. 2017, 6, 63–65. [Google Scholar] [CrossRef]
- Morris, P.; Scott, H. Not just a run in the park: A qualitative exploration of parkrun and mental health. Adv. Ment. Health 2019, 17, 110–123. [Google Scholar] [CrossRef]
- Kong, D.Y.; Chen, Z.J.; Li, C.; Fei, X.H. Investigating the Usage Patterns of Park Visitors and Their Driving Factors to Improve Urban Community Parks in China: Taking Jinan City as an Example. Int. J. Environ. Res. Public Health 2022, 19, 15504. [Google Scholar] [CrossRef]
- Sun, Y.W.; Tan, S.H.; He, Q.X.; Shen, J.Z. Influence Mechanisms of Community Sports Parks to Enhance Social Interaction: A Bayesian Belief Network Analysis. Int. J. Environ. Res. Public Health 2022, 19, 1466. [Google Scholar] [CrossRef]
- Paudel, C.; Timperio, A.; Salmon, J.; Loh, V.; Deforche, B.; Veitch, J. Something for the young and old: A natural experiment to evaluate the impact of park improvements. Urban For. Urban Green. 2024, 100, 128486. [Google Scholar] [CrossRef]
- Wan, J.J.; Wu, H.Y.; Collins, R.; Deng, K.T.; Zhu, W.; Xiao, H.; Tang, X.H.; Tian, C.S.; Zhang, C.Y.; Zhang, L.Q. Integrative analysis of health restoration in urban blue-green spaces: A multiscale approach to community park. Mater. Today Bio 2024, 435, 140178. [Google Scholar] [CrossRef]
- Liu, R.X.; Xiao, J. Factors Affecting Users’ Satisfaction with Urban Parks through Online Comments Data: Evidence from Shenzhen, China. Int. J. Environ. Res. Public Health 2021, 18, 253. [Google Scholar] [CrossRef] [PubMed]
- Song, Y.K.; Wang, Y.; Zhou, M. Public Space Satisfaction Evaluation of New Centralized Communities in Urban Fringe Areas-A Study of Suzhou, China. Int. J. Environ. Res. Public Health 2023, 20, 753. [Google Scholar] [CrossRef]
- Dresner, M.; Handelman, C.; Braun, S.; Rollwagen-Bollens, G. Environmental identity, pro-environmental behaviors, and civic engagement of volunteer stewards in Portland area parks. Environ. Educ. Res. 2015, 21, 991–1010. [Google Scholar] [CrossRef]
- Mu, B.; Liu, C.; Mu, T.; Xu, X.N.; Tian, G.H.; Zhang, Y.L.; Kim, G.W. Spatiotemporal fluctuations in urban park spatial vitality determined by on-site observation and behavior mapping: A case study of three parks in Zhengzhou City, China. Urban For. Urban Green. 2021, 64, 127246. [Google Scholar] [CrossRef]
- Yang, C.Y.; Shi, S.; Runeson, G.; Lu, D.F. Towards social sustainability in urban communities: Exploring how community parks influence residents’ social interaction during the COVID-19 pandemic. Humanit. Soc. Sci. Commun. 2024, 11, 1506. [Google Scholar] [CrossRef]
- Schmidt, T.; Kerr, J.; Schipperijn, J. Associations between Neighborhood Open Space Features and Walking and Social Interaction in Older Adults-A Mixed Methods Study. Geriatrics 2019, 4, 41. [Google Scholar] [CrossRef]
- Poppe, L.; Van Dyck, D.; De Keyser, E.; Van Puyvelde, A.; Veitch, J.; Deforche, B. The impact of renewal of an urban park in Belgium on park use, park-based physical activity, and social interaction: A natural experiment. Cities 2023, 140, 104428. [Google Scholar] [CrossRef]
- Bliss, D.Z.; Park, Y.S. Public toilets in parklands or open spaces in international cities using geographic information systems. Int. Urogynecol. J. 2020, 31, 939–945. [Google Scholar] [CrossRef]
- Liu, K.-L.; Lin, Y.-J. The relationship between physical landscape attributes of neighborhood parks and emotional experiences. J. Taiwan Soc. Hortic. Sci. 2007, 53, 127–138. [Google Scholar]
- Parra, D.C.; Van Zandt, A.; Wang, P.; Goodman, M.; Abhishek, J.; Haire-Joshu, D.; Brownson, R.C. Evaluating Park Use and Satisfaction: The Case of Trojan Park in St. Louis Missouri. Int. J. Environ. Res. Public Health 2019, 16, 2798. [Google Scholar] [CrossRef]
- Hu, Z.W.; Luo, J.M. Understanding residents’ motivation, psychological involvement, and psychological well-being in urban parks. Cities 2025, 157, 105598. [Google Scholar] [CrossRef]
- Gibson, S.C. “Let’s go to the park.” An investigation of older adults in Australia and their motivations for park visitation. Landsc. Urban Plan. 2018, 180, 234–246. [Google Scholar] [CrossRef]
- Gong, L.; Mao, B.; Qi, Y.D.; Xu, C.Y. A satisfaction analysis of the infrastructure of country parks in Beijing. Urban For. Urban Green. 2015, 14, 480–489. [Google Scholar] [CrossRef]
- Xiang, L.Y.; Mei, T.M. Developing the age-friendly community parks survey for older adults: Assessing aging environment. Urban For. Urban Green. 2024, 99, 128424. [Google Scholar] [CrossRef]
- Yang, Y.Y.; Peng, C.H.; Yeung, C.Y.; Ren, C.; Luo, H.; Lu, Y.; Yip, P.S.F.; Webster, C. Moderation effect of visible urban greenery on the association between neighbourhood deprivation and subjective well-being: Evidence from Hong Kong. Landsc. Urban Plan. 2023, 231, 104660. [Google Scholar] [CrossRef]
- He, D.S.; Miao, J.; Lu, Y.; Song, Y.M.; Chen, L.; Liu, Y. Urban greenery mitigates the negative effect of urban density on older adults’ life satisfaction: Evidence from Shanghai, China. Cities 2022, 124, 103607. [Google Scholar] [CrossRef]
- Van Puyvelde, A.; Deforche, B.; Mertens, L.; Rivera, E.; Van Dyck, D.; Veitch, J.; Poppe, L. Park features that encourage park visitation among older adults: A qualitative study. Urban For. Urban Green. 2023, 86, 128026. [Google Scholar] [CrossRef]
- Li, J.; Fu, J.; Gao, J.; Zhou, R.; Zhao, Z.Y.; Yang, P.P.; Yi, Y. How do urban green space attributes affect visitation and satisfaction? An empirical study based on multisource data. Cities 2025, 156, 105543. [Google Scholar] [CrossRef]
- Yu, B.Q.; Che, S.Q.; Xie, C.K.; Tian, S. Understanding Shanghai Residents’ Perception of Leisure Impact and Experience Satisfaction of Urban Community Parks: An Integrated and IPA Method. Sustainability 2018, 10, 1067. [Google Scholar] [CrossRef]
- Norton, B.A.; Coutts, A.M.; Livesley, S.J.; Harris, R.J.; Hunter, A.M.; Williams, N.S.G. Planning for cooler cities: A framework to prioritise green infrastructure to mitigate high temperatures in urban landscapes. Landsc. Urban Plan. 2015, 134, 127–138. [Google Scholar] [CrossRef]
- Byrka, K.; Ryczko, N. Positive effects of dancing in natural versus indoor settings: The mediating role of engagement in physical activity. J. Environ. Psychol. 2018, 57, 25–33. [Google Scholar] [CrossRef]
- Esther, H.K.Y.; Winky, K.O.H.; Edwin, H.W.C. Elderly satisfaction with planning and design of public parks in high density old districts: An ordered logit model. Landsc. Urban Plan. 2017, 165, 39–53. [Google Scholar] [CrossRef]
- Gallerani, D.G.; Besenyi, G.M.; Stanis, S.A.W.; Kaczynski, A.T. “We actually care and we want to make the parks better”: A qualitative study of youth experiences and perceptions after conducting park audits. Prev. Med. 2017, 95, S109–S114. [Google Scholar] [CrossRef]
- Buntaine, M.T.; Daniels, B.; Devlin, C. Can information outreach increase participation in community-driven development? A field experiment near Bwindi National Park, Uganda Mark. World Dev. 2018, 106, 407–421. [Google Scholar] [CrossRef]
- Zou, S.W.; Pitas, N.A.; Cho, S.J.; Yoon, H. The moderating effect of place attachment on visitors’ trust and support for recreational fees in national parks. J. Environ. Psychol. 2024, 98, 102412. [Google Scholar] [CrossRef]
- Du, Y.; Jiang, H.X.; Huang, Z.; Yang, H.R. Associations between neighborhood environment and sense of community belonging in urban China: Examining mediation effects of neighborly interactions and community satisfaction. Front. Public Health 2023, 10, 1105473. [Google Scholar] [CrossRef]
- Jang, E.; Choi, H.B.; Kim, M. The Restorative Effects of Urban Parks on Stress Control Ability and Community Attachment. Sustainability 2024, 16, 2113. [Google Scholar] [CrossRef]
- Xu, Y.; Lee, J.H.; Matarrita-Cascante, D. Profiling Attached Residents in an Urban Community in the US: An Empirical Study of Social-Landscape Interactions within a Park. Soc. Sci. 2022, 11, 5. [Google Scholar] [CrossRef]
- Jones, L.; Holland, R.A.; Ball, J.; Sykes, T.; Taylor, G.; Ingwall-King, L.; Snaddon, J.L.; Peh, K.S.H. A place-based participatory mapping approach for assessing cultural ecosystem services in urban green space. People Nat. 2020, 2, 123–137. [Google Scholar] [CrossRef]
- Zhang, H.M.; Cai, L.P.; Bai, B.; Yang, Y.J.; Zhang, J.H. National forest park visitors’ connectedness to nature and pro-environmental behavior: The effects of cultural ecosystem service, place and event attachment. J. Outdoor Recreat. Tour.-Res. Plan. Manag. 2023, 42, 100621. [Google Scholar] [CrossRef]
- Mullenbach, L.E.; Stanis, S.A.W.; Piontek, E. Interracial interaction, park ownership, belonging, community asset, and perceived provision of cultural ecosystem services. Urban For. Urban Green. 2024, 101, 128551. [Google Scholar] [CrossRef]
- Whear, R.; Campbell, F.; Rogers, M.; Sutton, A.; Robinson-Carter, E.; Sharpe, R.; Cohen, S.; Fergy, R.; Garside, R.; Kneale, D.; et al. What is the effect of intergenerational activities on the wellbeing and mental health of older people?: A systematic review. Campbell Syst. Rev. 2023, 19, e1355. [Google Scholar] [CrossRef] [PubMed]










| Yugao Park | Nanhu Community Shuangyong Cultural Park | Wanqing Park | |
|---|---|---|---|
| Spatial Connectivity | *** | * | * |
| Area (hm2) | 5.00 | 1.31 | 0.96 |
| Accessibility | *** | * | ** |
| Proximity to bus stops/metro stations | √ | × | × |
| Surrounding Amenities | *** | * | ** |
| Park Infrastructure Richness | *** | * | ** |
| Architectural Shading Structures | √ | √ | √ |
| Square Suitable for group activities | √ | × | √ |
| Pavilion | √ | √ | √ |
| Independent exercise and fitness area | √ | × | × |
| Toilet | √ | √ | √ |
| Abundant recreational seating | √ | √ | √ |
| Park safety and maintenance | *** | * | ** |
| Landscape environment | *** | * | *** |
| Greening | *** | *** | *** |
| Water features | √ | × | √ |
| Landscape cultural elements | * | *** | ** |
| Types of activities for the elderly | Recreational sitting, Tai Chi, square dancing, childcare, socializing, badminton, table tennis, walking and jogging, elderly public services. | Walking, child care, dog walking, socializing and resting, sitting and meditating. | Playing instruments, walking for leisure, sitting quietly for observation, playing chess, socializing, babysitting, and exercising. |
| Steps | Number of Items Assessed and Retained | Number of Participants | Response Rate | Examples of Discard and Merge Indicators | Kendall Factor |
|---|---|---|---|---|---|
| Round 1 | 46 indicators were sent to participants and 38 indicators with an average score greater than 3.5 were retained. | 11 people | 90.9% | Remove indicators for scenic rest areas, volunteer space, etc. | 0.490 |
| Round 2 | 38 indicators were sent to participants and 33 were retained for this round. | 10 people | 100% | Accessibility to public transportation and frequency of public transportation were merged and three indicators for neighborhood services were merged into one indicator, etc. | 0.561 |
| Indicator | Description | Model | Formula |
|---|---|---|---|
| log(Λ) | A function that measures the goodness-of-fit between model parameters and data. | Ordered probit model | |
| Multinomial logit model | |||
| Ordered logit model | |||
| Pseudo R2 | An indicator used to measure the goodness-of-fit of statistical models, particularly in regression models, to assess the proportion of variance explained by the model. | Ordered probit model | |
| Multinomial logit model | |||
| Ordered logit model | |||
| p | Used to assess the significance of model parameters. | Ordered probit model | |
| Multinomial logit model | |||
| Ordered logit model | |||
| AIC | AIC (Akaike Information Criterion) is a criterion used for model selection. It assesses the goodness-of-fit of the model while taking into account its complexity. | Ordered probit model | |
| Multinomial logit model | |||
| Ordered logit model | |||
| BIC | BIC (Bayesian Information Criterion) is another criterion for model selection, similar to AIC, but with a stricter penalty for model complexity. | Ordered probit model | |
| Multinomial logit model | |||
| Ordered logit model |
| Component | Sum of Squares of Rotational Loads | ||
|---|---|---|---|
| Total | % of Variance | Cumulative % | |
| 1 | 8.702 | 26.370 | 26.370 |
| 2 | 5.531 | 16.760 | 43.130 |
| 3 | 4.033 | 12.223 | 55.353 |
| 4 | 3.569 | 10.815 | 66.168 |
| 5 | 3.190 | 9.668 | 75.836 |
| 6 | 2.183 | 6.615 | 82.451 |
| Model | −2log(Λ) | Pseudo R2 | df | p | AIC | BIC | Iteration Count |
|---|---|---|---|---|---|---|---|
| Ordered probit model | 1032.656 | 0.0743 | 6 | 0.000 | 1079.655 | 1118.516 | 4 |
| Multinomial logit model | 1059.655 | 0.0735 | 24 | 0.000 | 1087.78 | 1196.589 | 4 |
| Ordered logit model | 1031.778 | 0.0978 | 10 | 0.000 | 1078.656 | 1117.517 | 3 |
| Full Sample | Yugao Park | Nanhu Community Double Support Culture Park | Wanqing Park | |
|---|---|---|---|---|
| (AS) Park spatial activities and social connections | 0.4102298 *** (4.14) | 1.400286 *** (3.88) | 0.9813807 *** (2.81) | 1.199866 *** (3.44) |
| (AC) Park accessibility and convenience of surrounding services | 0.3939775 *** (4.06) | −0.3466703 (−0.89) | 0.4589729 * (1.36) | 1.012783 ** (2.56) |
| (EN) Landscape environment and connection to nature | 0.3657768 *** (3.70) | −0.0951912 (−0.37) | 1.643789 *** (5.56) | 1.365491 *** (4.87) |
| (FB) Facility maintenance and barrier-free design | 0.4582868 *** (4.61) | 0.139908 (0.83) | 1.268035 *** (5.87) | −0.0659899 (−0.38) |
| (PV) Community participation and value realization | 0.3201275 *** (3.32) | 0.0344181 (0.14) | −0.1024155 (−0.41) | −0.0732571 (−0.29) |
| (SB) Social cultural exchange and sense of belonging | 0.3293253 *** (3.31) | 1.041469 *** (5.7) | 0.1842745 (0.93) | 0.0290879 (0.17) |
| Pseudo R2 | 0.0978 | 0.1847 | 0.2133 | 0.1601 |
| Prob > chi2 | 0.0000 | 0.0000 | 0.0000 | 0.0000 |
| Log likelihood | −529.8276 | −156.86219 | −144.22333 | −158.97591 |
Disclaimer/Publisher’s Note: The statements, opinions and data contained in all publications are solely those of the individual author(s) and contributor(s) and not of MDPI and/or the editor(s). MDPI and/or the editor(s) disclaim responsibility for any injury to people or property resulting from any ideas, methods, instructions or products referred to in the content. |
© 2025 by the authors. Licensee MDPI, Basel, Switzerland. This article is an open access article distributed under the terms and conditions of the Creative Commons Attribution (CC BY) license (https://creativecommons.org/licenses/by/4.0/).
Share and Cite
Wang, L.; Sun, X.; Yan, J.; Xie, M.; Qin, H. Quantitative Assessment of Age-Friendly Design in Mountainous Urban Community Parks Based on Nonlinear Models: An Empirical Study in Chongqing, China. Land 2025, 14, 893. https://doi.org/10.3390/land14040893
Wang L, Sun X, Yan J, Xie M, Qin H. Quantitative Assessment of Age-Friendly Design in Mountainous Urban Community Parks Based on Nonlinear Models: An Empirical Study in Chongqing, China. Land. 2025; 14(4):893. https://doi.org/10.3390/land14040893
Chicago/Turabian StyleWang, Liping, Xiufeng Sun, Junru Yan, Meiru Xie, and Hua Qin. 2025. "Quantitative Assessment of Age-Friendly Design in Mountainous Urban Community Parks Based on Nonlinear Models: An Empirical Study in Chongqing, China" Land 14, no. 4: 893. https://doi.org/10.3390/land14040893
APA StyleWang, L., Sun, X., Yan, J., Xie, M., & Qin, H. (2025). Quantitative Assessment of Age-Friendly Design in Mountainous Urban Community Parks Based on Nonlinear Models: An Empirical Study in Chongqing, China. Land, 14(4), 893. https://doi.org/10.3390/land14040893

