Synergistic Effects of Dual Low-Carbon Pilot Policies on Urban Green Land Use Efficiency: Mechanisms and Spatial Spillovers Through Difference-in-Differences and Spatial Econometric Analysis
Abstract
1. Introduction
2. Literature Review
2.1. Low-Carbon Policy Synergy and Urban Sustainability
2.2. Low-Carbon Policies Promote Sustainable Urban Transformation: Environmental and Economic Effects
2.3. Optimizing Urban Land Green Utilization Efficiency: A Multi-Dimensional Approach to Sustainable Land Use and Policy Integration
2.4. Synergistic Effects of Dual-Pilot Low-Carbon Policies on Urban Land Green Utilization Efficiency: An Integrated Analysis of Policy Interaction and Spatial Impact
3. Theoretical Analysis and Hypothesis
3.1. The Direct Impact of the Low-Carbon Construction Dual-Pilot Policy on Urban Land Green Utilization Efficiency
3.2. Indirect Effects of the Dual-Pilot Low-Carbon Construction Policy on the Efficiency of Green Land Use
3.2.1. Mediating Effect of Green Technology Innovation
3.2.2. Mediating Effect of Industrial Agglomeration
4. Research Methodology and Model Specification
4.1. Model Selection and Justification
4.2. Variable Definitions
4.2.1. Dependent Variable
4.2.2. Independent Variables
4.2.3. Control Variables
4.3. Data Sources
4.4. Model Setting
4.4.1. Benchmark Model
4.4.2. Mechanism Model
4.4.3. Spatial Econometric Analysis
5. Results
5.1. Parallel Trend Test
5.2. Benchmark Regression
5.3. Robustness Tests
5.3.1. Placebo Test
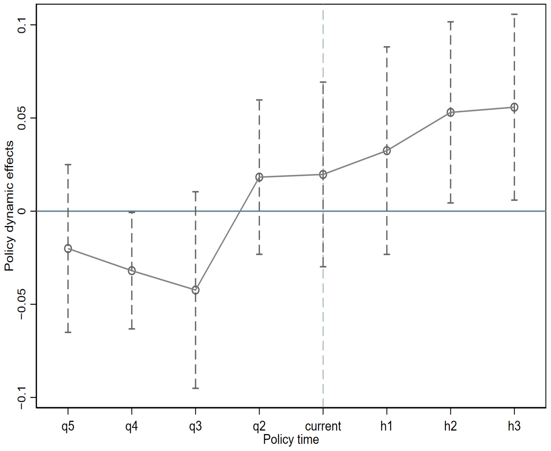
5.3.2. Dynamic Effects Test
5.3.3. PSM-DID
5.3.4. Excluding the Impact of Similar Policies
5.3.5. Lagged Variables
5.3.6. Exclude Outliers
5.3.7. Dependent Variable Substitution
6. Mechanism Test Regression
6.1. Green Technology Innovation Effects
6.2. Industrial Agglomeration Enhancement
7. Further Analysis
7.1. Heterogeneity Analysis
7.1.1. Regional Heterogeneity
7.1.2. Urban-Scale Heterogeneity
7.1.3. Human Capital Heterogeneity
7.1.4. Resource Endowment Heterogeneity
7.2. Dual-Pilot Synergies
7.3. Spatial Spillover Effect
7.3.1. Spatial Econometric Model
7.3.2. Spatial Spillover Effects
7.3.3. Spatial Attenuation Boundary Analysis
8. Conclusions and Implications
8.1. Conclusions
8.2. Policy Implications
- Promoting the LCCP and CETP: Expanding LCCP initiatives should encompass not only developed regions, but also underdeveloped ones. Development paths must be tailored to regional industrial structures, resources, and development levels, ensuring the widespread adoption of the low-carbon concept across the country. In parallel, the carbon emissions trading market needs further development. The allocation mechanism for emission rights must be improved, using methods such as historical emissions and baseline approaches, to ensure fairness in distribution. Additionally, the introduction of financial derivatives, such as carbon futures and options, can enhance market function, optimize resource allocation, and further incentivize low-carbon development. Equally important is the establishment of a nationwide low-carbon development network. This network would break down regional barriers, enabling the cross-regional flow and optimal allocation of resources like talent, technology, and capital, thus fostering mutual benefits across regions. Synergy between LCCP construction and carbon emissions trading policies is also critical. The government must ensure alignment between these policies to prevent conflicts and ensure seamless integration. This alignment will drive low-carbon development more effectively, creating a cohesive and efficient framework. The government should establish dedicated research funds, encourage collaboration between industry and academia, and accelerate the transformation of research into practical applications. This will be key in driving the low-carbon transition in industries. Finally, strengthening the regulatory framework for carbon emissions trading is vital for the smooth operation of the market. By improving information disclosure, the government can enhance market transparency and fairness, ensuring that the low-carbon transition progresses efficiently and effectively.
- Incentivizing green technology innovation and application: The government should prioritize a clear, systematic, and forward-looking incentive policy to drive innovation in green technology. This framework should enhance the innovation capabilities of enterprises and research institutions. Targeted funding strategies must be implemented at different stages of green technology development. In the basic research stage, special funds should provide long-term investment guarantees. In the application development stage, funding should support technology optimization and feasibility verification, accelerating the transfer of research outcomes to practical use. In the achievement transformation stage, dedicated funds should support the industrialization of technologies, integrating green technologies into the market for both economic and environmental benefits. To address capital turnover issues in the commercialization phase, preferential loan policies should be introduced for green technology enterprises. Furthermore, the government and financial institutions must collaborate to establish a bridge for green financial services. This partnership will provide essential support to enterprises, helping them to overcome funding barriers and successfully promote technological innovations to the market, unlocking their economic and social value.
- Promoting industrial agglomeration and synergistic development: Targeted industrial support policies should be accelerated to foster the coordinated development of productive services and manufacturing industries. The synergy between these sectors can boost the added value, innovation capacity, and overall competitiveness of the manufacturing industry. A scientifically planned industrial layout will promote closer cooperation between upstream and downstream enterprises within the value chain. Enterprises should optimize resource allocation based on their strengths and collaborate in areas such as technology, information, and talent. Building a virtuous cycle within the industrial ecosystem requires cooperation to reduce production costs, improve efficiency, and enhance productivity. Efforts should also focus on encouraging the green transformation of the industrial chain by adopting clean production technologies and resource recycling methods. This will improve resource utilization and reduce environmental pollution. Enterprises should be encouraged to form long-term, stable strategic partnerships to tackle evolving market challenges. By integrating resources, strong synergies can be created, driving joint efforts in technology development and market expansion. This will enhance the green competitiveness of enterprises, ensure sustainable progress across the industrial chain, and lay a solid foundation for long-term economic stability.
- Focus on differentiated policy formulation and implementation: When formulating policies, governments must consider the diversity between cities and implement differentiated measures based on each city’s unique needs. For cities with low-to-medium-level human capital, investment in education and human resources is essential. This will enhance the city’s capacity to absorb and apply green and low-carbon technologies. Additionally, external professionals and intellectual resources should be brought in to support the city’s low-carbon transition. Small- and medium-sized cities require additional financial support and technical guidance to overcome their financial and technological constraints in low-carbon development. Special funds, low-interest loans, or tax incentives can help to reduce the costs of these transitions. For cities with weak environmental regulations, the focus should be on improving environmental laws and enforcement. A strong system of environmental protection regulations should be established, clearly defining the responsibilities of enterprises and individuals. Penalties for environmental violations should also be increased. Resource-dependent cities must develop rational industrial transformation plans. These plans should guide resource-based industries toward green and low-carbon alternatives. Furthermore, the development of high-tech industries should be encouraged to foster new economic growth areas and drive long-term sustainable development.
- Reducing the negative spatial effects of “factor siphoning”: The government should prioritize improving inter-connectivity between cities. This involves upgrading transportation infrastructure and establishing efficient networks, including highways, railways, and aviation, to promote economic integration. Addressing policy disparities, market fragmentation, and information asymmetry is crucial. This will create a favorable environment for the free flow of production factors, optimizing resource allocation and improving efficiency. For underdeveloped cities, exploring a unique development path offers an opportunity for economic catch-up. These cities should assess their resources, industrial foundations, and market demands, focusing on specialized industries and building competitive advantages. By capitalizing on policy-driven opportunities, these cities can invest in green industries, innovate land use models, and integrate green principles into development. This will improve land use efficiency, drive sustainable growth, and enhance economic quality.
8.3. Limitations
Author Contributions
Funding
Data Availability Statement
Conflicts of Interest
References
- Cui, X.; Fang, C.; Liu, H.; Liu, X. Assessing sustainability of urbanization by a coordinated development index for an Urbanization-Resources-Environment complex system: A case study of Jing-Jin-Ji region. China Ecol. Indic. 2019, 96, 383–391. [Google Scholar] [CrossRef]
- Li, F.; Xie, N.; He, Y. Logistics Industry Agglomeration Affects New-Type Urbanization—An Empirical Test Based on Spatial Panel Models. Sustainability 2024, 16, 10360. [Google Scholar] [CrossRef]
- Zhao, Y.; Peng, S.; Zhang, Q.; Wang, Y.; Gong, C.; Lu, X. Land Finance, Local Government Debt and Economic Green Transformation. Land 2024, 13, 975. [Google Scholar] [CrossRef]
- Khoong, K.W.; Bellam, S. Evaluating the Growth of Singapore’s Solar Electricity Capacity towards Green Plan 2030 Targets and Beyond Using System Dynamics Modelling Approach. Appl. Energy 2024, 376, 124091. [Google Scholar] [CrossRef]
- Wang, F.; Zhang, H.; Zhou, J. Impact of Green Finance on Chinese Urban Land Green Use Efficiency: An Empirical Study Based on a Quasinatural Experiment. Land 2025, 14, 332. [Google Scholar] [CrossRef]
- Artmann, M.; Inostroza, L.; Fan, P. Urban Sprawl, Compact Urban Development and Green Cities. How Much Do We Know, How Much Do We Agree? Ecol. Indic. 2019, 96, 3–9. [Google Scholar] [CrossRef]
- Ramachandra, T.V.; Aithal, B.H.; Sreejith, K. GHG Footprint of Major Cities in India. Renew. Sustain. Energy Rev. 2015, 44, 473–495. [Google Scholar] [CrossRef]
- Ustaoglu, E.; Williams, B. Determinants of Urban Expansion and Agricultural Land Conversion in 25 EU Countries. Environ. Manag. 2017, 60, 717–746. [Google Scholar] [CrossRef]
- OECD. Rethinking Urban Sprawl: Moving Towards Sustainable Cities; OECD Publishing: Paris, France, 2018; pp. 53–67. [Google Scholar] [CrossRef]
- Deng, Z.; Xiao, F.; Huang, J.; Zhang, Y.; Zhang, F. Spillover Effects of Urban Expansion on Land Green Use Efficiency: An Empirical Study Based on Multi-Source Remote Sensing Data in China. Land 2024, 13, 1102. [Google Scholar] [CrossRef]
- Mallapaty, S. How China could be carbon neutral by mid-century. Nature 2020, 586, 482–483. [Google Scholar] [CrossRef]
- Huo, W.; Qi, J.; Yang, T.; Liu, J.; Liu, M.; Zhou, Z. Effects of China’s pilot low-carbon city policy on carbon emission reduction: A quasi-natural experiment based on satellite data. Technol. Forecast. Soc. Chang. 2022, 175, 121422. [Google Scholar] [CrossRef]
- Shi, L.; Wang, Y.; Jing, L. Low-carbon city pilot, external governance, and green innovation. Financ. Res. Lett. 2024, 67, 105768. [Google Scholar] [CrossRef]
- Lu, J.; Wang, T.; Liu, X. Can environmental governance policy synergy reduce carbon emissions? Econ. Anal. Policy 2023, 80, 570–585. [Google Scholar] [CrossRef]
- Lu, C.; Li, H. Have China’s Regional Carbon Emissions Trading Schemes Promoted Industrial Resource Allocation Efficiency? The Evidence from Heavily Polluted Industries at the Provincial Level. Sustainability 2023, 15, 2657. [Google Scholar] [CrossRef]
- Yue, X.; Zhao, S.; Ding, X.; Xin, L. How the Pilot Low-Carbon City Policy Promotes Urban Green Innovation: Based on Temporal-Spatial Dual Perspectives. Int. J. Environ. Res. Public Health 2023, 20, 561. [Google Scholar] [CrossRef]
- Zheng, X.; Zhao, T.; Zhang, X.; Li, Z. Sustainable development of the economic circle around Beijing: A view of regional economic disparity. Sustainability 2018, 10, 3691. [Google Scholar] [CrossRef]
- Rogelj, J.; Shindell, D.; Jiang, K.; Fifita, S.; Forster, P.; Ginzburg, V.; Handa, C.; Kheshgi, H.; Kobayashi, S.; Kriegler, E.; et al. Mitigation pathways compatible with 1.5 C in the context of sustainable development. In Special Report on Global Warming of 1.5 C; Intergovernmental Panel on Climate Change (IPCC): Geneva, Switzerland, 2018. [Google Scholar]
- Chu, Z.; Zhang, Q.; Tan, W.; Chen, P. Assessing the Impact of Climate Policy Stringency on Corporate Energy Innovation: Insights from China. Energy Econ. 2024, 140, 107959. [Google Scholar] [CrossRef]
- Grubb, M.; Crawford-Brown, D.; Neuhoff, K.; Schanes, K.; Hawkins, S.; Poncia, A. Consumption-Oriented Policy Instruments for Fostering Greenhouse Gas Mitigation. Climate Policy 2020, 20 (Suppl. S1), S58–S73. [Google Scholar] [CrossRef]
- Giarola, S.; García Kerdan, I.; Johnston, P.; Macaluso, N.; Solano Rodriguez, B.; Keppo, I.; Hawkes, A.; Daniels, D. Effects of Asymmetric Policies to Achieve Emissions Reduction on Energy Trade: A North American Perspective. Resour. Environ. Sustain. 2024, 18, 100179. [Google Scholar] [CrossRef]
- Shi, K.; Chen, Y.; Yu, B.; Xu, T.; Chen, Z.; Liu, R.; Li, L.; Wu, J. Modeling spatiotemporal CO2 (carbon dioxide) emission dynamics in China from DMSP-OLS nighttime stable light data using panel data analysis. Appl. Energy 2016, 168, 523–533. [Google Scholar] [CrossRef]
- Su, M.R.; Chen, B.; Xing, T.; Chen, C.; Yang, Z.F. Development of low-carbon city in China: Where will it go? Procedia Environ. Sci. 2012, 13, 1143–1148. [Google Scholar] [CrossRef]
- Zhang, X.; Lu, F.; Xue, D. Does China’s carbon emission trading policy improve regional energy efficiency?—An analysis based on quasi-experimental and policy spillover effects. Environ. Sci. Pollut. Res. 2022, 29, 21166–21183. [Google Scholar] [CrossRef] [PubMed]
- Liu, Y.; Xiao, H.; Zhang, N. Industrial carbon emissions of China’s regions: A spatial econometric analysis. Sustainability 2016, 8, 210. [Google Scholar] [CrossRef]
- Pan, X.; Wang, M.; Li, M. Low-carbon policy and industrial structure upgrading: Based on the perspective of strategic interaction among local governments. Energy Policy 2023, 183, 113794. [Google Scholar] [CrossRef]
- Cheng, Y.; Yao, X. Carbon intensity reduction assessment of renewable energy technology innovation in China: A panel data model with cross-section dependence and slope heterogeneity. Renew. Sustain. Energy Rev. 2021, 135, 110157. [Google Scholar] [CrossRef]
- Chang, L.; Fang, S. Bringing carbon emission reduction to fruition: Insights from city’s low-carbon policy intensity. Financ. Res. Lett. 2025, 72, 106512. [Google Scholar] [CrossRef]
- Liu, W.; Qin, B. Low-carbon city initiatives in China: A review from the policy paradigm perspective. Cities 2016, 51, 131–138. [Google Scholar] [CrossRef]
- Zhang, c.; Wang, Z.; Wang, M.; Li, M. Micro-level pollution reduction effect of carbon emissions trading policy: Based on A-share listed enterprises in pilot cities. J. Clean. Prod. 2024, 486, 14442. [Google Scholar] [CrossRef]
- Ma, X.; Sun, T. Does China’s Low-Carbon City Pilot Policy Effectively Enhance Urban Ecological Efficiency? Sustainability 2025, 17, 368. [Google Scholar] [CrossRef]
- Cui, H.; Cao, Y. Low-carbon city construction, spatial spillovers and greenhouse gas emission performance: Evidence from Chinese cities. J. Environ. Manag. 2024, 355, 120405. [Google Scholar] [CrossRef]
- Lin, J.; Li, X.; Shen, J. Industrial Land Protection and Allocation Efficiency: Evidence from Guangdong, China. Land 2024, 13, 2081. [Google Scholar] [CrossRef]
- Zhang, J.; Qi, Y.; Song, Y.; Li, Y.; Lin, R.; Su, X.; Zhu, D. The Relationship between Industrial Transfer Parks and County Economic Growth: Evidence from Guangdong Province, China. Habitat Int. 2023, 139, 102894. [Google Scholar] [CrossRef]
- Tan, S.; Yang, J.; Yan, J.; Lee, C.; Hashim, H.; Chen, B. A holistic low carbon city indicator framework for sustainable development. Appl. Energy 2017, 185, 1919–1930. [Google Scholar] [CrossRef]
- Zhu, L.; Yan, Y.; Chen, Y. The Spatial-Temporal Evolution Characteristics and Driving Factors of the Green Utilization Efficiency of Urban Land in China. Front. Environ. Sci. 2022, 10, 975815. [Google Scholar] [CrossRef]
- Liu, S.; Lin, L.; Ye, Y.; Xiao, W. Spatial-temporal characteristics of industrial land use efficiency in provincial China based on a stochastic frontier production function approach. J. Clean. Prod. 2021, 295, 126432. [Google Scholar] [CrossRef]
- Li, D.; Fan, K.; Lu, J.; Wu, S.; Xie, X. Research on Spatio-Temporal Pattern Evolution and the Coupling Coordination Relationship of Land-Use Benefit from a Low-Carbon Perspective: A Case Study of Fujian Province. Land 2022, 11, 1498. [Google Scholar] [CrossRef]
- Zhao, J.; Zhu, D.; Cheng, J.; Jiang, X.; Lun, F.; Zhang, Q. Does Regional Economic Integration Promote Urban Land Use Efficiency? Evidence from the Yangtze River Delta, China. Habitat Int. 2021, 116, 102404. [Google Scholar] [CrossRef]
- Zhang, L.; Zheng, X.; Zhang, W. The direct and indirect influences of urbanization on ecological efficiency in China: Empirical analysis based on the super-SBM model and the double mediating effect model. J. Clean. Prod. 2021, 293, 126139. [Google Scholar] [CrossRef]
- Fan, F.; Lian, H.; Liu, X.; Wang, X. Can environmental regulation promote urban green innovation Efficiency? An empirical study based on Chinese cities. J. Clean. Prod. 2021, 287, 125060. [Google Scholar] [CrossRef]
- Kuang, B.; Liu, J.; Fan, X. Has China’s Low-Carbon City Construction Enhanced the Green Utilization Efficiency of Urban Land? Int. J. Environ. Res. Public Health 2022, 19, 9844. [Google Scholar] [CrossRef]
- Yan, D.; Ren, X.; Kong, Y.; Ye, B.; Liao, Z. The heterogeneous effects of socioeconomic determinants on PM2.5 concentrations using a two-step panel quantile regression. Appl. Energy 2020, 272, 115246. [Google Scholar] [CrossRef]
- Wang, Q.; Yuan, X.; Zhang, J.; Mu, R.; Yang, H.; Ma, C. Key evaluation framework for the impacts of urbanization on air environment—A case study. Ecol. Indic. 2013, 24, 266–272. [Google Scholar] [CrossRef]
- Xie, H.; Chen, Q.; Lu, F.; Wang, W.; Yao, G.; Yu, J. Spatial-temporal disparities and influencing factors of total-factor green use efficiency of industrial land in China. J. Clean. Prod. 2019, 207, 1047–1058. [Google Scholar] [CrossRef]
- McKenna, R.; Mulalic, I.; Soutar, I.; Weinand, J.M.; Price, J.; Petrović, S.; Mainzer, K. Exploring Trade-Offs between Landscape Impact, Land Use and Resource Quality for Onshore Variable Renewable Energy: An Application to Great Britain. Energy 2022, 250, 123754. [Google Scholar] [CrossRef]
- Peng, J.; Shen, H.; Wu, W.; Liu, Y.; Wang, Y. Net primary productivity (NPP) dynamics and associated urbanization driving forces in metropolitan areas: A case study in Beijing City, China. Landsc. Ecol. 2016, 31, 1077–1092. [Google Scholar] [CrossRef]
- Chen, H.; Meng, C.; Cao, Q. Measurement and Influencing Factors of Low Carbon Urban Land Use Efficiency—Based on Non-Radial Directional Distance Function. Land 2022, 11, 1052. [Google Scholar] [CrossRef]
- Liu, J.; Feng, H.; Wang, K. The Low-Carbon City Pilot Policy and Urban Land Use Efficiency: A Policy Assessment from China. Land 2022, 11, 604. [Google Scholar] [CrossRef]
- Duan, B.; Ji, X. Can Carbon Finance Optimize Land Use Efficiency? The Example of China’s Carbon Emissions Trading Policy. Land 2021, 10, 953. [Google Scholar] [CrossRef]
- Xu, L.; Sun, H. Study on the Impact of Carbon Emission Trading Pilot on Green Land Use Efficiency in Cities. Land 2024, 13, 526. [Google Scholar] [CrossRef]
- Deng, G.; Wu, Y.; Qian, J. Research on the impact of dual pilot projects for low-carbon and innovative cities on carbon emission efficiency. Front. Environ. Sci. 2024, 12, 1432400. [Google Scholar] [CrossRef]
- Hou, X.; Liu, P.; Liu, X.; Chen, H. Assessing the carbon emission performance of digital greening synergistic transformation: Evidence from the dual pilot projects in China. Environ. Sci. Pollut. Res. 2023, 30, 113504–113519. [Google Scholar] [CrossRef] [PubMed]
- Zhang, J.; Zheng, T. Can dual pilot policy of innovative city and low carbon city promote green lifestyle transformation of residents? J. Clean. Prod. 2023, 405, 136711. [Google Scholar] [CrossRef]
- Cheng, J.; Yi, J.; Dai, S. Can low-carbon city construction facilitate green growth? Evidence from China’s pilot low-carbon city initiative. J. Clean. Prod. 2019, 231, 1158–1170. [Google Scholar] [CrossRef]
- Li, Y.; Qiu, J.; Zhao, B.; Pavao-Zuckerman, M.; Bruns, A.; Qureshi, S.; Zhang, C.; Li, Y. Quantifying urban ecological governance: A suite of indices characterizes the ecological planning implications of rapid coastal urbanization. Ecol. Indic. 2017, 72, 225–233. [Google Scholar] [CrossRef]
- Wu, Y.; Tao, Y.; Yang, G.; Ou, W.; Pueppke, S.; Sun, X.; Chen, G.; Tao, Q. Impact of land use change on multiple ecosystem services in the rapidly urbanizing Kunshan City of China: Past trajectories and future projections. Land Use Policy 2019, 85, 419–427. [Google Scholar] [CrossRef]
- Lin, G.C.S.; Li, Y. In the name of “low-carbon cities”: National rhetoric, local leverage, and divergent exploitation of the greening of urban governance in China. J. Urban Aff. 2022, 46, 587–609. [Google Scholar] [CrossRef]
- Wang, P.; Wang, P. Spatio-Temporal Evolution of Land Use Transition in the Background of Carbon Emission Trading Scheme Implementation: An Economic–Environmental Perspective. Land 2022, 11, 440. [Google Scholar] [CrossRef]
- Zheng, L.; Chen, J. Impacts of Low-Carbon City Pilot Policy on Urban Land Green Use Efficiency: Evidence from 283 Cities in China. Sustainability 2024, 16, 4115. [Google Scholar] [CrossRef]
- Jiang, B.; Sun, Z.; Liu, M. China’s Energy Development Strategy under the Low-Carbon Economy. Energy 2010, 35, 4257–4264. [Google Scholar] [CrossRef]
- Wang, H.; Zhang, R.; Liu, M.; Bi, J. The Carbon Emissions of Chinese Cities. Atmos. Chem. Phys. 2012, 12, 6197–6206. [Google Scholar] [CrossRef]
- Wang, B.; Wu, Z.; Wang, Y. The Impact of Low-Carbon City Governance on Firm Green Innovation: An Enterprise Life Cycle Perspective. Sustainability 2024, 16, 9737. [Google Scholar] [CrossRef]
- Zhang, Y.; Huang, K.; Yu, Y.; Yang, B. Mapping of water footprint research: A bibliometric analysis during 2006–2015. J. Clean. Prod. 2017, 149, 70–79. [Google Scholar] [CrossRef]
- Wen, J.; Sun, S. Does emission trading system improve the urban land green use efficiency? Empirical evidence from Chinese cities. Environ. Sci. Pollut. Res. 2023, 30, 121666–121683. [Google Scholar] [CrossRef]
- Zhao, R.; Min, N.; Geng, Y.; He, Y. Allocation of carbon emissions among industries/sectors: An emissions intensity reduction constrained approach. J. Clean. Prod. 2017, 142, 3083–3094. [Google Scholar] [CrossRef]
- Wang, D.; Jiang, D.; Fu, J.; Lin, G.; Zhang, J. Comprehensive assessment of production–living–ecological space based on the coupling coordination degree model. Sustainability 2020, 12, 2009. [Google Scholar] [CrossRef]
- Krugman, P. Increasing Returns and Economic Geography. J. Polit. Econ. 1991, 99, 483–499. [Google Scholar] [CrossRef]
- Khanna, N.; Fridley, D.; Hong, L. China’s pilot low-carbon city initiative: A comparative assessment of national goals and local plans. Sustain. Cities Soc. 2014, 12, 110–121. [Google Scholar] [CrossRef]
- Porter, M.E. Location, Competition, and Economic Development: Local Clusters in a Global Economy. Econ. Dev. Q. 2000, 14, 15–34. [Google Scholar] [CrossRef]
- Akbari, H.; Menon, S.; Rosenfeld, A. Global cooling: Increasing world-wide urban albedos to offset CO2. Clim. Chang. 2009, 94, 275–286. [Google Scholar] [CrossRef]
- Guan, D.; Barker, T. Low-carbon development in the least developed region: A case study of Guangyuan, Sichuan province, southwest China. Nat. Hazards 2012, 62, 243–254. [Google Scholar] [CrossRef]
- Charnes, A.; Cooper, W.W.; Li, S. Using DEA to Evaluate Relative Efficiencies in the Economic Performance of Chinese Cities. Socio-Econ. Plan. Sci. 1989, 23, 325–344. [Google Scholar] [CrossRef]
- Nunamaker, T.R. Using Data Envelopment Analysis to Measure the Efficiency of Non-Profit Organizations: A Critical Evaluation. Manag. Decis. Econ. 1985, 6, 50–58. Available online: https://www.jstor.org/stable/2487220 (accessed on 2 March 2025). [CrossRef]
- Tone, K. On Returns to Scale under Weight Restrictions in Data Envelopment Analysis. J. Product. Anal. 2001, 16, 31–47. [Google Scholar] [CrossRef]
- Wu, Y.; Zhu, Q.; Zhu, B. Decoupling analysis of world economic growth and CO2 emissions: A study comparing developed and developing countries. J. Clean. Prod. 2018, 190, 94–103. [Google Scholar] [CrossRef]
- Guo, J.; Zhang, Y.-J.; Zhang, K.-B. The key sectors for energy conservation and carbon emissions reduction in China: Evidence from the input-output method. J. Clean. Prod. 2018, 179, 180–190. [Google Scholar] [CrossRef]
- Jacobson, L.S.; LaLonde, R.J.; Sullivan, D.G. Earnings Losses of Displaced Workers. Am. Econ. Rev. 1993, 83, 685–709. Available online: https://www.jstor.org/stable/2117533 (accessed on 2 March 2025).
- Callaway, B.; Sant’Anna, P.H.C. Difference-in-Differences with Multiple Time Periods. J. Econom. 2021, 225, 200–230. [Google Scholar] [CrossRef]
- Sun, L.; Abraham, S. Estimating Dynamic Treatment Effects in Event Studies with Heterogeneous Treatment Effects. J. Econometr. 2021, 225, 175–199. [Google Scholar] [CrossRef]
- Fujii, H.; Managi, S. Research and development strategy for environmental technology in Japan: A comparative study of the private and public sectors. Technol. Forecast. Soc. Chang. 2016, 112, 293–302. [Google Scholar] [CrossRef]
- Fabrizi, A.; Guarini, G.; Meliciani, V. Green patents, regulatory policies and research network policies. Res. Policy 2018, 47, 1018–1031. [Google Scholar] [CrossRef]
- Yang, H.; Zhang, F.; He, Y. Exploring the effect of producer services and manufacturing industrial co-agglomeration on the ecological environment pollution control in China. Environ. Dev. Sustain. 2021, 23, 16119–16144. [Google Scholar] [CrossRef]
- Liu, X.; Luo, P.; Rijal, M.; Hu, M.; Chong, K.L. Spatial Spillover Effects of Urban Agglomeration on Road Network with Industrial Co-Agglomeration. Land 2024, 13, 2097. [Google Scholar] [CrossRef]
- Zheng, S.; Kahn, M.E. Does government investment in local public goods spur gentrification? Evidence from Beijing. Real Estate Econ. 2013, 41, 1–28. [Google Scholar] [CrossRef]
- Tan, J.; Zhang, P.; Lo, K.; Li, J.; Liu, S. The Urban Transition Performance of Resource-Based Cities in Northeast China. Sustainability 2016, 8, 1022. [Google Scholar] [CrossRef]
- Liu, N.; Yang, S.; Gao, X.; Yang, R. Policy Coordination Effects of APPCAP and ETS on Pollution and Carbon Reduction. Energies 2024, 17, 5819. [Google Scholar] [CrossRef]
- Zhang, X.; Wu, Y.; Shen, L.; Skitmore, M. A prototype system dynamic model for assessing the sustainability of construction projects. Int. J. Proj. Manag. 2014, 32, 66–76. [Google Scholar] [CrossRef]
- Yu, J.; Zhou, K.; Yang, S. Land use efficiency and influencing factors of urban agglomerations in China. Land Use Policy 2019, 88, 104143. [Google Scholar] [CrossRef]








| Year | Dual-Pilot Cities |
|---|---|
| 2013 | Beijing, Tianjin, Shanghai, Wuhan, Huangshi, Shiyan, Yichang, Ezhou, Jingmen, Xiaogan, Huanggang, Xianning, Suizhou, Guangzhou, Shaoguan, Shenzhen, Zhuhai, Shantou, Foshan, Jiangmen, Zhanjiang, Maoming, Zhaoqing, Huizhou, Meizhou, Shanwei, Heyuan, Yangjiang, Qingyuan, Dongguan, Zhongshan, Chaozhou, Jieyang, Yunfu, Chongqing |
| 2016 | Xiamen, Nanping, Guangyuan |
| 2017 | Sanming, Chengdu |
| Input and Output | Indicators | Variables | Units |
|---|---|---|---|
| Input | Land | Actual development and construction area within urban administrative region | km2 |
| Capital | Total investment in fixed assets | 100 million CNY | |
| Labor | Employees in secondary and tertiary industries | 10,000 people | |
| Desired output | Economic benefits | Value added by secondary and tertiary industries | 100 million CNY |
| Social benefit | Average salary of urban unit employees | 10 thousand CNY | |
| Ecological benefit | Per capita green space area | m2/per | |
| Undesired output | Pollutant emissions | Comprehensive index of environmental pollution | - |
| Carbon emissions | Total CO2 emissions | 10,000 tons |
| Variable | Obs. | Mean | SD. | Min. | Max. |
|---|---|---|---|---|---|
| ULGUE | 5076 | 0.505 | 0.240 | 0.000 | 1.417 |
| DID | 5076 | 0.083 | 0.276 | 0 | 1 |
| Urban | 5076 | 0.393 | 0.213 | 0.075 | 1.000 |
| Fdi | 5076 | 0.017 | 0.019 | 0 | 0.199 |
| Pop | 5076 | 8.014 | 0.716 | 5.513 | 9.920 |
| Gov | 5076 | 0.458 | 0.224 | 0.054 | 1.541 |
| Road | 5076 | 2.746 | 0.469 | 0.315 | 4.096 |
| UE | 5076 | 0.395 | 0.066 | 0.010 | 0.746 |
| Variable | (1) | (2) | (3) | (4) | (5) | (6) | (7) |
|---|---|---|---|---|---|---|---|
| ULGUE | ULGUE | ULGUE | ULGUE | ULGUE | ULGUE | ULGUE | |
| DID | 0.048 *** | 0.047 *** | 0.053 *** | 0.053 *** | 0.054 *** | 0.054 *** | 0.060 *** |
| (0.011) | (0.011) | (0.012) | (0.012) | (0.012) | (0.012) | (0.012) | |
| Urban | −0.127 *** | −0.127 *** | −0.128 *** | −0.129 *** | −0.128 *** | −0.122 *** | |
| (0.038) | (0.038) | (0.038) | (0.038) | (0.038) | (0.037) | ||
| FDI | 0.591 *** | 0.595 *** | 0.411 *** | 0.409 *** | 0.339 * | ||
| (0.186) | (0.186) | (0.187) | (0.187) | (0.183) | |||
| POP | −0.003 | −0.003 | −0.003 | −0.003 | |||
| (0.005) | (0.005) | (0.005) | (0.005) | ||||
| GOV | 0.178 *** | 0.177 *** | 0.166 *** | ||||
| (0.029) | (0.029) | (0.029) | |||||
| Road | 0.002 | −0.009 | |||||
| (0.009) | (0.009) | ||||||
| UE | 0.462 *** | ||||||
| (0.052) | |||||||
| _Cons | 0.501 *** | 0.551 *** | 0.541 *** | 0.563 *** | 0.484 *** | 0.478 *** | 0.334 *** |
| (0.002) | (0.015) | (0.015) | (0.044) | (0.046) | (0.053) | (0.054) | |
| City FE | YES | YES | YES | YES | YES | YES | YES |
| Year FE | YES | YES | YES | YES | YES | YES | YES |
| Observations | 5076 | 5076 | 5076 | 5076 | 5076 | 5076 | 5076 |
| R2 | 0.738 | 0.739 | 0.740 | 0.740 | 0.742 | 0.742 | 0.746 |
| Variable | PSM-DID | Excluding Impact of Similar Policies | Lagged Variables | Excluding Outliers | Dependent Variable Substitution |
|---|---|---|---|---|---|
| (1) ULGUE | (2) ULGUE | (3) ULGUE | (4) ULGUE | (5) ULGUE_PM2.5 | |
| DID | 0.056 *** | 0.060 *** | 0.055 *** | 0.061 *** | 0.039 *** |
| (0.012) | (0.012) | (0.012) | (0.012) | (0.011) | |
| _Cons | 0.337 *** | 0.334 *** | 0.457 *** | 0.334 *** | 0.280 *** |
| (0.054) | (0.054) | (0.053) | (0.056) | (0.052) | |
| Controls | YES | YES | YES | YES | YES |
| City FE | YES | YES | YES | YES | YES |
| Year FE | YES | YES | YES | YES | YES |
| Observations | 5055 | 5076 | 4794 | 5076 | 5076 |
| R2 | 0.747 | 0.746 | 0.750 | 0.745 | 0.772 |
| Variable | Green Technology Innovation Effects | Industrial Agglomeration Enhancement | ||||
|---|---|---|---|---|---|---|
| (1) GT | (2) GT_Q | (3) GT_N | (4) Service Agglomeration | (5) Manufacturing Agglomeration | (6) Collaborative Agglomeration | |
| DID | 0.263 *** | 0.103 *** | 0.160 *** | 1.707 *** | 0.197 *** | 1.843 *** |
| (0.063) | (0.030) | (0.035) | (0.659) | (0.026) | (0.660) | |
| _Cons | 1.202 *** | 0.309 *** | 0.893 *** | 7.138 *** | 0.447 *** | 8.153 *** |
| (0.121) | (0.054) | (0.075) | (2.752) | (0.108) | (2.757) | |
| Controls | YES | YES | YES | YES | YES | YES |
| City FE | YES | YES | YES | YES | YES | YES |
| Year FE | YES | YES | YES | YES | YES | YES |
| Observations | 5076 | 5076 | 5076 | 5076 | 5076 | 5076 |
| R2 | 0.644 | 0.559 | 0.673 | 0.933 | 0.826 | 0.932 |
| Variable | East | Central | West | Small- and Medium-Sized Cities | Large Cities |
|---|---|---|---|---|---|
| (1) | (2) | (3) | (4) | (5) | |
| DID | 0.056 *** | 0.050 *** | −0.010 | 0.045 *** | 0.103 *** |
| (0.014) | (0.011) | (0.082) | (0.010) | (0.038) | |
| _Cons | 0.240 ** | −0.052 | 0.730 *** | 0.297 *** | 0.895 *** |
| (0.109) | (0.064) | (0.109) | (0.053) | (0.271) | |
| Controls | YES | YES | YES | YES | YES |
| City FE | YES | YES | YES | YES | YES |
| Year FE | YES | YES | YES | YES | YES |
| Observations | 1800 | 1782 | 1494 | 4446 | 630 |
| R2 | 0.747 | 0.697 | 0.750 | 0.772 | 0.643 |
| Variable | Low Human Capital | Medium Human Capital | High Human Capital | Non-Resource Based | Resource Based |
|---|---|---|---|---|---|
| (1) | (2) | (3) | (4) | (5) | |
| DID | 0.027 | 0.047 *** | 0.180 *** | 0.034 ** | 0.134 *** |
| (0.017) | (0.017) | (0.036) | (0.014) | (0.022) | |
| _Cons | 0.394 *** | 0.359 *** | 0.610 *** | 0.444 *** | 0.199 *** |
| (0.087) | (0.076) | (0.153) | (0.079) | (0.073) | |
| Controls | YES | YES | YES | YES | YES |
| City FE | YES | YES | YES | YES | YES |
| Year FE | YES | YES | YES | YES | YES |
| Observations | 1228 | 2560 | 1261 | 3024 | 2052 |
| R2 | 0.827 | 0.788 | 0.660 | 0.740 | 0.768 |
| Variables | LCCP | CETP | Dual-Pilot | |||
|---|---|---|---|---|---|---|
| (1) | (2) | (3) | (4) | (5) | (6) | |
| DID | 0.014 * | 0.031 *** | 0.104 *** | 0.120 *** | 0.041 *** | 0.039 ** |
| (0.009) | (0.009) | (0.016) | (0.020) | (0.012) | (0.013) | |
| Constant | 0.498 *** | 0.176 *** | 0.502 *** | 0.216 *** | 0.503 *** | 0.603 *** |
| (0.003) | (0.063) | (0.002) | (0.071) | (0.003) | (0.073) | |
| Controls | NO | YES | NO | YES | NO | YES |
| City FE | YES | YES | YES | YES | YES | YES |
| Year FE | YES | YES | YES | YES | YES | YES |
| N | 3924 | 3924 | 2898 | 2898 | 2592 | 2592 |
| R2 | 0.753 | 0.765 | 0.746 | 0.758 | 0.727 | 0.735 |
| Model Test | Statistical Result | p-Value | |
|---|---|---|---|
| LM test | Moran’s I | 77.628 | 0.000 |
| LM_erorr | 834.822 | 0.000 | |
| Robust_LM_erorr | 1046.124 | 0.000 | |
| LM_lag | 40.459 | 0.000 | |
| Robust_LM_lag | 251.662 | 0.000 | |
| Wald test | Wald_lag | 108.65 | 0.000 |
| Wald_error | 105.23 | 0.000 | |
| LR test | LR_lag | 108.53 | 0.000 |
| LR_error | 105.81 | 0.000 | |
| Hausman test | Fixed or random effects of SDM | 88.27 | 0.000 |
| LR test | Individual or mixed fixed effect SDM | 99.94 | 0.000 |
| Time or mixed fixed effects of SDM | 6440.5 | 0.000 | |
| Variables | Geographic Distance Matrix | Inverse Geographic Distance Square Matrix | Economic Geography Nested Matrix |
|---|---|---|---|
| (1) | (2) | (3) | |
| DID | 0.057 *** | 0.057 *** | 0.052 *** |
| (0.014) | (0.015) | (0.013) | |
| W × DID | −0.107 * | −0.024 | −0.125 *** |
| (0.059) | (0.024) | (0.048) | |
| rho | 0.436 *** | 0.014 *** | 0.300 *** |
| (0.087) | (0.003) | (0.085) | |
| Sigma2_e | 0.014 *** | 0.245 *** | 0.014 *** |
| (0.003) | (0.031) | (0.000) | |
| Controls | Control | Control | Control |
| Observations | 5076 | 5076 | 5076 |
| R2 | 0.010 | 0.040 | 0.014 |
Disclaimer/Publisher’s Note: The statements, opinions and data contained in all publications are solely those of the individual author(s) and contributor(s) and not of MDPI and/or the editor(s). MDPI and/or the editor(s) disclaim responsibility for any injury to people or property resulting from any ideas, methods, instructions or products referred to in the content. |
© 2025 by the authors. Licensee MDPI, Basel, Switzerland. This article is an open access article distributed under the terms and conditions of the Creative Commons Attribution (CC BY) license (https://creativecommons.org/licenses/by/4.0/).
Share and Cite
Liu, Z.; Wei, Y.; Liao, R.; Yamaka, W.; Liu, J. Synergistic Effects of Dual Low-Carbon Pilot Policies on Urban Green Land Use Efficiency: Mechanisms and Spatial Spillovers Through Difference-in-Differences and Spatial Econometric Analysis. Land 2025, 14, 882. https://doi.org/10.3390/land14040882
Liu Z, Wei Y, Liao R, Yamaka W, Liu J. Synergistic Effects of Dual Low-Carbon Pilot Policies on Urban Green Land Use Efficiency: Mechanisms and Spatial Spillovers Through Difference-in-Differences and Spatial Econometric Analysis. Land. 2025; 14(4):882. https://doi.org/10.3390/land14040882
Chicago/Turabian StyleLiu, Zhixiong, Yuheng Wei, Ruofan Liao, Woraphon Yamaka, and Jianxu Liu. 2025. "Synergistic Effects of Dual Low-Carbon Pilot Policies on Urban Green Land Use Efficiency: Mechanisms and Spatial Spillovers Through Difference-in-Differences and Spatial Econometric Analysis" Land 14, no. 4: 882. https://doi.org/10.3390/land14040882
APA StyleLiu, Z., Wei, Y., Liao, R., Yamaka, W., & Liu, J. (2025). Synergistic Effects of Dual Low-Carbon Pilot Policies on Urban Green Land Use Efficiency: Mechanisms and Spatial Spillovers Through Difference-in-Differences and Spatial Econometric Analysis. Land, 14(4), 882. https://doi.org/10.3390/land14040882

