Linking Human–Bird Interactions to Restorative Environmental Perception and Mental Health: A Landscape Perception Perspective
Abstract
1. Introduction
- (1)
- What are the differences in the intensity and paths of the impacts of different levels of human–bird interactions on mental health?
- (2)
- Does REP play a mediating role between human–bird interactions and mental health, and are there differences in the mediating effects among different interaction levels?
- (3)
- Do environmental characteristics moderate the relationship between human–bird interactions and REP, and is there heterogeneity in the moderating effects across different interaction levels?
2. Literature Review and Hypothesis Development
2.1. Urban Wetland Parks, Human–Bird Interactions, and Mental Health
2.2. Different Level of Human–Bird Interactions
2.3. The Mediating Role of Restorative Environmental Perception
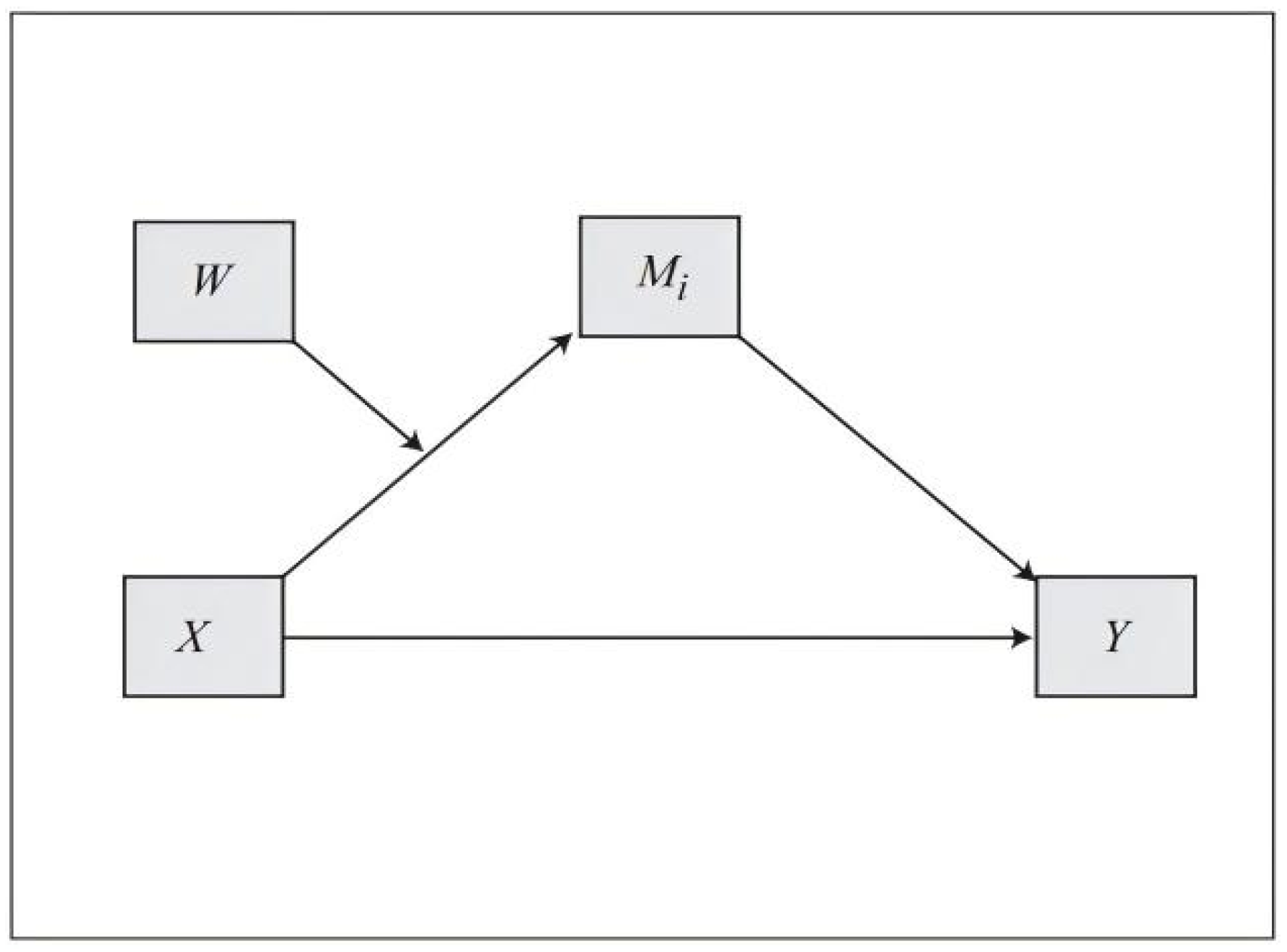
2.4. The Moderating Role of Environmental Characteristics
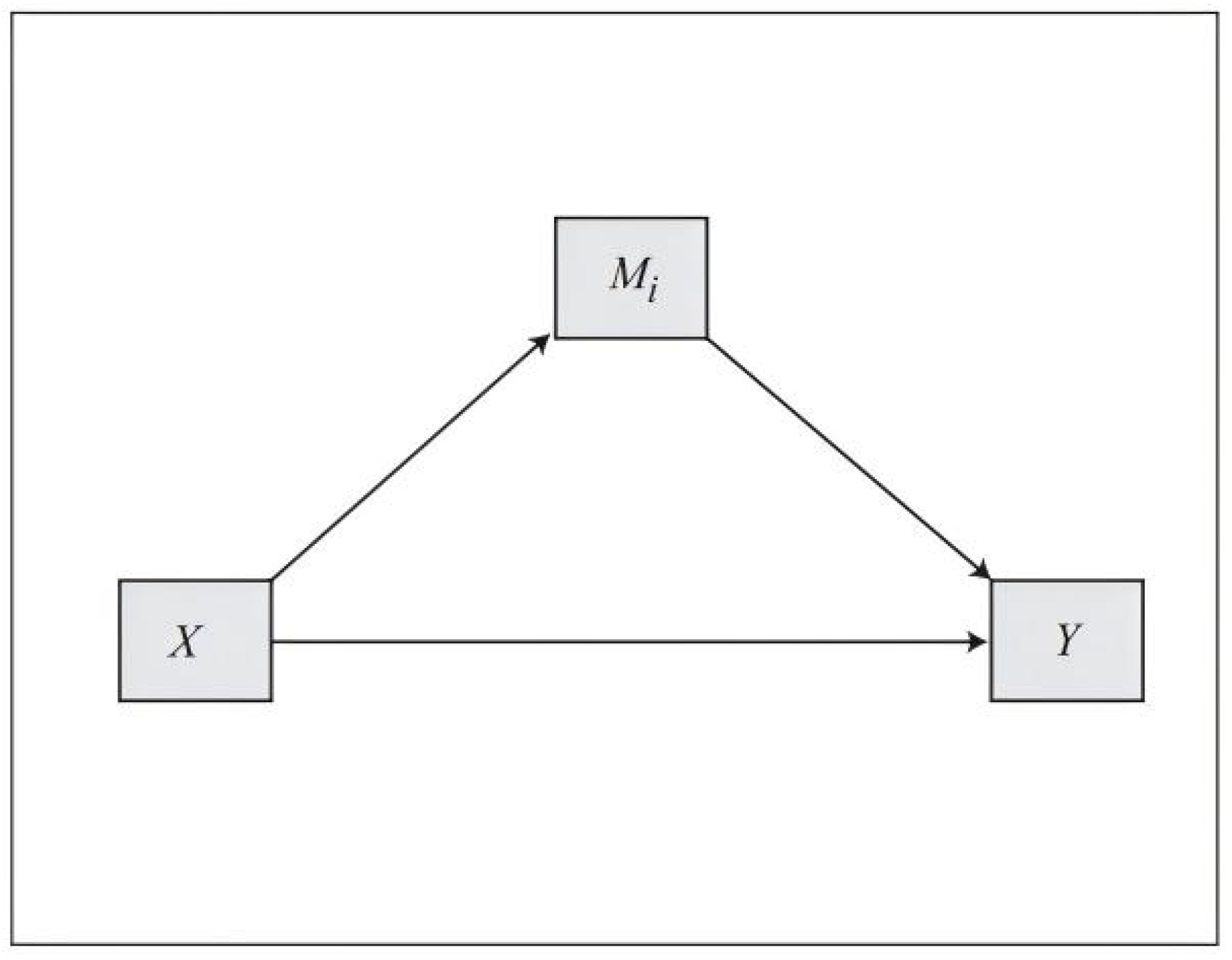
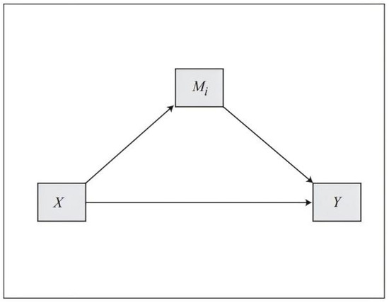
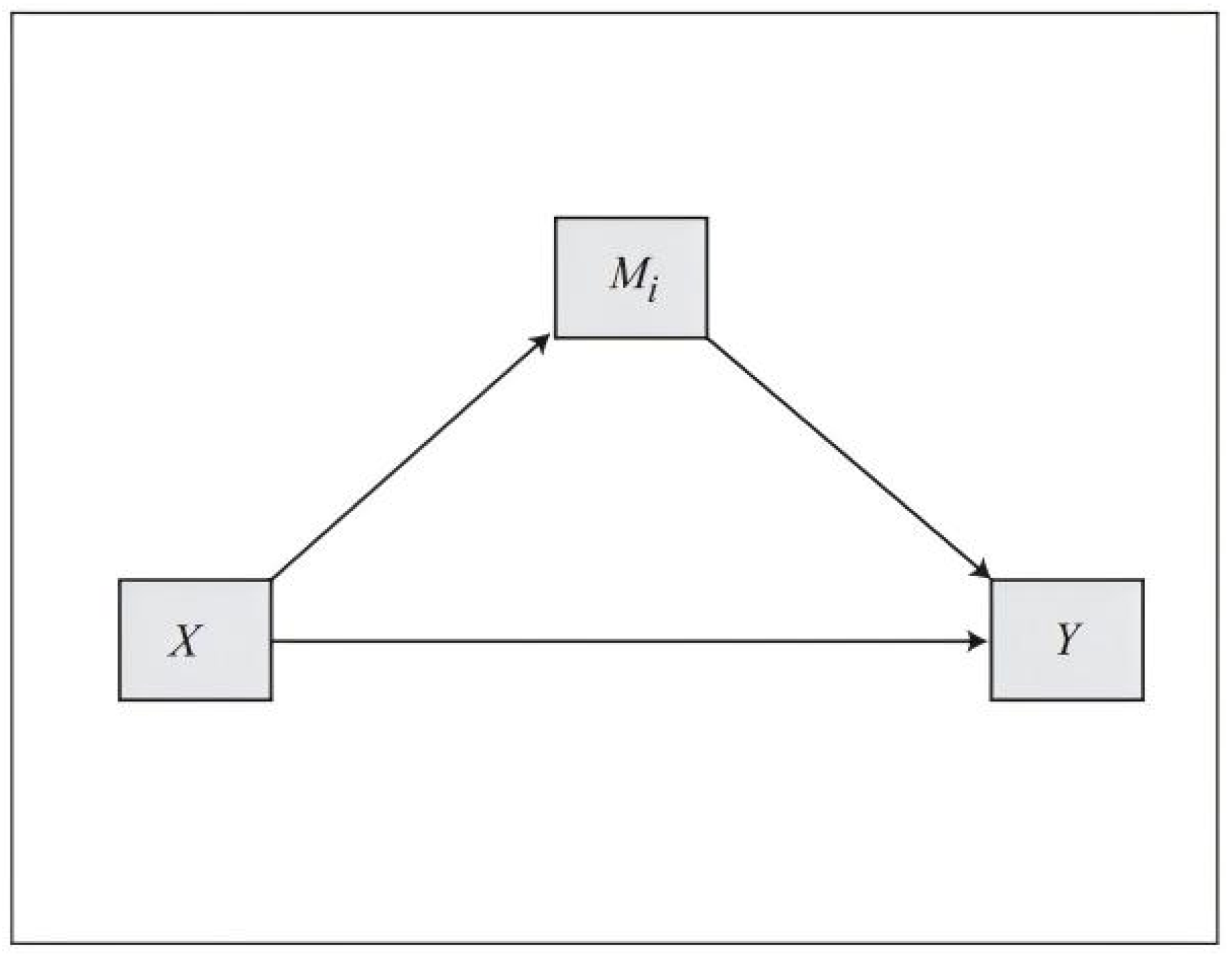
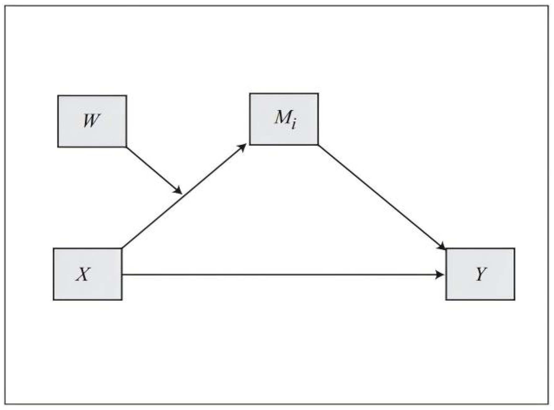
2.5. Theoretical Model Construction
3. Materials and Methods
3.1. Study Areas
3.2. Variable Measurement and Scale Construction
3.3. Data Collection
3.4. Analytical Methods
4. Results
4.1. Characteristics of the Data
4.2. Reliability and Validity Analyses
4.3. The Relationship Between Human–Bird Interaction and Mental Health and the Mediating Pathway
4.3.1. Overall Model Fitting and Path Analysis
- The predictive effect of interaction intensity on human–bird interaction
- 2.
- Relationships between human–bird interaction and restorative environment perception and mental health
- 3.
- Relationship between restorative environment perception and mental health
4.3.2. Mediating Effect of Restorative Environment Perception
4.3.3. The Mediating Effects at Different Levels of Human–Bird Interaction
4.4. Moderating Effect of Environmental Characteristics
4.4.1. Overall Moderated Mediation Effect
4.4.2. The Moderated Mediation Effects at Different Levels of Human–Bird Interaction
5. Discussion
5.1. Interaction–Perception–Restoration Mechanism
5.2. Differentiated Mental Health Benefits of Different Levels of Human–Bird Interactions
5.3. The Non-Significant Moderating Effect of Environmental Characteristics and the Central Role of Human–Bird Interactions
5.4. Recommendations for the Design and Service Management of Human–Bird Interactions in Wetland Parks
5.5. Limitations
6. Conclusions
- (1)
- Human–bird interactions have significant positive effects on mental health, and there are two paths of “direct effect” and “indirect effect”. Among them, the mediating effect of restorative environmental perception accounts for 46.17% of the total effect.
- (2)
- There are differences in the effects of different human–bird interaction levels: cognitive interaction exhibits the strongest direct effect, sensory interaction produces the largest indirect effect through restorative environmental perception, and participatory interaction has relatively weaker positive effects but may hold long-term potential.
- (3)
- Environmental characteristics have direct positive effects on restorative environmental perception but do not play a significant moderating role between human–bird interactions and restorative environmental perception. This indicates that, in the context of relatively high-quality natural environments such as urban wetland parks, human–bird interactions themselves are the core driver of mental health restoration. This does not diminish the importance of environmental quality, but clarifies its role boundaries.
Author Contributions
Funding
Data Availability Statement
Conflicts of Interest
Abbreviations
| REP | Restorative Environmental Perception |
| ART | Attention Restoration Theory |
| SRT | Stress Reduction Theory |
| HAI | Human–Animal Interaction |
| SRK | Skills–Rules–Knowledge |
| PANAS | Positive and Negative Affective Scale |
| WHO-5 | World Health Organization Five-item Well-Being Index |
| CFA | Confirmatory Factor Analysis |
| SEM | Structural Equation Modeling |
| MLE | Maximum Likelihood Estimation |
| SRMR | Standardized Root Mean Square Residual |
| GFI | Goodness-of-Fit Index |
| AGFI | Adjusted Goodness-of-Fit Index |
| CFI | Comparative Fit Index |
| CR | Construct Reliability |
| AVE | Average Variance Extracted |
| RMSEA | Root Mean Square Error of Approximation |
| C.R. | Critical Ratio |
Appendix A
| Scale | Dimension | Operational Definition | Item |
|---|---|---|---|
| Human–Bird Interaction | Sensory Interaction | Vision | I carefully observe bird features such as plumage, posture, or patterns. |
| I often notice special bird behaviors, such as foraging, courtship, nesting, or flocking. | |||
| Sound | I usually pay attention to bird sounds and even try to locate the source of the sounds. | ||
| Kinesthesia | I usually adjust my posture (e.g., turning, crouching) to gain a clearer view of birds. | ||
| Cognitive Interaction | Tool Learning | I learn to use binoculars, field guides, or bird–watching apps to observe details. | |
| Information Understanding | I seek information or ask others to better understand bird behaviors. | ||
| Identification Ability | I learn to identify common bird species and understand their habitat preferences. | ||
| Participatory Interaction | Educational Activities | I have attended nature classes, bird festivals, or guided bird–watching events. | |
| Volunteering | I have participated in bird-related volunteering, such as habitat maintenance or rescue. | ||
| Citizen Science | I have uploaded records to birding apps or joined surveys contributing scientific data. | ||
| Environmental Characteristics | Visual Features | Landscape Diversity | The area has diverse and layered natural landscapes (wetlands, forests, grasslands) suitable for various bird species. |
| Visual Openness | Bird–watching spots have open views, unobstructed by tall grass, trees, or crowds. | ||
| Color Richness | The overall color coordination of water, plants, and birds is rich and harmonious. | ||
| Soundscape Features | Sound Purity | I can clearly hear natural sounds, such as birdsong, wind, and water, without being masked by noise. | |
| Facility Features | Accessibility | Park trails, bird–watching facilities, and guidance systems meet the needs of elderly, children, and people with disabilities. | |
| Infrastructure | I can easily access bird–watching tools, such as information boards, binocular rentals, or guidebooks. | ||
| Restorative Environmental Perception | Being-Away | Isolation from Urban Noise | Birdsong and natural sounds help me temporarily escape city noise, feeling relaxed and peaceful. |
| Attention Shift | I become absorbed in observing birds and temporarily forget daily stress and worries. | ||
| Fascination | Visual Attraction | Colors and lively movements of birds provide visual appeal and enjoyment. | |
| Interest Attraction | Identifying birds, or engaging in gamified interactions stimulates curiosity and enjoyment. | ||
| Compatibility | Sensory Comfort | Lighting, temperature, and scents in bird–watching places make me feel comfortable. | |
| Rhythm Match | The pace (speed and duration) of bird–watching activities suits my physical strength and preferences. | ||
| Information Match | The bird knowledge provided by the science popularization sign is of moderate difficulty and meets my knowledge needs. | ||
| Social Flexibility | I can freely choose to be alone or interact with others during bird–watching. | ||
| Extent | Sensory Coherence | Bird–watching routes are well-designed, with distinct yet smoothly transitioning experiences. | |
| Cognitive Coherence | Bird–watching aids (signs, guides) are closely linked to the environment, helping me build ecological understanding. | ||
| Participatory Coherence | Bird–watching activities (guided tours, classes, volunteering) are clear and accessible, supporting gradual learning. | ||
| Mental Health | Positive Emotions (At the time) | Interested | I feel interested when I encounter a rare bird or observe unusual behaviors. |
| Excited | I feel excited when I discover a new bird species or hear a beautiful bird song. | ||
| Proud | I feel proud when I gain valuable bird–watching experiences or learn new knowledge. | ||
| Inspired | I feel inspired when observing birds deepens my appreciation of nature. | ||
| Attentive | I feel attentive when identifying bird species or record their behaviors. | ||
| Negative Emotions (At the time) | Distressed | I feel distressed when I fail to find the target bird species or when equipment malfunctions. | |
| Upset | I feel upset when distracting noises interrupt my bird–watching. | ||
| Scared | I feel scared when sudden weather changes or noise disrupts my bird–watching. | ||
| Jittery | I feel jittery when waiting a long time for birds to appear or missing the best time to observe them. | ||
| Afraid | I feel afraid when the environment is too quiet or hearing unexpected sounds. | ||
| Well-Being (Two weeks before and after) | Cheerful and Energetic | I have felt cheerful and full of energy when planning or engaging in bird–watching. | |
| Calm and Relaxed | I have felt calm and relaxed when listening to birdsong or after bird–watching. | ||
| Active and Alert | I have felt active and mentally alert when identifying bird species or interpreting their behaviors. | ||
| Life is Meaningful | I have felt that my life is more meaningful when I appreciate the vitality and freedom of birds. | ||
| Connected with Others | I have felt emotionally connected when sharing bird–watching experiences with others. |
| Scale | Dimension | Independent Variable | 1/VIF | VIF |
|---|---|---|---|---|
| Human–Bird Interaction | Sensory Interaction | Vision | 0.602 | 1.661 |
| 0.452 | 2.212 | |||
| Sound | 0.515 | 1.943 | ||
| Kinesthesia | 0.526 | 1.901 | ||
| Cognitive Interaction | Tool Learning | 0.360 | 2.781 | |
| Information Understanding | 0.343 | 2.916 | ||
| Identification Ability | 0.321 | 3.116 | ||
| Participatory Interaction | Educational Activities | 0.371 | 2.696 | |
| Volunteering | 0.403 | 2.483 | ||
| Citizen Science | 0.502 | 1.993 | ||
| Environmental Characteristics | Visual Features | Landscape Diversity | 0.663 | 1.508 |
| Visual Openness | 0.704 | 1.420 | ||
| Color Richness | 0.681 | 1.469 | ||
| Soundscape Features | Sound Purity | 0.674 | 1.484 | |
| Facility Features | Accessibility | 0.731 | 1.369 | |
| Infrastructure | 0.749 | 1.336 |
| Content | Category | Frequency | Percentage | Content | Category | Frequency | Percentage |
|---|---|---|---|---|---|---|---|
| Gender | Male | 148 | 46.1% | Bird–watching experience | Zero or occasional experience | 147 | 45.8% |
| Female | 173 | 53.9% | Less than six months | 28 | 8.7% | ||
| Age (years) | Under 18 | 46 | 14.3% | Six months to one year | 36 | 11.2% | |
| 18–29 | 187 | 58.3% | One to three years | 56 | 17.5% | ||
| 30–39 | 55 | 17.1% | Over three years | 54 | 16.8% | ||
| 40–59 | 24 | 7.5% | Frequency of interaction with birds | First time | 53 | 16.5% | |
| Over 60 | 9 | 2.8% | Rarely (once a year) | 99 | 30.9% | ||
| Educational Background | Junior high school and below | 10 | 3.1% | Occasionally (once a quarter) | 123 | 38.3% | |
| High school or vocational school | 34 | 10.6% | Frequently (once a month) | 37 | 11.5% | ||
| Bachelor’s degree or associate degree | 188 | 58.6% | Very frequently (once a week or more) | 9 | 2.8% | ||
| Graduate degree and above | 89 | 27.7% | |||||
| Identity (multiple choice) | Tourists | 181 | 56.4% | Duration of interaction with birds | 15–30 min | 37 | 11.5% |
| Bird–watchers | 128 | 39.9% | 30–60 min | 68 | 21.2% | ||
| Relevant scholars | 35 | 10.9% | 1–2 h | 100 | 31.1% | ||
| Volunteers | 34 | 10.6% | 2–3 h | 58 | 18.1% | ||
| Nature education practitioners | 12 | 3.7% | More than 3 h | 58 | 18.1% |
| Variable | Metrics | Total Sample (n = 321) | Weighted Merged Sample (n = 253) | Online Sample (n = 282) | Offline Sample (n= 39) |
|---|---|---|---|---|---|
| Human–Bird Interaction | Mean | 2.7530 | 2.7736 | 2.7773 | 2.5769 |
| Standard Deviation | 0.9126 | 0.9122 | 0.9118 | 0.9103 | |
| Skewness | 0.186 | 0.156 | 0.151 | 0.470 | |
| Kurtosis | −1.139 | −1.155 | −1.158 | −0.818 | |
| Environmental Characteristics | Mean | 3.5272 | 3.5325 | 3.5335 | 3.4815 |
| Standard Deviation | 0.4837 | 0.4899 | 0.4908 | 0.4321 | |
| Skewness | 0.092 | 0.081 | 0.079 | 0.136 | |
| Kurtosis | −0.071 | −0.073 | −0.077 | −0.079 | |
| REP | Mean | 3.9550 | 3.9759 | 3.9797 | 3.7762 |
| Standard Deviation | 0.6134 | 0.6071 | 0.6057 | 0.6462 | |
| Skewness | −0.221 | −0.184 | −0.176 | −0.428 | |
| Kurtosis | −0.106 | −0.277 | −0.314 | 0.972 | |
| Mental Health | Mean | 4.3542 | 4.3789 | 4.3833 | 4.1436 |
| Standard Deviation | 0.7753 | 0.7589 | 0.7556 | 0.8882 | |
| Skewness | −0.635 | −0.581 | −0.569 | −0.805 | |
| Kurtosis | 1.016 | 0.938 | 0.912 | 1.077 |
| Variable Pairs | Total Sample (n = 321) | Weighted Merged Sample (n = 253) | Online Sample (n = 282) | Offline Sample (n = 39) | Consistency Level (Range of Differences) |
|---|---|---|---|---|---|
| Human–Bird Interaction– Environmental Characteristics | 0.091 | 0.073 | 0.07 | 0.248 | Minor Difference (5–10%) |
| Human–Bird Interaction–REP | 0.368 ** | 0.367 ** | 0.367 ** | 0.342 * | Minimal Difference (0–5%) |
| Human–Bird Interaction–Mental Health | 0.533 ** | 0.539 ** | 0.54 ** | 0.477 ** | Minimal Difference (0–5%) |
| Environmental Characteristics–REP | 0.561 ** | 0.553 ** | 0.552 ** | 0.646 ** | Minor Difference (5–10%) |
| Environmental Characteristics–Mental Health | 0.37 ** | 0.351 ** | 0.348 ** | 0.534 ** | Minor Difference (5–10%) |
| REP–Mental Health | 0.649 ** | 0.62 ** | 0.615 ** | 0.83 ** | Moderate Difference (10–20%) |
| Mediation Model Indicators | Total Sample (n = 321) | Online Sample (n = 282) | Offline Sample (n = 39) | Consistency Level (Range of Differences) |
|---|---|---|---|---|
| Human–Bird Interaction → REP | 0.2476 *** | 0.2438 *** | 0.2425 * | Minimal Difference (0–5%) |
| REP → Mental Health | 0.6621 *** | 0.6004 *** | 1.0370 *** | Moderate Difference (10–20%) |
| Direct Effect Intensity | 0.2893 *** | 0.3008 *** | 0.2144 * | Minor Difference (5–10%) |
| Indirect Effect Intensity | 0.1639 *** | 0.1464 *** | 0.2514 ** | Moderate Difference (10–20%) |
| Total Effect Intensity | 0.4532 *** | 0.4472 *** | 0.4658 ** | Minimal Difference (0–5%) |
| Variable | Item | Metrics | Total Sample (n = 321) | Online Sample (n = 282) | Degree of Difference |
|---|---|---|---|---|---|
| Human–Bird Interaction | Sensory Interaction | Factor Loading | 0.855 | 0.859 | 0.47% |
| Cognitive Interaction | Factor Loading | 0.961 | 0.96 | 0.1% | |
| Participatory Interaction | Factor Loading | 0.694 | 0.687 | 1% | |
| / | Cronbach’s α | 0.917 | 0.916 | 0.1% | |
| / | AVE | 0.712 | 0.711 | 0.14% | |
| / | CR | 0.879 | 0.879 | 0% | |
| Environmental Characteristics | Visual Features | Factor Loading | 0.763 | 0.759 | 0.52% |
| Soundscape Features | Factor Loading | 0.653 | 0.68 | 4.13% | |
| Facility Features | Factor Loading | 0.528 | 0.528 | 0% | |
| / | Cronbach’s α | 0.722 | 0.724 | 0.28% | |
| / | AVE | 0.429 | 0.439 | 2.33% | |
| / | CR | 0.688 | 0.697 | 1.3% | |
| REP | Being-Away | Factor Loading | 0.725 | 0.738 | 1.79% |
| Fascination | Factor Loading | 0.74 | 0.742 | 0.27% | |
| Compatibility | Factor Loading | 0.812 | 0.796 | 1.97% | |
| Extent | Factor Loading | 0.749 | 0.759 | 1.33% | |
| / | Cronbach’s α | 0.889 | 0.89 | 0.11% | |
| / | AVE | 0.573 | 0.576 | 0.52% | |
| / | CR | 0.843 | 0.845 | 0.41% | |
| Mental Health | Positive Emotion | Factor Loading | 0.848 | 0.851 | 0.35% |
| Well-Being | Factor Loading | 0.871 | 0.867 | 0.46% | |
| / | Cronbach’s α | 0.918 | 0.915 | 0.33% | |
| / | AVE | 0.739 | 0.738 | 0.14% | |
| / | CR | 0.85 | 0.849 | 0.12% | |
| All Constructs | / | Discriminant Validity | Reach the Standard | Reach the Standard | / |
| SEM Core Indicators | Total Sample (n = 321) | Online Sample (n = 282) | Degree of Difference | Consistency Level (Range of Differences) |
|---|---|---|---|---|
| Model Fit Indices | χ2/df = 2.938, RMSEA = 0.076, CFI = 0.957 | χ2/df = 2.552, RMSEA = 0.074, CFI = 0.96 | / | All Indices Meet Standards (χ2/df < 3, RMSEA < 0.08, CFI > 0.9) |
| Human–Bird Interaction → REP | 0.429 *** | 0.362 *** | 15.6% | Moderate Difference (10–20%) |
| REP → Mental Health | 0.646 *** | 0.689 *** | 6.7% | Minor Difference (5–10%) |
| Direct Effect Intensity | 0.323 *** | 0.338 *** | 4.6% | Minimal Difference (0–5%) |
| Indirect Effect Intensity | 0.277 *** | 0.25 *** | 9.7% | Minor Difference (5–10%) |
| Total Effect Intensity | 0.6 *** | 0.588 *** | 2% | Minimal Difference (0–5%) |
References
- Liu, F.; Liu, P.; Kang, J.; Meng, Q.; Wu, Y.; Yang, D. Relationships between landscape characteristics and the restorative quality of soundscapes in urban blue spaces. Appl. Acoust. 2022, 189, 108600. [Google Scholar] [CrossRef]
- Zhao, Y.; van den Berg, P.E.W.; Ossokina, I.V.; Arentze, T.A. How do urban parks, neighborhood open spaces, and private gardens relate to individuals’ subjective well-being: Results of a structural equation model. Sustain. Cities Soc. 2024, 101, 105094. [Google Scholar] [CrossRef]
- Hung, S.-H. Does perceived biophilic design contribute to human well-being in urban green spaces? A study of perceived naturalness, biodiversity, perceived restorativeness, and subjective vitality. Urban For. Urban Green. 2025, 107, 128752. [Google Scholar] [CrossRef]
- Langhans, K.E.; Echeverri, A.; Xu, M.; Callahan, M.; Palmeri, M.L.; Nguyen, O.; Ardoin, N.M.; Daily, G.C. Urban community gardens foster positive human-avian interactions across an income gradient in San Francisco. Landsc. Urban Plan. 2025, 261, 105391. [Google Scholar] [CrossRef]
- Fisher, J.C.; Bicknell, J.E.; Irvine, K.N.; Hayes, W.M.; Fernandes, D.; Mistry, J.; Davies, Z.G. Bird diversity and psychological wellbeing: A comparison of green and coastal blue space in a neotropical city. Sci. Total Environ. 2021, 793, 148653. [Google Scholar] [CrossRef]
- Chen, Z.; Fang, X.; Lin, S.; Zhang, X.; Yu, D.; Liu, Y.; Liu, X.; Hu, H. Impacts of habitat modification on the dynamics of waterbird diversity in Guangzhou Haizhu National Wetland Park. Glob. Ecol. Conserv. 2025, 61, e03662. [Google Scholar] [CrossRef]
- Liang, Q.; Zhai, J.; Li, C. From separation to incorporation: Development of a unifying framework that integrated bird habitats with public recreation spaces within the wetland park system. J. Clean. Prod. 2023, 430, 139647. [Google Scholar] [CrossRef]
- Shwartz, A.; Tzunz, M.; Gafter, L.; Colléony, A. One size does not fit all: The complex relationship between biodiversity and psychological well-being. Urban For. Urban Green. 2023, 86, 128008. [Google Scholar] [CrossRef]
- Meng, L.; Li, S.; Zhang, X. Exploring biodiversity’s impact on mental well-being through the social-ecological lens: Emphasizing the role of biodiversity characteristics and nature relatedness. Environ. Impact Assess. Rev. 2024, 105, 107454. [Google Scholar] [CrossRef]
- Peterson, M.N.; Larson, L.R.; Hipp, A.; Beall, J.M.; Lerose, C.; Desrochers, H.; Lauder, S.; Torres, S.; Tarr, N.A.; Stukes, K.; et al. Birdwatching linked to increased psychological well-being on college campuses: A pilot-scale experimental study. J. Environ. Psychol. 2024, 96, 102306. [Google Scholar] [CrossRef]
- Ratcliffe, E.; Gatersleben, B.; Sowden, P.T. Bird sounds and their contributions to perceived attention restoration and stress recovery. J. Environ. Psychol. 2013, 36, 221–228. [Google Scholar] [CrossRef]
- Ratcliffe, E.; Gatersleben, B.; Sowden, P.T. Associations with bird sounds: How do they relate to perceived restorative potential? J. Environ. Psychol. 2016, 47, 136–144. [Google Scholar] [CrossRef]
- Zieris, P.; Freund, S.; Kals, E. Nature experience and well-being: Bird watching as an intervention in nursing homes to maintain cognitive resources, mobility, and biopsychosocial health. J. Environ. Psychol. 2023, 91, 102139. [Google Scholar] [CrossRef]
- Rutter, J.D.; Dayer, A.A.; Harshaw, H.W.; Cole, N.W.; Duberstein, J.N.; Fulton, D.C.; Raedeke, A.H.; Schuster, R.M. Racial, ethnic, and social patterns in the recreation specialization of birdwatchers: An analysis of United States eBird registrants. J. Outdoor Recreat. Tour. 2021, 35, 100400. [Google Scholar] [CrossRef]
- Randler, C.; Friedrich, S.; Koch, S. Psychological restoration, place attachment and satisfaction in birders and non-birding visitors. J. Outdoor Recreat. Tour. 2023, 44, 100679. [Google Scholar] [CrossRef]
- Chang, J.; Wu, C.-C.; Chang, C.-Y. Landscape naturalness and restoring benefit: A connection through bird diversity. Urban Ecosyst. 2024, 27, 41–50. [Google Scholar] [CrossRef]
- Fisher, J.C.; Irvine, K.N.; Bicknell, J.E.; Hayes, W.M.; Fernandes, D.; Mistry, J.; Davies, Z.G. Perceived biodiversity, sound, naturalness and safety enhance the restorative quality and wellbeing benefits of green and blue space in a neotropical city. Sci. Total Environ. 2021, 755, 143095. [Google Scholar] [CrossRef] [PubMed]
- Ha, J.; Kim, H.J. The restorative effects of campus landscape biodiversity: Assessing visual and auditory perceptions among university students. Urban For. Urban Green. 2021, 64, 127259. [Google Scholar] [CrossRef]
- Marselle, M.R.; Irvine, K.N.; Lorenzo-Arribas, A.; Warber, S.L. Does perceived restorativeness mediate the effects of perceived biodiversity and perceived naturalness on emotional well-being following group walks in nature? J. Environ. Psychol. 2016, 46, 217–232. [Google Scholar] [CrossRef]
- Methorst, J. Positive relationship between bird diversity and human mental health: An analysis of repeated cross-sectional data. Lancet Planet. Health 2024, 8, e285–e296. [Google Scholar] [CrossRef]
- Chen, S.; Wang, H.; Xu, W. Bird richness as a mediator between greenspace and mental health relationships. Landsc. Urban Plan. 2025, 259, 105360. [Google Scholar] [CrossRef]
- Randler, C.; Vanhöfen, J.; Härtel, T.; Neunhoeffer, F.; Engeser, C.; Fischer, C. Psychological restoration depends on curiosity, motivation, and species richness during a guided bird walk in a suburban blue space. Front. Psychol. 2023, 14, 1176202. [Google Scholar] [CrossRef] [PubMed]
- Hedblom, M.; Heyman, E.; Antonsson, H.; Gunnarsson, B. Bird song diversity influences young people’s appreciation of urban landscapes. Urban For. Urban Green. 2014, 13, 469–474. [Google Scholar] [CrossRef]
- Jahani, A.; Kalantary, S.; Alitavoli, A. An application of artificial intelligence techniques in prediction of birds soundscape impact on tourists’ mental restoration in natural urban areas. Urban For. Urban Green. 2021, 61, 127088. [Google Scholar] [CrossRef]
- Yi, K.; Zhang, J.; Zhang, Z.; Shi, X.; Du, W.; Yang, L.; Wei, M. Differences in public perceptions of recovery in different urban forests based on birdsong. Forests 2024, 15, 2217. [Google Scholar] [CrossRef]
- Zhao, W.; Li, H.; Zhu, X.; Ge, T. Effect of birdsong soundscape on perceived restorativeness in an urban park. Int. J. Environ. Res. Public Health 2020, 17, 5659. [Google Scholar] [CrossRef]
- Kaplan, R.; Kaplan, S. The Experience of Nature: A Psychological Perspective; Cambridge University Press: Cambridge, UK, 1989. [Google Scholar]
- Ulrich, R.S. Aesthetic and affective response to natural environment. In Behavior and the Natural Environment; Springer: Berlin/Heidelberg, Germany, 1983; pp. 85–125. [Google Scholar]
- Han, T.; Tang, L.; Liu, J.; Jiang, S.; Yan, J. The Influence of Multi-Sensory Perception on Public Activity in Urban Street Spaces: An Empirical Study Grounded in Landsenses Ecology. Land 2024, 14, 50. [Google Scholar] [CrossRef]
- Lin, M.; Lin, X.; Wang, Y. How sensory stimuli and barrier-free environments through restorative environmental perception influence visually impaired Individuals’ satisfaction with urban parks. Landsc. Urban Plan. 2025, 256, 105293. [Google Scholar] [CrossRef]
- Johansson, M.; Flykt, A.; Frank, J.; Hartig, T. Wildlife and the restorative potential of natural settings. J. Environ. Psychol. 2024, 94, 102233. [Google Scholar] [CrossRef]
- Gatersleben, B.; Andrews, M. When walking in nature is not restorative—The role of prospect and refuge. Health Place 2013, 20, 91–101. [Google Scholar] [CrossRef]
- Wyles, K.J.; White, M.P.; Hattam, C.; Pahl, S.; King, H.; Austen, M. Are some natural environments more psychologically beneficial than others? The importance of type and quality on connectedness to nature and psychological restoration. Environ. Behav. 2019, 51, 111–143. [Google Scholar] [CrossRef]
- Meng, X.; Zhang, M.; Lian, X. How environmental physical characteristics relate to children’s restorative experiences and psychological well-being in Chinese primary schools: A qualitative study. Build. Environ. 2025, 272, 112653. [Google Scholar] [CrossRef]
- Kexin, S.; Li, Z.; Zheng, S.; Qu, H. Quantifying environmental characteristics on psychophysiological restorative benefits of campus window views. Build. Environ. 2024, 262, 111822. [Google Scholar] [CrossRef]
- Li, W.; Liu, Y. Predicting the impact of integrated audio-visual environments on perceived restorative benefits across different park types: A field study based on seven parks in Hangzhou, China. Urban For. Urban Green. 2024, 101, 128517. [Google Scholar] [CrossRef]
- Guo, X.; Liu, J.; Albert, C.; Hong, X.-C. Audio-visual interaction and visitor characteristics affect perceived soundscape restorativeness: Case study in five parks in China. Urban For. Urban Green. 2022, 77, 127738. [Google Scholar] [CrossRef]
- Tidemann, S.; Gosler, A. Ethno-Ornithology: “Birds, Indigenous Peoples, Culture and Society”; Routledge: Abingdon, UK, 2012. [Google Scholar]
- Kahn Jr, P.H.; Kellert, S.R. Children and Nature: Psychological, Sociocultural, and Evolutionary Investigations; MIT Press: Cambridge, MA, USA, 2002. [Google Scholar]
- Flynn, E.; Valdovinos, M.G.; Mueller, M.K.; Morris, K.N. A relational developmental theory of human-animal interaction: A meta-synthesis and grounded theory. Dev. Rev. 2025, 75, 101181. [Google Scholar] [CrossRef]
- Henson, E.; McLeod, E.M.; Weston, M.A.; Miller, K.K. Bird feeding at urban wetlands: A comparison of demographics, attitudes and norms between feeders and non-feeders. Sci. Total Environ. 2023, 891, 164060. [Google Scholar] [CrossRef] [PubMed]
- Basak, S.M.; Rostovskaya, E.; Birks, J.; Wierzbowska, I.A. Perceptions and attitudes to understand human-wildlife conflict in an urban landscape—A systematic review. Ecol. Indic. 2023, 151, 110319. [Google Scholar] [CrossRef]
- Gobster, P.H.; Nassauer, J.I.; Daniel, T.C.; Fry, G. The shared landscape: What does aesthetics have to do with ecology? Landsc. Ecol. 2007, 22, 959–972. [Google Scholar] [CrossRef]
- Zube, E.H.; Sell, J.L.; Taylor, J.G. Landscape perception: Research, application and theory. Landsc. Plan. 1982, 9, 1–33. [Google Scholar] [CrossRef]
- Zigmunde, D.; Ņitavska, N.; Vugule, K.; Storie, J.; Katlapa, A.; Kalniņa, A.; Mengots, A. Landscape Cognition. Proc. Latv. Univ. Agric. Landsc. Archit. Art 2016, 8, 8. [Google Scholar]
- Vicente, K.J.; Rasmussen, J. On applying the skills, rules, knowledge framework to interface design. In Proceedings of the Proceedings of the Human Factors Society Annual Meeting, Anaheim, CA, USA, 24–28 October 1988; pp. 254–258. [Google Scholar]
- Yin, J.; Zhu, H.; Yuan, J. Health Impacts of Biophilic Design from a Multisensory Interaction Perspective: Empirical Evidence, Research Designs, and Future Directions. Land 2024, 13, 1448. [Google Scholar] [CrossRef]
- Ratcliffe, E.; Gatersleben, B.; Sowden, P.T. Predicting the perceived restorative potential of bird sounds through acoustics and aesthetics. Environ. Behav. 2020, 52, 371–400. [Google Scholar] [CrossRef]
- Urry, J. Globalising the tourist gaze. In Tourism Development Revisited: Concepts, Issues and Paradigms; SAGE Publications India Private Ltd.: Gurgaon, India, 2008; pp. 150–160. [Google Scholar]
- Lopez, B.; Minor, E.; Crooks, A. Insights into human-wildlife interactions in cities from bird sightings recorded online. Landsc. Urban Plan. 2020, 196, 103742. [Google Scholar] [CrossRef]
- Chen, L.-J.; Chen, W.-P. Push–pull factors in international birders’ travel. Tour. Manag. 2015, 48, 416–425. [Google Scholar] [CrossRef]
- Senzaki, M.; Yamaura, Y.; Shoji, Y.; Kubo, T.; Nakamura, F. Citizens promote the conservation of flagship species more than ecosystem services in wetland restoration. Biol. Conserv. 2017, 214, 1–5. [Google Scholar] [CrossRef]
- Kaplan, S.; Talbot, J.F. Psychological benefits of a wilderness experience. In Behavior and the Natural Environment; Springer: Berlin/Heidelberg, Germany, 1983; pp. 163–203. [Google Scholar]
- Zhao, J.; Gong, X. Animals in urban green spaces in relation to mental restorative quality. Urban For. Urban Green. 2022, 74, 127620. [Google Scholar] [CrossRef]
- Wang, W.; Chen, J.S.; Fan, L.; Lu, J. Tourist experience and Wetland parks: A case of Zhejiang, China. Ann. Tour. Res. 2012, 39, 1763–1778. [Google Scholar] [CrossRef]
- Wang, S.; Li, A. Identify the significant landscape characteristics for the perceived restorativeness of 8 perceived sensory dimensions in urban green space. Heliyon 2024, 10, e27925. [Google Scholar] [CrossRef]
- Ratcliffe, E. Sound and soundscape in restorative natural environments: A narrative literature review. Front. Psychol. 2021, 12, 570563. [Google Scholar] [CrossRef]
- Lück, M.; Porter, B.A.; Elmahdy, Y.M. Birdwatching: An Annotated Bibliography; Dotterel Publishing: Auckland, NZ, 2019. [Google Scholar]
- Kronenberg, J. Environmental impacts of the use of ecosystem services: Case study of birdwatching. Environ. Manag. 2014, 54, 617–630. [Google Scholar] [CrossRef]
- Bell, S. Landscape: Pattern, Perception and Process; Routledge: Abingdon, UK, 2012. [Google Scholar]
- Mengyun, C.; Guangsi, L. How perceived sensory dimensions of urban green spaces affect cultural ecosystem benefits: A study on Haizhu Wetland Park, China. Urban For. Urban Green. 2023, 86, 127983. [Google Scholar] [CrossRef]
- Soga, M.; Gaston, K.J.; Yamaura, Y. Gardening is beneficial for health: A meta-analysis. Prev. Med. Rep. 2017, 5, 92–99. [Google Scholar] [CrossRef]
- Shanahan, D.F.; Lin, B.B.; Bush, R.; Gaston, K.J.; Dean, J.H.; Barber, E.; Fuller, R.A. Toward improved public health outcomes from urban nature. Am. J. Public Health 2015, 105, 470–477. [Google Scholar] [CrossRef] [PubMed]
- Grahn, P.; Stigsdotter, U.K. The relation between perceived sensory dimensions of urban green space and stress restoration. Landsc. Urban Plan. 2010, 94, 264–275. [Google Scholar] [CrossRef]
- Liu, Q.; Wu, Y.; Xiao, Y.; Fu, W.; Zhuo, Z.; van den Bosch, C.C.K.; Huang, Q.; Lan, S. More meaningful, more restorative? Linking local landscape characteristics and place attachment to restorative perceptions of urban park visitors. Landsc. Urban Plan. 2020, 197, 103763. [Google Scholar] [CrossRef]
- Wang, Y.; Luo, F.; Gazal, K.A.; Wen, Y.; Lei, H.; Xiao, Z. Exploring the impact of psychological accessibility on the restorative perception in urban forests: A case study of Yuelu Mountain, Central China. Forests 2023, 14, 721. [Google Scholar] [CrossRef]
- Watson, D.; Clark, L.A.; Tellegen, A. Development and validation of brief measures of positive and negative affect: The PANAS scales. J. Personal. Soc. Psychol. 1988, 54, 1063. [Google Scholar] [CrossRef] [PubMed]
- Bech, P.; Olsen, L.R.; Kjoller, M.; Rasmussen, N.K. Measuring well-being rather than the absence of distress symptoms: A comparison of the SF-36 Mental Health subscale and the WHO-Five well-being scale. Int. J. Methods Psychiatr. Res. 2003, 12, 85–91. [Google Scholar] [CrossRef] [PubMed]
- Bayoud, H.A.; Kittaneh, O.A. Testing the equality of two exponential distributions. Commun. Stat.-Simul. Comput. 2016, 45, 2249–2256. [Google Scholar] [CrossRef]
- Kozumi, H. Testing equality of the means in two independent multivariatet distributions. Commun. Stat.-Theory Methods 1994, 23, 215–227. [Google Scholar] [CrossRef]
- Wen, Z.; Hau, K.-T.; Herbert, W.M. Structural equation model testing: Cutoff criteria for goodness of fit indices and chi-square test. Acta Psychol. Sin. 2004, 36, 186. [Google Scholar]
- Black, W.C.; Babin, B.J.; Anderson, R.E. Multivariate Data Analysis: A Global Perspective; Pearson: London, UK, 2010. [Google Scholar]
- Hayes, A.F. Introduction to Mediation, Moderation, and Conditional Process Analysis: A Regression-Based Approach; Guilford Publications: New York, NY, USA, 2017. [Google Scholar]
- Kaplan, S. Meditation, restoration, and the management of mental fatigue. Environ. Behav. 2001, 33, 480–506. [Google Scholar] [CrossRef]
- Kaplan, S. The restorative benefits of nature: Toward an integrative framework. J. Environ. Psychol. 1995, 15, 169–182. [Google Scholar] [CrossRef]
- Randler, C.; Murawiec, S.; Tryjanowski, P. Committed bird-watchers gain greater psychological restorative benefits compared to those less committed regardless of expertise. Ecopsychology 2022, 14, 101–110. [Google Scholar] [CrossRef]
- Barton, J.; Pretty, J. What is the best dose of nature and green exercise for improving mental health? A multi-study analysis. Environ. Sci. Technol. 2010, 44, 3947–3955. [Google Scholar] [CrossRef] [PubMed]
- Huta, V.; Ryan, R.M. Pursuing pleasure or virtue: The differential and overlapping well-being benefits of hedonic and eudaimonic motives. J. Happiness Stud. 2010, 11, 735–762. [Google Scholar] [CrossRef]
- Pasanen, T.; Johnson, K.; Lee, K.; Korpela, K. Can nature walks with psychological tasks improve mood, self-reported restoration, and sustained attention? Results from two experimental field studies. Front. Psychol. 2018, 9, 2057. [Google Scholar] [CrossRef]
- McMahan, E.A.; Estes, D. The effect of contact with natural environments on positive and negative affect: A meta-analysis. J. Posit. Psychol. 2015, 10, 507–519. [Google Scholar] [CrossRef]
- Duvall, J. Enhancing the benefits of outdoor walking with cognitive engagement strategies. J. Environ. Psychol. 2011, 31, 27–35. [Google Scholar] [CrossRef]
- Lymeus, F.; Lindberg, P.; Hartig, T. Building mindfulness bottom-up: Meditation in natural settings supports open monitoring and attention restoration. Conscious. Cogn. 2018, 59, 40–56. [Google Scholar] [CrossRef] [PubMed]






| Variable | Item | Factor Loading | Cronbach’s α | AVE | CR |
|---|---|---|---|---|---|
| Human–Bird Interaction | Sensory Interaction | 0.855 | 0.917 | 0.712 | 0.879 |
| Cognitive Interaction | 0.961 | ||||
| Participatory Interaction | 0.694 | ||||
| Environmental Characteristics | Visual Features | 0.763 | 0.722 | 0.429 | 0.688 |
| Soundscape Features | 0.653 | ||||
| Facility Features | 0.528 | ||||
| Restorative Environmental Perception | Being-Away | 0.725 | 0.889 | 0.573 | 0.843 |
| Fascination | 0.74 | ||||
| Compatibility | 0.812 | ||||
| Extent | 0.749 | ||||
| Mental Health | Positive Emotion | 0.848 | 0.918 | 0.739 | 0.85 |
| Well-Being | 0.871 |
| Variable | Human–Bird Interaction | Environmental Characteristics | Restorative Environmental Perception | Mental Health |
|---|---|---|---|---|
| Human–Bird Interaction | 0.844 | |||
| Environmental Characteristics | 0.024 | 0.655 | ||
| Restorative Environmental Perception | 0.41 | 0.623 | 0.757 | |
| Mental Health | 0.601 | 0.371 | 0.778 | 0.86 |
| Path | Estimate | C.R. |
|---|---|---|
| Human–Bird Interaction → Restorative Environmental Perception | 0.429 | 6.757 *** |
| Human–Bird Interaction → Mental Health | 0.323 | 6.314 *** |
| Restorative Environmental Perception → Mental Health | 0.646 | 9.828 *** |
| Interaction Intensity → Human–Bird Interaction | 1.022 | 8.503 *** |
| Variable | Effect Type | Value | Boot CI Lower Limit | Boot CI Upper Limit | Percentage |
|---|---|---|---|---|---|
| Human–Bird Interaction | Total | 0.6 *** | 0.507 | 0.683 | |
| Direct | 0.323 *** | 0.189 | 0.455 | 53.83% | |
| Indirect | 0.277 *** | 0.162 | 0.404 | 46.17% |
| Interaction Level | Direct Effect β | Percentage | [95% Boot CI] | Comparison Object | Δβ [95% Boot CI] |
|---|---|---|---|---|---|
| Sensory Interaction | 0.316 *** | 61.93% | [0.233, 0.399] | Cognitive Interaction | −0.031 ** [−0.033, −0.029] |
| Cognitive Interaction | 0.347 *** | 66.32% | [0.267, 0.427] | Participatory Interaction | 0.135 ** [0.133, 0.137] |
| Participatory Interaction | 0.212 *** | 55.38% | [0.127, 0.296] | Sensory Interaction | −0.104 ** [−0.106, −0.102] |
| Interaction Level | Indirect Effect β | Percentage | [95% Boot CI] | Comparison Object | Δβ [95% Boot CI] |
|---|---|---|---|---|---|
| Sensory Interaction | 0.194 *** | 38.07% | [0.129, 0.265] | Cognitive Interaction | 0.018 ** [0.016, 0.019] |
| Cognitive Interaction | 0.176 *** | 33.68% | [0.107, 0.250] | Participatory Interaction | 0.005 ** [0.004, 0.007] |
| Participatory Interaction | 0.171 *** | 44.62% | [0.098, 0.249] | Sensory Interaction | −0.022 ** [−0.024, −0.021] |
| Independent Variable | β (Indirect Effect at +1 SD) | β (Indirect Effect at +1 SD) | Δβ [95% Boot CI] | Significance (Δβ) |
|---|---|---|---|---|
| Human–Bird Interaction | 0.185 *** | 0.155 *** | −0.03 [−0.093, 0.047] | Not Significant |
| Sensory Interaction | 0.173 *** | 0.166 *** | 0.007 [−0.064, 0.094] | Not Significant |
| Cognitive Interaction | 0.147 *** | 0.179 *** | −0.032 [−104, 0.049] | Not Significant |
| Participatory Interaction | 0.121 *** | 0.155 *** | −0.034 [−127, 0.061] | Not Significant |
| Hypothesis | Results |
|---|---|
| H1: Human–bird interactions have significant positive impacts on mental health. | Supported |
| H1a: The effect intensity of different levels of human–bird interactions on mental health differs. | Supported |
| H2: REP plays a mediating role between human–bird interactions and mental health. | Supported |
| H2a: Human–bird interactions have a significant positive effect on REP. | Supported |
| H2b: REP has a significant positive effect on mental health. | Supported |
| H2c: The mediating effect intensity of REP differs across the relationships between different levels of human–bird interactions and mental health. | Supported |
| H3: Environmental characteristics moderate the relationship between human–bird interactions and REP. | Rejected |
| H3a: The moderating effect of environmental characteristics differs across the relationships between different levels of human–bird interactions and REP. | Rejected |
Disclaimer/Publisher’s Note: The statements, opinions and data contained in all publications are solely those of the individual author(s) and contributor(s) and not of MDPI and/or the editor(s). MDPI and/or the editor(s) disclaim responsibility for any injury to people or property resulting from any ideas, methods, instructions or products referred to in the content. |
© 2025 by the authors. Licensee MDPI, Basel, Switzerland. This article is an open access article distributed under the terms and conditions of the Creative Commons Attribution (CC BY) license (https://creativecommons.org/licenses/by/4.0/).
Share and Cite
Zhang, R.; Fang, X.; Liu, Y.; Chen, Z.; Zhang, X.; Lin, S.; Hu, H. Linking Human–Bird Interactions to Restorative Environmental Perception and Mental Health: A Landscape Perception Perspective. Land 2025, 14, 2243. https://doi.org/10.3390/land14112243
Zhang R, Fang X, Liu Y, Chen Z, Zhang X, Lin S, Hu H. Linking Human–Bird Interactions to Restorative Environmental Perception and Mental Health: A Landscape Perception Perspective. Land. 2025; 14(11):2243. https://doi.org/10.3390/land14112243
Chicago/Turabian StyleZhang, Runxuan, Xiaoshan Fang, Yuanzhihong Liu, Zhouhan Chen, Xuefei Zhang, Shangjiangfeng Lin, and Huijian Hu. 2025. "Linking Human–Bird Interactions to Restorative Environmental Perception and Mental Health: A Landscape Perception Perspective" Land 14, no. 11: 2243. https://doi.org/10.3390/land14112243
APA StyleZhang, R., Fang, X., Liu, Y., Chen, Z., Zhang, X., Lin, S., & Hu, H. (2025). Linking Human–Bird Interactions to Restorative Environmental Perception and Mental Health: A Landscape Perception Perspective. Land, 14(11), 2243. https://doi.org/10.3390/land14112243
