Farmland’s Comprehensive Improvement and Agricultural Total Factor Productivity Increase: Empirical Evidence from China’s National Construction of High-Standard Farmland
Abstract
1. Introduction
2. Literature Review
2.1. ATFP
2.2. Land and ATFP
2.3. Land Policies and ATFP
3. Research Model and Hypothesis
3.1. Research Model
3.2. Research Hypothesis
3.2.1. Path of Operation Scale Increase
3.2.2. Path of Planting Structure Adjustment
3.2.3. Paths of Agricultural Disaster Resistance
4. Materials and Methods
4.1. Measurements of ATFP
4.2. Model Setting and Method Choosing
4.2.1. The Overall Method Design
4.2.2. Baseline Regression Model
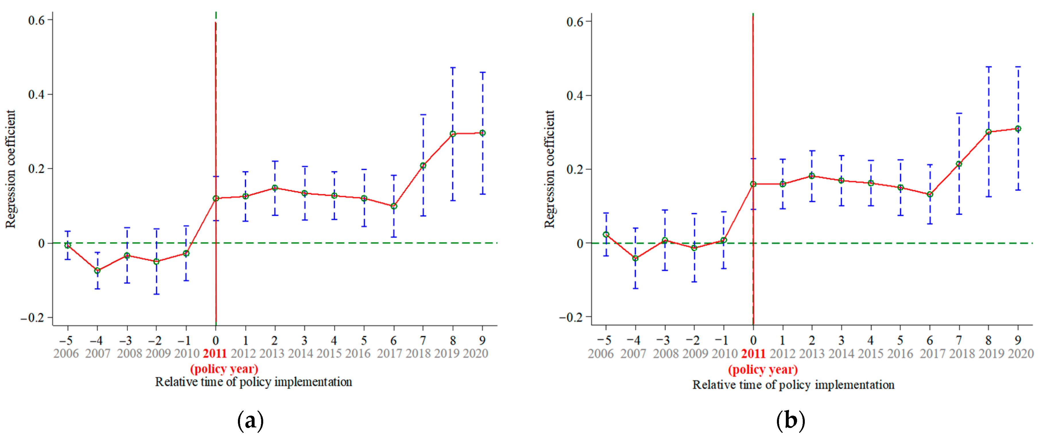
4.2.3. Parallel Trend Test and Policy Dynamic Impact
4.3. Variable Descriptions
4.3.1. Explained Variable
4.3.2. Core Explanatory Variable
4.3.3. Mediator Variables
4.3.4. Control Variables
4.4. Data Sources
5. Results
5.1. Characteristic Descriptions
5.2. Baseline Regression Results
5.3. Parallel Trend Test and Policy Dynamic Effect
5.4. Robustness Test
5.4.1. Placebo Test by Advancing the Policy’s Release Time Point
5.4.2. Robustness Test by Alternating the Dependent Variable or Its Measurement
5.4.3. Robustness Test by Alternating Core Explanatory Variables
5.4.4. Robustness Test by Alternating Control Variables
5.4.5. Robustness Test by Alternating Models
5.5. Heterogeneity Analysis
5.5.1. Heterogeneity in the Agricultural Function Deployment
5.5.2. Heterogeneity in Economic Geography
5.5.3. Heterogeneity in Pest and Disease Control Levels
5.5.4. Heterogeneity in Soil–Water Conservation Levels
5.6. Mechanism Analysis
5.6.1. Mechanism of Agricultural Operation Scale
5.6.2. Mechanism of Planting Structure Adjustment
5.6.3. Mechanisms of Agricultural Disaster Reduction
5.7. Extensive Analyses: By Supplementing Data from 2018 to 2020
5.7.1. Data Supplement Through Extrapolation and Reclamation Proportion Methods
5.7.2. Baseline Estimation Results
5.7.3. Parallel Trend Test
6. Discussion
6.1. Key Findings
6.2. Policy Implications
7. Conclusions, Limitation and Future Research
Author Contributions
Funding
Data Availability Statement
Acknowledgments
Conflicts of Interest
| 1 | Data collected from OECD. Agricultural Policy Monitoring and Evaluation 2023: Adapting Agriculture to Climate Change, OECD Publishing, Paris, 2023, https://doi.org/10.1787/b14de474-en. |
| 2 | Information collected from China’s Ministry of Agriculture and Rural Affairs. China’s National High-standard Farmland Construction Plan (2021–2030), 2021. http://www.ntjss.moa.gov.cn/zcfb/202109/t20210915_6376511.htm (accessed on 10 May 2024). |
| 3 | Report from China’s central government, in September, 2021. https://www.gov.cn/zhengce/2021-09/17/content_5638084.htm (accessed on 10 May 2024). |
| 4 | This system was an agriculture production system launched in the early 1980s in China. This system allowed households to contract land, machinery and other facilities from collective organizations. The aim was to preserve basic unified management of the collective economy, while contracting out land and other goods to households (Tilt, 2008). |
| 5 | The term “grainization” means the ratio of grain crops in farmers’ planting structure rises while the ratio of economic crops declines [34]. |
| 6 | Accessed to from China Economic and Social Development statistical database, https://data.cnki.net/. |
| 7 | See note 6 above. |
| 8 | See note 6 above. |
| 9 | |
| 10 | China’s total high-standard farmland construction area was about 50 million hm2 in 2020, calculated by this method, similar to the data (53.3 million hm2) released by China’s Ministry of Agriculture and Rural Affairs, indicating the reliability of the proportion method. |
References
- Wang, Y.; Yang, A.; Yang, Q. The extent, drivers and production loss of farmland abandonment in China: Evidence from a spatiotemporal analysis of farm households survey. J. Clean. Prod. 2023, 414, 137772. [Google Scholar] [CrossRef]
- Biagini, L.; Antonioli, F.; Severini, S. The role of the common agricultural policy in enhancing farm income: A dynamic panel analysis accounting for farm size in Italy. J. Agric. Econ. 2020, 71, 652–675. [Google Scholar] [CrossRef]
- Leonard, B.; Parker, D.P.; Anderson, T.L. Land quality, land rights, and indigenous poverty. J. Dev. Econ. 2020, 143, 102435. [Google Scholar] [CrossRef]
- Bazyli, C.; Trojanek, R.; Maciej, D.; Andrzej, C. Cost-effectiveness of the Common agricultural policy and environmental policy in country districts: Spatial spillovers of pollution, bio-uniformity and green schemes in Poland. Sci. Total Environ. 2020, 726, 1–14. [Google Scholar]
- Rallings, A.M.; Smukler, S.M.; Gergel, S.E.; Mullinix, K. Towards multifunctional land use in an agricultural landscape: A trade-off and synergy analysis in the Lower Fraser Valley, Canada. Landsc. Urban Plan. 2019, 184, 88–100. [Google Scholar] [CrossRef]
- Follmann, A.; Willkomm, M.; Dannenberg, P. As the city grows, what do farmers do? A systematic review of urban and peri-urban agriculture under rapid urban growth across the Global South. Landsc. Urban Plan. 2021, 215, 104186. [Google Scholar] [CrossRef]
- Hou, D.; Meng, F.; Prishchepov, A.V. How is urbanization shaping agricultural land-use? Unraveling the nexus between farmland abandonment and urbanization in China. Landsc. Urban Plan. 2021, 214, 104170. [Google Scholar] [CrossRef]
- Song, Y.; Zhang, B.; Wang, J.; Kwek, K. The impact of climate change on China’s agricultural green total factor productivity. Technol. Forecast. Soc. Change 2022, 185, 122054. [Google Scholar] [CrossRef]
- Rose, S.K.; Golub, A.A.; Sohngen, B. Total factor and relative ATFP and deforestation. Am. J. Agric. Econ. 2013, 95, 426–434. [Google Scholar] [CrossRef]
- Liu, D.; Zhu, X.; Wang, Y. China’s agricultural green total factor productivity based on carbon emission: An analysis of evolution trend and influencing factors. J. Clean. Prod. 2021, 278, 123692. [Google Scholar] [CrossRef]
- Fang, L.; Hu, R.; Mao, H.; Chen, S. How crop insurance influences agricultural green total factor productivity: Evidence from Chinese farmers. J. Clean. Prod. 2021, 321, 128977. [Google Scholar] [CrossRef]
- Swinnen, J.F.M.; Vranken, L. Reforms and ATFP in central and eastern Europe and the former Soviet Republics: 1989–2005. J. Product. Anal. 2010, 33, 241–258. [Google Scholar] [CrossRef]
- Wang, W.; Guo, L. Sources of production growth in Chinese agriculture: Empirical evidence from penal data results 2001–2018. Appl. Econ. 2021, 53, 5135–5157. [Google Scholar] [CrossRef]
- Jin, S.; Huang, J.; Hu, R.; Rozelle, S. The creation and spread of technology and total factor productivity in China’s agriculture. Am. J. Agric. Econ. 2002, 84, 916–930. [Google Scholar] [CrossRef]
- Lana-Berasain, J.M. The total factor productivity in Spanish agriculture: The case of Southern Navarra, 1780–1900. J. Iber. Lat. Am. Econ. Hist. 2011, 29, 425–460. [Google Scholar]
- Ball, V.E.; San-Juan-Mesonada, C.; Ulloa, C.A. State productivity growth in agriculture: Catching-up and the business cycle. J. Product. Anal. 2014, 42, 327–338. [Google Scholar] [CrossRef]
- Ogundari, K.; Onyeaghala, R. The effects of climate change on African ATFP growth revisited. Environ. Sci. Pollut. Res. 2021, 28, 30035–30045. [Google Scholar] [CrossRef]
- Zhu, Y.; Zhang, Y.; Piao, H. Does agricultural mechanization improve the green total factor productivity of China’s planting industry? Energies 2022, 15, 940. [Google Scholar] [CrossRef]
- Kijek, A.; Kijek, T.; Nowak, A.; Skrzypek, A. Productivity and its convergence in agriculture in new and old European Union member states. Agric. Econ. 2019, 65, 1–9. [Google Scholar] [CrossRef]
- Craig, B.J.; Pardey, P.G.; Roseboom, J. International productivity patterns: Accounting for input quality, infrastructure, and research. Am. J. Agric. Econ. 1997, 79, 1064–1076. [Google Scholar] [CrossRef]
- Wiebe, K. Resource quality and ATFP in mid country. In Proceedings of the 20’ Annual Meeting of the American Agricultural Economics Association, Tampa, FL, USA, 30 July–2 August 2000. [Google Scholar]
- García, V.R.; Gaspart, F.; Kastner, T.; Meyfroidt, P. Agricultural intensification and land use change: Assessing country-level induced intensification, land sparing and rebound effect. Environ. Res. Lett. 2020, 15, 085007. [Google Scholar] [CrossRef]
- Jiang, G.; Zhang, R.; Ma, W.; Zhou, D.; Wang, X.; He, X. Cultivated land productivity potential improvement in land consolidation schemes in Shenyang, China: Assessment and policy implications. Land Use Policy 2017, 68, 80–88. [Google Scholar] [CrossRef]
- Galdeano-Gomez, E. Productivity effects of environmental performance: Evidence from TFP analysis on marketing cooperatives. Appl. Econ. 2008, 40, 1873–1888. [Google Scholar] [CrossRef]
- Zhan, J.; Tian, X.; Zhang, Y.; Yang, X.; Qu, Z.; Tan, T. The effects of agricultural R&D on Chinese ATFP growth: New evidence of convergence and implications for agricultural R&D policy. Can. J. Agric. Econ. 2017, 65, 453–475. [Google Scholar]
- Lin, B.; Wang, X.; Jin, S.; Yang, W.; Li, H. Impacts of cooperative membership on rice productivity: Evidence from China. World Dev. 2022, 150, 105669. [Google Scholar] [CrossRef]
- Xiang, H. The evolution and driving mechanism of land use classification systems in China. Sci. Rep. 2023, 13, 20644. [Google Scholar] [CrossRef] [PubMed]
- Wang, Y.; Li, G.; Wang, S.; Zhang, Y.; Li, D.; Zhou, H.; Xu, S. A comprehensive evaluation of benefit of high-standard farmland development in China. Sustainability 2022, 14, 10361. [Google Scholar] [CrossRef]
- Wang, Y.; Li, X.; Lu, D.; Yan, J. Evaluating the impact of land fragmentation on the cost of agricultural operation in the southwest mountainous areas of China. Land Use Policy 2020, 99, 105099. [Google Scholar] [CrossRef]
- Hao, S.; Wang, G.G.; Yang, Y.T.; Zhao, S.C.; Huang, S.N.; Liu, L.P.; Zhang, H.H. Promoting grain production through High-standard Farmland Construction: Evidence based on quasi-experimental data from 31 sample provinces in China. J. Integr. Agric. 2024, 23, 324–335. [Google Scholar] [CrossRef]
- Peng, J.; Zhao, Z.; Chen, L. The impact of high-standard farmland construction policy on rural poverty in China. Land 2022, 11, 1578. [Google Scholar] [CrossRef]
- Gong, Y.; Zhang, Y.; Chen, Y. The impact of high-standard farmland construction policy on grain quality from the perspectives of technology adoption and cultivated land quality. Agriculture 2023, 13, 1702. [Google Scholar] [CrossRef]
- Peng, J.; Chen, J.; Chen, L.; Zhao, Z. Heterogeneity and threshold in the effect of agricultural machinery on farmers’ relative poverty. Environ. Sci. Pollut. Res. 2023, 30, 83792–83809. [Google Scholar] [CrossRef]
- Peng, J.; Chen, J.; Su, C.; Wu, Z.; Yang, L.; Liu, W. Will land circulation sway “grain orientation”? The impact of rural land circulation on farmers’ agricultural planting structures. PLoS ONE 2021, 16, 0253158. [Google Scholar] [CrossRef] [PubMed]
- Zhang, Z. Some major problems and measures of farmland mechanization transformation in hilly and mountainous areas during the 14th Five-Year Plan period. China Rural Econ. 2020, 36, 13–28. (In Chinese) [Google Scholar]
- Zhou, Y.; Hu, L. Some considerations on farmland infrastructure construction. J. Huazhong Agric. Univ. (Soc. Sci. Ed.) 2016, 122, 23–29+135. (In Chinese) [Google Scholar]
- Holden, S.T.; Otsuka, K. The roles of land tenure reforms and land markets in the context of population growth and land use intensification in Africa. Food Policy 2014, 48, 88–97. [Google Scholar] [CrossRef]
- Baráth, L.; Fertő, I.; Bojnec, Š. Does land consolidation improve farm productivity? Evidence from Slovenia. Land Use Policy 2020, 99, 105102. [Google Scholar]
- Van Dijk, J.A.G.M. The Digital Divide; Cambridge, UK: Polity Press, 2020; ISBN 978-1-509-534456. [Google Scholar]
- Bradfield, T.; Butler, R.; Dillon, E.; Hennessy, T.; Kilgarriff, P. The effect of land fragmentation on the technical inefficiency of dairy farms. J. Agric. Econ. 2021, 72, 486–499. [Google Scholar] [CrossRef]
- Tan, S.; Heerink, N.; Qu, F. Land fragmentation and its driving forces in China. Land Use Policy 2006, 23, 272–285. [Google Scholar] [CrossRef]
- Qian, F.; Chi, Y.; Lal, R.; Lorenz, K. Spatio-temporal characteristics of cultivated land fragmentation in different landform areas with a case study in Northeast China. Ecosyst. Health Sustain. 2020, 6, 1800415. [Google Scholar] [CrossRef]
- Ahmed, R.; Saikia, A.; Robeson, S.M. Tracks of death: Elephant casualties along the Habaipur–Diphu railway in Assam, India. Ann. Am. Assoc. Geogr. 2022, 112, 1553–1575. [Google Scholar] [CrossRef]
- Abdelali-Martini, M.; Goldey, P.; Jones, G.; Bailey, E. Towards a feminization of agricultural labour in northwest Syria. J. Peasant Stud. 2003, 30, 71–94. [Google Scholar] [CrossRef]
- Chi, Y.; Zhou, W.; Wang, Z.; Hu, Y.; Han, X. The influence paths of agricultural mechanization on green agricultural development. Sustainability 2021, 13, 12984. [Google Scholar] [CrossRef]
- Ma, W.; Zhu, Z.; Zhou, X. Agricultural mechanization and cropland abandonment in rural China. Appl. Econ. Lett. 2022, 29, 526–533. [Google Scholar] [CrossRef]
- Peng, J.; Wen, L.; Fu, L.; Yi, M. Total factor productivity of cultivated land use in China under environmental constraints: Temporal and spatial variations and their influencing factors. Environ. Sci. Pollut. Res. 2020, 27, 18443–18462. [Google Scholar] [CrossRef]
- Zhou, J.; Cao, X. What is the policy improvement of China’s land consolidation? Evidence from completed land consolidation projects in Shaanxi Province. Land Use Policy 2020, 99, 104847. [Google Scholar] [CrossRef]
- Fan, M.; Chen, L. Spatial characteristics of land uses and ecological compensations based on payment for ecosystem services model from 2000 to 2015 in Sichuan Province, China. Ecol. Inform. 2019, 50, 162–183. [Google Scholar] [CrossRef]
- Qiao, F. The impact of mechanization on crop production in China. Appl. Econ. 2023, 55, 1728–1741. [Google Scholar] [CrossRef]
- Tozer, P.R.; Villano, R. Decomposing productivity and efficiency among Western Australian grain producers. J. Agric. Resour. Econ. 2013, 38, 312–326. [Google Scholar]
- Zheng, Z.; Cheng, S.; Henneberry, S.R. Total factor productivity change in China’s grain production sector: 1980–2018. Aust. J. Agric. Resour. Econ. 2023, 67, 38–55. [Google Scholar] [CrossRef]
- Tan, Y.; Chen, H.; Lian, K.; Yu, Z. Comprehensive evaluation of cultivated land quality at county scale: A case study of Shengzhou, Zhejiang Province, China. Int. J. Environ. Res. Public Health 2020, 17, 1169. [Google Scholar] [CrossRef]
- Tang, H.; Yun, W.; Liu, W.; Sang, L. Structural changes in the development of China’s farmland consolidation in 1998–2017: Changing ideas and future framework. Land Use Policy 2019, 89, 104212. [Google Scholar] [CrossRef]
- Liu, M.; Ji, Y. Determinants of agricultural infrastructure construction in China: Based on the “participation of beneficiary groups” perspective. Land 2020, 9, 6. [Google Scholar] [CrossRef]
- Thanvisitthpon, N. Impact of land use transformation and anti-flood infrastructure on flooding in world heritage site and peri-urban area: A case study of Thailand’s Ayutthaya province. J. Environ. Manag. 2019, 247, 518–524. [Google Scholar] [CrossRef]
- Wolka, K.; Sterk, G.; Biazin, B.; Negash, M. Benefits, limitations and sustainability of soil–water conservation structures in Omo-Gibe basin, Southwest Ethiopia. Land Use Policy 2018, 73, 1–10. [Google Scholar] [CrossRef]
- He, X.; Wang, M.; Tang, Q.; Bao, Y.; Li, J.; Khurram, D. Decadal loss of paddy fields driven by cumulative human activities in the Three Gorges Reservoir area, China. Land Degrad. Dev. 2020, 31, 1990–2002. [Google Scholar] [CrossRef]
- Kelly, K.E.; Belcher, K.; Khakbazan, M. Economic targeting of agricultural beneficial management practices to address phosphorus runoff in Manitoba. Can. J. Agric. Econ. 2018, 66, 143–166. [Google Scholar] [CrossRef]
- Marino, D.; Palmieri, M.; Marucci, A.; Soraci, M.; Barone, A.; Pili, S. Linking flood risk mitigation and food security: An analysis of land-use change in the metropolitan area of Rome. Land 2023, 12, 366. [Google Scholar] [CrossRef]
- Battese, G.E.; Coelli, T.J. Frontier production functions, technical efficiency and panel data: With application to paddy farmers in India. J. Product. Anal. 1992, 3, 153–169. [Google Scholar] [CrossRef]
- Battese, G.E.; Coelli, T.J. A model for technical inefficiency effects in a stochastic frontier production function for panel data. Empir. Econ. 1995, 20, 325–332. [Google Scholar] [CrossRef]
- Bertrand, M.; Duflo, E.; Mullainathan, S. How much should we trust differences-in-differences estimates? Q. J. Econ. 2004, 119, 249–275. [Google Scholar] [CrossRef]
- Chen, Y.; Miao, J.; Zhu, Z. Measuring green total factor productivity of China’s agricultural sector: A three-stage SBM-DEA model with non-point source pollution and CO2 emissions. J. Clean. Prod. 2021, 318, 128543. [Google Scholar] [CrossRef]
- Coomes, O.T.; Barham, B.L.; MacDonald, G.K.; Ramankutty, N.; Chavas, J.P. Leveraging total factor productivity growth for sustainable and resilient farming. Nat. Sustain. 2019, 2, 22–28. [Google Scholar] [CrossRef]
- Du, Y.; Liu, H.; Huang, H.; Li, X. The carbon emission reduction effect of agricultural policy—Evidence from China. J. Clean. Prod. 2023, 406, 137005. [Google Scholar] [CrossRef]
- Wei, Z.; Zheng, J.; Zhang, J.; Jiquan, P.; Cui, X.; You, Q. The Impact of High-Standard Farmland Construction Policy on Disaster Vulnerability of Food Production Systems: Evidence from China. Front. Sustain. Food Syst. 2025, 9, 1673265. [Google Scholar] [CrossRef]
- Cai, Y.; Wang, L. Impact of Digital Economy on Agricultural Green Total Factor Productivity: Evidence from the Quasi-Natural Experiment of the “Broadband China” Strategy. Front. Sustain. Food Syst. 2025, 9, 1607567. [Google Scholar] [CrossRef]





| Abbreviation | Variable | Measuring Unit | Mean Value | Standard Deviation |
|---|---|---|---|---|
| Fertilizer | Fertilizer usage | Thousand tons | 1794.672 | 1442.111 |
| Machine | Agricultural machine usage | Million kilowatt-hours | 29.776 | 28.198 |
| Electricity | Rural electricity consumption | Billion kilowatt-hours | 23.250 | 35.701 |
| Labor | Rural farmers | Million persons | 15.237 | 11.909 |
| Sowing | Agricultural area of sowing | Thousand hectares | 5203.333 | 3693.602 |
| Abbreviation | Variable | Measuring Method | Measuring Unit | Mean Value | Standard Deviation |
|---|---|---|---|---|---|
| field | Proportion of high-standard farmland construction area | High-standard farmland construction area/total farmland area | % | 0.3684 | 0.2373 |
| efficiency1 | Agricultural productivity | Calculated by SFA model: bc95 | % | 0.8542 | 0.0908 |
| efficiency2 | Agricultural productivity | Calculated by SFA model: bc92 | % | 0.8457 | 0.0941 |
| value | Agricultural output value per capita | Total agricultural output value/rural farmers | thousand RMB per capita | 19.651 | 13.951 |
| land | Agricultural output value per unit of farmland area | Total agricultural output value/total farmland area | thousand RMB/hm2 | 74.690 | 55.542 |
| invest | Comprehensive development investment per unit of farmland area | Total comprehensive development investment//total farmland area | thousand RMB/hm2 | 6.777 | 8.011 |
| education | Average years of education of rural labor force | (∑(number of people in each age group × average years of education in each age group)/total population | years | 8.6474 | 1.2073 |
| irrigation | Proportion of effective irrigated area | Total effective irrigated area/total farmland area | % | 0.5132 | 0.2304 |
| technician | Technical service for agriculture | Number of agricultural technicians per thousand farmers | person per thousand capita | 1.064 | 0.710 |
| fiscal | Fiscal support for agriculture | Expenditure on agriculture, forestry and water affairs/General budget expenditure | % | 0.051 | 0.178 |
| industry | Industrialization level | Value added of secondary industry/Gross regional product | % | 0.4352 | 0.0830 |
| rengel | Rural Engel coefficient | Rural population’s Expenditure on food, tobacco and alcohol/Rural population’s total expenditure | % | 0.3905 | 0.0728 |
| sun | Daily sunshine duration | Annual sunshine duration/365 | h/day | 5.6515 | 1.3609 |
| temperature | Average annual temperature | Sum of daily temperature/365 | °C | 13.1259 | 5.7189 |
| rain | Average daily rainfall | Annual rainfall/365 | mL/day | 2.5943 | 1.2517 |
| food | Major grain-producing areas | 1 = major grain-producing area; 0 = non-major grain-producing area | — | 0.4194 | 0.4941 |
| location | location | 1 = eastern regions; 2 = central regions; 3 = western regions | — | 2.0323 | 0.8618 |
| disease | Pest control level | Pest control area/pest occurrence area | % | 1.0986 | 0.3132 |
| conservation | Soil conservation level | Soil conservation area/total farmland area | % | 0.4469 | 0.3010 |
| circulation | The proportion of farmland circulation area | Farmland circulation area/area of farmland being contracted by farmers | % | 0.2064 | 0.1645 |
| structure | Planting structure | Grain-planting area/total planting area | % | 0.6555 | 0.1300 |
| hazard | Hazard level | Hazarded farmland area/total farmland area | % | 0.1090 | 0.0866 |
| Variable | Standard Error by Provincial Clustering | Common Standard Error | Robust Standard Error | Standard Error by Provincial Clustering | Bootstrap1000 Times |
|---|---|---|---|---|---|
| (1) | (2) | (3) | (4) | (5) | |
| 0.222 *** | 0.101 *** | 0.101 *** | 0.101 ** | 0.101 ** | |
| (0.0441) | (0.0168) | (0.0218) | (0.0383) | (0.0465) | |
| education | — | 0.0063 *** | 0.0063 *** | 0.0063 *** | 0.0063 *** |
| (0.0009) | (0.0013) | (0.0011) | (0.0012) | ||
| irrigation | — | 0.0482 *** | 0.0482 *** | 0.0482 ** | 0.0482 * |
| (0.0110) | (0.0137) | (0.0227) | (0.0260) | ||
| technician | — | 0.0043 ** | 0.0043 *** | 0.0043 *** | 0.0043 ** |
| (0.0021) | (0.0012) | (0.0015) | (0.0017) | ||
| fiscal | — | −0.0092 * | −0.0092 *** | −0.0092 | −0.0092 |
| (0.0049) | (0.0028) | (0.0109) | (0.0128) | ||
| industry | — | −0.0388 ** | −0.0388 * | −0.0388 | −0.0388 |
| (0.0171) | (0.0192) | (0.0409) | (0.0465) | ||
| rengel | — | −0.0896 *** | −0.0896 *** | −0.0896 ** | −0.0896 |
| (0.0305) | (0.0185) | (0.0356) | (0.0688) | ||
| sun | — | −0.0135 ** | −0.0135 ** | −0.0135 * | −0.0135 ** |
| (0.0065) | (0.0053) | (0.0067) | (0.0069) | ||
| temperature | — | 0.0079 *** | 0.0079 *** | 0.0079 *** | 0.0079 *** |
| (0.0015) | (0.0012) | (0.0012) | (0.0014) | ||
| rain | — | −0.0188 *** | −0.0188 *** | −0.0188 ** | −0.0188 ** |
| (0.0045) | (0.0031) | (0.0073) | (0.0075) | ||
| Constant | 0.553 *** | 0.692 *** | 0.692 *** | 0.692 *** | 0.709 *** |
| (0.0097) | (0.0508) | (0.0447) | (0.0605) | (0.0778) | |
| R-squared | 0.866 | 0.937 | 0.937 | 0.937 | 0.976 |
| Variable | No Control Variables Included | Control Variables Included |
|---|---|---|
| (1) | (2) | |
| field × 2006 | 0.0075 | −0.0161 |
| (0.0203) | (0.0182) | |
| field × 2007 | −0.0036 | −0.0107 |
| (0.0293) | (0.0304) | |
| field × 2008 | 0.0145 | 0.0089 |
| (0.0363) | (0.0268) | |
| field × 2009 | 0.0119 | −0.0005 |
| (0.0292) | (0.0274) | |
| field × 2010 | 0.0102 | −0.0105 |
| (0.0284) | (0.0252) | |
| field × 2011 | 0.270 *** | 0.168 *** |
| (0.0389) | (0.0249) | |
| field × 2012 | 0.255 *** | 0.155 *** |
| (0.0424) | (0.0309) | |
| field × 2013 | 0.250 *** | 0.149 *** |
| (0.0461) | (0.0347) | |
| field × 2014 | 0.243 *** | 0.146 *** |
| (0.0462) | (0.0302) | |
| field × 2015 | 0.222 *** | 0.138 *** |
| (0.0503) | (0.0281) | |
| field × 2016 | 0.193 *** | 0.125 *** |
| (0.0580) | (0.0322) | |
| field × 2017 | 0.188 *** | 0.112 *** |
| (0.0597) | (0.0340) | |
| Control variable | NO | YES |
| Regional effect | YES | YES |
| Time effect | YES | YES |
| Constant | 0.550 *** | 0.694 *** |
| (0.0116) | (0.0679) | |
| R-squared | 0.868 | 0.935 |
| Variable | Advancing the Policy’s Release Time Point | Alternating the Dependent Variable or Its Measurement | Alternating Core Explanatory Variables | Alternating Control Variables | Alternating Models | ||
|---|---|---|---|---|---|---|---|
| Year 2008 | Year 2010 | bc92 Method | Agricultural Output Value per Capita | Lagging by One Stage | Spatial Error Model | ||
| (1) | (2) | (3) | (4) | (5) | (6) | (7) | |
| 0.0068 | −0.0416 | 0.128 *** | 4.217 *** | — | 0.101 ** | 0.619 *** | |
| (0.0205) | (0.0369) | (0.0407) | (1.0420) | (0.0383) | (0.0125) | ||
| — | — | — | — | 0.0199 ** | — | — | |
| (0.0093) | |||||||
| Control variable | YES | YES | YES | YES | YES | YES | YES |
| Regional effect | YES | YES | YES | YES | YES | YES | YES |
| Time effect | YES | YES | YES | YES | YES | YES | YES |
| Constant | 0.626 *** | 0.705 *** | 0.680 *** | 5.913 ** | 0.710 *** | 0.692 *** | 1.451 *** |
| (0.0417) | (0.0555) | (0.0668) | (2.1570) | (0.0642) | (0.0605) | (0.0215) | |
| R-squared | 0.972 | 0.954 | 0.938 | 0.909 | 0.935 | 0.937 | 0.954 |
| Variable | Agricultural Production’s Functional Deployment | Economic Geography | |||
|---|---|---|---|---|---|
| Major Grain-Producing Regions | Non-Major Grain-Producing Regions | Eastern Regions | Central Regions | Western Regions | |
| (1) | (2) | (3) | (4) | (5) | |
| 0.2010 *** | 0.0866 ** | 0.0775 *** | 0.238 ** | 0.213 ** | |
| (0.0240) | (0.0407) | (0.0261) | (0.0898) | (0.0760) | |
| Control variable | YES | YES | YES | YES | YES |
| Regional effect | YES | YES | YES | YES | YES |
| Time effect | YES | YES | YES | YES | YES |
| Constant | 0.457 *** | 0.724 *** | 0.611 *** | 0.4030 | 0.924 *** |
| (0.1480) | (0.0589) | (0.0852) | (0.2580) | (0.0704) | |
| R-squared | 0.944 | 0.947 | 0.965 | 0.946 | 0.943 |
| Variable | Pest and Disease Control Levels | Soil and Water Conservation Levels | ||
|---|---|---|---|---|
| High-Level Regions | Low-Level Regions | High-Level Regions | Low-Level Regions | |
| (1) | (2) | (3) | (4) | |
| 0.1453 *** | 0.077 *** | 0.121 *** | 0.0841 *** | |
| (0.0210) | (0.0229) | (0.0294) | (0.0212) | |
| Control variable | YES | YES | YES | YES |
| Regional effect | YES | YES | YES | YES |
| Time effect | YES | YES | YES | YES |
| Constant | 0.692 *** | 0.728 *** | 0.667 *** | 0.601 *** |
| (0.0469) | (0.0924) | (0.0660) | (0.0661) | |
| R-squared | 0.948 | 0.959 | 0.965 | 0.948 |
| Variable | te1 | Agricultural Operation Scale | Planting Structure Adjustment | Agricultural Disaster Reduction | |||
|---|---|---|---|---|---|---|---|
| Scale | Te1 | Structure | Te1 | Hazard | Te1 | ||
| (1) | (2) | (3) | (4) | (5) | (6) | (7) | |
| 0.101 ** | 0.524 ** | 0.109 ** | 0.273 *** | 0.106 *** | −0.298 *** | 0.116 *** | |
| (0.0383) | (0.0401) | (0.0424) | (0.0586) | (0.0379) | (0.0579) | (0.0408) | |
| scale | — | — | 0.0403 *** | — | — | — | |
| (0.0022) | |||||||
| structure | — | — | — | — | 0.0572 *** | — | — |
| (0.0179) | |||||||
| hazard | — | — | — | — | — | — | −0.0621 * |
| (0.0286) | |||||||
| Control variable | YES | YES | YES | YES | YES | YES | YES |
| Regional effect | YES | YES | YES | YES | YES | YES | YES |
| Time effect | YES | YES | YES | YES | YES | YES | YES |
| Constant | 0.692 *** | −50.43 * | 0.674 *** | 1.215 *** | 0.753 *** | −0.1970 | 0.702 *** |
| (0.0605) | (27.9100) | (0.0644) | (0.1260) | (0.0773) | (0.1380) | (0.0601) | |
| R-squared | 0.937 | 0.94 | 0.938 | 0.902 | 0.938 | 0.961 | 0.938 |
| Variable | Extrapolation Method | Reclamation Proportion Method |
|---|---|---|
| (1) | (2) | |
| 0.252 *** | 0.248 *** | |
| (0.0215) | (0.0238) | |
| Control variable | Control | Control |
| Regional effect | YES | YES |
| Time effect | YES | YES |
| Constant | 0.643 *** | 0.652 *** |
| (0.0456) | (0.0432) | |
| R-squared | 0.956 | 0.957 |
Disclaimer/Publisher’s Note: The statements, opinions and data contained in all publications are solely those of the individual author(s) and contributor(s) and not of MDPI and/or the editor(s). MDPI and/or the editor(s) disclaim responsibility for any injury to people or property resulting from any ideas, methods, instructions or products referred to in the content. |
© 2025 by the authors. Licensee MDPI, Basel, Switzerland. This article is an open access article distributed under the terms and conditions of the Creative Commons Attribution (CC BY) license (https://creativecommons.org/licenses/by/4.0/).
Share and Cite
Peng, J.; Huang, A.; Chen, J.; Chen, L. Farmland’s Comprehensive Improvement and Agricultural Total Factor Productivity Increase: Empirical Evidence from China’s National Construction of High-Standard Farmland. Land 2025, 14, 2218. https://doi.org/10.3390/land14112218
Peng J, Huang A, Chen J, Chen L. Farmland’s Comprehensive Improvement and Agricultural Total Factor Productivity Increase: Empirical Evidence from China’s National Construction of High-Standard Farmland. Land. 2025; 14(11):2218. https://doi.org/10.3390/land14112218
Chicago/Turabian StylePeng, Jiquan, Anhong Huang, Juan Chen, and Lili Chen. 2025. "Farmland’s Comprehensive Improvement and Agricultural Total Factor Productivity Increase: Empirical Evidence from China’s National Construction of High-Standard Farmland" Land 14, no. 11: 2218. https://doi.org/10.3390/land14112218
APA StylePeng, J., Huang, A., Chen, J., & Chen, L. (2025). Farmland’s Comprehensive Improvement and Agricultural Total Factor Productivity Increase: Empirical Evidence from China’s National Construction of High-Standard Farmland. Land, 14(11), 2218. https://doi.org/10.3390/land14112218

