Spatio-Temporal Analysis of Green Infrastructure along the Urban-Rural Gradient of the Cities of Bujumbura, Kinshasa and Lubumbashi
Abstract
1. Introduction
2. Materials and Methods
2.1. Study Area
2.2. Selection of Satellite Images
2.3. Image Pre-Processing, Processing and Classification
2.4. Calculation of Spatial Pattern Indices and Detection of Landscape Dynamics
2.5. Vegetation Index
3. Results
3.1. Satellite Data Analysis: Classification and Mapping (2000 to 2022)
3.2. Changes in Land Use between 2000 and 2022
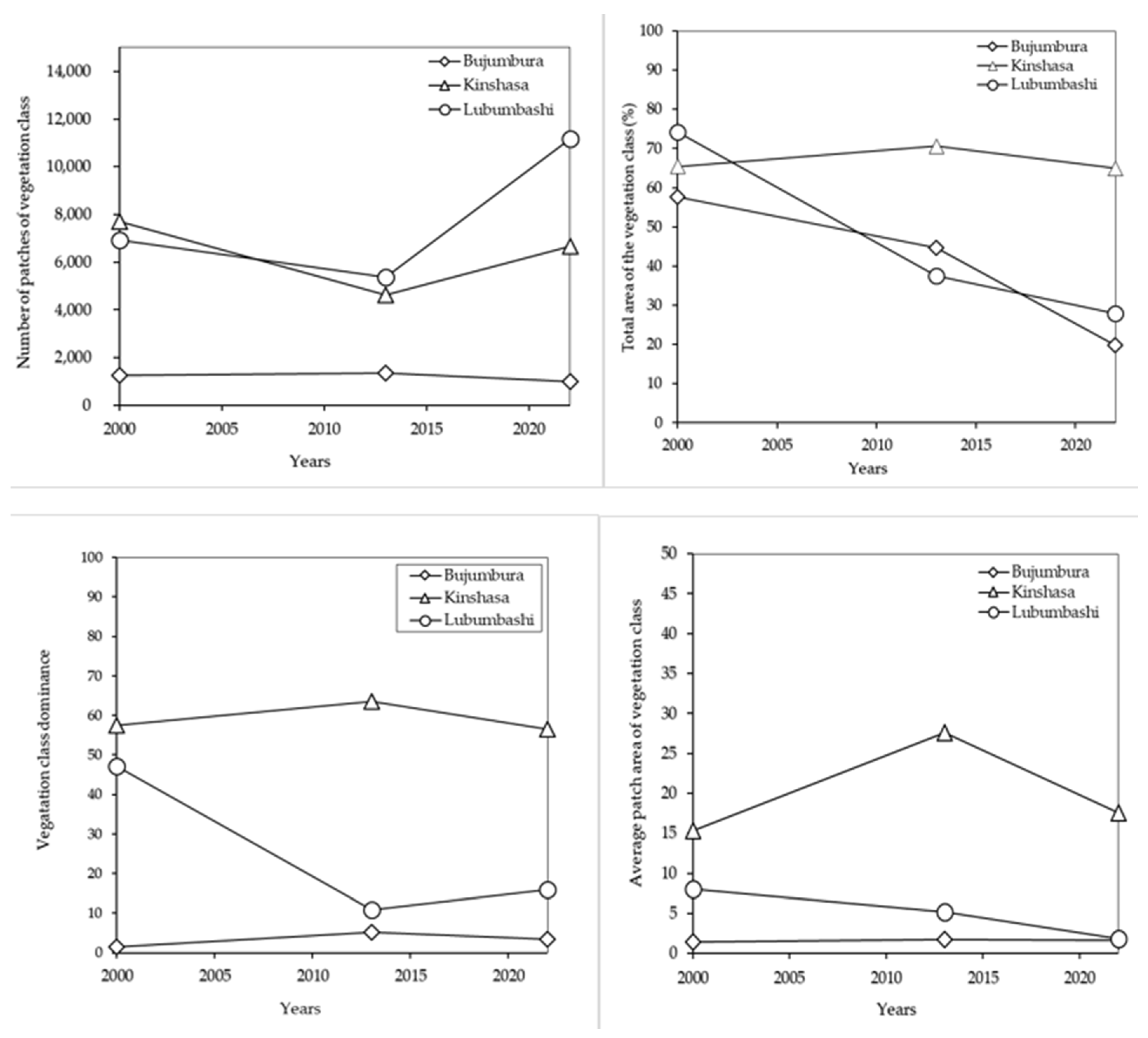
3.3. Dynamics of the Spatial Structure of Vegetation
3.4. The Normalized Difference Vegetation Index (NDVI)
4. Discussion
4.1. Methodological Approach
4.2. Spatial Structure Indices
4.3. Standardized Differential Vegetation Index and Green Infrastructure Composition Dynamics
4.4. Urbanization and Loss of Natural Cover in the Cities of Bujumbura, Kinshasa and Lubumbashi
4.5. Implications in Public Policy
5. Conclusions
Author Contributions
Funding
Data Availability Statement
Acknowledgments
Conflicts of Interest
References
- OECD/CSAO. Cahiers de l’Afrique de l’Ouest: Dynamiques de l’Urbanisation Africaine 2020: Africapolis, Une Nouvelle Géographie Urbaine; OECD: Paris, France, 2020; ISBN 9789264349025. [Google Scholar]
- Angel, S.; Parent, J.; Civco, D.L.; Blei, A.; Potere, D. The Dimensions of Global Urban Expansion: Estimates and Projections for All Countries, 2000-2050. Prog. Plann. 2011, 75, 53–107. [Google Scholar] [CrossRef]
- Sanyal, S. The End of Population Growth; Deutsche Bank AG: Hong Kong, China, 2011; pp. 1–13. [Google Scholar]
- Vermeiren, K.; Van Rompaey, A.; Loopmans, M.; Serwajja, E.; Mukwaya, P. Urban Growth of Kampala, Uganda: Pattern Analysis and Scenario Development. Landsc. Urban Plan. 2012, 106, 199–206. [Google Scholar] [CrossRef]
- Vivet, J. Déplacés de Guerre et Dynamiques Territoriales Postconflit Au Mozambique. Hérodote 2015, 158, 160. [Google Scholar] [CrossRef]
- Lavergne, M. De La Cuvette Du Haut-Nil Aux Faubourgs de Khartoum: Les Déplacés Du Sud-Soudan. Déplacés et Réfugiés, La Mobilité Sous La Contrainte. Ed. l’IRD 1999, 109–136. [Google Scholar]
- Schäffler, A.; Swilling, M. Valuing Green Infrastructure in an Urban Environment under Pressure - The Johannesburg Case. Ecol. Econ. 2013, 86, 246–257. [Google Scholar] [CrossRef]
- Bogaert, J.; Vranken, I.; Andre, M. Biocultural Landscapes. Biocultural Landsc. 2014. [Google Scholar] [CrossRef]
- Madureira, H.; Cormier, L. La Complexité de l’ Application Du Concept d’ Infrastructure Verte à l’ Échelle Locale: Exemples de Paris et Porto. In Urbanités Biodiversité. Entre Villes Fertiles Campagnes Urbaines, Quelle Place Pour La Biodiversité? HAL Open Science: Lyon, France, 2017. [Google Scholar]
- Zhou, X.; Wanghe, K.; Jiang, H.; Ahmad, S.; Zhang, D. Construction of Green Infrastructure Networks Based on the Temporal and Spatial Variation Characteristics of Multiple Ecosystem Services in a City on the Tibetan Plateau: A Case Study in Xining, China. Ecol. Indic. 2024, 163, 112139. [Google Scholar] [CrossRef]
- Osseni, A.A.; Mouhamadou, T.; Tohoain, B.A.C.; Sinsin, B. SIG et Gestion Des Espaces Verts Dans La Ville de Porto-Novo Au Benin. Tropicultura 2015, 332, 146–156. [Google Scholar]
- du Toit, M.J.; Cilliers, S.S.; Dallimer, M.; Goddard, M.; Guenat, S.; Cornelius, S.F. Urban Green Infrastructure and Ecosystem Services in Sub-Saharan Africa. Landsc. Urban Plan. 2018, 180, 249–261. [Google Scholar] [CrossRef]
- Gashu, K.; Egziabher, T.G. Spatiotemporal Trends of Urban Land Use / Land Cover and Green Infrastructure Change in Two Ethiopian Cities: Bahir Dar and Hawassa. Environ. Syst. Res. 2018. [Google Scholar] [CrossRef]
- Fomba, M.; Osunde, Z.D.; Traoré, S.S.; Okhimamhe, A.; Kleemann, J.; Fürst, C. Urban Green Spaces in Bamako and Sikasso, Mali_ Land Use Changes and Perceptions. Land 2024, 13, 59. [Google Scholar] [CrossRef]
- Useni, Y.S.; Malaisse, F.; Yona, J.M.; Mwamba, T.M.; Bogaert, J. Diversity, Use and Management of Household-Located Fruit Trees in Two Rapidly Developing Towns in Southeastern D.R. Congo. Urban For. Urban Green. 2021, 63, 127220. [Google Scholar] [CrossRef]
- Turner, S.C.; Turner, R.N. Capital Cities: A Special Case in Urban Development. Ann. Reg. Sci. 2011, 46, 19–35. [Google Scholar] [CrossRef]
- Washbourne, C. Environmental Policy Narratives and Urban Green Infrastructure: Reflections from Five Major Cities in South Africa and the UK. Environ. Sci. Pol. 2022, 129, 96–106. [Google Scholar] [CrossRef]
- Delgado-Capel, M.; Cariñanos, P. Towards a Standard Framework to Identify Green Infrastructure Key Elements in Dense Mediterranean Cities. Forests 2020, 11, 1246. [Google Scholar] [CrossRef]
- Turner, M.G. Landscape Ecology: The Effect of Pattern on Process. Annu. Rev. Ecol. Syst. 1989, 20, 171–197. [Google Scholar] [CrossRef]
- Messina Ndzomo, J.P.; Sambieni, K.R.; Mbevo Fendoung, P.; Mate Mweru, J.P.; Bogaert, J.; Halleux, J.M. La Croissance De L’Urbanisation Morphologique À Kinshasa Entre 1979 Et 2015: Analyse Densimétrique Et De La Fragmentation Du Bâti. BSGLg 2019, 73, 85–103. [Google Scholar] [CrossRef]
- Bigirimana, J. Urban Plant Diversity Patterns, Processes and Conservation Value in Sub-Saharan Africa: Case of Bujumbura in Burundi. Ph.D. Thesis, Université libre de Bruxelles, Brussels, Belgium, 2012. [Google Scholar]
- Mavunda, C.A.; Kanda, M.; Folega, F.; Egbelou, V.; Bosela, B.; Drazo, N.A.; Yoka, J.; Dourma, M. Dynamique Spatio-Temporelle Des Changements d ’ Occupation Du Sol Sous Incidence Anthropique Dans La Ville de Kinshasa ( RDC ) de 2001 à 2021. Geo-Eco-Trop 2022, 46, 137–148. [Google Scholar]
- Useni, Y.S. Analyse Spatio-Temporelle Des Dynamiques d’anthropisation Paysagère Le Long Du Gradient Urbain-Rural de La Ville de Lubumbashi (Haut-Katanga, République Démocratique Du Congo). Ph.D. Thesis, Université de Lubumbashi République Dé-mocratique du Congo, Lubumbashi, Democratic Republic of the Congo, 2017. [Google Scholar]
- Maréchal, J.; Useni, S.Y.; Bogaert, J.; Munyemba, K.F.; Mahy, G. La Perception par des Experts Locaux des Espaces Verts et de Leurs Services Écosystémiques Dans Une Ville Tropicale En Expansion: Le Cas de Lubumbashi. In Anthropisation des Paysages Katangais; Bogaert, J., Colinet, G., Mahy, G., Eds.; Presse Universitaire de Liège: Gembloux, Belgium, 2018; pp. 59–69. [Google Scholar]
- Mashagiro, G.Q.; Mujinya, B.B.; Colinet, G.; Mahy, G. Vegetation Degradation Alters Soil Physicochemical Properties and Potentially Affects Ecosystem Services in Green Spaces of a Tropical Megacity (Lubumbashi, DR Congo). Geoderma Reg. 2024, 37. [Google Scholar] [CrossRef]
- Useni Sikuzani, Y.; Mpibwe Kalenga, A.; Yona Mleci, J.; N’Tambwe Nghonda, D.; Malaisse, F.; Bogaert, J. Assessment of Street Tree Diversity, Structure and Protection in Planned and Unplanned Neighborhoods of Lubumbashi City (DR Congo). Sustainability 2022, 14, 3830. [Google Scholar] [CrossRef]
- Useni Sikuzani, Y.; Boisson, S.; Cabala Kaleba, S.; Nkuku Khonde, C.; Malaisse, F.; Halleux, J.-M.; Bogaert, J.; Munyemba Kankumbi, F. Dynamique de l’ Occupation Du Sol Autour Des Sites Miniers: Analyse à Long Terme de La Structure Spatiale à Lubumbashi. Biotechnol. Agron. Soc. Env. 2019, 24, 14–27. [Google Scholar]
- Biona, B. Classification Des Series Temporelles Landsat-8 Pour La Cartographie Du Gradient De Vegetation Dans Le Nord De La Republique Du Congo. Sci. Tech. 2017, 16, 1815–4433. [Google Scholar]
- Useni, Y.S.; Mukenza, M.; Mpanza, M.M.; Malaisse, F.; Bogaert, J. Investigating of Spatial Urban Growth Pattern and Associ-ated Landscape Dynamics in Congolese Mining Cities Bordering Zambia from 1990 to 2023. Resources 2024, 13, 107. [Google Scholar] [CrossRef]
- Salmon, M.; Ozer, A.; Pissart, A. Les Images Satellitaires Prises En Période de Sécheresse, Outil Utile Pour La Cartographie Géologique de La Belgique. Bull. la Société Géographique Liège 2007, 49, 67–74. [Google Scholar]
- Soucy-Gonthier, N.; Marceau, D.; Delage, M.; Cogliastro, A.; Domon, G.; Bouchard, A. Détection de l’évolution des Superficies Forestières en Montérégie Entre Juin 1999 et Août 2002 à Partir d’images Satellitaires LandSat-TM; Université de Montréal: Montreal, QC, Canada, 2003. [Google Scholar]
- Zurqani, H.A.; Post, C.J.; Mikhailova, E.A.; Schlautman, M.A.; Sharp, J.L. Geospatial Analysis of Land Use Change in the Savannah River Basin Using Google Earth Engine. Int. J. Appl. Earth Obs. Geoinf. 2018, 69, 175–185. [Google Scholar] [CrossRef]
- Zhu, Z.; Woodcock, C.E. Object-Based Cloud and Cloud Shadow Detection in Landsat Imagery. Remote Sens. Environ. 2012, 118, 83–94. [Google Scholar] [CrossRef]
- Bonn, F.; Rochon, G. Précis de Télédétection. Principes et Méthodes; Presses de l’Université du Québec: Québec, QC, Canada, 1992. [Google Scholar]
- Floreano, I.X.; de Moraes, L.A.F. Land Use/Land Cover (LULC) Analysis (2009–2019) with Google Earth Engine and 2030 Prediction Using Markov-CA in the Rondônia State, Brazil. Environ. Monit. Assess. 2021, 193, 239. [Google Scholar] [CrossRef] [PubMed]
- Girard, M.C.; Girard, C.M. Traitement Des Données de Télédétection, 2nd ed.; Dunod: Paris, France, 2010. [Google Scholar]
- Mama, V.J.; Oloukoi, J. Évaluation de La Précision Des Traitements Analogiques Des Images Satellitaires Dans l’étude de La Dynamique de l’occupation Du Sol. Télédétection 2003, 3, 429–441. [Google Scholar]
- Bogaert, J.; Vranken, I.; Andre, M. Anthropogenic Effects in Landscapes: Historical Context and Spatial Pattern. In Biocultural Landscapes: Diversity, Functions and Values; Springer: Berlin, Germany, 2014; pp. 89–112. [Google Scholar] [CrossRef]
- Davidson, C. Issues in Measuring Landscape Fragmentation. Wildl. Soc. Bull. 1998, 32–37. [Google Scholar]
- He, H.S.; DeZonia, B.E.; Mladenoff, D.J. An Aggregation Index (AI) to Quantify Spatial Patterns of Landscapes. Landsc. Ecol. 2000, 15, 591–601. [Google Scholar] [CrossRef]
- Hesselbarth, M.H.K.; Scianini, M.; With, K.A.; Wiegand, K.; Nowosad, J. Landscaperemetrics: An Open-Source R Tool to Calculae Landscape Ma-trics. Ecography 2019, 42, 1648–1657. [Google Scholar] [CrossRef]
- Diallo, H.; Bamba, I.; Barima, Y.S.S.; Visser, M.; Ballo, A.; Mama, A.; Vranken, I.; Maiga, M.; Bogaert, J. Effets Combinés Du Climat et Des Pressions Anthropiques Sur La Dynamique Évolutive de La Dégradation d’une Aire Protégée Du Mali (La Réserve de Fi-na, Boucle Du Baoulé). Sci. Chang. Plan. 2011, 22, 97–107. [Google Scholar]
- Krummel, J.R.; Gardner, R.H.; Sugihara, G.; O’neill, R.V.; Coleman, P.R. Landscape Patterns in a Disturbed Environment. Oikos 1987, 321–324. [Google Scholar] [CrossRef]
- Bogaert, J.; Ceulemans, R.; Salvador-Van Eysenrode, D. Decision Tree Algorithm for Detection of Spatial Processes in Landscape Transformation. Environ. Manag. 2004, 33, 62–73. [Google Scholar] [CrossRef]
- de Haulleville, T.; Rakotondrasoa, O.L.; Rakoto Ratsimba, H.; Bastin, J.F.; Brostaux, Y.; Verheggen, F.J.; Rajoelison, G.L.; Malaisse, F.; Poncelet, M.; Haubruge, É.; et al. Fourteen Years of Anthropization Dynamics in the Uapaca Bojeri Baill. Forest of Madagascar. Landsc. Ecol. Eng. 2018, 14, 135–146. [Google Scholar] [CrossRef]
- Tente, O.; Oloukoi, J.; Toko, I.; Tente, O.; Oloukoi, J.; Toko, I. Dynamique Spatiale et Structure Du Paysage Dans La Commune de Zè, Bénin. In OSFACO Conference: Satellite Images for Sustainable Land Management in Africa; CBFP: Washington, DC, USA, 2019. [Google Scholar]
- Razagui, A.; Bachari, N.E.I. Spatio-Temporal Analysis of NDVI Vegetation Index Calculated from NOAA and MSG Satellite Images. J. Renew. Energ. 2014, 17, 497–506. [Google Scholar]
- Vani, V.; Mandla, V.R. Comparative Study of NDVI and SAVI Vegetation Indices in Anantapur District Semi-Arid Areas. Int. J. Civ. Eng. Technol. 2017, 8, 559–566. [Google Scholar]
- Huete, A.; Didan, K.; Van Leeuwen, W.; Miura, T.; Glenn, E. Land Remote Sensing and Global Environmental Change: NASA’s Earth Observing System and the Science of ASTER and MODIS; Springer: Berlin/Heidelberg, Germany, 2011; p. 894. [Google Scholar] [CrossRef]
- Meneses-Tovar, C.L. L’indice Différentiel Normalisé de Végétation Comme Indicateur de La Dégradation. Unasylva 2011, 62, 39–46. [Google Scholar]
- Landis, J.R.; Koch, G.G. The Measurement of Observer Agreement for Categorical Data Data for Categorical of Observer Agreement The Measurement. Biometrics 1977, 33, 159–174. [Google Scholar] [CrossRef]
- Foody, G.M. Assessing the Accuracy of Land Cover Change with Imperfect Ground Rerefence Data. Remote Sens. Envirn. 2010, 144, 2271–2285. [Google Scholar] [CrossRef]
- Hesselbarth, M.H.K.; Nowosad, J.; Signer, J.; Graham, L.J. Open-Source Tools in R for Landscape Ecology. Curr. Landsc. Ecol. Rep. 2021, 6, 97–111. [Google Scholar] [CrossRef]
- Kayiranga, A.; Kurban, A.; Ndayisaba, F.; Nahayo, L.; Karamage, F.; Ablekim, A.; Li, H.; Ilniyaz, O. Monitoring Forest Cover Change and Fragmentation Using Remote Sensing and Landscape Metrics in Nyungwe-Kibira Park. J. Geosci. Environ. Prot. 2016, 4, 13–33. [Google Scholar] [CrossRef]
- Simwanda, M.; Ranagalage, M.; Estoque, R.C.; Murayama, Y. Spatial Analysis of Surface Urban Heat Islands in Four Rapidly Growing African Cities. Remote Sens. 2019, 11, 1645. [Google Scholar] [CrossRef]
- Forman, R.T. T Some General Principles of Landscape and Regional Ecology. Landsc. Ecol. 1995, 10, 133–142. [Google Scholar] [CrossRef]
- Burel, F.; Baudry, J. Ecologie Du Paysage. Concepts, Méthodes et Applications; Tec & Doc.: Paris, France, 2003. [Google Scholar]
- Haila, Y. A Conceptual Genealogy of Fragmentation Research: From Island Biogeography to Landscape Ecology. Ecol. Appl. 2002, 12, 321–334. [Google Scholar] [CrossRef]
- Mouhamadou, I.; Imorou, I.; Mèdaho, A.; Sinsin, B. Perceptions Locales Des Déterminants de La Fragmentation Des Îlots de Forêts Denses Dans La Région Des Monts Kouffé Au Bénin. J. Appl. Biosci. 2013, 66, 5049. [Google Scholar] [CrossRef]
- Ducrot, D. Méthodes d’analyses et d’interprétation d’images de Télédétection Multisource. Extraction de Caractéristiques Du Paysage; INP: Toulouse, France, 2005. [Google Scholar]
- Mouhamadou, I.T.; Touré, F.; Imorou, I.T.; Sinsin, B. Indices de Structures Spatiales Des Îlots de Forêts Denses Dans La Région Des Monts Kouffé. VertigO 2012, 12, 1–17. [Google Scholar] [CrossRef]
- Delcros, P. Ecologie Du Paysage et Dynamique Végétale Post-Culturale; CEMAGREF: Fresnes, France, 1994; p. 13. ISBN 2853623823. [Google Scholar]
- Bogaert, J.; Rousseau, R.; Van Hecke, P.; Impens, I. Alternative Area-Perimeter Ratios for Measurement of 2D Shape Compactness of Habitats. Appl. Math. Comput. 2000, 111, 71–85. [Google Scholar] [CrossRef]
- Dupin, L.; Nkono, C.; Burlet, C.; Muhashi, F.; Vanbrabant, Y. Land Cover Fragmentation Using Multi-Temporal Remote Sensing on Major Mine Sites in Southern Katanga (Democratic Republic of Congo). Adv. Remote Sens. 2013, 02, 127–139. [Google Scholar] [CrossRef][Green Version]
- Kabuanga, J.M.; Adipalina Guguya, B.; Ngenda Okito, E.; Maestripieri, N.; Saqalli, M.; Rossi, V.; Iyongo Waya Mongo, L. Suivi de l’anthropisation Du Paysage Dans La Région Forestière de Babagulu, République Démocratique Du Congo. VertigO 2020, 20, 1–27. [Google Scholar] [CrossRef]
- Romero-Sanchez, M.E.; Ponce-Hernandez, R. Assessing and Monitoring Forest Degradation in a Deciduous Tropical Forest in Mexico via Remote Sensing Indicators. Forests 2017, 8, 302. [Google Scholar] [CrossRef]
- Diello, P.; Mahe, G.; Paturel, J.-E.; Dezetter, A.; Delclaux, F.; Servat, E.; Ouattara, F. Relations Indices de Végétation–Pluie Au Burkina Faso: Cas Du Bassin Versant Du Nakambé. Hydrol. Sci. J. 2005, 50, 221. [Google Scholar] [CrossRef]
- Hao, F.; Zhang, X.; Ouyang, W.; Skidmore, A.K.; Toxopeus, A.G. Vegetation NDVI Linked to Temperature and Precipitation in the Upper Catchments of Yellow River. Environ. Model. Assess. 2012, 17, 389–398. [Google Scholar] [CrossRef]
- Bangirinama, F.; Nzitwanayo, B.; Hakizimana, P. Utilisation Du Charbon de Bois Comme Principale Source d’énergie de La Population Urbaine: Un Sérieux Problème Pour La Conservation Du Couvert Forestier Au Burundi. Bois Forets des Trop. 2016, 8, 45–53. [Google Scholar] [CrossRef]
- Bolund, P.; Hunhammar, S. Ecosystem Services in Urban Areas. Ecol. Econ. 1999, 29, 293–301. [Google Scholar] [CrossRef]
- Lotfi, M.; Christiane, W.; Pietro Francesca, D.; Wissal, S. Les Services Écosystémiques Urbains, Vers Une Multifonctionnalité Des Espaces Verts Publics: Revue de Littérature. Environ. Urbain/Urban Environ. 2017, 11. [Google Scholar]
- Attoumani, A.; Victor, R.; Randriamampandry, C. La Croissance de La Ville d’Antananarivo et Ses Conséquences. Madamines 2019, 1, 1–25. [Google Scholar]
- Kong, F.; Nakagoshi, N. Spatial-Temporal Gradient Analysis of Urban Green Spaces in Jinan, China. Landsc. Urb. Plan. 2006, 78, 147–164. [Google Scholar] [CrossRef]
- Mcdonald, R.I.; Forman, R.T.T.; Kareiva, P. Open Space Loss and Land Inequality in United States’ Cities, 1990–2000. PLoS ONE 2010, 5, e9509. [Google Scholar] [CrossRef]
- Toyi, O. Politiques Publiques Urbaines de l’Habitat Dans la Ville de Bujumbura de 1962 a 2009. Ph.D. Thesis, Université de Pau et des Pays de l’Adour, Pau, France, 2012. [Google Scholar]
- Mangenda, H.H.; Tshibuabua, F.M.; Bokako, C.E.; Dihoka, F.; Kandala, D. Urban Growth and Environmental Degradation in the Municipality of Kalamu, Kinshasa. Hal 2023. Available online: https://hal.science/hal-04151946 (accessed on 22 July 2024).
- Ujoh, F.; Dlama, K.I.; Oluseyi, I.O. Urban Expansion and Vegetal Cover Loss in and around Nigeria’ s Federal Capital City. J. Ecol. Nat. Environ. 2011, 3, 1–10. [Google Scholar]
- Koumoi, Z.; Alassane, A.; Djangbedja, M.; Boukpessi, T.; Kouya, A.-E. Dynamique Spatio-Temporelle de l’occupation Du Sol Dans Le Centre-Togo. AHOHO-Rev. Géographie LARDYMES 2013, 7, 163–172. [Google Scholar]
- Tungi, J.; Luzolo, T.; Ngembo, E.N.; Masivi, C.L.; Landu, E.L.; Kibwila, M.N. Pression Exercée Par Les Entreprises Pâtissières Artisanales et Nganda Ntaba Sur La Végétation Arborée Urbaine et Périurbaine à Kinshasa En République Démocratique Du Congo. Int. J. Innov. Sci. Res. 2022, 62, 25–39. [Google Scholar]
- Twite, G.; Balume, S. Utilisation Énergétique à l ’ Échelle Urbaine En République Démocratique Du Congo: État de Lieux, Défis et Perspectives Energy Use at the Urban Scale in the Democratic Republic of Congo: State of Affairs, Challenges and Perspectives; ISTE Ltd.: London, UK, 2000; pp. 1–19. [Google Scholar]
- Arnaud, Y.P.; Célestin, A.Y. Problematique de la Gestion Durable de la Foret Periurbaine de l’Anguededou (Abidjan, Cote D’Ivoire ). Rev. Sci. Tchad 2016, 36, 40–50. [Google Scholar]
- Kabisch, N. Ecosystem Service Implementation and Governance Challenges in Urban Green Space Planning-The Case of Berlin, Germany. Land Use Policy 2015, 42, 557–567. [Google Scholar] [CrossRef]
- Larson, K.L.; Nelson, K.C.; Samples, S.R.; Hall, S.J.; Bettez, N.; Cavender-Bares, J.; Groffman, P.M.; Grove, M.; Heffernan, J.B.; Hobbie, S.E.; et al. Ecosystem Services in Managing Residential Landscapes: Priorities, Value Dimensions, and Cross-Regional Patterns. Urban Ecosyst. 2016, 19, 95–113. [Google Scholar] [CrossRef]
- Cohen, B. Urban Growth in Developing Countries: A Review of Current Trends and a Caution Regarding Existing Forecasts. World Dev. 2004, 32, 23–51. [Google Scholar] [CrossRef]
- Angelone, S.; Holderegger, R. Population Genetics Suggests Effectiveness of Habitat Connectivity Measures for the European Tree Frog in Switzerland. J. Appl. Ecol. 2009, 46, 879–887. [Google Scholar] [CrossRef]





| Bujumbura | Kinshasa | Lubumbashi | |
|---|---|---|---|
| Year of creation | 1897 | 1881 | 1910 |
| Location | Between 3°30′ and 3°51′ S and 29°31′ and 29°42′ E | Between 4° and 5° S and 15° and 16° E | Between 11°27′ and 11°47′ S and 27°19′ and −27°40′ E |
| Area | 10,462 hectares | 9965 km2 | 747 km2 |
| Number of communes | 3 | 24 | 7 |
| Population | 1,225,142 residents | 170,329,463 residents | 2,812,000 residents |
| Year | Bujumbura | Kinshasa | Lubumbashi | |||
|---|---|---|---|---|---|---|
| Overall Accuracy | Kappa | Overall Accuracy | Kappa | Overall Accuracy | Kappa | |
| 2000 | 0.89 | 0.69 | 0.95 | 0.86 | 0.95 | 0.92 |
| 2013 | 0.93 | 0.79 | 0.97 | 0.88 | 0.96 | 0.94 |
| 2022 | 0.97 | 0.91 | 0.99 | 0.94 | 0.98 | 0.97 |
| Bujumbura | Year 2013 | ||||
|---|---|---|---|---|---|
| Vegetation | Buildings and Bare Ground | Other | Total | ||
| Year 2000 | Vegetation | 9.78 | 47.51 | 0.36 | 57.65 |
| Buildings and bare ground | 30.42 | 5.01 | 0.05 | 35.48 | |
| Other | 4.38 | 1.90 | 0.59 | 6.87 | |
| Total | 44.58 | 54.42 | 1.00 | 100 | |
| Year 2022 | |||||
| Year 2013 | Vegetation | 18.17 | 26.36 | 0.06 | 44.58 |
| Buildings and bare ground | 1.69 | 52.17 | 0.56 | 54.42 | |
| Other | 0.04 | 0.37 | 0.58 | 1.00 | |
| Total | 19.90 | 78.90 | 1.20 | 100 | |
| Kinshasa | Year 2013 | ||||
| Year 2000 | Vegetation | 58.31 | 6.70 | 0.46 | 65.47 |
| Buildings and bare ground | 11.17 | 21.94 | 0.03 | 33.14 | |
| Other | 1.12 | 0.06 | 0.21 | 0.39 | |
| Total | 70.60 | 28.70 | 0.70 | 100 | |
| Year 2022 | |||||
| Year 2013 | Vegetation | 60.78 | 8.28 | 1.54 | 70.60 |
| Buildings and bare ground | 3.86 | 24.80 | 0.04 | 28.70 | |
| Other | 0.28 | 0.02 | 0.40 | 0.71 | |
| Total | 64.92 | 33.10 | 1.99 | 100 | |
| Lubumbashi | Year 2013 | ||||
| Year 2000 | Vegetation | 30.85 | 17.75 | 21.65 | 70.25 |
| Buildings and bare ground | 1.13 | 12.75 | 275 | 16.63 | |
| Other | 3.46 | 4.67 | 4.99 | 13.12 | |
| Total | 35.44 | 35.17 | 29.39 | 100 | |
| Year 2022 | |||||
| Year 2013 | Vegetation | 18.91 | 7.55 | 8.98 | 35.44 |
| Buildings and bare ground | 1.89 | 30.92 | 2.36 | 35.17 | |
| Other | 5.46 | 15.50 | 8.43 | 29.39 | |
| Total | 26.26 | 53.97 | 19.77 | 100 | |
| Bujumbura | Kinshasa | Lubumbashi | ||
|---|---|---|---|---|
| 2000–2013 | Vegetation | 0.12 | 3.00 | 0.70 |
| Buildings and bare ground | 0.06 | 1.22 | 0.41 | |
| Other | 0.09 | 0.13 | 0.13 | |
| 2013–2022 | Vegetation | 0.65 | 4.35 | 0.79 |
| Buildings and bare ground | 1.80 | 2.03 | 1.13 | |
| Other | 0.56 | 0.21 | 0.26 |
| City | Year | ||||||
|---|---|---|---|---|---|---|---|
| Bujumbura | 2000 | 1246 | 6032.39 | 1.55 | 1.45 | 92.47 | 1.04 |
| 2013 | 1349 | 4665.01 | 5.15 | 1.79 | 91.99 | 1.04 | |
| 2022 | 1007 | 2081.94 | 3.36 | 1.62 | 86.03 | 1.04 | |
| Kinshasa | 2000 | 7704 | 652,209.25 | 57.47 | 15.36 | 92.80 | 1.04 |
| 2013 | 4623 | 703,429.35 | 63.49 | 27.61 | 95.50 | 1.04 | |
| 2022 | 6685 | 646,828.15 | 56.57 | 17.56 | 94.40 | 1.04 | |
| Lubumbashi | 2000 | 6925 | 55,453.28 | 47.12 | 8.00 | 85.46 | 1.04 |
| 2013 | 5386 | 28,034.65 | 10.77 | 5.20 | 83.30 | 1.04 | |
| 2022 | 11,173 | 20,904.10 | 15.96 | 1.87 | 92.10 | 1.04 |
Disclaimer/Publisher’s Note: The statements, opinions and data contained in all publications are solely those of the individual author(s) and contributor(s) and not of MDPI and/or the editor(s). MDPI and/or the editor(s) disclaim responsibility for any injury to people or property resulting from any ideas, methods, instructions or products referred to in the content. |
© 2024 by the authors. Licensee MDPI, Basel, Switzerland. This article is an open access article distributed under the terms and conditions of the Creative Commons Attribution (CC BY) license (https://creativecommons.org/licenses/by/4.0/).
Share and Cite
Kabanyegeye, H.; Cirezi, N.C.; Muteya, H.K.; Mbarushimana, D.; Mukubu Pika, L.; Salomon, W.; Useni Sikuzani, Y.; Sambieni, K.R.; Masharabu, T.; Bogaert, J. Spatio-Temporal Analysis of Green Infrastructure along the Urban-Rural Gradient of the Cities of Bujumbura, Kinshasa and Lubumbashi. Land 2024, 13, 1467. https://doi.org/10.3390/land13091467
Kabanyegeye H, Cirezi NC, Muteya HK, Mbarushimana D, Mukubu Pika L, Salomon W, Useni Sikuzani Y, Sambieni KR, Masharabu T, Bogaert J. Spatio-Temporal Analysis of Green Infrastructure along the Urban-Rural Gradient of the Cities of Bujumbura, Kinshasa and Lubumbashi. Land. 2024; 13(9):1467. https://doi.org/10.3390/land13091467
Chicago/Turabian StyleKabanyegeye, Henri, Nadège Cizungu Cirezi, Héritier Khoji Muteya, Didier Mbarushimana, Léa Mukubu Pika, Waselin Salomon, Yannick Useni Sikuzani, Kouagou Raoul Sambieni, Tatien Masharabu, and Jan Bogaert. 2024. "Spatio-Temporal Analysis of Green Infrastructure along the Urban-Rural Gradient of the Cities of Bujumbura, Kinshasa and Lubumbashi" Land 13, no. 9: 1467. https://doi.org/10.3390/land13091467
APA StyleKabanyegeye, H., Cirezi, N. C., Muteya, H. K., Mbarushimana, D., Mukubu Pika, L., Salomon, W., Useni Sikuzani, Y., Sambieni, K. R., Masharabu, T., & Bogaert, J. (2024). Spatio-Temporal Analysis of Green Infrastructure along the Urban-Rural Gradient of the Cities of Bujumbura, Kinshasa and Lubumbashi. Land, 13(9), 1467. https://doi.org/10.3390/land13091467

