Understanding Flash Droughts in Greece: Implications for Sustainable Water and Agricultural Management
Abstract
1. Introduction
2. Materials and Methods
Study Area
- Frequency (F): The occurrence rate of flash droughts per grid cell, calculated as the total number of events detected during the study period (1990–2024).
- Magnitude (M): The cumulative soil moisture deficit for each event, computed as the sum of negative soil moisture anomalies (relative to the 1990–2024 climatology) from onset to termination.
- Duration (D): The temporal span (in days) between drought initiation (soil moisture dropping below the 40th percentile) and termination (recovery above the 20th percentile).
- Intensity (I): The mean severity per unit time, derived as the ratio of magnitude to duration (I = M/D) for each grid cell.
- Decline Rate (DR): The maximum rate of soil moisture depletion during the intensification phase, quantified as the 5-day moving average of percentile decrease (≥5th percentile/pentad).
- Recovery Duration (RD): The number of pentads from the point of minimum soil moisture to the point when the soil moisture exceeded the 20th percentile threshold for at least five (5) consecutive pentads.
- Recovery Rate (RR): The rate of increase in soil moisture from the minimum value at the confirmed recovery point, divided by the recovery duration.
3. Results
3.1. Spatial Characteristics of Flash Droughts
3.1.1. Frequency
3.1.2. Duration
3.1.3. Magnitude
3.1.4. Intensity
3.1.5. Decline Rate
3.1.6. Recovery Rate
3.1.7. Recovery Duration
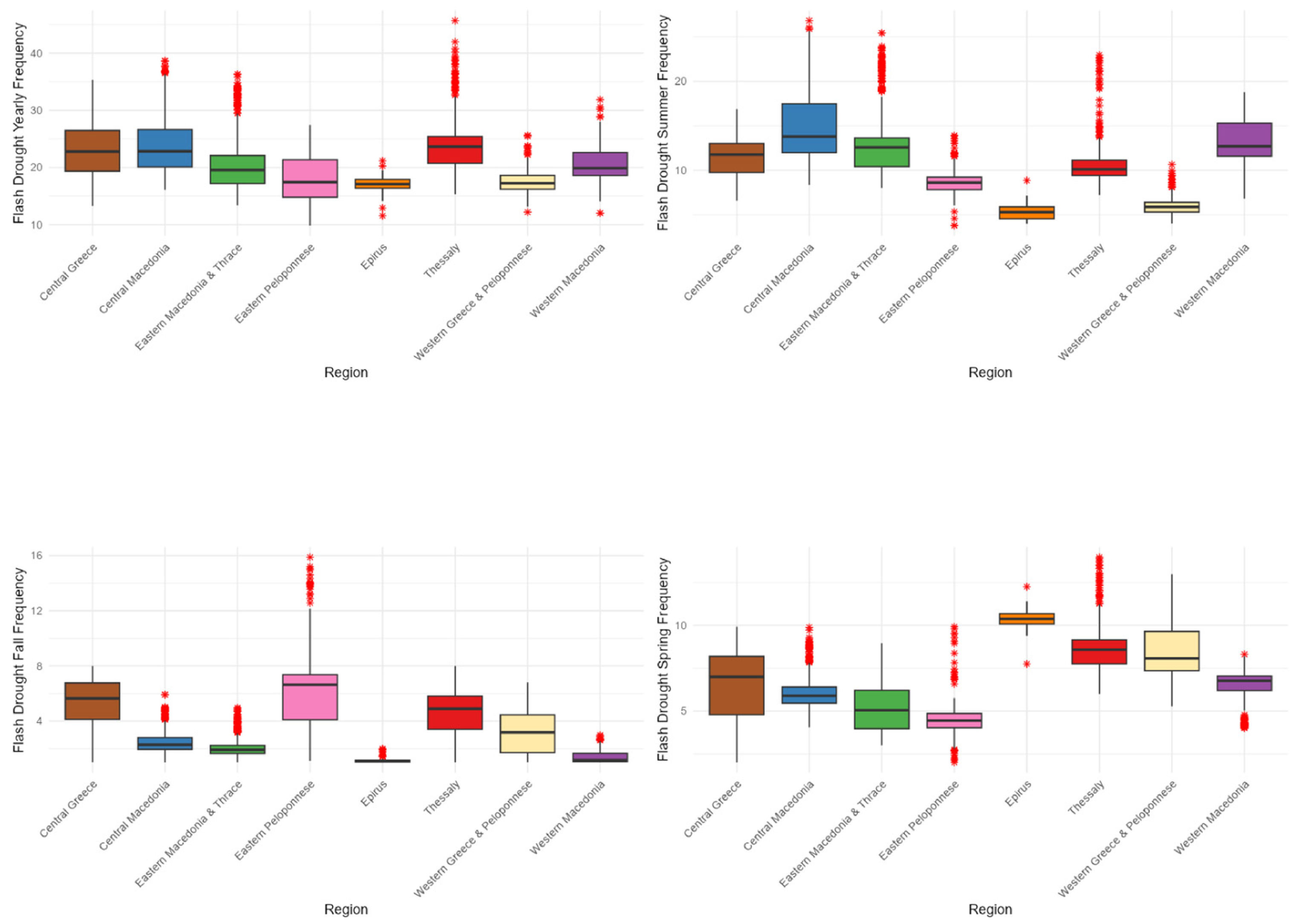
3.2. Frequency on Regional Level
3.3. Duration on Regional Level
3.4. Magnitude on Regional Level
3.5. Intensity on Regional Level
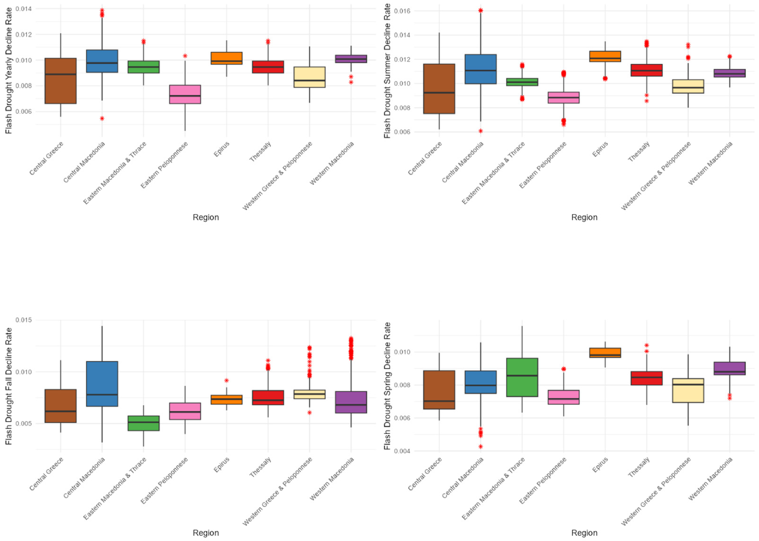
3.6. Decline Rate on Regional Levels
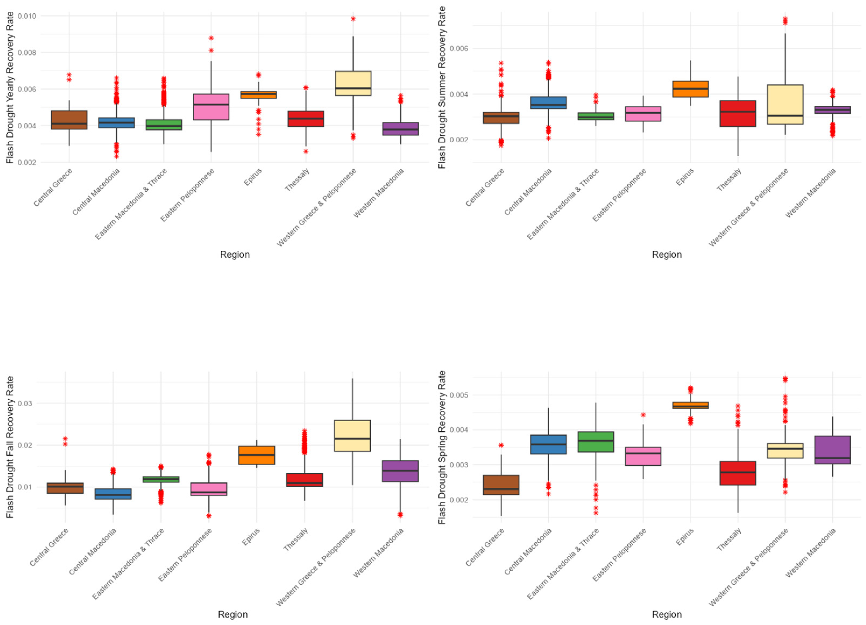
3.7. Recovery Rate on Regional Levels
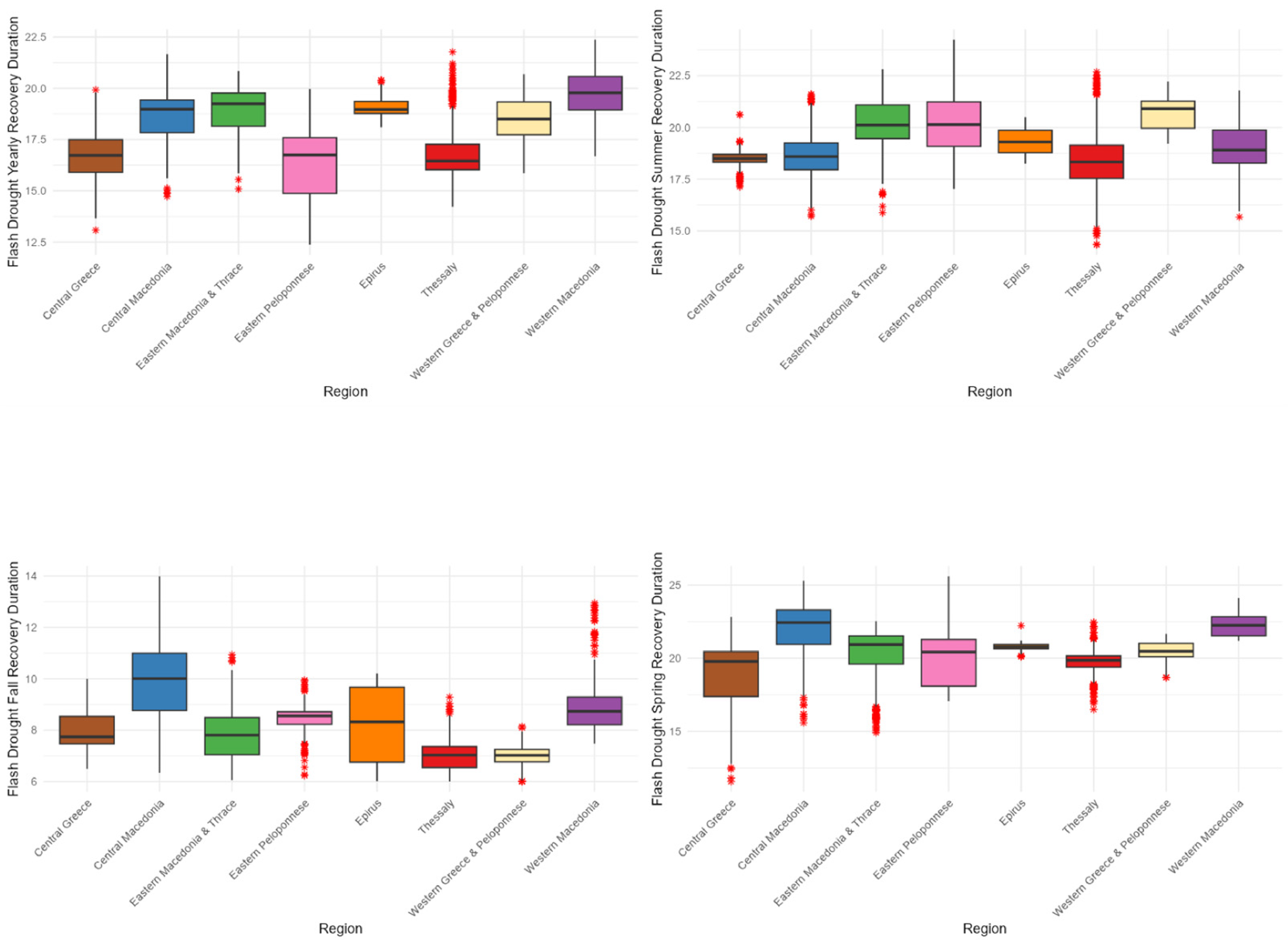
3.8. Recovery Duration on Regional Levels
3.9. Correlation Analysis
4. Discussion
- Critical Flash Drought (green): Denoting severe decline rates with long recovery periods
- Mild Persistent Drought (yellow): Characterized by a gradual decline rate and prolonged drought conditions.
- Mild Fast Recovery (brown): Reflects moderate drought severity followed by a rapid recovery rate.
5. Conclusions
Author Contributions
Funding
Data Availability Statement
Conflicts of Interest
References
- Orimoloye, I.R.; Belle, J.A.; Orimoloye, Y.M.; Olusola, A.O.; Ololade, O.O. Drought: A Common Environmental Disaster. Atmosphere 2022, 13, 111. [Google Scholar] [CrossRef]
- Mishra, A.K.; Singh, V.P. A review of drought concepts. J. Hydrol. 2010, 391, 202–216. [Google Scholar] [CrossRef]
- Wilhite, D.A.; Glantz, M.H. Understanding: The Drought Phenomenon: The Role of Definitions. Water Int. 1985, 10, 111–120. [Google Scholar] [CrossRef]
- Spinoni, J.; Barbosa, P.; Bucchignani, E.; Cassano, J.; Cavazos, T.; Christensen, J.H.; Christensen, O.B.; Coppola, E.; Evans, J.; Geyer, B.; et al. Future Global Meteorological Drought Hot Spots: A Study Based on CORDEX Data. J. Clim. 2020, 33, 3635–3661. [Google Scholar] [CrossRef]
- Svoboda, M.; LeComte, D.; Hayes, M.; Heim, R.; Gleason, K.; Angel, J.; Rippey, B.; Tinker, R.; Palecki, M.; Stooksbury, D.; et al. THE DROUGHT MONITOR. Bull. Am. Meteorol. Soc. 2002, 83, 1181–1190. [Google Scholar] [CrossRef]
- Christian, J.I.; Basara, J.B.; Hunt, E.D.; Otkin, J.A.; Furtado, J.C.; Mishra, V.; Xiao, X.; Randall, R.M. Global distribution, trends, and drivers of flash drought occurrence. Nat. Commun. 2021, 12, 6330. [Google Scholar] [CrossRef]
- Lovino, M.A.; Pierrestegui, M.J.; Müller, O.V.; Müller, G.V.; Berbery, E.H. The prevalent life cycle of agricultural flash droughts. npj Clim. Atmos. Sci. 2024, 7, 73. [Google Scholar] [CrossRef]
- Ford, T.W.; Labosier, C.F. Meteorological conditions associated with the onset of flash drought in the Eastern United States. Agric. For. Meteorol. 2017, 247, 414–423. [Google Scholar] [CrossRef]
- Svoboda, M. Changing the Slow Onset Mentality of Drought: A Case Study of Flash Drought in the United States and the Northern Plains. United Nations Office for Disaster Risk Reduction (UNDRR). 29 October 2024. Available online: https://www.preventionweb.net/resource/case-study/changing-slow-onset-mentality-drought-case-study-flash-drought-united-states (accessed on 1 January 2025).
- Shah, J.; Kumar, R.; Samaniego, L.; Markonis, Y.; Hanel, M.; Attinger, S.; Hari, V.; Rakovec, O. On the role of antecedent meteorological conditions on flash drought initialization in Europe. Environ. Res. Lett. 2023, 18, 064039. [Google Scholar] [CrossRef]
- Otkin, J.A.; Svoboda, M.; Hunt, E.D.; Ford, T.W.; Anderson, M.C.; Hain, C.; Basara, J.B. Flash Droughts: A Review and Assessment of the Challenges Imposed by Rapid-Onset Droughts in the United States. Bull. Am. Meteorol. Soc. 2018, 99, 911–919. [Google Scholar] [CrossRef]
- Yuan, X.; Wang, Y.; Ji, P.; Wu, P.; Sheffield, J.; Otkin, J.A. A global transition to flash droughts under climate change. Science 2023, 380, 187–191. [Google Scholar] [CrossRef]
- Pendergrass, A.G.; Meehl, G.A.; Pulwarty, R.; Hobbins, M.; Hoell, A.; AghaKouchak, A.; Bonfils, C.J.W.; Gallant, A.J.E.; Hoerling, M.; Hoffmann, D.; et al. Flash droughts present a new challenge for subseasonal-to-seasonal prediction. Nat. Clim. Change 2020, 10, 191–199. [Google Scholar] [CrossRef]
- NOAA/National Integrated Drought Information System; Lisonbee, J.; Woloszyn, M.; Skumanich, M. Making sense of flash drought: Definitions, indicators, and where we go from here. J. Appl. Serv. Climatol. 2021, 2021, 1–19. [Google Scholar] [CrossRef]
- Chen, L.G.; Gottschalck, J.; Hartman, A.; Miskus, D.; Tinker, R.; Artusa, A. Flash Drought Characteristics Based on U.S. Drought Monitor. Atmosphere 2019, 10, 498. [Google Scholar] [CrossRef]
- Christian, J.I.; Basara, J.B.; Otkin, J.A.; Hunt, E.D. Regional characteristics of flash droughts across the United States. Environ. Res. Commun. 2019, 1, 125004. [Google Scholar] [CrossRef]
- Walker, D.W.; Vergopolan, N.; Cavalcante, L.; Smith, K.H.; Agoungbome, S.M.D.; Almagro, A.; Apurv, T.; Dahal, N.M.; Hoffmann, D.; Singh, V.; et al. Flash Drought Typologies and Societal Impacts: A Worldwide Review of Occurrence, Nomenclature, and Experiences of Local Populations. Weather Clim. Soc. 2024, 16, 3–28. [Google Scholar] [CrossRef]
- Otkin, J.A.; Zhong, Y.; Hunt, E.D.; Christian, J.I.; Basara, J.B.; Nguyen, H.; Wheeler, M.C.; Ford, T.W.; Hoell, A.; Svoboda, M.; et al. Development of a Flash Drought Intensity Index. Atmosphere 2021, 12, 741. [Google Scholar] [CrossRef]
- Yuan, X.; Wang, L.; Wu, P.; Ji, P.; Sheffield, J.; Zhang, M. Anthropogenic shift towards higher risk of flash drought over China. Nat. Commun. 2019, 10, 4661. [Google Scholar] [CrossRef]
- Otkin, J.A.; Anderson, M.C.; Hain, C.; Mladenova, I.E.; Basara, J.B.; Svoboda, M. Examining Rapid Onset Drought Development Using the Thermal Infrared–Based Evaporative Stress Index. J. Hydrometeorol. 2013, 14, 1057–1074. [Google Scholar] [CrossRef]
- Li, J.; Wang, Z.; Wu, X.; Chen, J.; Guo, S.; Zhang, Z. A new framework for tracking flash drought events in space and time. CATENA 2020, 194, 104763. [Google Scholar] [CrossRef]
- Lesinger, K.; Tian, D. Trends, Variability, and Drivers of Flash Droughts in the Contiguous United States. Water Resour. Res. 2022, 58, e2022WR032186. [Google Scholar] [CrossRef]
- Hunt, E.D.; Hubbard, K.G.; Wilhite, D.A.; Arkebauer, T.J.; Dutcher, A.L. The development and evaluation of a soil moisture index. Int. J. Climatol. 2009, 29, 747–759. [Google Scholar] [CrossRef]
- Mo, K.C.; Lettenmaier, D.P. Heat wave flash droughts in decline. Geophys. Res. Lett. 2015, 42, 2823–2829. [Google Scholar] [CrossRef]
- Mo, K.C.; Lettenmaier, D.P. Precipitation Deficit Flash Droughts over the United States. J. Hydrometeorol. 2016, 17, 1169–1184. [Google Scholar] [CrossRef]
- He, M.; Kimball, J.S.; Yi, Y.; Running, S.; Guan, K.; Jensco, K.; Maxwell, B.; Maneta, M. Impacts of the 2017 flash drought in the US Northern plains informed by satellite-based evapotranspiration and solar-induced fluorescence. Environ. Res. Lett. 2019, 14, 074019. [Google Scholar] [CrossRef]
- Schwalm, C.R.; Anderegg, W.R.L.; Michalak, A.M.; Fisher, J.B.; Biondi, F.; Koch, G.; Litvak, M.; Ogle, K.; Shaw, J.D.; Wolf, A.; et al. Global patterns of drought recovery. Nature 2017, 548, 202–205. [Google Scholar] [CrossRef]
- Singh, R.; Mishra, V. Atmospheric and Land Drivers of Streamflow Flash Droughts in India. J. Geophys. Res. Atmos. 2024, 129, e2023JD040257. [Google Scholar] [CrossRef]
- Zhang, Y.; You, Q.; Mao, G.; Chen, C.; Li, X.; Yu, J. Flash Drought Characteristics by Different Severities in Humid Subtropical Basins: A Case Study in the Gan River Basin, China. J. Clim. 2021, 34, 7337–7357. [Google Scholar] [CrossRef]
- Jin, C.; Luo, X.; Xiao, X.; Dong, J.; Li, X.; Yang, J.; Zhao, D. The 2012 Flash Drought Threatened US Midwest Agroecosystems. Chin. Geogr. Sci. 2019, 29, 768–783. [Google Scholar] [CrossRef]
- Wang, L.; Yuan, X. Two Types of Flash Drought and Their Connections with Seasonal Drought. Adv. Atmos. Sci. 2018, 35, 1478–1490. [Google Scholar] [CrossRef]
- Zhong, L.; Chen, B.; Wu, C.; Yeh, P.J.-F.; Li, J.; Lv, W.; Zhao, J.; Zhou, J. Identification and risk assessment of flash drought in the Pearl River basin based on the Standardized Evaporative Stress Ratio. Theor. Appl. Climatol. 2022, 150, 1513–1529. [Google Scholar] [CrossRef]
- Parker, T.; Gallant, A.; Hobbins, M.; Hoffmann, D. Flash drought in Australia and its relationship to evaporative demand. Environ. Res. Lett. 2021, 16, 064033. [Google Scholar] [CrossRef]
- Rakkasagi, S.; Poonia, V.; Goyal, M.K. Flash drought as a new climate threat: Drought indices, insights from a study in India and implications for future research. J. Water Clim. Change 2023, 14, 3368–3384. [Google Scholar] [CrossRef]
- Barbosa, H.A. Flash Drought and Its Characteristics in Northeastern South America during 2004–2022 Using Satellite-Based Products. Atmosphere 2023, 14, 1629. [Google Scholar] [CrossRef]
- Řehoř, J.; Brázdil, R.; Trnka, M.; Balek, J. Flash droughts in Central Europe and their circulation drivers. Clim. Dyn. 2024, 62, 1107–1121. [Google Scholar] [CrossRef]
- Wang, M.; Menzel, L.; Jiang, S.; Ren, L.; Xu, C.-Y.; Cui, H. Evaluation of flash drought under the impact of heat wave events in southwestern Germany. Sci. Total Environ. 2023, 904, 166815. [Google Scholar] [CrossRef]
- Noguera, I.; Hannaford, J.; Tanguy, M. Distribution, trends, and drivers of flash droughts in the United Kingdom. Hydrol. Earth Syst. Sci. 2025, 29, 1295–1317. [Google Scholar] [CrossRef]
- Noguera, I.; Domínguez-Castro, F.; Vicente-Serrano, S.M. Characteristics and trends of flash droughts in Spain, 1961–2018. Ann. N. Y. Acad. Sci. 2020, 1472, 155–172. [Google Scholar] [CrossRef] [PubMed]
- Noguera, I.; Domínguez-Castro, F.; Vicente-Serrano, S.M.; García-Herrera, R.; Garrido-Pérez, J.M.; Trigo, R.M.; Sousa, P.M. Unravelling the atmospheric dynamics involved in flash drought development over Spain. Int. J. Climatol. 2024, 44, 4478–4494. [Google Scholar] [CrossRef]
- Kourgialas, N.N. A critical review of water resources in Greece: The key role of agricultural adaptation to climate-water effects. Sci. Total Environ. 2021, 775, 145857. [Google Scholar] [CrossRef] [PubMed]
- Kourgialas, N.N. Hydroclimatic impact on mediterranean tree crops area—Mapping hydrological extremes (drought/flood) prone parcels. J. Hydrol. 2021, 596, 125684. [Google Scholar] [CrossRef]
- Vasilakou, C.; Tsesmelis, D.E.; Kalogeropoulos, K.; Barouchas, P.E.; Machairas, I.; Feloni, E.G.; Tsatsaris, A.; Karavitis, C.A. Assessing Drought Severity in Greece Using Geospatial Data and Environmental Indices. Geomatics 2025, 5, 10. [Google Scholar] [CrossRef]
- Loukas, A.; Vasiliades, L.; Dalezios, N.R. Hydroclimatic Variability of Regional Droughts in Greece Using the Palmer Moisture Anomaly Index. Hydrol. Res. 2002, 33, 425–442. [Google Scholar] [CrossRef]
- Livada, I.; Assimakopoulos, V.D. Spatial and temporal analysis of drought in greece using the Standardized Precipitation Index (SPI). Theor. Appl. Climatol. 2007, 89, 143–153. [Google Scholar] [CrossRef]
- Kalamaras, N.; Michalopoulou, H.; Byun, H.R. Detection of drought events in Greece using daily precipitation. Hydrol. Res. 2010, 41, 126–133. [Google Scholar] [CrossRef]
- Karavitis, C.A.; Alexandris, S.; Tsesmelis, D.E.; Athanasopoulos, G. Application of the Standardized Precipitation Index (SPI) in Greece. Water 2011, 3, 787–805. [Google Scholar] [CrossRef]
- Politi, N.; Vlachogiannis, D.; Sfetsos, A.; Nastos, P.T.; Dalezios, N.R. High Resolution Future Projections of Drought Characteristics in Greece Based on SPI and SPEI Indices. Atmosphere 2022, 13, 1468. [Google Scholar] [CrossRef]
- Loukas, A.; Vasiliades, L. Probabilistic analysis of drought spatiotemporal characteristics inThessaly region, Greece. Nat. Hazards Earth Syst. Sci. 2004, 4, 719–731. [Google Scholar] [CrossRef]
- Sakellariou, S.; Spiliotopoulos, M.; Alpanakis, N.; Faraslis, I.; Sidiropoulos, P.; Tziatzios, G.A.; Karoutsos, G.; Dalezios, N.R.; Dercas, N. Spatiotemporal Drought Assessment Based on Gridded Standardized Precipitation Index (SPI) in Vulnerable Agroecosystems. Sustainability 2024, 16, 1240. [Google Scholar] [CrossRef]
- Karamoutsou, L.; Psilovikos, A. Deep Learning in Water Resources Management: Τhe Case Study of Kastoria Lake in Greece. Water 2021, 13, 3364. [Google Scholar] [CrossRef]
- Muñoz-Sabater, J.; Dutra, E.; Agustí-Panareda, A.; Albergel, C.; Arduini, G.; Balsamo, G.; Boussetta, S.; Choulga, M.; Harrigan, S.; Hersbach, H.; et al. ERA5-Land: A state-of-the-art global reanalysis dataset for land applications. Earth Syst. Sci. Data 2021, 13, 4349–4383. [Google Scholar] [CrossRef]
- Zhang, S.; Li, M.; Ma, Z.; Jian, D.; Lv, M.; Yang, Q.; Duan, Y.; Amin, D. The intensification of flash droughts across China from 1981 to 2021. Clim. Dyn. 2024, 62, 1233–1247. [Google Scholar] [CrossRef]
- Leivadiotis, E.; Psilovikos, A. The characteristics of flash droughts across Thessaly, Central Greece, from 1990 to 2024. In Proceedings of the 13th World Congress on Water Resources and Environment (EWRA 2025): New Challenges in Understanding and Managing Water-Related Risks in a Changing Environment, Palermo, Italy, 24–28 June 2025. [Google Scholar]
- Psilovikos, A.; Leivadiotis, E.; Papathanasiou, T.; Sakellariou, S.; Alpanakis, N.; Spiliotopoulos, M.; Tziatzios, G.A.; Faraslis, I.; Dalezios, N.R. Spatiotemporal drought patterns and their impact on water resources: A case study of Thessaly, Greece. In Proceedings of the 13th World Congress on Water Resources and Environment (EWRA 2025): New Challenges in Understanding and Managing Water-Related Risks in a Changing Environment, Palermo, Italy, 24–28 June 2025. [Google Scholar]


















| Decline Rate (≥0.012/Day) | Recovery Rate (≥0.009/Day) | Drought Type |
|---|---|---|
| Yes | No | Critical Flash Drought |
| Yes | Yes | Intense but Recovering |
| No | No | Mild Persistent Drought |
| No | Yes | Mild Fast Recovery |
Disclaimer/Publisher’s Note: The statements, opinions and data contained in all publications are solely those of the individual author(s) and contributor(s) and not of MDPI and/or the editor(s). MDPI and/or the editor(s) disclaim responsibility for any injury to people or property resulting from any ideas, methods, instructions or products referred to in the content. |
© 2025 by the authors. Licensee MDPI, Basel, Switzerland. This article is an open access article distributed under the terms and conditions of the Creative Commons Attribution (CC BY) license (https://creativecommons.org/licenses/by/4.0/).
Share and Cite
Leivadiotis, E.; Farsirotou, E.; Tzoraki, O.; Kohnová, S.; Psilovikos, A. Understanding Flash Droughts in Greece: Implications for Sustainable Water and Agricultural Management. Land 2025, 14, 2290. https://doi.org/10.3390/land14112290
Leivadiotis E, Farsirotou E, Tzoraki O, Kohnová S, Psilovikos A. Understanding Flash Droughts in Greece: Implications for Sustainable Water and Agricultural Management. Land. 2025; 14(11):2290. https://doi.org/10.3390/land14112290
Chicago/Turabian StyleLeivadiotis, Evangelos, Evangelia Farsirotou, Ourania Tzoraki, Silvia Kohnová, and Aris Psilovikos. 2025. "Understanding Flash Droughts in Greece: Implications for Sustainable Water and Agricultural Management" Land 14, no. 11: 2290. https://doi.org/10.3390/land14112290
APA StyleLeivadiotis, E., Farsirotou, E., Tzoraki, O., Kohnová, S., & Psilovikos, A. (2025). Understanding Flash Droughts in Greece: Implications for Sustainable Water and Agricultural Management. Land, 14(11), 2290. https://doi.org/10.3390/land14112290

