Next Article in Journal
Spatial Patterns and Characteristics of Urban–Rural Agricultural Landscapes: A Case Study of Bengaluru, India
Previous Article in Journal
The Influence of Usage and Spatial Experiences on Personal Desirability of a Park Plan: Using Structural Equation Modeling—A Case Study of a Park near a Station in a Suburban City in Japan
 
 
Font Type:
Arial Georgia Verdana
Font Size:
Aa Aa Aa
Line Spacing:
Column Width:
Background:
Article

Spatial–Temporal Evolution and Influencing Mechanism of Coupling Coordination Level of Social–Ecological Systems in China’s Resource-Based Cities Under the Carbon Neutrality Goal

School of Public Administration, China University of Geosciences, Wuhan 430074, China
*
Author to whom correspondence should be addressed.
Land 2025, 14(1), 207; https://doi.org/10.3390/land14010207
Submission received: 18 December 2024 / Revised: 18 January 2025 / Accepted: 19 January 2025 / Published: 20 January 2025
(This article belongs to the Section Land Socio-Economic and Political Issues)

Abstract

Carbon emissions have a profound impact on the transformation goals and development paths of cities. In the context of carbon neutrality, it is of great significance to explore the coupling coordination level of the social–ecological systems in resource-based cities for realizing regional low-carbon and sustainable development. In this study, the entropy weighting method, coupling coordination degree model and geographical detector were used to measure the comprehensive development level and coupling coordination level of the social–ecological system in 116 resource-based cities in China from 2010 to 2020 and their spatial–temporal characteristics and influencing mechanism were analyzed. The results show the following: (1) The comprehensive development level of the social system in China’s resource-based cities has a significant upward trend, while the comprehensive development level of the ecological system has a gentle upward trend, and the coupling and coordination level of the social–ecological system has a fluctuating upward trend. (2) There is obvious spatial differentiation between the comprehensive development level and the coupling coordination level of the social–ecological systems in resource-based cities in China, and the relative difference is gradually increasing. (3) The digital economy index, urbanization level, science and education investment, and population density are important factors affecting the coupling coordination level, and the interaction between digital economy index, urbanization level, and population density has a strong explanatory power in the differentiation of the coupling coordination level. Based on the above conclusions, effective policy recommendations are put forward: formulate more refined and differentiated development paths, co-ordinate the spatial layout to give full play to the role of urban agglomeration, vigorously develop the digital economy, increase investment in science and education, rely on scientific and technological innovation to create development advantages, reasonably guide the population layout and take a new urbanization development route.

1. Introduction

How to explore the coupling coordination level and influencing mechanism of the social–ecological systems of resource-based cities in China in the context of carbon neutrality is an urgent problem to realize the green development path of resource-based cities and promote regional sustainable development. With the rapid economic growth, China has become the world’s largest carbon emitter, and resource-based cities, as China’s important strategic energy and resource guarantee bases, are characterized by high carbon emissions and the phenomenon of the “resource curse”. Therefore, the proposal of carbon a carbon-neutral target brings new challenges and opportunities for the transformation of resource-based cities [1].
In recent years, China has attached great importance to the transformation of resource-based cities, and has given them policy guidance in different contexts: in 2013, China issued a guidance document on the transformation of resource-based cities, which classified resource-based cities into four categories, growing, Mature, Recessionary and Regenerative resource-based cities, and provided guidance on the personalized development strategies of resource-based cities; in 2017, the National Development and Reform Commission (NDRC) issued guidance to guide resource-based cities to explore new economic development models based on their own resource endowments; in 2021, the State Council approved the “Fourteenth Five-Year Plan for Promoting High-Quality Development of Resource-Based Areas”, which put forward higher requirements for the transformation of resource-based cities, proposing to further improve the level of resource and energy utilization. It was proposed to further improve the level of resource and energy use, support the low-carbon, green, intelligent technological transformation and transformation and upgrading of resource-based enterprises, and do a good job in an orderly manner to reach the carbon peak carbon neutral work [2]. In summary, in the context of carbon neutrality, it is of great practical significance to carry out the research on social–ecological systems of resource-based cities, which is an important means to comprehensively grasp the system evolution law and connotation of resource-based cities, and also one of the effective paths to promoting the green development of resource-based cities.
Many researchers have described and analyzed the interaction between the natural environment and human society at various levels, including social system and ecological systems. Global environmental change has further highlighted the complex processes and mechanisms of human–land relations, and the interdependence and interaction of various system elements have been gradually discovered and valued by researchers, and the concept of the “social–ecological” system has been gradually formed [3]. At present, it is widely believed that the social–ecological system (SES) consists of social subsystems, ecological subsystems and the interaction between the two, and has different structures, functions and complex characteristics from a social system or ecosystem alone [4]. International scholars’ related research started earlier, covering many topics such as natural ecological systems [5], climate change [6], land use [7,8], governance and management policies [9,10], etc. Along with the increasing complexity of the role of social–ecological systems, related research has on the theoretical transformation and practical application of social–ecological systems. In recent years, theory-oriented analytical frameworks have focused more on the study of social–ecological systems as a holistic coupling framework for their evolutionary processes and integrated effects. At the level of theoretical transformation, Eppinga [11] proposed that, in order to promote the sustainable development of social–ecological systems, it is necessary to understand how climate and land-use changes caused by human behaviors can interfere with the interactions between human societies and the ecological system on which they depend; and based on the principles of management of complex social–ecological systems, Butler [12] proposed a generic framework of adaptive governance tailored to the characteristics of the restoration of natural environments. According to Oliveira [13], the social–ecological system perspective encompasses both social and environmental factors, and nonlinearities, feedback, modeling, and multilevel networks should be used to understand and study these phenomena. At the level of practical application, the analytical framework focuses more on the mechanisms and processes of interaction between the subsystems of the social–ecological system. Magarey [14] uses a model that integrates multiple capital stocks and flows to study the interactions between the social and ecological components of ecosystem services with the aim of understanding and assessing the sustainability of these systems. Martinez-Fernandez [15] uses socioecological modeling to understand the linkages between water, agriculture and rural systems; Gittins [16] explores the potential application of the socio–ecological framework in the field of ecological conservation as a tool to improve the sustainability and resilience of water resources; Colding [17] describes a new approach to urban ecological design that analyses the relationship between urban processes and urban form at the micro-level of the city, enabling city dwellers to experience social and ecological services directly.
Related research in China has focused on analyzing the structure and process of social–ecological systems from the perspectives of vulnerability [18,19], adaptability [20], resilience [21], and toughness [22] and then comprehensively investigated their spatial and temporal evolution and influencing mechanism. At the theoretical level, Chinese scholars’ research frameworks on social–ecological systems have gradually integrated with the theoretical connotations of the concepts of resilience, adaptability, and resilience so that they present the characteristics of multiple and complex systems. Song [23] constructed an assessment matrix of social–ecological system resilience in energy-rich areas in four stages: “prevention–buffer–recovery–adaptation”; Yang [24] argued that the integration of resilience and vulnerability assessment has become a new way to analyze the driving process of social–ecological system evolution and the mechanism of the response of fast and slow variables to system perturbations. At the practical application level, China’s social–ecological system research framework has constructed an evaluation system rich in regional characteristics, taking into full consideration the actual situation and development goals of the study area from both the time and spatial scales. For example, Huang [25] combined the socio–ecological system framework with the land use function theory and systematically constructed a comprehensive framework for the risk assessment of production–life–ecological spatial conflicts in terms of spatial patterns and governance dimensions. In recent years, China has begun to carry out a series of explorations for social–ecological systems in specific regions, and how to guarantee the coordinated development of social and ecological systems in resource-based cities has become a hot topic of academic concern in the context of the national situation in which the contradiction between economic development and ecological protection is gradually becoming severe. Zhang [26] found that the economic development and economic vitality of Huainan City had a positive impact on the development of social and ecological subsystems, respectively; Jiang [27] found that the integrated ecological–economic–social development of Yichun City had gone through a development process from ecology to economy, and then ecology as the main driving force; Zhao [28] conducted an empirical study on 24 coal resource-based cities in China, and believed that the coupling coordination of economic resilience and ecological carrying capacity is the core of the coal resource-based cities to realize urban economic transformation and coupling coordination of ecological environment, and is also the key to promote the innovative development of resource-based cities.
In conclusion, although the research on resource-based cities based on the “social–ecological” system has made some progress, the research on exploring the level of social–ecological system coupling and coordination and the promotion path of resource-based cities in the context of carbon neutrality is still in the initial stage. In this paper, we construct a social–ecological system evaluation index system for resource-based cities in the context of carbon neutrality, and analyze the coupling process and spatial–temporal differentiation law, so as to provide powerful support for resource-based cities to explore a more scientific and efficient green development path.

2. Materials and Methods

2.1. Study Area

Resource-based cities are types of cities in which the extraction and processing of natural resources, such as minerals and forests, are the dominant industries within the region. As resource-based cities rely mainly on natural resource extraction and processing in the early stage of development, their resource endowment advantages have strongly promoted regional economic growth. However, the high carbon emission development mode formed by the excessive reliance on resources gradually triggered a series of problems such as industrial structure disorders, resource wastage, and increased environmental pollution in resource-based cities, resulting in the lack of a sustainable development mechanism for resource-based cities, which has plunged them into the “resource curse” [29]. At present, a total of 262 cities of different levels in China are recognized as resource-based cities, including 126 prefecture-level administrative regions, accounting for about one-third of the number of prefecture-level cities in China. Due to the large number of resource-based cities and the large differences in the level of economic and social development, they face different conflicts and problems. Based on the differences in resource security capacity and sustainable development capacity, the National Sustainable Development Plan for resource-based cities (2013–2020) classifies resource-based cities into four types, namely, growing, mature, recessionary, and regenerative, and specifies the direction of development and key tasks for each type of city. Based on the National Sustainable Development Plan for resource-based cities (2013–2020) issued by the State Council in 2013, this study selects 116 prefecture-level resource-based cities, including 15 growing cities, 63 mature cities, 23 recessionary cities and 15 regenerative cities, to explore the spatial and temporal characteristics of their social–ecological systems under the context of carbon neutrality (Figure 1).

2.2. Establishment of Index System

In previous studies, the evaluation system of social–ecological systems in resource-based cities often involves indicators of economic development, people’s quality of life, natural ecological conditions and other aspects, thus reflecting the interaction between multiple systems in the city but ignoring the new problems faced by social–ecological systems in resource-based cities in the context of carbon neutrality. Under the background of carbon neutrality, the social–ecological system of resource-based cities presents an open system with multiple structures, complex content, and interaction and cooperation. On the one hand, the resource endowment and ecological environment of resource-based cities limit the level of economic development of resource-based cities [30]. On the other hand, the proposal of carbon neutrality puts forward new requirements for the transformation of resource-based cities, breaks the original path dependence of resource-based cities, and promotes the construction of low-carbon and clean industrial systems, thus causing a series of economic and social changes such as industrial structure [31]. Moreover, resource-based cities also need economic and technical input and support in changing energy use patterns and environmental governance [32]. Therefore, the social system also affects the ecological system changes of resource-based cities to a certain extent. This multi-complex coupling and coordination relationship reflects the green and sustainable development level of resource-based cities (Figure 2).
Based on the research of relevant scholars [33,34] and the coupling relationship between the development characteristics of resource-based cities and their social–ecological systems under the carbon neutrality goal, this paper constructs the comprehensive level evaluation index system of resource-based cities’ social–ecological systems in the context of carbon neutrality (Table 1). The development level of the social system of resource-based cities is represented by four criteria levels: economic scale, industrial structure, living standard and public service, and the development level of the ecological system of resource-based cities is represented by three criteria levels: resource endowment, ecological pressure and environmental governance.
For the social system, at the level of economic scale, GDP per capita reflects the overall affluence level of resource-based cities. Although there are differences in the production of different types of resource-based cities in different industries, the GDP per capita can reflect the results of the production activities of economic units in 11 industries, such as agriculture, forestry, animal husbandry, fishery, industry and finance, which is comprehensive and integrated, and thus can be applied to different types of resource-based cities. Total retail sales of consumer goods per capita and investment in fixed assets per capita reflect the strength of the economic driving force of resource-based cities. Among them, the total retail sales of consumer goods per capita reflect the consumption of physical commodities in the whole society, which can most directly and sensitively reflect the market vitality of resource-based cities, and the investment in fixed assets per capita can reflect the long-term investment made by resource-based cities for expanding the scale of production and improving the efficiency of production, which represents the potential of economic growth of resource-based cities. At the level of industrial structure, the ratio of the output value of the tertiary industry to that of the secondary industry is used as a measure of industrial structure advancement, which reflects the tendency of “service” in the economic structure of resource-based cities, with reference to the relevant research of Gan [35]. At the level of living standards, the per capita disposable income of urban residents and net income of rural residents are used to reflect the income level of urban residents and rural residents in resource-based cities, and the proportion of employed persons to the total population is used to reflect the employment situation in resource-based cities, taking into account the problem of unemployment caused by the industrial restructuring of resource-based cities. At the level of public services, the per capita general public budget expenditure is used to measure the government’s investment in providing basic services to the public, while the number of medical beds per 10,000 people and the number of books in libraries per 10,000 people are used to measure the level of medical security and the level of cultural facilities construction in resource-based cities, respectively.
With regard to ecological system, at the resource endowment level, since the production and development of all types of resource-based cities are closely related to resource exploitation, the resource security capacity of resource-based cities is reflected by the per capita gross industrial output value above designated scale and the per capita total water resources, taking into account the resource security status of resource-based cities as well as the demand for resource development. In addition, considering that the extractive industry can comprehensively and accurately include coal, petroleum, natural gas, metal and non-metallic mineral processing industry, timber harvesting and water production and supply, and other subsectors directly related to natural resources, the proportion of the extractive industry in the total number of employees can be used to preliminarily reflect the degree of natural resource dependence of the city [36]. Resource-based cities with a higher percentage of employees in extractive industries are more resource-dependent and have a relatively weaker ability to withstand external risks. At the level of ecological pressure, since the extraction of resources has caused a certain degree of ecological damage to resource-based cities, the industrial wastewater and industrial sulfur dioxide formed in the industrial production process, as well as carbon dioxide emissions per unit of GDP (carbon intensity), are used as indicators of ecological pressure. At the level of environmental governance, the proportion of investment in environmental pollution control to GDP and the proportion of expenditure on environmental protection to budgetary expenditure reflects the importance of how resource-based cities attach to ecological protection. Since resource-based cities rely on an industrial structure dominated by heavy industry, it is difficult for the government to regulate the economic structure; therefore, under the goal of carbon neutrality, carbon emissions trading, energy use rights trading and sewage rights trading, as sustainable market-based environmental regulatory instruments, can provide economic incentives for enterprises within the jurisdictions of resource-based cities while encouraging them to reduce environmental pollution and carbon emissions, and gradually become an important tool for resource-based cities to balance environmental governance and economic growth. Therefore, this study uses carbon emissions trading, energy-consuming right trading, and emissions trading to account for the total amount of market transactions, which, on the one hand, can reflect the demand for energy conservation and emission reduction in resource-based cities, and, at the same time, can also reflect its effectiveness in promoting the improvement of environmental quality and balancing the social–ecological system.

2.3. Data Resource

In this study, data were obtained from the China Statistical Yearbook for Regional Economy, China City Statistical Yearbook, statistical yearbooks of provinces and cities, national economic and social development bulletins and ecological and environmental conditions bulletins of cities, official websites of local governments and official data platforms. In the process of data selection, firstly, we made sure that the administrative level of the study area was the same to ensure the consistency and comparability of the collected data in different city samples. Secondly, we avoided selecting indicators with more missing data due to the fact that some resource-based cities have lagged in data release or have not disclosed certain data. In addition, we filled in some of the missing data through linear interpolation to ensure the timeliness and completeness of the available data. Finally, we ensured that all data were authoritative data released by government departments such as the National Bureau of Statistics and local government statistical offices.
The data for X1, X2, X3 and X4 are from the China Statistical Yearbook for Regional Economy and the China City Statistical Yearbook. The data for X5 and X6 are from the China Statistical Yearbook for Regional Economy and the National Economic and Social Development Bulletin of the cities. The data for X7, X8, X9 and X10 are from the China Statistical Yearbook for Regional Economy. The data for X11, X12 and X13 are from China City Statistical Yearbook and Statistical Yearbooks of cities. The data for X14 and X15 are from China City Statistical Yearbook. The data for X16, X17 and X18 are from Statistical Yearbooks of provinces and cities and Ecological and Environmental Conditions Bulletins of cities. The data for X19 are from Statistical Yearbooks of provinces and cities, the Carbon Emission Exchange Centre, the Environmental Resource Exchange Centre and the National Public Resource Trading Platform.

2.4. Model and Processing

2.4.1. Entropy Weighting Method

The entropy method can avoid the randomness of the subjective assignment method and solve the problem of overlapping information of multiple indicator variables. Firstly, all the indicators are standardized by the extreme difference method, and secondly, the indicators are assigned by the entropy value method. Calculate the weight p-ij of the j-th indicator of the i-th programme and the fiducial entropy of the j-th indicator; then calculate the coefficient of variation gj of the j-th indicator to obtain the weight matrix Wj.
p i j = X i j i = 1 m X i j i = 1 , 2 , , m ,   j = 1 , 2 , , n
e j = 1 ln m i = 1 m p i j ln p i j ;   g j = 1 e j  
W j = 1 e j j = 1 n 1 e j
Based on the standardized data and composite weights obtained, the comprehensive development level (Ut) of the social–ecological system in the resource-based city over the years was calculated using linear weights. According to the different systems of indicators, the comprehensive evaluation index U1 of the social system of China’s resource-based cities and the comprehensive evaluation index U2 of the ecological system can be calculated sequentially.
U t = i = 1 n W j X i j

2.4.2. Coupling Coordination Degree Model

The coupling degree function can reveal the intrinsic synergistic mechanism of interaction and mutual influence among multiple systems. Construct the coupling degree function C:
C = 2 × U 1 × U 2 U 1 + U 2 2 1 / 2    
Since the coupling degree function cannot determine whether the systems promote each other at a higher level or are closely connected at a lower level, this paper further introduces the coupling coordination degree function to reflect the degree of coordination between the systems. The formula is as follows:
D = C × T   ;   T = α U 1 + β U 2  
D denotes the social–ecological system coupling and coordination function of Chinese resource-based cities, and α and β denote the weights of the importance of social system and ecosystem. Referring to scholars’ investigations on the interaction mechanism of social systems and ecological systems [26,37], the social–ecological system is a composite system that depends on human behavior, resource flows, the natural environment and socio–cultural functioning. Therefore, from the perspective of coordinated economic, social and environmental development, the social–ecological system of resource-based cities is a composite system based on the mutual support, promotion and adjustment of social systems and ecosystems, and, through the efficient and coordinated coupling of the systems, it is possible to achieve optimization of the overall development of the region and a virtuous cycle. Therefore, this study considers the degree of contribution of social systems and ecosystems to the coordinated development of resource-based cities’ social–ecological systems to be equally important, so α and β are both taken as 1/2. Referring to related studies [38], the social–ecological coupling and coordination level of Chinese resource-based cities can be classified into five grades: D ∈ [0,0.2) denotes serious unbalance; D ∈ [0.2,0.4) denotes moderate unbalance; D ∈ [0.4,0.6) denotes basic coordination; D ∈ [0.6,0.8) denotes moderate coordination; and D ∈ [0.8,1) denotes high coordination.

2.4.3. Geographical Detector

The entropy method can avoid the randomness of the subjective assignment method and solve the problem of overlapping information of multiple indicator variables. Firstly, all the indicators are geographical detectors, as proposed by Wang [39], which are used to detect the variability of the spatial distribution of geographic things and explore its mechanism and contain four analysis modules: factor detector, risk detector, interaction detector and ecological detector. The factor detector mainly detects the spatial heterogeneity of the dependent variable and the degree of explanation of the spatial heterogeneity of the dependent variable by the respective variable, which is represented by the q-value, and the expression is as follows:
q = 1 h = 1 L H h δ h 2 N δ 2
The value of q ranges from 0 to 1, and, the closer it is to 1, the stronger the influence factor reveals the spatial differentiation pattern of the dependent variable; where N represents the number of resource-based cities, h is the number of classification of the influence factor, Nh represents the number of resource-based cities of type h, δ 2 represents the variance of the level of coupling and coordination of the social–ecological systems of China’s resource-based cities and δ h 2 represents the variance of the coupling and coordination level of the classification h.
Interaction detection firstly calculates the q-values of two factors X1 and X2 on the dependent variable Y, respectively, and then calculates the q-values of the two factors interacting and compares them with the q-values of their respective explanatory power of the dependent variable, in order to identify whether the interaction of the two factors enhances or attenuates the effect on the dependent variable. The intersection results include five types: nonlinear weakening, single-factor nonlinear weakening, double-factor enhancement, independence and nonlinear enhancement [40].

3. Results

3.1. Temporal Variation Characteristics

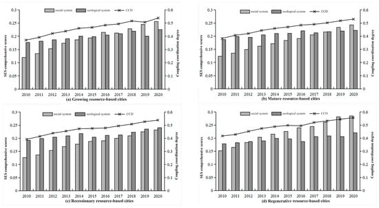
The weights of indicators and the comprehensive scores of social systems and ecological systems are calculated by the entropy weighting formula, and the average comprehensive scores of social systems of growing, mature, recessionary and regenerative cities are 0.192, 0.183, 0.182 and 0.223, respectively, and the average comprehensive scores of ecological system are 0.199, 0.209, 0.214 and 0.197, respectively. Figure 3a–d shows the time series changes of social–ecological system (SES) comprehensive scores and coupling coordination degree of growing, mature, recessionary, and regenerative resource-based cities, respectively. It can be seen that the comprehensive development level of the social–ecological systems of China’s resource-based cities, in general, shows an upward trend, in which the upward trend of the comprehensive development level of the social system is more obvious and the upward trend of the comprehensive development level of the ecosystem is more gentle. The average annual growth rates of the comprehensive social system scores of growing, mature, recessionary, and regenerative cities from 2010 to 2020 are 8.000%, 7.000%, 6.303% and 6.533%, respectively, and the average annual growth rates of the comprehensive ecosystem scores are 2.57%, 1.761%, 2.293%, and 2.229%.
This indicates that resource-based cities have generally made more significant achievements in economic development and social security in recent years, which is especially prominent in regenerative resource-based cities, but the overall level of resource-based cities, regardless of their type, still needs to be further improved. At the same time, all types of resource-based cities’ ecological systems are slow to improve, reflecting the ecosystem benefits of resource-based cities in the context of carbon neutrality.
Comparing the comprehensive score of the social system with the comprehensive score of the ecological system, it can be found that the comprehensive development level of social–ecological systems of different types of resource-based cities has different stages (Table 2). For growing resource-based cities, before 2016, the comprehensive development level of the social system is lower than the comprehensive development level of the ecological system, but the relative gap between the two systems’ comprehensive scores keeps narrowing; after 2016, the comprehensive development level of the social system starts to gradually surpass the level of the ecological system, and the gap shows an increasing trend, with the relative gap increasing from 0.01 in 2016 to 0.03 in 2020. For mature resource-based cities, from 2010 to 2018, the comprehensive development level of the social system was lower than that of the ecosystem, and the relative gap between the comprehensive scores of the two systems gradually narrowed from 0.063 in 2010 to 0.001 in 2018, and the comprehensive development level of the social system surpassed that of the ecosystem after 2019, with the relative gap reaching 0.001 by 2020. For recessionary resource-based cities, the comprehensive development level of the social system has been lower than the comprehensive development level of the ecosystem from 2010 to 2020, but its relative gap is gradually narrowing from 0.066 in 2010 to 0.008 in 2020. For regenerative resource-based cities, before 2013, the comprehensive development level of the social system is lower than the comprehensive development level of the ecological system, and the relative gap shrinks from 0.026 in 2010 to 0.003 in 2013; after 2013, the comprehensive development level of the social system exceeds the comprehensive development level of the ecological system, and the relative gap keeps increasing, from 0.013 in 2013 to 0.065.
As can be seen from Table 2, the development stages of growing resource-based cities and mature resource-based cities are similar, indicating that, although their early resource holdings were relatively abundant, with the increasing depletion of resources, the ecological system of growing and mature resource-based cities suffered from damage and insufficient ecological protection, and ecological system development gradually lagged behind. Recessionary resource-based cities, on the other hand, have insufficient economic development momentum and lagging social system development for a long time due to premature resource depletion, but, in recent years, recessionary resource-based cities have actively realized green transformation, injected new vitality into their social development, and narrowed the gap between their social system and ecosystem. Regenerative resource-based cities practiced the scientific development path of technological reform and transformation, and upgrading earlier than recessionary resource-based cities. Therefore, their social system development level surpassed the ecosystem earlier than other types of resource-based cities. The regenerative resource-based cities practiced the scientific development path of technological transformation and upgrading earlier than the recessionary cities and achieved more significant social benefits by relying on the new economic growth points, so the development level of their social systems surpassed the ecological system earlier than the other types of resource-based cities.
Through the coupling coordination degree model, the coupling coordination degree of social–ecological systems of growing, mature, recessionary and regenerative resource-based cities is measured, respectively, thus reflecting the coordinated development level of social–ecological systems of different types of resource-based cities. As can be seen from Figure 3, the average score of the social–ecological system coupling and coordination levels of growing, mature, recessionary and regenerative resource-based cities are 0.462, 0.464, 0.472, 0.491, respectively, the whole of which shows an upward trend of urgency and then slowness. Among them, the coupling and coordination levels of growing resource-based cities, mature resource-based cities, recessionary resource-based cities and regenerative resource-based cities increased by 25.835%, 22.710%, 21.152% and 19.443%, respectively, in 2015 compared with 2010, and increased by 15.22%, 12.687% and 13.289%, respectively, in 2020 compared with 2015, 11.687%, with average annual growth rates of 3.816%, 3.304%, 3.231% and 3.816%. Through the study of coupling coordination, it can be found that the coupling coordination level of resource-based cities’ social–ecological systems under carbon neutrality has shown a relatively rapid development under the support of the Plan and other policies, but is limited by its development path and development quality; the development momentum of the coupling coordination level has gradually slowed down in recent years, reflecting the fact that there is still a general problem of failing to scientifically integrate and balance the social benefits and ecological benefits.

3.2. Spatial Pattern Characteristics

ArcGIS 10.2 was used to map the spatial divergence of comprehensive scores and coupling coordination levels of social–ecological systems in resource-based cities in China, presenting the spatial trends of social–ecological systems in resource-based cities in 2010, 2015 and 2020, respectively, with a view to reflecting the spatial development of social–ecological systems in resource-based cities.
Figure 4 shows the spatial differentiation of the comprehensive development level of social systems (CDLSSs) in resource-based cities. As can be seen from Figure 4, the comprehensive development level of social systems in resource-based cities in China has evolved spatially from a generally low level with a small gap to a generally higher level with a wider gap, and the phenomenon of agglomeration has gradually appeared in the cities with a lower level and a higher level. In 2010, the development level of the social systems in China’s resource-based cities as a whole was at the lowest degree and the spatial differentiation was not obvious, and the only cities with a higher level of development were Baotou, Ordos, Dongying, Karamay and Panjin, where the resource possession was relatively rich. In 2015, the comprehensive development level of social systems in 31 cities, including Anshan, Benxi, Baoji and Fushun, was raised from its lowest degree to a lower degree, and cities in the medium degree and lower degree formed a trend of clustering on a small scale in the Northeast, Northwest, and Southeast regions. It is worth noting that relatively high-value aggregation areas are generally at the junction of provinces, such as Ordos, Yulin and Sanming, indicating that cities located at provincial junctions have a more convenient and developed geographic location, play the role of a bridge, and are susceptible to the radiation drive of neighboring cities. In 2020, with the further improvement of the integrated social system scores of resource-based cities in the low-level areas, the number of resource-based cities in the lowest degree declined to 29, the number of resource-based cities in the lower degree rose to 65, and the number of resource-based cities in the medium degree rose to 5. The relatively high-level area is gradually formed into a more continuous regional distribution from point to piece, such as from the middle of Gansu, the northern part of Shaanxi and the southern part of Inner Mongolia, which together form a relatively high-level area. Overall, the spatial characteristics of high-level areas are distributed in patches and low-level areas are distributed sporadically.
Figure 5 shows the spatial differentiation of the comprehensive development level of ecological systems (CDLESs) in resource-based cities. As can be seen from Figure 5, the comprehensive development level of ecological system in China’s resource-based cities shows the characteristics of overall level improvement and increasing spatial differences, and the spatial pattern changes in 2010, 2015 and 2020 are smaller than those of the comprehensive development level of the social system, which indicates that the ecological system improves with a lag relative to the improvement of the social system. In 2010, the overall comprehensive level of the ecological system in China’s resource-based cities was at the lowest degree and a lower degree, while it showed the initial characteristics of differentiation. The resource-based cities in the lower degree and medium degree are mainly concentrated in the northeast region represented by Hulunbeier, Yichun, Heihe, Hegang and Shuangyashan, and the southeast–southwest region represented by Nanping, Sanming, Longyan, Liupanshui and Lincang, indicating that these regions are relatively rich in resource endowment. It also shows that the ecological restoration work of some recessionary resource-based cities is more effective. In 2015, relatively high-value zones began to gradually form in the northwestern and eastern regions, and, in the northeastern region, the relatively high-value zones were further expanded, indicating that some growing and mature resource-based cities also began to use industrial upgrading and other means to pay attention to the improvement of ecological systems. In 2020, the comprehensive level of ecological systems in resource-based cities in the northwest and northeast, such as Wuwei, Baiyin, Pingliang, Heihe and Yichun, was raised to medium and higher levels, resulting in the formation of an extensive relatively high-value zone in the northwest and northeast regions, indicating that ecological system protection and enhancement has already formed a general consensus among resource-based cities in the northwest and northeast regions. Cities with low levels of integrated ecological system development are still concentrated in Henan and Shanxi provinces in the central region and are in a relatively low-value agglomeration compared with neighboring cities. This is due to the fact that Henan and Shanxi provinces, as coal resource provinces, have long relied on high-pollution and high-emission heavy industries, such as coal mining, which has led to slower energy conservation and emission reduction and ecological system restoration efforts.
Figure 6 shows the spatial differentiation of coupling coordination degree (CCD) of social–ecological systems in resource-based cities. As can be seen from Figure 6, the spatial distribution pattern of the coupling and coordination level of social–ecological systems in China’s resource-based cities generally shows a more obvious spatial aggregation feature. In 2010, the coupling and coordination level of most resource-based cities in the central region was seriously out of balance, and the coupling and coordination level of resource-based cities in the northeastern and southeastern regions was relatively high, reaching the basic coordination level, which puts the overall coupling and coordination level in a spatial pattern of low in the central region and high in the surrounding region. In 2015, as the coupling coordination level of resource-based cities such as Changzhi, Jinzhong, Yangquan, Taiyuan, Nanping and so on rose, a new region of relatively high value formed in the northeast, central and southwest regions, making the cities at the same coordination level further spatially dispersed, showing the characteristics of spatial heterogeneity. In 2020, Yichun, Jixi, Mudanjiang, Ordos, Zhangye and other resource-based cities further increased their coupling coordination level from basic coordination to moderate coordination, while Nanyang, Pingdingshan, Luzhou, Zigong, and Qujing increased their coupling coordination level from moderate unbalance to basic coordination so that the distribution of the relatively low values in 2020 gradually expanded compared with those in 2015, presenting a pattern similar to that in 2010, which entailed low coupling coordination in the middle and high coupling coordination around the periphery.

3.3. Analysis of Driving Mechanism

Based on related studies [41,42] and data availability, this paper selects six influencing factors, namely, digital economy index, population density, urbanization level, science and education investment, technological innovation and foreign trade dependence, and uses a geographical detector to investigate the driving mechanism of coupling and coordination level of social–ecological systems in resource-based cities in the context of carbon neutrality, as shown in Table 3. The following are the detailed explanations for each impact indicator:
(1)
The digital economy is a new type of economic form with digital information as the core production factor, supported by information technology, with the modern information network as the main carrier and digital technology to provide products or services [9]. It is an important path for resource-based cities to achieve carbon emission reduction by promoting the optimization and upgrading of the industrial structure of resource-based cities in terms of the development of informatization, the development of the Internet, and the development of digital transactions [43]. This study refers to the digital economy index (DEI) constructed by related scholars from the aspects of Internet development [43,44] and digital inclusive finance [45] to evaluate the comprehensive development level of the digital economy in resource-based cities.
(2)
Population density (PD) refers to the number of people per unit of land area, which is an important indicator of population distribution in resource-based cities. Although resource-based cities can drive urban development through the population agglomeration effect, an overly dense population will also form aggregation costs [46], which puts a burden on the social and ecological carrying capacity of resource-based cities.
(3)
The urbanization level (UL) is the degree of agglomeration of various production factors in the spatial scope of cities, representing the scale and level of construction of resource-based cities, and is measured by the ratio of the urban resident population to the total resident population of cities. The urbanization process is not only a process of continuous industrial and population agglomeration and rapid economic and social development, but also a process of large energy consumption and high concentration of carbon emissions [47].
(4)
Science and education investment (SEI) represents the proportion of education expenditure and science and technology expenditure in the general public budget expenditure of the government. With the increasingly prominent role of knowledge in economic and social development, the role of science and technology and education in contributing to regional economic and social development is gradually increasing [48]. This indicator reflects the importance that resource-based cities attach to education and science and technology and also relates to the talent pool and scientific and technological innovation capacity.
(5)
Technological innovation (TI) is represented by the number of patents granted per 10,000 people, which reflects the current ability of resource-based cities to transform scientific research results and is also a key step in whether resource-based cities can apply new technologies to actual production and promote the upgrading of industrial structure [49].
(6)
Foreign trade dependence (FTD) is measured by the proportion of the city’s actual utilization of foreign capital to GDP in that year, reflecting the degree of openness of resource-based cities. For resource-based cities that have difficulties in development transition, vigorously attracting foreign capital and applying it rationally not only helps to increase economic returns but also helps to introduce new technologies and provide a good foundation for green and sustainable development [50].

3.3.1. Factor Detection Results

In this paper, we use a geographical detector to detect and identify the influencing factors of the coupling and coordination level of social–ecological systems of resource-based cities in China from 2010 to 2020. The actual data of each influence factor in 2010, 2015 and 2020 are selected as independent variables, and the coupling coordination development level of the corresponding city is selected as the dependent variable so that the explanatory power q value of each influence factor can be obtained (Table 4).
According to the detection results, the influence of each influence factor on the social–ecological coupling and coordination level of resource-based cities is different in different years. From 2010 to 2020, the difference between the influencing factors shows a tendency to expand and the significance decreases, indicating that the differentiation of the coupling coordination level between different resource-based cities is gradually narrowing and the influencing mechanism is becoming more and more complex. Among them, in 2010, the digital economy index, urbanization level, science and education investment and population density were more important influencing factors. In 2015, the digital economy index and urbanization level were more important influencing factors. In 2020, the digital economy index was a more important influencing factor.
The digital economy index had a significant influence in 2010 (0.220), 2015 (0.245) and 2020 (0.251), and the degree of influence increased year by year, reflecting the key role of digital economy development for resource-based cities in enhancing the level of social–ecological coupling and coordination. On the one hand, the digital economy can accelerate the upgrading of the industrial chain, reduce the dependence of resource-based cities on heavy industry and achieve high-quality economic development in a greener and more low-carbon way. On the other hand, the digital economy promotes the flow of information factors, which, in turn, promotes the government to use digital governance to modernize its governance capacity, and ultimately reduces the differences in public services between regions and improves the level of social security.
The urbanization levels in 2010 (0.158) and 2015 (0.183) had a more significant impact, reflecting the promotion of urbanization for resource-based cities to play the economic agglomeration effect and improve the level of infrastructure construction, while the new road of urbanization proposed in 2012, which was intensive, intelligent, green and low-carbon, also had a positive impact on the social and ecological systems of resource-based cities in the context of carbon neutrality. However, the influence of urbanization level in 2020 is no longer significant and shows a downward trend (0.093). On the one hand, this is because resource-based cities are limited by their economic development potential and environmental carrying capacity, resulting in a general lag in urbanization level. On the other hand, excessive urbanization also puts pressure on the ecological environment of resource-based cities.
The influence of science and education investment and population density have similar change characteristics. The influence of science and education investment was stronger in 2010 (0.116) and 2015 (0.190), but there was a clear downward trend in 2020 (0.031), reflecting the fact that the influence of the heterogeneity of science and education investment on the coupling coordination among different resource-based cities is gradually shrinking with the increase in the emphasis and investment on education and science in most resource-based cities. Population density in 2010 had an explanatory strength of 0.108 with a significance level of 10%, indicating that many resource-based cities still relied on the old production mode in 2010, and population concentration can bring abundant human resources and economic effects to resource-based cities. In 2015 and 2020, the significance of the indicator of population density decreases, which, on the one hand, indicates that resource-based cities begin to reduce the influence of this indicator through industrial upgrading and other ways, and, on the other hand, reflects the fact that excessive population concentration will bring pressure to the social–ecological system of the city.

3.3.2. Interaction Detection Results

The results of the interaction detection analyses using six types of influence factors are shown in Figure 7. The results show that the interaction between any two factors is a nonlinear enhancement, indicating that the interaction of any two influencing factors has a greater effect on the coupling coordination level of social–ecological systems in resource-based cities than a single influencing factor. Therefore, the evolution of the coupling coordination level of social–ecological systems in resource-based cities in the context of carbon neutrality is the result of the joint action of multiple influencing factors. The higher the q value of the interaction, the greater the influence of the interaction between the two factors on the level of coupling coordination.
As shown in Figure 7, in 2010, the q-value of the interaction between the digital economy index and science and education investment was the largest (0.484), indicating that the interaction between the digital economy index and science and education investment played a dominant role in the spatial differentiation of the level of coupling and coordination, followed by the population density and the level of urbanization (0.477), and the digital economy index and the urbanization level (0.462). In 2015, the digital economy index had the largest q-value for the interaction with science and education investment (0.529), followed by the digital economy index and urbanization level (0.483), and the digital economy index and population density (0.477). In 2020, the q-value for the interaction between the digital economy index and science and technology innovation was the largest (0.468), followed by the digital economy index and urbanization level (0.436), and the digital economy index and population density (0.436).
From the results of the interaction detection, it can be seen that the q value of the interaction between the digital economy index and urbanization level, science and education investment, and population density are all higher (q > 0.4), which not only indicates that the digital economy index has a stronger single-factor explanatory power for the level of coupling and coordination, but also reflects the fact that there is also a stronger interaction between the digital economy and the other factors, which work together with a multi-system and complex mechanism in the social–ecological system of resource-based cities. The high level of interaction of the urbanization level with the population density and digital economy index also indicates the importance of the new urbanization path characterized by urban–rural integration, industry–city interaction, and harmonious development for the enhancement of the coupling coordination level of the social–ecological system in resource-based cities. In 2020, the interaction between the digital economy index and scientific and technological innovation reached 0.468, which is more of an illustration of the importance of combining the achievements of science and technology innovation with the digital economy in a new direction for the low-carbon development path of resource-based cities in the future.

4. Discussions

Exploring the spatial–temporal characteristics and influencing mechanism of the coupling and coordination development level of social–ecological systems in resource-based cities is of far-reaching significance for promoting the transformation of resource-based cities, achieving the goal of carbon neutrality and the sustainable development of the region in a low-carbon way. The results of empirical analyses show that, in terms of temporal changes, the integrated development levels of social systems and ecosystems of different types of resource-based cities show different development trends in different time periods, and the coupled coordination level shows a fluctuating upward trend. Liu [37] found that the development of ecological and social systems in Erdos, a resource-based city in China, lagged behind the development of economic subsystems and that the level of coupling and coordination among the three systems was slowing down after a rapid growth trend. Guo [51] explored the performance of green transition and the evolution of coupled coordination development characteristics of Jinzhong city, a resource-based city in China, based on four subsystems, economic, social, resource, and ecological, and found that the level of coupled coordination generally showed an upward trend, but was constrained by the influence of the stage of shortcomings in the four-dimensional system. Based on these similar stage characteristics, scholars also proposed an analysis based on the current situation of the study area, that is, the sustainable development of resource-based cities is often limited by the economic structure dominated by heavy industry, and many resource-based cities are still attempting to carry out industrial structural adjustment, which has not yet played a new supportive role for the local economy [52], while the ecosystems are made stagnant by the environmental impacts caused by the resource development and are not able to provide sufficient support for the economic and social system development, and thus exhibit the characteristic of lagging behind the social system. This is also consistent with the conclusion in this study that the development level of social systems in declining resource-based cities lags behind that of ecosystems for a long period of time, and that the development level of ecosystems in growing, mature, and regenerating resource-based cities gradually lags behind that of social systems.
In terms of spatial pattern, this study found that the phenomenon of spatial aggregation gradually appeared in Chinese resource-based cities with higher and lower levels of socioeconomic system and ecosystem development, and the level of coupling coordination showed the spatial characteristics of high in the central region and low in the peripheral regions. The evolution of this spatial feature is also corroborated in related studies, for example, Su [53] found that the multidimensional socioeconomic development level of resource-based cities has a large difference in spatial distribution, and the regional spatial aggregation feature is more significant. Among them, the fast-developing cities are concentrated in the central and southeastern regions, and the slow-developing regions are in the northeast. Dou [54] measured the coupled and coordinated development level of production systems, living systems and ecosystems in resource-based cities in China, and found that the overall distribution characteristics of smaller fluctuations in the southwest region, faster rises in the northwest region, smaller variations in the east region, and the greatest ups and downs in the northeast were evident. This spatial pattern of divergence indicates that the level of social–ecological coupling in resource-based cities is not only affected by the regional ecological and environmental capacity but also relates to national strategies [55].
In terms of influencing mechanism, this study detects several factors that have the most significant influence on the social–ecological system of resource-based cities and finds that the digital economy index, urbanization level, science and education investment and population density are the more important influences that affect the level of social–ecological system coupling and coordination of resource-based cities, which is in line with the conclusions of the existing studies. Xu [56] found that the digital economy has an inhibiting effect on the ‘resource curse’ of Chinese resource-based cities and can effectively promote the transformation of traditional industries from low-end to high-end in resource-based cities. Yang [57] explored the influencing factors affecting the coupled and coordinated development of cities in the Yangtze River Economic Belt and found that the digital economy, the aggregation of innovative talents, and the level of marketization can significantly and positively promote the level of urban synergy. Zhu [58] measured the direction of industrial transformation and influencing factors of resource-based cities and found that the population ratio has a highly significant positive effect on the industrial transformation and upgrading of resource-based cities. Compared with existing studies, this study simultaneously considered the influence of spatial heterogeneity and the interaction between different factors on the level of coupled coordination, which made the influencing mechanism more complete.
The limitations of this study and directions for future improvement are as follows: (1) In terms of research scales, this study uses city data, and the results focus on the macro levels, lacking research on the micro-scale. In addition, the measurement results of this study are based on Chinese resource-based cities and have limited applicability to other countries. In future research, the study area can be subdivided to strengthen the study of the micro-scale, such as the study of county, community or village social–ecological systems. Secondly, the relevant characteristics and practical experiences of resource-rich areas in other countries should be used to construct a research framework with stronger universality for the level of coupled social–ecological system coordination in resource-based cities. (2) In terms of research content, the theoretical basis and analytical framework involved in resource-based cities’ social–ecological systems in this study should be more diversified. In future research, we should focus on integrating the concepts of multidisciplinary fields such as performance management, integrated governance and carrying capacity into the analytical framework of urban social–ecological systems so that the analytical framework can reflect the complexity of urban social–ecological systems in a more comprehensive and systematic way. (3) In terms of research methodology, this study relies on historical data and lacks dynamic prediction of future development scenarios of resource-based cities’ social–ecological levels, which is not conducive to the government’s decision-making based on the assessment results. Future research should consider broadening data source channels through machine learning, data mining and other technologies to improve the timeliness and accuracy of social–ecological system data. At the same time, the coupled social–ecological system coordination level of resource-based cities under different scenarios can be predicted through the scenario simulation method to provide a more comprehensive and dynamic perspective for the government to make decisions.

5. Conclusions and Recommendations

5.1. Main Conclusions

This study constructed an evaluation index system for the comprehensive level of social–ecological systems of resource-based cities in the context of carbon neutrality and used the entropy method, the coupling coordination model and geographical detector to measure the comprehensive development and the coupling coordination level of social–ecological systems in 116 resource-based cities in China, and to analyze their spatial–temporal characteristics and influencing mechanism. The results show the following:
(1)
In terms of temporal variation, the comprehensive development level of social–ecological systems and the level of coupling coordination in resource-based cities in China have generally shown an upward trend, but the trend of change has been phased. Among them, the upward trend of the comprehensive development level of social systems is more obvious than that of ecological systems, showing two stage characteristics: social system lagging and ecosystem lagging.
(2)
In terms of spatial patterns, the comprehensive development level of social–ecological systems in China’s resource-based cities is characterized by an overall increase in level and an increase in spatial differences. The coupling coordination level changes from low level in the central region and high level in the neighboring regions to a pattern of sporadic distribution of low level cities and aggregation of high level cities, and as the level of some of the cities rises, it again shows the characteristics of low level in the central region and high level in the neighboring regions.
(3)
In terms of the driving mechanism analysis, the digital economy index, urbanization level, science and education investment, and population density are the more important influencing factors affecting the coupling coordination level of social–ecological systems in resource-based cities. In addition, the interaction between digital economy index and urbanization level, science and education investment, population density, and the interaction between urbanization level and population density have strong explanatory power on the coupling coordination level.

5.2. Policy Recommendations

Based on the conclusions of this study, the following recommendations are put forward on how to improve the level of comprehensive development and coupling coordination of social–ecological systems in resource-based cities in the context of carbon neutrality:
(1)
Formulate more refined and differentiated development paths for different types of resource-based cities. From the time series analysis, it can be seen that there are stages in the comprehensive development level and coupling coordination level of social–ecological systems in growing, mature, recessionary and regenerative resource-based cities. Among them, growing and mature resource-based cities need to pay attention to the accumulation of their resource endowments, accelerate the transformation of the economic development mode and not neglect ecological protection and ecological restoration while creating economic effects so as to enhance the comprehensive development level of the relatively lagging ecological systems. Recessionary resource-based cities should continue to stabilize the comprehensive development level of social systems, constantly explore new economic growth models and promote the coordinated development of social systems and ecological systems. The relative gap between the development levels of social systems and ecological systems in regenerative resource-based cities is gradually widening, indicating that regenerative cities need to pay further attention to the enhancement of their ecological systems and drive the development of ecological systems with green and efficient economic growth.
(2)
Coordinate the spatial layout to give full play to the role of urban agglomeration and guide the multi-level synergistic development of resource-based cities. As can be seen from the spatial pattern, there is a certain clustering effect in the level of comprehensive development of social systems and ecological systems and the level of coupling coordination in resource-based cities. For low-value agglomeration areas, such as cities in the central region with a low coupling coordination level, the clustering effect should be brought into full play, and good interaction between their social–ecological systems should be promoted through resource sharing and other modes. For high-value agglomerations, such as those in the eastern and northeastern regions, it is necessary to actively exert the “Matthew effect” to drive the development of neighboring resource-based cities. For cities at the junction of low-value and high-value zones, such as Ordos, Yulin and Sanming, the role of “industrial corridors” should be fully utilized to reduce the relative differences between high-value and low-value zones.
(3)
Vigorously develop the digital economy and break down the barriers to urban development. As shown by the driving mechanism, the digital economy index has high explanatory power both in factor detection and interaction detection, which fully indicates that the digital industry, in the context of carbon neutrality, has gradually become an important force in reshaping the economic and social system of resource-based cities. Resource-based cities should accelerate the development of a digital economy to reduce ineffective economic activities and resource consumption caused by communication barriers and information asymmetry so as to create a low-carbon and high-quality development path.
(4)
Increase investment in science and education and rely on scientific and technological innovation to create development advantages. From the results of factor detection and interaction analysis, it can be seen that the two factors of science and education investment and scientific and technological innovation also have certain explanatory power for the social–ecological system of resource-based cities. Firstly, with the loss of labor due to population contraction and the shift in the economic structure under the carbon-neutral target, resource-based cities urgently need to further increase the skilled and innovative proportion of the population to meet the requirements of high-quality development of resource-based cities. Education expenditure can create more industry elites for resource-based cities, which can strongly support the major industries and social development of resource-based cities under the background of carbon neutrality. Secondly, scientific inputs can innovate the economic development model so that resource-based cities can gradually do away with resource dependence and accelerate the transformation of economic development dynamics. In 2020, the explanatory power of scientific and technological innovation in both the factor detection results and interaction analyses rose sharply, which indicates that scientific and technological innovation has become a direction that needs to be vigorously developed in order to enhance the coupling coordination level of social–ecological systems in resource-based cities. Resource-based cities should further integrate regional innovation resources, endeavor to form breakthroughs in key areas such as critical technologies and industrial chain security, enhance their innovation capacity and provide talents for upgrading the coupling and coordination level of social–ecological systems in resource-based cities.
(5)
Reasonably guide the population layout and take a new urbanization development route. As can be seen from the results of factor detection, the explanatory power of population density has always been high, indicating that population aggregation can provide sufficient human resources and mega-markets for resource-based cities’ resource development and production, which ensures the vitality of economic development. However, on the other hand, we should also note the overall impact of China’s demographic changes on resource-based cities. Currently, China’s population shows two important features: the total population of China is close to its peak and will remain on a downward trend for a longer period of time, and the regional distribution of the population shows a tendency to flow from low-density, low-productivity areas to high-density, high-productivity areas. Therefore, most resource-based cities, especially recessionary resource-based cities, are likely to experience population contraction in the future along with weakened economic vitality, reduced employment opportunities and declining urban livability resulting from the industrial recession, which will further exacerbate the social–ecological system imbalance of resource-based cities and make it difficult to provide the transformational impetus for resource-based transformation. Therefore, the resource-based government should reasonably guide the population layout and introduce supporting population support policies in the future to guide the gradual transfer of population from higher-density cities to lower-density cities, which can strongly promote the sustainable development of resource-based cities. The government should also be aware that the population contraction in resource-based cities leads to a demographic structure that tends to age as it does, so promoting the equalization of basic public services in resource-based cities and improving social security initiatives for the aging population are also important measures to improve the development of the social system in resource-based cities. The interaction analysis shows that the interaction of urbanization level with population density and digital economy index is at a high value, indicating that resource-based cities should not blindly increase the urbanization level. Resource-based cities should steadily implement new urbanization from the population and economic levels and solve the problem of renewal by upgrading and functional re-engineering of resource-based cities themselves through the mutual promotion of population quality, industrial standard and urbanization level so as to enhance the coupling and coordination of social–ecological systems in resource-based cities.

Author Contributions

Conceptualization, Y.Z. and Z.W.; methodology, Z.W.; software, Y.Z.; validation, Y.Z., Z.W. and Y.P.; formal analysis, Y.Z.; investigation, Y.Z.; resources, Z.W.; data curation, Y.Z. and W.W.; writing—original draft preparation, Y.Z.; writing—review and editing, Y.P., W.W. and C.T.; visualization, Y.Z. and C.T.; supervision, Z.W.; project administration, Z.W.; funding acquisition, Z.W. All authors have read and agreed to the published version of the manuscript.

Funding

This research was funded by the National Social Science Fund of China, grant number No. 23BGL248.

Data Availability Statement

Data will be made available on request. The data are not publicly available due to privacy.

Conflicts of Interest

The authors declare no conflict of interest.

References

  1. Zhang, Z.X.; Song, M. New Challenges and Opportunities for the Transformation of Resource-based Cities against the Backdrop of Carbon Neutrality. Governance 2022, 6, 47–51. (In Chinese) [Google Scholar]
  2. Wu, K.; Zhang, W.Z.; Zhang, P.Y.; Xue, B.; An, S.W.; Shao, S.; Long, Y.; Liu, Y.J.; Tao, A.J.; Hong, H. High-quality development of resource-based cities in China: Dilemmas and breakthroughs. J. Nat. Resour. 2023, 38, 1–21. (In Chinese) [Google Scholar] [CrossRef]
  3. Wang, H.; Zhang, D.N.; Hua, Y.; Zhao, Y.H.; Wang, Z.Y.; Wu, J.S. Social-ecosystem: Research situation, thematic evolution and regional practice. Acta Ecol. Sin. 2023, 43, 6499–6513. (In Chinese) [Google Scholar]
  4. Song, S.; Wang, S.; Fu, B.J.; Chen, H.B.; Liu, Y.X.; Zhao, W.W. Study on adaptive governance of social-ecological system: Progress and prospect. Acta Geogr. Sin. 2019, 74, 2401–2410. (In Chinese) [Google Scholar]
  5. Huggins, X.; Gleeson, T.; Castilla-Rho, J.; Holley, C.; Re, V.; Famiglietti, J.S. Groundwater Connections and Sustainability in Social-Ecological Systems. Ground Water 2023, 61, 463–478. [Google Scholar] [CrossRef] [PubMed]
  6. Adams, S. The pragmatic holism of social-ecological systems theory: Explaining adaptive capacity in a changing climate. Prog. Hum. Geogr. 2021, 45, 1580–1600. [Google Scholar] [CrossRef]
  7. Deslatte, A.; Szmigiel-Rawska, K.; Tavares, A.F.; Slawska, J.; Karsznia, I.; Lukomska, J. Land use institutions and social-ecological systems: A spatial analysis of local landscape changes in Poland. Land Use Policy 2022, 114, 105937. [Google Scholar] [CrossRef]
  8. Itzkin, A.; Scholes, M.C.; Clifford-Holmes, J.K.; Rowntree, K.; van der Waal, B.; Coetzer, K. A Social-Ecological Systems Understanding of Drivers of Degradation in the Tsitsa River Catchment to Inform Sustainable Land Management. Sustainability 2021, 13, 516. [Google Scholar] [CrossRef]
  9. Edwards, P.; Sharma-Wallace, L.; Wreford, A.; Holt, L.; Cradock-Henry, N.A.; Flood, S.; Velarde, S.J. Tools for adaptive governance for complex social-ecological systems: A review of role-playing-games as serious games at the community-policy interface. Environ. Res. Lett. 2019, 14, 113002. [Google Scholar] [CrossRef]
  10. Taghilou, A.A. A framework resilient social-ecological system (SES) for groundwater governance and public and private rights. Groundw. Sustain. Dev. 2022, 18, 100788. [Google Scholar] [CrossRef]
  11. Eppinga, M.B.; de Boer, H.J.; Reader, M.O.; Anderies, J.M.; Santos, M.J. Environmental change and ecosystem functioning drive transitions in social-ecological systems: A stylized modelling approach. Ecol. Econ. 2023, 211, 107861. [Google Scholar] [CrossRef]
  12. Butler, J.R.A.; Marzano, M.; Pettorelli, N.; Durant, S.M.; du Toit, J.T.; Young, J.C. Decision-Making for Rewilding: An Adaptive Governance Framework for Social-Ecological Complexity. Front. Conserv. Sci. 2021, 2, 681545. [Google Scholar] [CrossRef]
  13. Oliveira, B.M.; Boumans, R.; Fath, B.D.; Harari, J. Socio-ecological systems modelling of coastal urban area under a changing climate—Case study for Ubatuba, Brazil. Ecol. Model. 2022, 468, 109953. [Google Scholar] [CrossRef]
  14. Martinez-Fernandez, J.; Perez-Ibarra, I.; Banos-Gonzalez, I.; Angel Esteve-Selma, M. Social-ecological systems modelling to understand the linkages between water, agriculture and rural systems. Ecol. Model. 2023, 482, 110375. [Google Scholar] [CrossRef]
  15. Magarey, R.D.; Chappell, T.M. A model that integrates stocks and flows of multi-capitals for understanding and assessing the sustainability of social-ecological systems. Sustain. Sci. 2024. [Google Scholar] [CrossRef]
  16. Gittins, J.R.; Hemingway, J.R.; Dajka, J. How a water-resources crisis highlights social-ecological disconnects. Water Res. 2021, 194, 116937. [Google Scholar] [CrossRef]
  17. Colding, J.; Samuelsson, K.; Marcus, L.; Gren, A.; Legeby, A.; Pont, M.B.; Barthel, S. Frontiers in Social-Ecological Urbanism. Land 2022, 11, 929. [Google Scholar] [CrossRef]
  18. Ren, G.P.; Liu, L.M.; Li, H.Q.; Yi, G. Study on Spatial-temporal Collocation of Integrated Territory Consolidation Based on Rural Social-ecological System Vulnerability. J. Ecol. Rural. Environ. 2021, 37, 1318–1330. (In Chinese) [Google Scholar]
  19. Xiong, C.S.; Hu, Y.Y.; Zhou, T.X.; Tan, R.; Zhang, Y.L. Impact of provincial infrastructure investment on the vulnerability of social-ecological system in China. Chin. J. Appl. Ecol. 2022, 33, 1395–1404. (In Chinese) [Google Scholar]
  20. Li, K.X.; Hu, H.; Zhao, H.M. Evolution analysis of regional social-ecological systems based on adaptive cycle theory and Pressure-State-Response framework. Acta Ecol. Sin. 2022, 42, 10164–10179. (In Chinese) [Google Scholar]
  21. Hu, M.M.; Zhang, J.M.; Huang, J.L.; Zhao, B.; Cheng, G.Q. Study on Evaluation and Driver of Socio-Ecological System Resilience in Ordos. Res. Soiland Water Conserv. 2017, 24, 191–197. (In Chinese) [Google Scholar]
  22. Liu, Z.M.; Ye, C. A logical framework of rural-urban governance from the perspective of social-ecological resilience. Prog. Geogr. 2021, 40, 95–103. (In Chinese) [Google Scholar] [CrossRef]
  23. Song, Y.Y.; Zhang, X.Y.; Ma, B.B.; Xue, D.Q. Assessment of social-ecological system resilience for SDGs in energy-rich areas. Resour. Sci. 2024, 46, 1807–1821.22. (In Chinese) [Google Scholar]
  24. Yang, X.J.; Wen, X.J.; Chen, J. The integration of vulnerability and resilience: Research transformation and challenges of sustainability of social-ecological systems. Hum. Geogr. 2024, 39, 21–30. (In Chinese) [Google Scholar]
  25. Huang, A.; Wang, Y.; Xiang, Y.; Xu, Y.; Tian, L.; Zhou, G.; Zhuang, Y.; Zhu, L. A comprehensive framework for assessing spatial conflicts risk: A case study of production-living-ecological spaces based on social-ecological system framework. Habitat Int. 2024, 154, 103218. [Google Scholar] [CrossRef]
  26. Zhang, Q.; Zhen, L.G.; Liu, H.; Cheng, Y. Analysis on the coordinated development of ecology-economy-society in coal resource cities: A case study of Huainan, China. Chin. J. Appl. Ecol. Acta Ecol. Sin. 2019, 30, 4313–4322. (In Chinese) [Google Scholar]
  27. Jiang, Y.X.; Wu, X.L. Quantitative investigation of the coordinated development of ecology-economy-society in forest resource-based city: A case study of Yichun, Heilongjiang Province. Acta Ecol. Sin. 2021, 41, 8396–8407. (In Chinese) [Google Scholar]
  28. Zhao, H.M.; Sui, Q. Research on the coupling coordination of economic resilience and ecological carrying capacity of resource-based cities. Coal Econ. Res. 2022, 42, 37–43. (In Chinese) [Google Scholar]
  29. Zhang, Y.; Zhen, H.Y.; Ge, L.M. The Impact of Sustainable Development Policy of Resource based Cities on Carbon Emissions. J. Financ. Econ. 2022, 48, 49–63. (In Chinese) [Google Scholar]
  30. Chen, Y.; Wang, H. Industrial Structure, Environmental Pressure and Ecological Resilience of Resource-Based Cities-Based on Panel Data of 24 Prefecture-Level Cities in China. Front. Environ. Sci. 2022, 10, 885976. [Google Scholar] [CrossRef]
  31. Li, Z.; Cai, Y.; Lin, G. Pathways for sustainable municipal energy systems transition: A case study of Tangshan, a resource-based city in China. J. Clean. Prod. 2022, 330, 129835. [Google Scholar] [CrossRef]
  32. Pang, B.; Li, X.; Fu, Y. Coupling coordination analysis and obstacle factors of water-energy-environment-economy in the Yellow River Basin. J. Clean. Prod. 2024, 468, 143108. [Google Scholar] [CrossRef]
  33. Li, W.H.; Li, N. Natural Resources Endowment, Market Allocation and Industrial Structure Transformation: Empirical Evidence from 116 Resource-based Cities. Mod. Econ. Res. 2021, 8, 52–63. (In Chinese) [Google Scholar]
  34. Xiao, T.Q.; Zhao, Z.Y. Spatial-Temporal Evolution of the Coupling Coordination of “Production-Living-Ecology” Functions in Central Plains Urban Group and Its Influencing Factor. J. Anhui Agric. Univ. (Soc. Sci. Ed.) 2023, 32, 46–54. (In Chinese) [Google Scholar]
  35. Gan, C.H.; Zhen, R.G.; Yu, D.F. An Empirical Study on the Effects of Industrial Structure on Economic Growth and Fluctuations in China. Econ. Res. J. 2011, 46, 4–16. (In Chinese) [Google Scholar]
  36. Li, H.; Zou, Q. Environmental Regulations, Resource Endowments and Urban Industry Transformation: Comparative Analysis of Resource-based and Non-resource-based Cities. Econ. Res. J. 2018, 53, 182–198. (In Chinese) [Google Scholar]
  37. Liu, X.; Liu, H.; Su, L.J. Analysis on the coordinated development of ecology-economy-society based on AHP-entropy weight method in coal resource cities: A case study of Ordos City. Ecol. Sci. 2023, 42, 213–224. (In Chinese) [Google Scholar]
  38. Wei, C.; Hou, G.L. Study on Characteristics and Optimization of Territorial Space of Central Plains Urban Agglomeration Based on Functional Evaluation of “Production-Ecological-Living Spaces”. J. Nat. Sci. Hunan Norm. Univ. 2020, 43, 18–26. (In Chinese) [Google Scholar]
  39. Wang, J.F.; Li, X.H.; Christakos, G.; Liao, Y.L.; Zhang, T.; Gu, X.; Zheng, X.Y. Geographical detectors-based health risk assessment and its application in the neural tube defects study of the Heshun region, China. Int. J. Geogr. Inf. Sci. 2010, 24, 107–127. [Google Scholar] [CrossRef]
  40. Yan, N.; Zhang, J.; Xia, B.; Li, S.H.; Yang, W. How can the natural background and ecological & environment promote the green and sustainable development of Chinese tourist attractions? Ecol. Indic. 2024, 169, 112813. [Google Scholar]
  41. Wang, S.J.; Huang, Y.Y. Spatial spillover effect and driving forces of carbon emission intensity at city level in China. Acta Geogr. Sin. 2019, 74, 1131–1148. (In Chinese) [Google Scholar] [CrossRef]
  42. Ma, H.T.; Lu, S.; Zhang, W.Z. Coupling process and mechanism of urbanization and innovation in Beijing-Tianjin-Hebei Urban Agglomeration. Geogr. Res. 2020, 39, 303–318. (In Chinese) [Google Scholar]
  43. Liu, J.; Yang, Y.J.; Zhang, S.F. Research on the measurement and driving factors of China’s digital economy. Shanghai J. Econ. 2020, 6, 81–96. (In Chinese) [Google Scholar]
  44. Huang, Q.H.; Yu, Y.Z.; Zhang, S.L. Internet development and productivity growth in manufacturing industry: Internal mechanism and China experiences. China Ind. Econ. 2019, 8, 5–23.43. (In Chinese) [Google Scholar]
  45. Zhao, T.; Zhang, Z.; Liang, S.Q. Digital economy, entrepreneurship, and high-quality economic development: Empirical evidence from urban China. J. Manag. World 2020, 36, 65–76.43. (In Chinese) [Google Scholar]
  46. Zhang, M.D.; Xi, S.J. Evaluation of carbon emission efficiency of resource-based cities and its policy enlightenment. J. Nat. Resour. 2023, 38, 220–237. (In Chinese) [Google Scholar] [CrossRef]
  47. Liu, L.J. On the Spatial Effects and Transmission Mechanism of China’s Urbanization Rate Affecting the Total-factor Carbon Emission Efficiency. J. Yunnan Norm. Univ. (Humanit. Soc. Sci. Ed.) 2023, 55, 114–125. (In Chinese) [Google Scholar]
  48. Su, Y. Cross-spectrum Analysis on the Input of Science & Education and Regional Economic Growth. Sci. Technol. Prog. Policy 2010, 27, 26–29. (In Chinese) [Google Scholar]
  49. Chen, X.; Zhang, X.A.; Wang, Y.B. The path and mechanism of digital technology innovation empowering urban low-carbon transformation. Sci. Technol. Prog. Policy 2024, 41, 41–51. (In Chinese) [Google Scholar]
  50. Sun, X.M.; Yan, S. The driving path for low-carbon transformation of resource-dependent cities under the TOE framework: An fsQCA research based on 108 resource-dependent cities in China. Sci. Technol. Prog. Policy 2023, 40, 72–81. (In Chinese) [Google Scholar]
  51. Guo, X.J.; Qiao, Y.; Zhou, J.J.; Wang, R.X. Green Transformation and Coupled Coordinated Evolution of Resource-based Cities in Yellow River Basin—Taking Jinzhong City of Shanxi Province, China as an Example. J. Earth Sci. Environ. 2024, 1–14. (In Chinese) [Google Scholar] [CrossRef]
  52. Peng, H.F.; Long, F.; Ge, C.Z.; Duan, X.M.; Bi, F.F. Research on the coupled and coordinated development of economy-environment carbon emission in forestry resource-based city under the goal of carbon peaking and carbon neutrality: A case study of Yichun City. J. Environ. Eng. Technol. 2023, 13, 1771–1778. (In Chinese) [Google Scholar]
  53. Su, Y.; Li, J.; Yin, S.; Yue, J.; Jiang, Z.; Ma, T.; Han, Z. Spatial and Temporal Variation Characteristics and Driving Mechanisms of Multidimensional Socio-Economic Development Levels in Resource-Based Cities. Sustainability 2023, 15, 1573. [Google Scholar] [CrossRef]
  54. Dou, R.Y.; Zhang, S.L.; Liu, X.M. Spatial and temporal diversity patterns and influencing factors in “production system-life system-ecosystem” coupled coordination in resource-based cities in China. J. Beijing Norm. Univ. (Nat. Sci.) 2021, 57, 363–371. (In Chinese) [Google Scholar]
  55. Fang, J.; Luo, A.M.; Shi, L.N.; Ding, J.M.; Wu, X.Y.; Wen, Q. Spatial-temporal pattern and influencing factors of transformation efficiency of resource based cities: A case study in Shaanxi-Gansu-Ningxia energy rich area. J. Earth Environ. 2023, 14, 763–773. (In Chinese) [Google Scholar]
  56. Xu, X.; Cai, H. The impacts on regional “resource curse” by digital economy: Based on panel data analysis of 262 resource-based cities in China. Resour. Policy 2024, 95, 105152. [Google Scholar] [CrossRef]
  57. Yang, X.; Ran, G. Factors influencing the coupled and coordinated development of cities in the Yangtze River Economic Belt: A focus on carbon reduction, pollution control, greening, and growth. J. Environ. Manag. 2024, 370, 122499. [Google Scholar] [CrossRef]
  58. Zhu, S.; Li, J.; Yin, S.Q. Study on the development status, problems and transformation strategy of resource-based cities in Liaoning Province. China Min. Mag. 2023, 32, 47–57. (In Chinese) [Google Scholar]
Figure 1. Study area.
Figure 1. Study area.
Land 14 00207 g001
Figure 2. Mechanisms of social–ecological system interactions in the context of carbon neutrality.
Figure 2. Mechanisms of social–ecological system interactions in the context of carbon neutrality.
Land 14 00207 g002
Figure 3. The temporal variation of the comprehensive score and coupling coordination level of the social–ecological systems in resource-based cities.
Figure 3. The temporal variation of the comprehensive score and coupling coordination level of the social–ecological systems in resource-based cities.
Land 14 00207 g003
Figure 4. Spatial differentiation of comprehensive development level of social systems in resource-based cities.
Figure 4. Spatial differentiation of comprehensive development level of social systems in resource-based cities.
Land 14 00207 g004
Figure 5. Spatial differentiation of comprehensive development level of ecological systems in resource-based cities.
Figure 5. Spatial differentiation of comprehensive development level of ecological systems in resource-based cities.
Land 14 00207 g005
Figure 6. Spatial differentiation of coupling coordination degree of social–ecological systems in resource-based cities.
Figure 6. Spatial differentiation of coupling coordination degree of social–ecological systems in resource-based cities.
Land 14 00207 g006
Figure 7. Interaction detection results in 2010, 2015 and 2020.
Figure 7. Interaction detection results in 2010, 2015 and 2020.
Land 14 00207 g007
Table 1. Evaluation index system of comprehensive development level of social–ecological systems in resource-based cities.
Table 1. Evaluation index system of comprehensive development level of social–ecological systems in resource-based cities.
CriteriaFirst Level IndicatorBasic Level IndicatorUnitAttributesWeights
Social systemEconomic scaleGDP per capita (X1)CNY/person+0.0519
Total retail sales of consumer goods per capita (X2)CNY/person+0.0314
Investment in fixed assets per capita (X3)CNY/person+0.0483
Industrial structureRatio of tertiary industry to secondary industry (X4)/+0.0271
Living standardDisposable income of urban residents per capita (X5)CNY/person+0.0219
Net income of rural residents per capita (X6)CNY/person+0.0206
Proportion of employed persons in total population (X7)%+0.0413
Public serviceGeneral public budget expenditure per capita (X8)CNY/person+0.0426
Number of medical beds per 10,000 people (X9)One bed/10,000 people+0.0175
Library collection per 10,000 people (X10)One book/10,000 people+0.0618
Ecological systemResource endowmentGross industrial output value above designated size per capita (X11)10,000 CNY/person+0.0748
Total water resources per capita (X12)Square meter/person+0.1151
The proportion of extractive industry employees in total employees (X13)%0.0896
Ecological pressureIndustrial wastewater discharge per unit of output value (X14)Tons/10,000 CNY0.0519
Industrial sulfur dioxide emissions per unit of output value (X15)Tons/10,000 CNY0.0613
Carbon emission intensity (X16)Tons/10,000 CNY0.0880
Environmental governanceInvestment in environmental pollution account for GDP (X17)%+0.1240
Expenditure on environmental protection account for the budgetary expenditure (X18)%+0.0236
Carbon trading, energy-consuming right trading, emission trading account for the total market transactions (X19)%+0.0306
Note: “+” for positive impacts, “−” for negative impacts.
Table 2. Development types of resource-based cities.
Table 2. Development types of resource-based cities.
YearGrowing
Resource-Based Cities
Mature
Resource-Based Cities
Recessionary
Resource-Based Cities
Regenerative
Resource-Based Cities
2010Social system
lagging
Social system
lagging
Social system
lagging
Social system
lagging
2015Social system
lagging
Social system
lagging
Social system
lagging
Ecological system
lagging
2020Ecological system
lagging
Ecological system
lagging
Social system
lagging
Ecological system
lagging
Table 3. Influencing factors of the coupling coordination level of social–ecological systems.
Table 3. Influencing factors of the coupling coordination level of social–ecological systems.
Influencing FactorsAbbreviationUnitFactors Explain
Digital economy indexDEI/Digital economy index is constructed from two aspects: Internet development and digital inclusive finance. This indicator reflects a new pattern of economic development.
Population densityPDPeople/square kilometerThe number of total resident population per square kilometer. This indicator reflects human resources and population pressure.
Urbanization levelUL%The urban population accounts for the total resident population. This indicator reflects the scale and level of urban construction.
Science and education investmentSEI%Expenditure on education and science accounted for the proportion of general public budget expenditure. This indicator reflects the government’s emphasis on education and science.
Technological innovationTIOne patents/10,000 peopleNumber of patents granted per 10,000 people. This indicator reflects the degree of integration between research and urban industry.
Foreign trade dependenceFTD%The proportion of actual utilized foreign capital in GDP that year. This indicator reflects the city’s openness.
Table 4. Factor detection results and ranking of influencing factors.
Table 4. Factor detection results and ranking of influencing factors.
Rank201020152020
FactorqFactorqFactorq
1DEI0.220 **DEI0.245 **DEI0.251 *
2UL0.158 *SEI0.190TI0.174
3SEI0.116 *UL0.183 *UL0.093
4PD0.108 *PD0.125PD0.076
5FTD0.104FTD0.065FTD0.062
6TI0.056TI0.064SEI0.031
Note: *, ** denote significance at the 10% and 5% levels.
Disclaimer/Publisher’s Note: The statements, opinions and data contained in all publications are solely those of the individual author(s) and contributor(s) and not of MDPI and/or the editor(s). MDPI and/or the editor(s) disclaim responsibility for any injury to people or property resulting from any ideas, methods, instructions or products referred to in the content.

Share and Cite

MDPI and ACS Style

Zhang, Y.; Wang, Z.; Peng, Y.; Wang, W.; Tian, C. Spatial–Temporal Evolution and Influencing Mechanism of Coupling Coordination Level of Social–Ecological Systems in China’s Resource-Based Cities Under the Carbon Neutrality Goal. Land 2025, 14, 207. https://doi.org/10.3390/land14010207

AMA Style

Zhang Y, Wang Z, Peng Y, Wang W, Tian C. Spatial–Temporal Evolution and Influencing Mechanism of Coupling Coordination Level of Social–Ecological Systems in China’s Resource-Based Cities Under the Carbon Neutrality Goal. Land. 2025; 14(1):207. https://doi.org/10.3390/land14010207

Chicago/Turabian Style

Zhang, Yunhui, Zhong Wang, Yanran Peng, Wei Wang, and Chengxi Tian. 2025. "Spatial–Temporal Evolution and Influencing Mechanism of Coupling Coordination Level of Social–Ecological Systems in China’s Resource-Based Cities Under the Carbon Neutrality Goal" Land 14, no. 1: 207. https://doi.org/10.3390/land14010207

APA Style

Zhang, Y., Wang, Z., Peng, Y., Wang, W., & Tian, C. (2025). Spatial–Temporal Evolution and Influencing Mechanism of Coupling Coordination Level of Social–Ecological Systems in China’s Resource-Based Cities Under the Carbon Neutrality Goal. Land, 14(1), 207. https://doi.org/10.3390/land14010207

Note that from the first issue of 2016, this journal uses article numbers instead of page numbers. See further details here.

Article Metrics

Back to TopTop