Investigation of Diverse Urban Carbon Emission Reduction Pathways in China: Based on the Technology–Organization–Environment Framework for Promoting Socio-Environmental Sustainability
Abstract
1. Introduction
2. Theoretical Framework and Hypothesis Development
2.1. Technology–Organization–Environment (TOE) Framework
2.2. Hypothesis Development
2.2.1. Technological Dimension
2.2.2. Organizational Dimension
2.2.3. Environmental Dimension
2.3. Conceptual Model
3. Materials and Methods
3.1. Sample Selection and Data Collection
3.2. Data Measurement
3.2.1. Outcome Variables
3.2.2. Condition Variables
3.3. Analysis Methods
3.3.1. PLS-SEM
3.3.2. NCA
3.3.3. fsQCA
4. Results
4.1. PLS-SEM Analysis Results
4.1.1. Measurement Model
4.1.2. Structural Model
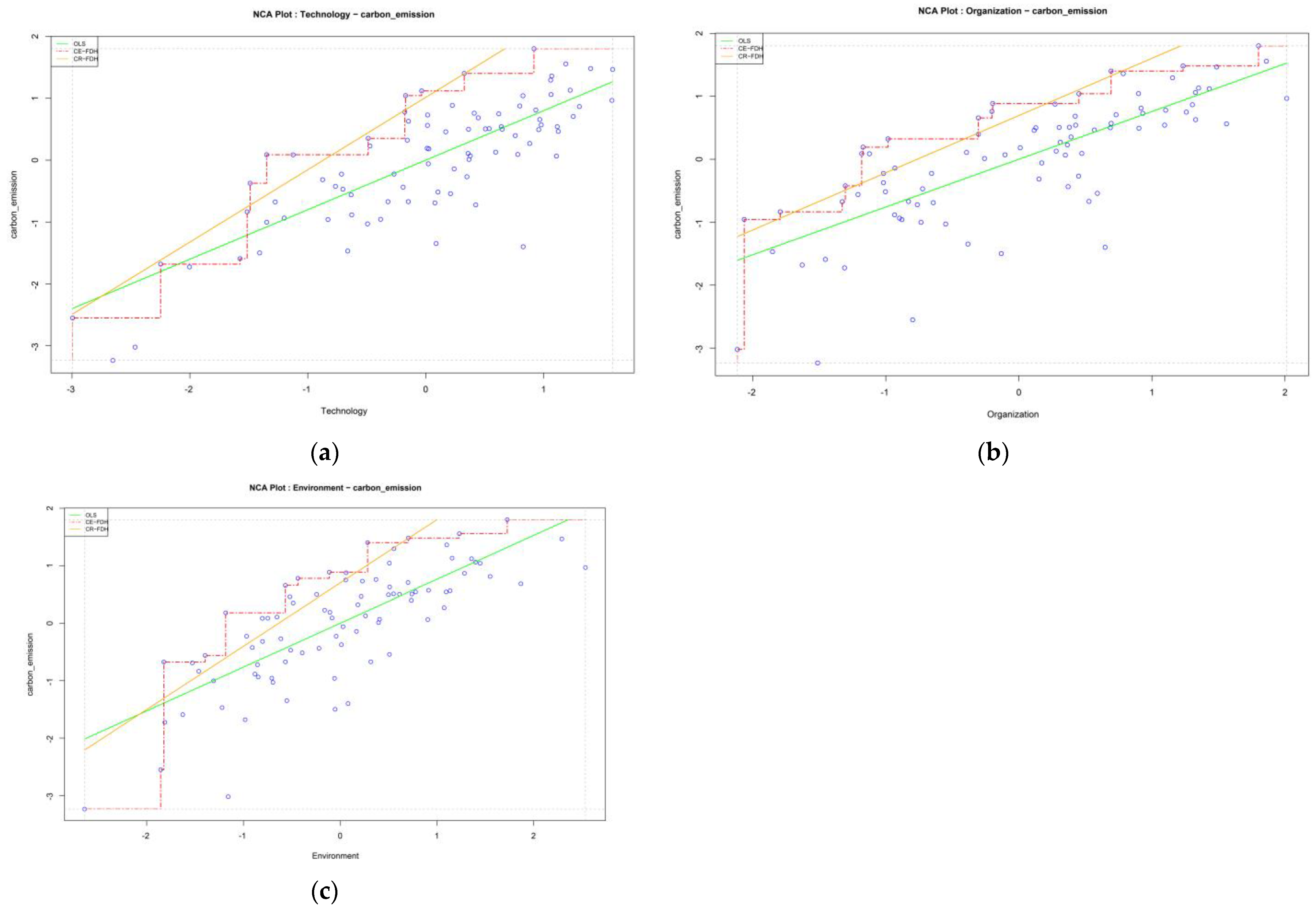
4.2. NCA Results
4.3. Results of fsQCA Analysis
4.3.1. Data Calibration
4.3.2. Necessary Condition Analysis in QCA
4.3.3. Analysis of Sufficient Conditions for Urban Typology Paths
- Innovation-driven technology. Path 1 indicates that high levels of green low-carbon technology, improved energy efficiency, and government low-carbon investment are core conditions for achieving significant carbon emission reductions. This path has a consistency of 1.0 and a raw coverage of 0.45, explaining 45% of the cases. Technological innovation and energy efficiency enhancement were the primary drivers of this path. Figure 6 shows that Hangzhou and Shenzhen are typical examples of innovation-driven technology cities.
- Collaboration between technology and policy. Path 2 shows that core conditions included high energy efficiency and strong policy support, supplemented by resource dependence optimization and industrial structure rationalization. This path had a consistency of 0.89 and a raw coverage of 0.31, explaining 31% of the cases. It emphasizes the synergy between technological and organizational factors. Figure 6 illustrates that Yantai and Guilin are typical of this path.
- Enhancing technology through environmental incentives. Path 1 indicated that high energy efficiency was the core condition, supplemented by advanced green low-carbon technology, policy support, and innovation resource aggregation, which significantly enhanced carbon reduction effects. This path had a consistency of 0.83 and a raw coverage of 0.338, explaining 33.8% of the cases. Figure 7 shows that Chengdu and Huzhou are typical of this path.
- Emission reduction through traditional technology innovation. Path 2 demonstrated that advanced green low-carbon technology, high energy efficiency, and government low-carbon investment were key conditions for achieving carbon reductions. This path had a consistency of 0.97 and a raw coverage of 0.25, explaining 25% of the cases. Figure 7 indicates that Nanjing and Beijing are typical of this path.
- Technology path focused on resource optimization. Path 3 shows that resource dependence optimization and government investment were core conditions for carbon reduction, supplemented by green low-carbon patents and industrial structure rationalization, leading to effective carbon emission reductions. This path had a consistency of 0.93 and a raw coverage of 0.217, explaining 22% of the cases. Figure 7 illustrates that Wenzhou and Zhangjiajie are typical of this path.
- Policy-driven. Path 1 indicates that strong policy support and rationalization of industrial structure were core conditions for achieving carbon reduction. When combined with optimizing resource dependence, these factors can significantly enhance reduction effects. This pathway had a consistency of 0.92 and a raw coverage of 0.41, explaining 41% of the cases. Figure 8 shows that Tianjin and Suzhou are typical of this path.
- Resource integration with an environmental focus. Path 2 demonstrates that high levels of government investment in low-carbon initiatives, optimization of resource dependence, and policy support were core conditions. Supplemented by the rationalization of industrial structure, this can achieve higher levels of carbon reduction. This pathway had a consistency of 0.87 and a raw coverage of 0.37, explaining 37% of the cases. Figure 8 shows that Yinchuan and Zibo are typical of this path.
4.3.4. Robustness Test
5. Discussion
5.1. Discussion of PLS-SEM and NCA Results
5.2. Discussion of fsQCA Results
5.2.1. Configuration Paths for Cities with High Carbon Neutrality Capacity
5.2.2. Configuration Paths for Cities with Medium Carbon Neutrality Capacity
- Enhancing technology through environmental incentives. This path is driven by improvements in energy efficiency and through policy support. The application of green technologies and the concentration of innovation resources significantly enhance carbon reduction outcomes. For example, Chengdu has boosted energy efficiency and enhanced ecological carbon sequestration through the development of green transportation and urban landscape planning, establishing a “park city” with urban green corridors. Similarly, Huzhou has focused on “ecological civilization construction”, integrating sustainable development principles across urban planning, industrial transformation, and resource management. Under policy guidance, these efforts have yielded impressive results. Additionally, a comprehensive evaluation of Huzhou’s low-carbon city competitiveness highlights the crucial role of combining policy and technological innovation, offering valuable lessons for other cities [109]. This model underscores the synergy between policy and technology, emphasizing their combined potential to drive carbon reduction.
- Emission reduction through traditional technology innovation. This path relies on improvements in existing technologies, further accelerated by technological innovation and advancements in energy efficiency. Through the development and application of green technologies, energy use efficiency has seen significant advancements, further propelled by government financial support that promotes the adoption and implementation of these technologies. For instance, Nanjing has made significant progress by increasing investments in technological innovation, particularly in the fields of smart manufacturing and green building landscapes. The city’s green and ecological smart city initiatives integrate modern technology with ecological principles, driving sustainable urban development [110]. In Beijing, policy guidance and technological innovation have enabled a successful low-carbon transition, with technology playing a central role in the city’s green development [111]. Furthermore, at the community level, Beijing has reduced carbon emissions from residential travel by promoting clean energy policies, optimizing the layout of new energy charging stations, and constructing low-carbon infrastructure. This pathway demonstrates how combining traditional technological innovation with financial incentives and policy support can help cities transition to a low-carbon trajectory.
- Technology path focused on resource optimization. This pathway relies heavily on government resource allocation and financial investment. Even with limited innovation resources, cities have successfully achieved carbon reduction by optimizing resources, adjusting industrial structures, and securing additional government funding through policy initiatives and strategic planning. This model is particularly relevant for cities reliant on traditional resource-based industries. For example, Wenzhou has driven low-carbon manufacturing upgrades through industrial restructuring and fiscal support. Similarly, Zhangjiajie, under policy guidance, has developed ecological tourism and green industries, successfully implementing a green transformation model.
5.2.3. Configuration Paths for Cities with Low Carbon Neutrality Capacity
- Policy-driven path. Even in the face of low levels of energy efficiency and green technology, effective policy design and execution facilitate carbon reduction by promoting industrial upgrades and reducing resource dependence. Policies provide essential institutional support and strategic direction in this process. For example, Tianjin has facilitated the transformation of high-carbon industries through targeted policy initiatives. Suzhou, through policy-driven measures, has effectively balanced advanced manufacturing with ecological protection, leveraging its extensive network of gardens and green spaces to enhance carbon sequestration. Additionally, the construction of low-carbon industrial parks has aligned ecological development with industrial growth, contributing to successful carbon reduction outcomes. Urban renewal policies, which incorporate lifecycle assessment (LCA) and building information modeling (BIM) technologies, have optimized carbon emission and sequestration calculations. This provides practical technical guidance for resource management and low-carbon urban planning, enhancing the effectiveness of carbon reduction efforts [112].
- Resource integration with an environmental focus. Government financial support and policy promotion are central to this pathway. By reasonably adjusting industrial structures and reducing reliance on high-carbon resources, these cities make their green development initiatives more sustainable. Policies play a vital role in optimizing resource allocation and facilitating the application of green technologies. For instance, Yinchuan has successfully reduced its reliance on high-carbon resources through government-led industrial restructuring and resource optimization, improving the sustainability of regional ecosystem services [113]. Similarly, Zibo has catalyzed the green transformation of traditional industries through policy support and green technologies, successfully implementing a carbon reduction model driven by both environmental and organizational collaboration. This approach highlights the critical role of policy and inter-organizational cooperation in addressing the challenges posed by high-carbon industries during the low-carbon transition.
6. Conclusions
Author Contributions
Funding
Data Availability Statement
Conflicts of Interest
References
- Friedlingstein, P.; O’Sullivan, M.; Jones, M.W.; Andrew, R.M.; Hauck, J.; Olsen, A.; Peters, G.P.; Peters, W.; Pongratz, J.; Sitch, S.; et al. Global Carbon Budget 2020. Earth Syst. Sci. Data 2020, 12, 3269–3340. [Google Scholar] [CrossRef]
- Jakimowicz, A.; Rzeczkowski, D. The impact of public administration digitalization on the decarbonization of the economy. Energies 2021, 14, 5739. [Google Scholar] [CrossRef]
- Chen, W.; Di, K.; Cai, Q.; Li, D.; Liu, C. Research on motivational mechanisms and pathways for promoting public participation in environmental protection behavior. Int. J. Environ. Res. Public Health 2023, 20, 5084. [Google Scholar] [CrossRef] [PubMed]
- Zhang, Z.; Zhu, J.; Yang, L.; Lu, N. Toward dual carbon targets: Spatial correlation on comprehensive carbon emission index in urban agglomerations based on a new evaluation model. J. Clean. Prod. 2024, 458, 142507. [Google Scholar] [CrossRef]
- Kaittani, M. Greener Cities for a Sustainable Future: Exploring Key Elements of Urban Sustainability. Bachelor’s Thesis, Metropolia University of Applied Sciences, Helsinki, Finland, 2024. [Google Scholar]
- Rahoui, H. Greenest City 2020, Vancouver. In Urban Planning for Transitions; John Wiley & Sons, Ltd.: Hoboken, NJ, USA, 2021; pp. 47–67. [Google Scholar]
- Du, M.; Feng, R.; Chen, Z. Blue sky defense in low-carbon pilot cities: A spatial spillover perspective of carbon emission efficiency. Sci. Total Environ. 2022, 846, 157509. [Google Scholar] [CrossRef]
- Li, L.; Li, J.; Peng, L.; Wang, X.; Sun, S. Optimal pathway to urban carbon neutrality based on scenario simulation: A case study of Shanghai, China. J. Clean. Prod. 2023, 416, 137901. [Google Scholar] [CrossRef]
- Yang, X.; Wang, X.-C.; Zhou, Z.-Y. Development path of Chinese low-carbon cities based on index evaluation. Adv. Clim. Change Res. 2018, 9, 144–153. [Google Scholar] [CrossRef]
- Liu, Y.; Zhang, X.; Shen, Y. Technology-driven carbon reduction: Analyzing the impact of digital technology on China’s carbon emission and its mechanism. Technol. Forecast. Soc. Change 2024, 200, 123124. [Google Scholar] [CrossRef]
- Shen, X.; Padua, M.G.; Kirkwood, N.G. Transformative Impact of Technology in Landscape Architecture on Landscape Research: Trends, Concepts and Roles. Land 2024, 13, 630. [Google Scholar] [CrossRef]
- Abbasi, K.R.; Shahbaz, M.; Zhang, J.; Irfan, M.; Alvarado, R. Analyze the environmental sustainability factors of China: The role of fossil fuel energy and renewable energy. Renew. Energy 2022, 187, 390–402. [Google Scholar] [CrossRef]
- Zhu, F.; Chen, Y. Advanced Hierarchical Planning and Design for Low-Carbon Landscape Architecture Leveraging Virtual Reality Technology. Int. J. Low-Carbon Technol. 2024, 19, 1787–1792. [Google Scholar] [CrossRef]
- Mavrodieva, A.V.; Shaw, R. Disaster and Climate Change Issues in Japan’s Society 5.0—A Discussion. Sustainability 2020, 12, 1893. [Google Scholar] [CrossRef]
- Yang, L.; Ye, W. Landscape Design of Garden Plants Based on Green and Low-Carbon Energy Under the Background of Big Data. Energy Rep. 2022, 8, 13399–13408. [Google Scholar] [CrossRef]
- Sun, L.; Feng, N. Research on fiscal policies supporting green and low-carbon transition to promote energy conservation and emission reduction in cities: Empirical evidence from China. J. Clean. Prod. 2023, 430, 139688. [Google Scholar] [CrossRef]
- Ye, T.; Zheng, H.; Ge, X.; Yang, K. Pathway of green development of Yangtze River Economic Belt from the perspective of green technological innovation and environmental regulation. Int. J. Environ. Res. Public Health 2021, 18, 10471. [Google Scholar] [CrossRef]
- Mohamed, S.A.; Ismail, W.A.W.; Hamid, N.H.A.; Kurzi, N.S.; Hasan, R.; Bak, Y.L.; Ramlee, N. Greening Strategy Through Implementation of Sustainable Landscape Design Towards Low Carbon School. IOP Conf. Ser. Earth Environ. Sci. 2023, 1167, 012048. [Google Scholar] [CrossRef]
- Wolf, S.; Teitge, J.; Mielke, J.; Schütze, F.; Jaeger, C. The European Green Deal—More Than Climate Neutrality. Intereconomics 2021, 56, 99–107. [Google Scholar] [CrossRef]
- Chen, C. New insights for managing the public finance aspects of climate-resilient infrastructure systems. In Research Handbook on Public Financial Management; Edward Elgar Publishing: Cheltenham, UK, 2023; pp. 385–401. Available online: https://www.elgaronline.com/edcollchap/book/9781800379718/book-part-9781800379718-37.xml (accessed on 18 July 2023).
- Song, Y.; Yang, L.; Sindakis, S.; Aggarwal, S.; Chen, C. Analyzing the role of high-tech industrial agglomeration in green transformation and upgrading of manufacturing industry: The case of China. J. Knowl. Econ. 2023, 14, 3847–3877. [Google Scholar] [CrossRef]
- Zhu, X. Have carbon emissions been reduced due to the upgrading of industrial structure? Analysis of the mediating effect based on technological innovation. Environ. Sci. Pollut. Res. 2022, 29, 54890–54901. [Google Scholar] [CrossRef]
- Gu, R.; Li, C.; Li, D.; Yang, Y.; Gu, S. The impact of rationalization and upgrading of industrial structure on carbon emissions in the Beijing-Tianjin-Hebei urban agglomeration. Int. J. Environ. Res. Public Health 2022, 19, 37997. [Google Scholar] [CrossRef]
- Korminouri, F. Circular Economy Potential of Climate Change Adaptation in Cities: The Case of Rotterdam, The Netherlands. Master’s Thesis, University of Twente, Enschede, The Netherlands, 2018. Available online: https://essay.utwente.nl/77475/ (accessed on 17 January 2025).
- Zhang, J.; Li, F.; Sun, M.; Sun, S.; Wang, H.; Zheng, P.; Wang, R. Household Consumption Characteristics and Energy-Related Carbon Emissions Estimation at the Community Scale: A Study of Zengcheng, China. Clean. Respons. Consum. 2021, 2, 100016. [Google Scholar] [CrossRef]
- Shen, X.; Chen, M.; Li, X.; Gao, S.; Yang, Q.; Wen, Y.; Sun, Q. Advancing Climate Resilience through a Geo-Design Framework: Strengthening Urban and Community Forestry for Sustainable Environmental Design. J. For. Res. 2024, 35, 117. [Google Scholar] [CrossRef]
- Ahmed, M.; Shuai, C.; Ahmed, M. Influencing factors of carbon emissions and their trends in China and India: A machine learning method. Environ. Sci. Pollut. Res. 2022, 29, 48424–48437. [Google Scholar] [CrossRef] [PubMed]
- Li, A.; Zhang, A.; Zhou, Y.; Yao, X. Decomposition analysis of factors affecting carbon dioxide emissions across provinces in China. J. Clean. Prod. 2017, 141, 1428–1444. [Google Scholar] [CrossRef]
- Liu, M.; Zhang, X.; Zhang, M.; Feng, Y.; Liu, Y.; Wen, J.; Liu, L. Influencing factors of carbon emissions in transportation industry based on CD function and LMDI decomposition model: China as an example. Environ. Impact Assess. Rev. 2021, 90, 106623. [Google Scholar] [CrossRef]
- Song, F.; Zheng, X. What drives the change in China’s energy intensity: Combining decomposition analysis and econometric analysis at the provincial level. Energy Policy 2012, 51, 445–453. [Google Scholar] [CrossRef]
- Cheng, Z.; Li, L.; Liu, J. The emissions reduction effect and technical progress effect of environmental regulation policy tools. J. Clean. Prod. 2017, 149, 191–205. [Google Scholar] [CrossRef]
- Cheng, Z.; Li, L.; Liu, J. Industrial structure, technical progress and carbon intensity in China’s provinces. Renew. Sustain. Energy Rev. 2018, 81, 2935–2946. [Google Scholar] [CrossRef]
- Fang, Z. Assessing the impact of renewable energy investment, green technology innovation, and industrialization on sustainable development: A case study of China. Renew. Energy 2023, 205, 772–782. [Google Scholar] [CrossRef]
- Su, Y.; Fan, Q. Renewable energy technology innovation, industrial structure upgrading and green development from the perspective of China’s provinces. Technol. Forecast. Soc. Change 2022, 180, 121727. [Google Scholar] [CrossRef]
- Shi, Z.; Wang, R. Configuration analysis of agricultural carbon emission influencing factors in China’s provincial regions under the TOE framework: Combining NCA and fsQCA methods. Chin. J. Ecol. Agric. 2024, 32, 1566–1577. Available online: https://link.cnki.net/urlid/13.1432.S.20240506.1835.002 (accessed on 25 December 2023).
- Shen, W. Synergistic CO2 reduction effects in Chinese urban agglomerations: Perspectives from social network analysis. Sci. Total Environ. 2021, 798, 149352. [Google Scholar] [CrossRef] [PubMed]
- Chen, W.; Cai, Q.; Di, K.; Li, D.; Liu, C.; Wang, M.; Liu, S.; Di, Z.; Shi, Q. What determines the performance of low-carbon cities in China? Analysis of the grouping based on the technology—Organization—Environment framework. PLoS ONE 2023, 18, e0289160. [Google Scholar] [CrossRef]
- Awa, H.O.; Ukoha, O.; Igwe, S.R. Revisiting technology-organization-environment (T-O-E) theory for enriched applicability. Bottom Line 2017, 30, 2–22. [Google Scholar] [CrossRef]
- Awa, H.O.; Ojiabo, O.U.; Orokor, L.E. Integrated technology-organization-environment (T-O-E) taxonomies for technology adoption. J. Enterp. Inf. Manag. 2017, 30, 893–921. [Google Scholar] [CrossRef]
- Aboelmaged, M.G. Predicting e-readiness at firm-level: An analysis of technological, organizational and environmental (TOE) effects on e-maintenance readiness in manufacturing firms. Int. J. Inf. Manag. 2014, 34, 639–651. [Google Scholar] [CrossRef]
- Gutierrez, A.; Boukrami, E.; Lumsden, R. Technological, organisational and environmental factors influencing managers’ decision to adopt cloud computing in the UK. J. Enterp. Inf. Manag. 2015, 28, 788–807. [Google Scholar] [CrossRef]
- Meng, X.; Cheng, Y.; Xuan, Y. Multiple paths of green and low-carbon development in industrial parks: Group analysis based on the TOE framework. Front. Environ. Sci. 2024, 12, 1361598. [Google Scholar] [CrossRef]
- Fernando, Y.; Tseng, M.-L.; Wahyuni-TD, I.S.; Sroufe, R.; Mohd-Zailani, N.I.A. Blockchain technology adoption for carbon trading and energy efficiency: ISO manufacturing firms in Malaysia. Int. J. Logist. Res. Appl. 2023, 26, 1556–1577. [Google Scholar] [CrossRef]
- Wang, S.; Zhang, X.; Peng, J.; Tan, Y.; Fan, Z. Providing Solutions for Carbon Emission Reduction Using the TOE Framework. Expert Syst. Appl. 2024, 255, 124547. [Google Scholar] [CrossRef]
- Li, Y.-D.; Yan, C.-L.; Zhao, Y.-H.; Bai, J.-Q. Analysing Multiple Paths of Urban Low-Carbon Governance: A Fuzzy-Set Qualitative Comparative Analysis Method Based on 35 Key Cities in China. Sustainability 2023, 15, 7613. [Google Scholar] [CrossRef]
- Min, Q.; Zhu, R.; Peng, L. Pathways to Improving Carbon Emission Efficiency in Provinces: A Comparative Qualitative Analysis Based on the Technology-Organization-Environment Framework. Heliyon 2024, 10, e25132. [Google Scholar] [CrossRef] [PubMed]
- As, M.; Bilir, T. Machine learning algorithms for energy efficiency: Mitigating carbon dioxide emissions and optimizing costs in a hospital infrastructure. Energy Build. 2024, 318, 114494. [Google Scholar] [CrossRef]
- Prianto, E.; Windarta, J.; Harianja, B. The Role of Vegetation and Landscape in the Energy Efficiency of Tropical Building. Am. Sci. Lett. 2017, 23, 1–6. [Google Scholar] [CrossRef]
- Zhang, L.; Mu, R.; Zhan, Y.; Yu, J.; Liu, L.; Yu, Y.; Zhang, J. Digital economy, energy efficiency, and carbon emissions: Evidence from provincial panel data in China. Sci. Total Environ. 2022, 852, 158403. [Google Scholar] [CrossRef]
- Habiba, U.; Xinbang, C.; Ali, S. Investigating the impact of financial development on carbon emissions: Does the use of renewable energy and green technology really contribute to achieving low-carbon economies? Gondwana Res. 2023, 121, 472–485. [Google Scholar] [CrossRef]
- He, L.; Yin, F.; Zhong, Z.; Ding, Z. The Impact of Local Government Investment on the Carbon Emissions Reduction Effect: An Empirical Analysis of Panel Data from 30 Provinces and Municipalities in China. PLoS ONE 2017, 12, e0180946. [Google Scholar] [CrossRef]
- Xue, F.; Chen, X. The carbon emission reduction effect of green fiscal policies: Evidence from ‘Energy-saving and emission reduction fiscal policy comprehensive demonstration cities’. J. Financ. Econ. 2022, 48, 79–93. [Google Scholar] [CrossRef]
- Jyh-Harng, S. Carbon sink trading platform mechanism of PPP mode of landscape architecture project based on carbon neutralization concept. E3S Web Conf. 2024, 490, 03018. [Google Scholar] [CrossRef]
- Li, J.; Dong, K.; Wang, K.; Dong, X. How does natural resource dependence influence carbon emissions? The role of environmental regulation. Resour. Policy 2023, 80, 103268. [Google Scholar] [CrossRef]
- Fan, M.; Li, M.; Liu, J.; Shao, S. Is High Natural Resource Dependence Doomed to Low Carbon Emission Efficiency? Evidence from 283 Cities in China. Energy Econ. 2022, 115, 106328. [Google Scholar] [CrossRef]
- Chen, X.; Chen, Y.E.; Chang, C.-P. The effects of environmental regulation and industrial structure on carbon dioxide emission: A non-linear investigation. Environ. Sci. Pollut. Res. 2019, 26, 30252–30267. [Google Scholar] [CrossRef] [PubMed]
- Du, K.; Cheng, Y.; Yao, X. Environmental regulation, green technology innovation, and industrial structure upgrading: The road to the green transformation of Chinese cities. Energy Econ. 2021, 98, 105247. [Google Scholar] [CrossRef]
- Liu, Y.; Xia, C.; Ou, X.; Lv, Y.; Ai, X.; Pan, R.; Zhang, Y.; Shi, M.; Zheng, X. Quantitative Structure and Spatial Pattern Optimization of Urban Green Space from the Perspective of Carbon Balance: A Case Study in Beijing, China. Ecol. Indic. 2023, 148, 110034. [Google Scholar] [CrossRef]
- Hu, L.; Yuan, W.; Jiang, J.; Ma, T.; Zhu, S. Asymmetric effects of industrial structure rationalization on carbon emissions: Evidence from thirty Chinese provinces. J. Clean. Prod. 2023, 428, 139347. [Google Scholar] [CrossRef]
- Tong, J.; Tao, L. Impact of industrial structure rationalization and upgrading on well-being performance of carbon emissions: Empirical analysis based on Chinese provincial level. Pol. J. Environ. Stud. 2023, 32, 5347–5363. [Google Scholar] [CrossRef]
- Wang, J.; Dong, X.; Dong, K. How does ICT agglomeration affect carbon emissions? The case of Yangtze River Delta urban agglomeration in China. Energy Econ. 2022, 111, 106107. [Google Scholar] [CrossRef]
- Zhang, J.; Yu, H.; Zhang, K.; Zhao, L.; Fan, F. Can innovation agglomeration reduce carbon emissions? Evidence from China. Int. J. Environ. Res. Public Health 2021, 18, 382. [Google Scholar] [CrossRef]
- Khanna, N. China’s pilot low-carbon city initiative: A comparative assessment of national goals and local plans. Sustain. Cities Soc. 2014, 12, 110–121. [Google Scholar] [CrossRef]
- National Development and Reform Commission (NDRC). Notice on Carrying Out Pilot Programs in the Third Group of National Low-Carbon Provinces and Cities; NDRC: Beijing, China, 2017. Available online: https://www.ndrc.gov.cn/xxgk/zcfb/tz/201701/t20170124_962888.html (accessed on 1 March 2023).
- Yu, Y. Low-carbon city pilot and carbon emission efficiency: Quasi-experimental evidence from China. Energy Econ. 2021, 46, 100. [Google Scholar] [CrossRef]
- Li, D.; Cao, L.; Zhou, Z.; Zhao, K.; Du, Z.; Chen, Y. Correlating CO2 emissions of cities with the inter-city carbon compensation mechanism: A regional perspective in the middle reaches of the Yangtze River (MRYR), China. Environ. Dev. Sustain. 2024, 26, 9185–9216. [Google Scholar] [CrossRef]
- Honaker, J.; King, G. What to do about missing values in time-series cross-section data. Am. J. Polit. Sci. 2010, 54, 561–581. [Google Scholar] [CrossRef]
- Ma, X.; Wang, C.; Dong, B.; Gu, G.; Chen, R.; Li, Y.; Zou, H.; Zhang, W.; Li, Q. Carbon emissions from energy consumption in China: Its measurement and driving factors. Sci. Total Environ. 2019, 648, 1411–1420. [Google Scholar] [CrossRef] [PubMed]
- Tan, Z.; Li, L.; Wang, J.; Wang, J. Examining the driving forces for improving China’s CO2 emission intensity using the decomposing method. Appl. Energy 2011, 88, 4439–4446. [Google Scholar] [CrossRef]
- Abbas, S. Pathways towards carbon neutrality in low carbon cities: The role of green patents, R&D and energy use for carbon emissions. Technol. Forecast. Soc. Change 2024, 185, 121467. [Google Scholar]
- Zhu, J. Economic growth pressure and energy efficiency improvement: Empirical evidence from Chinese cities. Appl. Energy 2022, 297, 117127. [Google Scholar] [CrossRef]
- Ali, S.; Yan, Q.; Irfan, M.; Ameer, W.; Atchike, D.W.; Acevedo-Duque, Á. Green Investment for Sustainable Business Development: The Influence of Policy Instruments on Solar Technology Adoption. Front. Energy Res. 2022, 10, 874824. [Google Scholar] [CrossRef]
- Wang, K.; Wu, M.; Sun, Y.; Shi, X.; Sun, A.; Zhang, P. Resource abundance, industrial structure, and regional carbon emissions efficiency in China. Resour. Policy 2019, 60, 203–214. [Google Scholar] [CrossRef]
- Yue, X.; Zhao, S.; Ding, X.; Xin, L. How the pilot low-carbon city policy promotes urban green innovation: Based on temporal-spatial dual perspectives. Int. J. Environ. Res. Public Health 2023, 20, 561. [Google Scholar] [CrossRef]
- Hou, G.; Zou, Z.; Zhang, T.; Meng, Y. Analysis of the effect of industrial transformation of resource-based cities in northeast China. Economies 2019, 7, 40. [Google Scholar] [CrossRef]
- Li, Z.; Shi, H.; Liu, H. Research on the concentration, potential and mission of science and technology innovation in China. PLoS ONE 2021, 16, e0257636. [Google Scholar] [CrossRef] [PubMed]
- Hair, J.F. The use of partial least squares structural equation modeling in strategic management research: A review of past practices and recommendations for future applications. Long Range Plan. 2012, 45, 43–55. [Google Scholar] [CrossRef]
- Hair, J.F.; Ringle, C.M.; Sarstedt, M. PLS-SEM: Indeed a silver bullet. J. Mark. Theory Pract. 2011, 19, 139–152. [Google Scholar] [CrossRef]
- Hair, J.F.; Risher, J.J.; Sarstedt, M.; Ringle, C.M. When to use and how to report the results of PLS-SEM. Eur. Bus. Rev. 2019, 31, 2–24. [Google Scholar] [CrossRef]
- Dul, J.; van der Laan, E.; Kuik, R. A statistical significance test for necessary condition analysis. Organ. Res. Methods 2020, 23, 385–395. [Google Scholar] [CrossRef]
- Memon, M.A.; Ramayah, T.; Cheah, J.-H.; Ting, H.; Chuah, F.; Cham, T.H. PLS-SEM statistical programs: A review. J. Appl. Struct. Eq. Model. 2021, 5, i–xiv. [Google Scholar] [CrossRef]
- Vis, B.; Dul, J. Analyzing relationships of necessity not just in kind but also in degree: Complementing fsQCA with NCA. Sociol. Methods Res. 2018, 47, 872–899. [Google Scholar] [CrossRef]
- Fiss, P.C. Building better causal theories: A fuzzy set approach to typologies in organization research. Acad. Manag. J. 2011, 54, 393–420. [Google Scholar] [CrossRef]
- Kraus, S.; Ribeiro-Soriano, D.; Schüssler, M. Fuzzy-Set Qualitative Comparative Analysis (fsQCA) in Entrepreneurship and Innovation Research—The Rise of a Method. Int. Entrep. Manag. J. 2018, 14, 15–33. [Google Scholar] [CrossRef]
- Ragin, C.C. Redesigning Social Inquiry: Fuzzy Sets and Beyond; University of Chicago Press: Chicago, IL, USA, 2009. [Google Scholar]
- Rihoux, B.; Álamos-Concha, P.; Bol, D.; Marx, A.; Rezsöhazy, I. From niche to mainstream method? A comprehensive mapping of QCA applications in journal articles from 1984 to 2011. Polit. Res. Q. 2013, 66, 175–184. Available online: https://www.jstor.org/stable/23563600 (accessed on 5 October 2023).
- Xu, Q.; Xu, P.; Bao, C. Multifaceted pathways of carbon emission reduction policies: A study based on the decoupling effect and fsQCA method in the Yangtze River Delta urban agglomeration. Sustainability 2023, 15, 3745. [Google Scholar] [CrossRef]
- Cao, P.; Chen, R. Research on the Impact Path of Ecological Civilization Construction on Carbon Emission Based on fsQCA Method. Front. Ecol. Evol. 2023, 11, 1172180. [Google Scholar] [CrossRef]
- Ziggers, G.W.; Henseler, J. The reinforcing effect of a firm’s customer orientation and supply-base orientation on performance. Ind. Mark. Manag. 2016, 52, 18–26. [Google Scholar] [CrossRef]
- García-Alcaraz, J.L.; Realyvasquez-Vargas, A.; García-Alcaraz, P.; Pérez de la Parte, M.; Blanco Fernández, J.; Jiménez Macias, E. Effects of human factors and lean techniques on just in time benefits. Sustainability 2019, 11, 1864. [Google Scholar] [CrossRef]
- Hamid, M.R.A.; Sami, W.; Sidek, M.H.M. Discriminant validity assessment: Use of Fornell & Larcker criterion versus HTMT criterion. J. Phys. Conf. Ser. 2017, 890, 012163. [Google Scholar] [CrossRef]
- Andreev, P.; Heart, T.; Maoz, H.; Pliskin, N. Validating formative partial least squares (PLS) models: Methodological review and empirical illustration. In Proceedings of the ICIS 2009 Proceedings, Phoenix, AZ, USA, 15–18 December 2009; Available online: https://aisel.aisnet.org/icis2009/193 (accessed on 10 December 2024).
- AlWahaibi, I.S.H.; AlHadabi, D.A.M.Y.A.; AlKharusi, H.A.T. Cohen’s criteria for interpreting practical significance indicators: A critical study. Cypriot J. Educ. Sci. 2020, 15, 246–258. [Google Scholar] [CrossRef]
- Dul, J. Conducting Necessary Condition Analysis for Business and Management Students. Available online: https://uk.sagepub.com/en-gb/eur/conducting-necessary-condition-analysis-for-business-and-management-students/book262898 (accessed on 12 December 2024).
- Richter, N.F.; Hauff, S.; Ringle, C.M.; Sarstedt, M.; Kolev, A.E.; Schubring, S. How to apply necessary condition analysis in PLS-SEM. In Partial Least Squares Path Modeling: Basic Concepts, Methodological Issues and Applications; Latan, H., Hair, J.F., Noonan, R., Eds.; Springer International Publishing: Cham, Switzerland, 2023; pp. 267–297. [Google Scholar] [CrossRef]
- Dul, J. Necessary Condition Analysis (NCA) with R (Version 3.1.0): A Quick Start Guide. Available online: https://www.erim.eur.nl/fileadmin/user_upload/_generated_/download/Quick_Start_Guide_NCA_3.1.0_March_2__2021.pdf (accessed on 8 December 2024).
- Meuer, J.; Rupietta, C. A review of integrated QCA and statistical analyses. Qual. Quant. 2017, 51, 2063–2083. [Google Scholar] [CrossRef]
- Schneider, C.Q.; Wagemann, C. Set-Theoretic Methods for the Social Sciences: A Guide to Qualitative Comparative Analysis; Cambridge University Press: Cambridge, UK, 2012. [Google Scholar]
- Shipan, C.R.; Volden, C. The mechanisms of policy diffusion. Am. J. Polit. Sci. 2008, 52, 840–857. [Google Scholar] [CrossRef]
- Wang, F.; Harindintwali, J.D.; Yuan, Z.; Wang, M.; Wang, F.; Li, S.; Yin, Z.; Huang, L.; Fu, Y.; Li, L.; et al. Technologies and perspectives for achieving carbon neutrality. Innovation 2021, 2, 100180. [Google Scholar] [CrossRef]
- Ceglia, F.; Esposito, P.; Marrasso, E.; Sasso, M. From Smart Energy Community to Smart Energy Municipalities: Literature Review, Agendas and Pathways. J. Clean. Prod. 2020, 254, 120118. [Google Scholar] [CrossRef]
- Zhang, Z.-H.; Ling, D.; Yang, Q.-X.; Feng, Y.-C.; Xiu, J. Central environmental protection inspection and carbon emission reduction: A tripartite evolutionary game model from the perspective of carbon neutrality. Petroleum Sci. 2024, 21, 2139–2153. [Google Scholar] [CrossRef]
- Chen, L.; Bai, X.; Chen, B.; Wang, J. Incentives for green and low-carbon technological innovation of enterprises under environmental regulation: From the perspective of evolutionary game. Front. Energy Res. 2022, 9, 793667. [Google Scholar] [CrossRef]
- Xie, R.; Teo, T.S.H. Green technology innovation, environmental externality, and the cleaner upgrading of industrial structure in China—Considering the moderating effect of environmental regulation. Technol. Forecast. Soc. Change 2022, 184, 122020. [Google Scholar] [CrossRef]
- Wang, J.; Yu, S.; Li, M.; Cheng, Y.; Wang, C. Study of the impact of industrial restructuring on the spatial and temporal evolution of carbon emission intensity in Chinese provinces—Analysis of mediating effects based on technological innovation. Int. J. Environ. Res. Public Health 2022, 19, 13401. [Google Scholar] [CrossRef]
- Li, S.; Xue, F.; Xia, C.; Zhang, J.; Bian, A.; Lang, Y.; Zhou, J. A Big Data-Based Commuting Carbon Emissions Accounting Method—A Case of Hangzhou. Land 2022, 11, 900. [Google Scholar] [CrossRef]
- Huang, P.; Li, P. Politics of urban energy transitions: New energy vehicle (NEV) development in Shenzhen, China. Environ. Polit. 2020, 29, 524–545. [Google Scholar] [CrossRef]
- Wang, C. Study on the dynamic evaluation of the regional green low-carbon transformation in China evidence from Qingdao, Yantai and Weihai. Chaos Solitons Fractals 2016, 89, 147–152. [Google Scholar] [CrossRef]
- Zeng, S.; Chu, Y.; Yang, Y.; Li, P.; Liu, H. Comprehensive Evaluation of Low-Carbon City Competitiveness under the “Dual-Carbon” Target: A Cross-Sectional Comparison between Huzhou City and Neighboring Cities in China. Systems 2022, 10, 235. [Google Scholar] [CrossRef]
- Li, M.H.; Ni, H. The Research of Green Ecological Wisdom City Construction—Taking Nanjing as an Example. Adv. Mater. Res. 2015, 1073–1076, 1368–1375. [Google Scholar] [CrossRef]
- Wang, T.; Song, Z.; Zhou, J.; Sun, H.; Liu, F. Low-Carbon Transition and Green Innovation: Evidence from Pilot Cities in China. Sustainability 2022, 14, 7264. [Google Scholar] [CrossRef]
- Zhang, L.; Cai, Y.; Song, S.; Sun, L. An Urban Renewal Design Method Based on Carbon Emissions and Carbon Sink Calculations: A Case Study on an Environmental Improvement Project in the Suzhou Industrial Investment Science and Technology Park. Buildings 2024, 14, 2962. [Google Scholar] [CrossRef]
- Wang, W.; Li, B.Y.; Ren, Z.Y. Ecosystem service function evaluation: A case study of the Yinchuan basin in China. Ecol. Eng. 2017, 106, 333–339. [Google Scholar] [CrossRef]








| Carbon Neutrality Capacity | Representative Cities |
|---|---|
| High | Huangshan, Xingzhou, Ganzhou, Huaihua, Liuzhou, Guilin, Dalian, Hangzhou, Xiamen, Yantai, Changsha, Guangzhou, Shenzhen, Sanya, Kunming |
| Medium | Beijing, Nanjing, Changzhou, Ningbo, Wenzhou, Jinhua, Jining, Zhoushan, Hefei, Huaibei, Huainan, Suzhou, Fuyang, Luoyang, Wuhan, Zhuhai, Yulin, Yichang, Jiujiang, Huangshi, Tongling, Xuancheng, Maoming, Chongqing, Chengdu, Anshun, Tianmen, Lishui, Xiangtan, Huaian, Suqian, Ma’anshan, Hengshui, Yiyang, Ganzhou, Lu’an, Liu’an, Sanming, Shangrao, Linfen, Xiangyang, Dehong, Chenzhou, Longyan, Putian, Ji’an, Meizhou, Foshan, Chaozhou, Hezhou |
| Low | Tianjin, Dalian, Yangquan, Yuxi, Linyi, Shanghai, Wuxi, Xuzhou, Jining, Huainan, Yinchuan, Jincheng, Baotou, Baoding, Yingkou, Tonghua, Daqing, Lianyungang, Yancheng, Yangzhou, Bozhou, Tongling, Luoyang, Chengde, Liangshan |
| Category | Dimension | Variable | Measurement Approach | Data Source |
|---|---|---|---|---|
| Outcome variable | Carbon emission intensity | Change rate of the ratio of total carbon emissions to city GDP (2020–2022) | China Energy Statistical Yearbook, city statistical yearbooks, carbon emission data from the Ministry of Ecology and Environment | |
| Carbon emissions | Change rate of total carbon emissions (2020–2022) | China Energy Statistical Yearbook, city statistical yearbooks, carbon emission data from the Ministry of Ecology and Environment | ||
| Conditional variable | Technology | Level of green low-carbon technology | Number of low-carbon patent applications (2020–2022) | CNRDS Database |
| Energy efficiency optimization | Change rate of urban energy consumption as a proportion of city GDP (2020–2022) | China Energy Statistical Yearbook, city statistical yearbooks | ||
| Organization | Government investment in low-carbon initiatives | Change rate of government expenditure on energy conservation, environmental protection, and low-carbon initiatives as a share of public fiscal expenditure (2020–2022) | China Environmental Statistical Yearbook, China Energy Statistical Yearbook, provincial statistical yearbooks | |
| Optimization of resource dependence | Change rate of output value from resource industries (e.g., mining, oil, natural gas) as a proportion of city GDP (2020–2022) | Provincial and city statistical yearbooks | ||
| Environment | Policy support | Number of low-carbon policies adopted by cities in the past three years (2020–2022) | Provincial and city policy documents | |
| Rationalization of industrial structures | Change rate of Theil index (2020–2022) | China Energy Statistical Yearbook, China Environmental Statistical Yearbook, provincial and city statistical yearbooks | ||
| Aggregation of innovative resources | Number of provincial-level and above research institutions and recognized high-tech enterprises (2020–2022) | Provincial and city technology bureau websites, technology statistical reports, or annual work summaries | ||
| Construct | Variable | Loading | VIF | CR | AVE | Cronbach’s Alpha |
|---|---|---|---|---|---|---|
| Technology | Level of green low-carbon technology | 0.889 | 1.511 | 0.883 | 0.791 | 0.736 |
| Energy efficiency optimization | 0.891 | 1.511 | ||||
| Organization | Government investment in low-carbon initiatives | 0.890 | 1.438 | 0.873 | 0.776 | 0.711 |
| Optimization of resource dependence | 0.872 | 1.438 | ||||
| Environment | Policy support | 0.879 | 2.121 | 0.909 | 0.770 | 0.851 |
| Rationalization of industrial structures | 0.861 | 2.040 | ||||
| Aggregation of innovative resources | 0.892 | 2.099 | ||||
| Carbon emission reduction | Carbon emissions | 0.866 | 1.539 | 0.885 | 0.794 | 0.744 |
| Carbon emission intensity | 0.916 | 1.539 |
| Construct | Technology | Environment | Carbon Emission Reduction | Organization |
|---|---|---|---|---|
| Technology | 0.889 | |||
| Environment | 0.781 | 0.878 | ||
| Carbon emission reduction | 0.800 | 0.763 | 0.891 | |
| Organization | 0.738 | 0.787 | 0.759 | 0.881 |
| Relationship | Path Coefficient (β) | STDEV | p-Value | t-Value | CI [2.5–97.5%] | Hypothesis |
|---|---|---|---|---|---|---|
| Direct effects | ||||||
| Technology -> carbon emission reduction | 0.437 | 0.111 | 0.000 | 3.948 | 0.195–0.63 | Supported |
| Organization -> carbon emission reduction | 0.273 | 0.099 | 0.006 | 2.766 | 0.085–0.471 | Supported |
| Environment -> carbon emission reduction | 0.207 | 0.109 | 0.057 | 1.907 | 0.006–0.429 | Not supported |
| Indirect effects | ||||||
| Organization -> technology -> carbon emission reduction | 0.142 | 0.059 | 0.016 | 2.410 | 0.050–0.282 | Supported |
| Environment -> technology -> carbon emission reduction | 0.229 | 0.077 | 0.003 | 2.953 | 0.096–0.401 | Supported |
| Environment -> organization -> carbon emission reduction | 0.215 | 0.079 | 0.006 | 2.729 | 0.062–0.371 | Supported |
| Dimension | Effect Size (CR-FDH Model) | p-Value | Significance |
|---|---|---|---|
| Technology | 0.377 | 0.00 | ** |
| Organization | 0.249 | 0.03 | ** |
| Environment | 0.305 | 0.01 | ** |
| Carbon Reduction Level | Technology | Organization | Environment |
|---|---|---|---|
| 0 | NN | NN | NN |
| 10 | NN | NN | NN |
| 20 | 4.8 | NN | NN |
| 30 | 14.2 | NN | 8.5 |
| 40 | 23.6 | 0.2 | 17.3 |
| 50 | 33.0 | 13.6 | 26.2 |
| 60 | 42.4 | 27.0 | 35.0 |
| 70 | 51.8 | 40.5 | 43.8 |
| 80 | 61.3 | 53.9 | 52.7 |
| 90 | 70.7 | 67.3 | 61.5 |
| 100 | 80.1 | 80.7 | 70.3 |
| Variable | Anchors | |||
|---|---|---|---|---|
| Full Non-Membership | Crossover Point | Full Membership | ||
| Conditional variable | Level of green low-carbon technology | 161 | 367 | 1108 |
| Energy efficiency optimization | 0.000541 | 0.001846 | 0.005925 | |
| Government investment in low-carbon initiatives | 9.139532 | 15.57380 | 25.86490 | |
| Optimization of resource dependence | 0.001391 | 0.012395 | 0.118568 | |
| Policy support | 7 | 37 | 108 | |
| Rationalization of industrial structures | 0.028778 | 0.047435 | 0.066384 | |
| Aggregation of innovative resources | 102 | 221 | 886 | |
| Outcome variable | Carbon emission intensity | 0.000058 | 0.000106 | 0.000157 |
| Urban Typology | High Carbon Neutral Capacity | Medium Carbon Neutral Capacity | Low Carbon Neutral Capacity | ||||
|---|---|---|---|---|---|---|---|
| Conditional variable | Path 1 | Path 2 | Path 1 | Path 2 | Path 3 | Path 1 | Path 2 |
| Level of green low-carbon technology | ![]() | ![]() | ![]() | ![]() | ![]() | ![]() | ![]() |
| Energy efficiency optimization | ![]() | ![]() | ![]() | ![]() | ![]() | ||
| Government investment in low-carbon initiatives | ![]() | ![]() | ![]() | ![]() | ![]() | ![]() | |
| Optimization of resource dependence | ![]() | ![]() | ![]() | ![]() | ![]() | ||
| Policy support | ![]() | ![]() | ![]() | ![]() | ![]() | ||
| Rationalization of industrial structures | ![]() | ![]() | ![]() | ![]() | ![]() | ![]() | |
| Aggregation of innovative resources | ![]() | ![]() | ![]() | ![]() | ![]() | ||
| Consistency | 1.000 | 0.893 | 0.836 | 0.969 | 0.925 | 0.922 | 0.870 |
| Raw coverage | 0.450 | 0.309 | 0.338 | 0.248 | 0.217 | 0.409 | 0.368 |
| Unique coverage | 0.225 | 0.170 | 0.150 | 0.142 | 0.136 | 0.257 | 0.139 |
Core causal condition present;
core causal condition absent;
peripheral condition present;
peripheral condition absent.Disclaimer/Publisher’s Note: The statements, opinions and data contained in all publications are solely those of the individual author(s) and contributor(s) and not of MDPI and/or the editor(s). MDPI and/or the editor(s) disclaim responsibility for any injury to people or property resulting from any ideas, methods, instructions or products referred to in the content. |
© 2025 by the authors. Licensee MDPI, Basel, Switzerland. This article is an open access article distributed under the terms and conditions of the Creative Commons Attribution (CC BY) license (https://creativecommons.org/licenses/by/4.0/).
Share and Cite
Jiang, H.; Lu, J.; Zhang, R.; Xiao, X. Investigation of Diverse Urban Carbon Emission Reduction Pathways in China: Based on the Technology–Organization–Environment Framework for Promoting Socio-Environmental Sustainability. Land 2025, 14, 260. https://doi.org/10.3390/land14020260
Jiang H, Lu J, Zhang R, Xiao X. Investigation of Diverse Urban Carbon Emission Reduction Pathways in China: Based on the Technology–Organization–Environment Framework for Promoting Socio-Environmental Sustainability. Land. 2025; 14(2):260. https://doi.org/10.3390/land14020260
Chicago/Turabian StyleJiang, Haiyan, Jiaxi Lu, Ruidong Zhang, and Xi Xiao. 2025. "Investigation of Diverse Urban Carbon Emission Reduction Pathways in China: Based on the Technology–Organization–Environment Framework for Promoting Socio-Environmental Sustainability" Land 14, no. 2: 260. https://doi.org/10.3390/land14020260
APA StyleJiang, H., Lu, J., Zhang, R., & Xiao, X. (2025). Investigation of Diverse Urban Carbon Emission Reduction Pathways in China: Based on the Technology–Organization–Environment Framework for Promoting Socio-Environmental Sustainability. Land, 14(2), 260. https://doi.org/10.3390/land14020260
