Impact of Economic Agglomeration on Carbon Emission Intensity and Its Spatial Spillover Effect: A Case Study of Guangdong Province, China
Abstract
1. Introduction
2. Overview of the Study Area and Research Methods
2.1. Overview of the Study Area
2.2. Research Methods
2.2.1. Spatial Weight Matrix Based on Geographic Proximity
2.2.2. Exploratory Spatial Data Analysis
2.2.3. Spatial Durbin Model
2.3. Data Source
3. Results
3.1. Evolutionary Characteristics of Economic Agglomeration and Carbon Emission Intensity in Guangdong Province
3.1.1. Spatiotemporal Evolution Characteristics of Economic Agglomeration Level in Guangdong Province
3.1.2. Spatiotemporal Evolution Characteristics of Carbon Emission Intensity in Guangdong Province
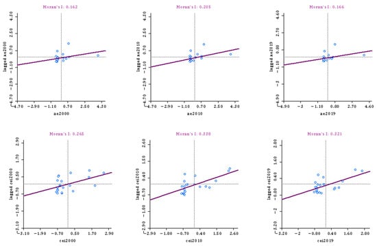
3.2. Spatial Autocorrelation Analysis of Economic Agglomeration and Carbon Emission Intensity
3.3. Spatial Spillover Effects of Economic Agglomeration on Carbon Emission Intensity
3.3.1. Spatial Econometric Regression Analysis
3.3.2. Analysis of Spatial Spillover Effects
4. Discussion
4.1. Influencing Mechanism of the Spatiotemporal Heterogeneity of Economic Agglomeration and Carbon Emission Intensity in Guangdong Province
4.2. Influencing Mechanism of Economic Agglomeration on the Spatial Spillover Effect of Carbon Emission Intensity
4.3. Uncertainty Analysis
5. Policy Recommendations
6. Conclusions
Author Contributions
Funding
Data Availability Statement
Conflicts of Interest
References
- Friedlingstein, P.; O’Sullivan, M.; Jones, M.W.; Andrew, R.M.; Hauck, J.; Olsen, A.; Peters, G.P.; Peters, W.; Pongratz, J.; Sitch, S.; et al. Global carbon budget 2020. Earth Syst. Sci. Data 2020, 12, 3269–3340. [Google Scholar] [CrossRef]
- United Nations Environment Programme. Emissions Gap Report 2021: The Heat Is On—A World of Climate Promises Not Yet Delivered; United Nations Environment Programme: Nairobi, Kenya, 2021. [Google Scholar]
- Han, F.; Xie, R.; Lu, Y.; Fang, J.; Liu, Y. The effects of urban agglomeration economies on carbon emissions: Evidence from Chinese cities. J. Clean. Prod. 2018, 172, 1096–1110. [Google Scholar] [CrossRef]
- IPCC. 2021: The Physical Science Basis. Contribution of Working Group I to the Sixth Assessment Report of the Intergovernmental Panel on Climate Change; Cambridge Press: Cambridge, UK, 2021.
- Boykoff, M.; Pearman, O. Now or never: How media coverage of the IPCC special report on 1.5°C shaped climate-action deadlines. One Earth 2019, 1, 285–288. [Google Scholar] [CrossRef]
- Ding, X.; Tang, N.; He, J. The threshold effect of environmental regulation, FDI agglomeration, and water utilization efficiency under “double control actions”—An empirical test based on Yangtze River economic belt. Water 2019, 11, 452. [Google Scholar] [CrossRef]
- Zhou, W.; Zhuang, G.; Liu, L. Comprehensive assessment of energy supply-side and demand-side coordination on pathways to carbon neutrality of the Yangtze River Delta in China. J. Clean. Prod. 2023, 404, 136904. [Google Scholar] [CrossRef]
- Wang, Y.; Yin, S.; Fang, X.; Chen, W. Interaction of economic agglomeration, energy conservation and emission reduction: Evidence from three major urban agglomerations in China. Energy 2022, 241, 1225191–12251913. [Google Scholar] [CrossRef]
- Liu, S.; Li, Y.; Shen, Z.; Yu, J.; Xu, Z. The impact of population agglomeration on economic resilience: Evidence from 280 cities in China. Int. Rev. Econ. Financ. 2024, 94, 103429. [Google Scholar] [CrossRef]
- Zhou, M.; Shao, W.; Jiang, K.; Huang, L. How does economic agglomeration affect carbon emissions at the county level in Liaoning China? Ecol. Indic. 2024, 158, 111507. [Google Scholar] [CrossRef]
- Ren, Y.; Fang, C.; Lin, X.; Sun, S.; Li, G.; Fan, B. Evaluation of the eco-efficiency of four major urban agglomerations in coastal eastern China. J. Geogr. Sci. 2019, 29, 1315–1330. [Google Scholar] [CrossRef]
- Hong, J.; Gu, J.; Liang, X.; Liu, G.; Shen, G.Q.; Tang, M. Spatiotemporal investigation of energy network patterns of agglomeration economies in China: Province-level evidence. Energy 2019, 187, 115998. [Google Scholar] [CrossRef]
- Wang, J.; Zhou, X. Measurement and synergistic evolution analysis of economic resilience and green economic efficiency: Evidence from five major urban agglomerations, China. Appl. Geogr. 2024, 168, 103302. [Google Scholar] [CrossRef]
- Ren, X.S.; Liu, Y.J.; Zhao, G.H. The impact of economic agglomeration on carbon emission intensity and its transmission mechanism. China Popul. Resour. Environ. 2020, 30, 95–106. [Google Scholar]
- Wang, Y.; Chen, W.; Kang, Y.; Li, W.; Guo, F. Spatial correlation of factors affecting CO2 emission at provincial level in China: A geographically weighted regression approach. J. Clean. Prod. 2018, 184, 929–937. [Google Scholar] [CrossRef]
- Xiao, Y.P.; Ma, D.L.; Zhang, F.T.; Zhao, N.; Wang, L.; Guo, Z.M.; Zhang, J.W.; An, B.T.; Xiao, Y.D. Spatiotemporal differentiation of carbon emission efficiency and influencing factors: From the perspective of 136 countries. Sci. Total Environ. 2023, 876, 163032. [Google Scholar] [CrossRef] [PubMed]
- Wang, Y.; Wang, J. Does industrial agglomeration facilitate environmental performance: New evidence from urban China? J. Environ. Manag. 2019, 248, 109244. [Google Scholar] [CrossRef] [PubMed]
- Li, R.R.; Wang, Q.; Guo, J.L. Revisiting the Environmental Kuznets Curve (EKC) Hypothesis of Carbon Emissions: Exploring the Impact of Geopolitical Risks, Natural Resource Rents, Corrupt Governance, and Energy Intensity. J. Environ. Manag. 2024, 351, 119663. [Google Scholar] [CrossRef] [PubMed]
- Liu, S.C.; Wu, P.J. The impact of high-tech industrial agglomeration on China’s green innovation efficiency: A spatial econometric analysis. Front. Environ. Sci. 2023, 11, 1167918. [Google Scholar] [CrossRef]
- Chen, R.; Xu, P.; Yao, H. Decarbonization of China’s regional power grid by 2050 in the government development planning scenario. Environ. Impact Assess. Rev. 2023, 101, 107129. [Google Scholar] [CrossRef]
- Qian, Y.; Wang, H.; Wu, J. Spatiotemporal association of carbon dioxide emissions in China’s urban agglomerations. J. Environ. Manag. 2022, 323, 116109. [Google Scholar] [CrossRef]
- Shao, S.; Zhang, K.; Dou, J.M. Effects of economic agglomeration on energy saving and emission reduction: Theory and empirical evidence from China. Manag. World 2019, 35, 24–42. [Google Scholar] [CrossRef]
- Liu, K.; Ni, Z.; Ren, M.; Zhang, X. Spatial differences and influential factors of urban carbon emissions in China under the target of carbon neutrality. Int. J. Environ. Res. Public Health 2022, 19, 6427. [Google Scholar] [CrossRef] [PubMed]
- Ofori, E.K.; Li, J.; Gyamfi, B.A.; Opoku-Mensah, E.; Zhang, J. Green industrial transition: Leveraging environmental innovation and environmental tax to achieve carbon neutrality. Expanding on STRIPAT model. J. Environ. Manag. 2023, 343, 118121. [Google Scholar] [CrossRef] [PubMed]
- Li, Z.; Wang, J. Spatial spillover effect of carbon emission trading on carbon emission reduction: Empirical data from pilot regions in China. Energy 2022, 251, 123906. [Google Scholar] [CrossRef]
- Wahab, S.; Imran, M.; Safi, A.; Wahab, Z.; Kirikkaleli, D. Role of financial stability, technological innovation, and renewable energy in achieving sustainable development goals in BRICS countries. Environ. Sci. Pollut. Res. Int. 2022, 29, 48827–48838. [Google Scholar] [CrossRef] [PubMed]
- Dong, J.; Li, C.; Wang, Q. Decomposition of carbon emission and its decoupling analysis and prediction with economic development: A case study of industrial sectors in Henan Province. J. Clean. Prod. 2021, 321, 129019. [Google Scholar] [CrossRef]
- Zhao, X.; Jiang, M.; Zhang, W. Decoupling between economic development and carbon emissions and its driving factors: Evidence from China. Int. J. Environ. Res. Public Health 2022, 19, 2893. [Google Scholar] [CrossRef]
- Raggad, B. Economic development, energy consumption, financial development, and carbon dioxide emissions in Saudi Arabia: New evidence from a nonlinear and asymmetric analysis. Environ. Sci. Pollut. Res. Int. 2020, 27, 21872–21891. [Google Scholar] [CrossRef]
- Chen, L.; Lu, Y.; Meng, Y.; Zhao, W. Research on the nexus between the digital economy and carbon emissions-Evidence at China’s province level. J. Clean. Prod. 2023, 413, 137484. [Google Scholar] [CrossRef]
- Belotti, F.; Hughes, G.; Mortari, A.P. Spatial panel-data models using Stata. Stata J. 2017, 17, 139–180. [Google Scholar] [CrossRef]
- MacIndoe, H.; Oakley, D. Encouraging a spatial perspective in third sector studies: Exploratory spatial data analysis and spatial regression analysis. Voluntas 2023, 34, 64–75. [Google Scholar] [CrossRef]
- Vega, H.S.; Elhorst, P.J. The SLX Model. J. Reg. Sci. 2015, 55, 339–363. [Google Scholar] [CrossRef]
- Alharbey, M.; Ben-Salha, O. Do institutions contribute to environmental sustainability? A global analysis using the dynamic spatial Durbin and threshold models. J. Environ. Manag. 2024, 357, 120681. [Google Scholar] [CrossRef] [PubMed]
- Yu, Q.Y.; Li, M.; Li, Q.; Wang, Y.A.; Chen, W. Economic agglomeration and emissions reduction: Does high agglomeration in China’s urban clusters lead to higher carbon intensity? Urban Clim. 2022, 43, 101174. [Google Scholar] [CrossRef]
- Meng, X.N.; Xu, S.C. Can industrial collaborative agglomeration reduce carbon intensity? Empirical evidence based on Chinese provincial panel data. Environ. Sci. Pollut. Res. 2022, 40, 61012–61026. [Google Scholar] [CrossRef]
- Shan, Y.L.; Guan, Y.R.; Hang, Y.; Zheng, H.; Li, Y.X.; Guan, D.B.; Li, J.S.; Zhou, Y.; Li, L.; Klaus, H. City-level emission peak and drivers in China. Sci. Bull. 2022, 18, 1910–1920. [Google Scholar] [CrossRef]
- Fan, J.; Wu, J.X.; Gao, X. Spatial Characteristics of Major Function Achievements in China’s Urbanized Areas over the Past Decade and Future Layout Optimization. Econ. Geogr. 2024, 44, 1–13. [Google Scholar] [CrossRef]
- Xu, Q.; Dong, Y.; Yang, R. Urbanization impact on carbon emissions in the Pearl River Delta region: Kuznets curve relationships. J. Clean. Prod. 2018, 180, 514–523. [Google Scholar] [CrossRef]
- Statistics Bureau of Guangdong Province. Guangdong Statistical Yearbook; China Statistics Press: Beijing, China, 2020. [Google Scholar] [CrossRef]
- Fang, G.C.; Gao, Z.Y.; Wang, L.; Tian, L.X. How does green in-novation drive urban carbon emission efficiency? —Evidence from the Yangtze River Economic Belt. J. Clean. Prod. 2022, 312, 118772. [Google Scholar] [CrossRef]
- Chen, Y.; Lee, C.C. Does technological innovation reduce. CO2 emissions? Cross-country evidence. J. Clean. Prod. 2020, 263, 121550. [Google Scholar] [CrossRef]
- Liu, J.; Zhao, Y.; Cheng, Z.; Zhang, H. The effect of manufacturing agglomeration on haze pollution in China. Int. J. Environ. Res. Public Health 2018, 15, 2490. [Google Scholar] [CrossRef]
- Xu, Q.; Dong, Y.; Yang, R.; Zhang, H.; Wang, C.; Du, Z. Temporal and spatial differences in carbon emissions in the Pearl River Delta based on multi-resolution emission inventory modeling. J. Clean. Prod. 2019, 214, 615–622. [Google Scholar] [CrossRef]
- Sun, H.P.; Edziah, B.K.; Sun, C.W.; Kporsu, A.K. Institutional quality and its spatial spillover effects on energy efficiency. Socio-Econ. Plan. Sci. 2022, 83, 101023. [Google Scholar] [CrossRef]
- Wang, Z.S.; Xie, W.C.; Zhang, C.Y. Towards COP26 targets: Characteristics and influencing factors of spatial correlation network structure on U.S. carbon emission. Resour. Policy 2023, 81, 103285. [Google Scholar] [CrossRef]
- Xu, S.C.; He, Z.X.; Long, R.Y. Factors that influence carbon emissions due to energy consumption in China: Decomposition analysis using LMDI. Appl. Energy 2014, 127, 182–193. [Google Scholar] [CrossRef]
- Wang, Q.; Zhang, F. Does increasing investment in research and development promote economic growth decoupling from carbon emission growth? An empirical analysis of BRICS countries. J. Clean. Prod. 2020, 252, 119853. [Google Scholar] [CrossRef]
- Wu, L.; Sun, L.; Qi, P.; Ren, X.; Sun, X. Energy endowment, industrial structure upgrading, and CO2 emissions in China: Revisiting resource curse in the context of carbon emissions. Resour. Policy 2021, 74, 102329. [Google Scholar] [CrossRef]








| Variables and Symbols | Time Fixation | Individual Fixation | Two-Way Fixation |
|---|---|---|---|
| cei | cei | cei | |
| Economic agglomeration (ae) | 0.6065 *** | 0.4954 *** | 0.6189 *** |
| (0.0637) | (0.0599) | (0.0623) | |
| Economic agglomeration quadratic terms (ae2) | −0.0466 *** | −0.0399 *** | −0.0481 *** |
| (0.0056) | (0.0055) | (0.0055) | |
| Openness level (ol) | −0.0622 | 0.0679 | −0.3760 |
| (0.2629) | (0.2629) | (0.2771) | |
| Per capita GDP (pgdp) | −0.0632 *** | 0.0426 *** | −0.0686 *** |
| (0.0211) | (0.0129) | (0.0208) | |
| Industrial structure (is) | 0.1920 | 0.1739 | −0.3452 * |
| (0.1692) | (0.1686) | (0.2092) | |
| Industry technical innovation (ti) | −1.0944 | 0.1511 | −0.6299 |
| (2.3521) | (2.3837) | (2.3603) | |
| Constant terms (cons) | −40.5824 *** | 0.0914 | 0.3953 *** |
| (6.5369) | (0.0752) | (0.1004) | |
| Total sample size (N) | 420 | 420 | 420 |
| Goodness of fit (R2) | 0.5383 | 0.5371 | 0.5958 |
| Variable | Variable Symbol | Direct Effects | Indirect Effects | Total Effect |
|---|---|---|---|---|
| Economic agglomeration | ae | 0.4347 *** (0.06612) | 0.3577 ** (0.1425) | 0.7924 *** (0.1346) |
| Economic agglomeration quadratic terms | Ae2 | −0.0316 *** (0.0056) | −0.0055 (0.0124) | −0.0371 *** (0.0126) |
| Opening level | ol | −0.3182 (0.2627) | 2.2755 *** (0.5321) | 1.9573 *** (0.5102) |
| Per capita GDP | pgdp | −0.0361 * (0.0212) | −0.1375 *** (0.0368) | −0.1737 *** (0.0359) |
| Industrial structure | is | −0.3510 * (0.1895) | −0.7383 ** (0.3335) | −1.0893 *** (0.3352) |
| Industry technical innovation | ti | −0.3856 (2.2964) | −0.3223 (4.3982) | −3.6089 (4.5188) |
| Year | Index | The Pearl River Delta | Eastern Guangdong | Western Guangdong | Northern Guangdong | Guangzhou | Shenzhen | Heyuan | Qingyuan |
|---|---|---|---|---|---|---|---|---|---|
| 2000 | Economic agglomeration | 0.1454 | 0.0570 | 0.0180 | 0.0062 | 0.3308 | 1.0873 | 0.0036 | 0.0051 |
| GDP/100 million yuan | 8471.28 | 1067.61 | 951.37 | 756.20 | 2505.58 | 2219.20 | 87.22 | 157.92 | |
| 2010 | Economic agglomeration | 0.5318 | 0.1430 | 0.0601 | 0.0244 | 1.1295 | 3.9392 | 0.0192 | 0.0308 |
| GDP/100 million yuan | 38,028.65 | 3107.09 | 3487.27 | 2934.93 | 10,640.67 | 10,069.06 | 444.03 | 867.13 | |
| 2019 | Economic agglomeration | 1.0299 | 0.2715 | 0.1132 | 0.0429 | 2.1406 | 8.8779 | 0.0403 | 0.0498 |
| GDP/100 million yuan | 86,899.05 | 6957.09 | 7609.24 | 6205.69 | 23,628.60 | 26,927.09 | 1080.03 | 1698.22 |
Disclaimer/Publisher’s Note: The statements, opinions and data contained in all publications are solely those of the individual author(s) and contributor(s) and not of MDPI and/or the editor(s). MDPI and/or the editor(s) disclaim responsibility for any injury to people or property resulting from any ideas, methods, instructions or products referred to in the content. |
© 2025 by the authors. Licensee MDPI, Basel, Switzerland. This article is an open access article distributed under the terms and conditions of the Creative Commons Attribution (CC BY) license (https://creativecommons.org/licenses/by/4.0/).
Share and Cite
Xu, Q.; Li, J.; Lin, Z.; Wu, S.; Yang, Y.; Lu, Z.; Xu, Y.; Zha, L. Impact of Economic Agglomeration on Carbon Emission Intensity and Its Spatial Spillover Effect: A Case Study of Guangdong Province, China. Land 2025, 14, 197. https://doi.org/10.3390/land14010197
Xu Q, Li J, Lin Z, Wu S, Yang Y, Lu Z, Xu Y, Zha L. Impact of Economic Agglomeration on Carbon Emission Intensity and Its Spatial Spillover Effect: A Case Study of Guangdong Province, China. Land. 2025; 14(1):197. https://doi.org/10.3390/land14010197
Chicago/Turabian StyleXu, Qian, Junyi Li, Ziqing Lin, Shuhuang Wu, Ying Yang, Zhixin Lu, Yingjie Xu, and Lisi Zha. 2025. "Impact of Economic Agglomeration on Carbon Emission Intensity and Its Spatial Spillover Effect: A Case Study of Guangdong Province, China" Land 14, no. 1: 197. https://doi.org/10.3390/land14010197
APA StyleXu, Q., Li, J., Lin, Z., Wu, S., Yang, Y., Lu, Z., Xu, Y., & Zha, L. (2025). Impact of Economic Agglomeration on Carbon Emission Intensity and Its Spatial Spillover Effect: A Case Study of Guangdong Province, China. Land, 14(1), 197. https://doi.org/10.3390/land14010197

