Next Article in Journal
Factors Influencing Spatiotemporal Changes in the Urban Blue-Green Space Cooling Effect in Beijing–Tianjin–Hebei Based on Multi-Source Remote Sensing Data
Previous Article in Journal
Spatio-Temporal Diversification of per Capita Carbon Emissions in China: 2000–2020
 
 
Font Type:
Arial Georgia Verdana
Font Size:
Aa Aa Aa
Line Spacing:
Column Width:
Background:
Article

Land Regulation and Local Service Provision: Can Economic Growth and Environmental Protection Be Achieved Simultaneously?

1
School of Economics and Management, Tongji University, Shanghai 200092, China
2
School of Economics and Management, Fuzhou University, Fuzhou 350108, China
3
School of Business, Jinggangshan University, Ji’an 343000, China
*
Authors to whom correspondence should be addressed.
Land 2024, 13(9), 1422; https://doi.org/10.3390/land13091422
Submission received: 27 July 2024 / Revised: 28 August 2024 / Accepted: 30 August 2024 / Published: 3 September 2024
(This article belongs to the Section Land Socio-Economic and Political Issues)

Abstract

This study examines the impact of China’s industrial land approval reform (ILAR) on the provision of subnational services. Utilizing the 2011 pilot reform policy approved by the State Council, we utilize a staggered Difference-in-Differences (DID) method to determine the reform’s impact on local economic growth and environmental protection. The findings reveal that the reform enhances local economic development and decreases pollution levels. Additionally, the reform significantly decreases land resource misallocation in pilot cities, enhancing productivity. We also find that local governments allocate more land to the tertiary sector through this reform, achieving industrial upgrading. The optimization effects are more pronounced in cities with higher fiscal pressure. Based on these findings, we recommend that policymakers sustain decentralization efforts and consider further incentives for cities under fiscal stress. We fill a gap in the literature by linking land use regulation with subnational service provision, contributing to the understanding of the socioeconomic benefits of decentralization and local government service levels.

1. Introduction

China‘s land management system, designed to ensure food security in a densely populated country with limited arable land, imposes strict controls on the supply of new urban industrial land [1]. These administrative regulations are intended to prevent disorderly market behavior and urban sprawl [2]. However, such non-market interventions distort land price signaling mechanisms, potentially reducing the efficiency of land allocation within cities [3,4].
Administrative regulation is widely recognized as a significant factor in resource misallocation [5], and thus affects productivity [5,6,7,8,9,10,11]. As a typical administrative regulation, land regulation has been shown to distort market signals and reduce productivity [5,7].
Conversely, decentralization offers a potential remedy to these inefficiencies by delegating decision-making authority to local governments [12]. This shift allows local governments to better utilize their informational advantages, potentially leading to more efficient resource allocation [13,14,15,16]. Jin et al. (2023) suggest that reforms aimed at decentralizing administrative powers in China have successfully stimulated economic activity by empowering local governments [17]. Additionally, organizational theory, as discussed by Aghion and Tirole (1997), supports the idea that aligning power with information within an organization can enhance efficiency [13].
While the existing literature provides valuable insights into the benefits of reducing administrative regulation and the potential of decentralization [12,13,14,15,16,17], it often overlooks the specific impacts of decentralizing land approval processes on local public services. This gap underscores the need for further research in this area, particularly in the context of land management reforms. The objective of this paper is to examine the impact of decentralizing land approval authority on local economic growth and environmental protection. Specifically, the study seeks to address the following research questions: How does the decentralization of land approval rights influence local governments’ ability to promote economic growth? What is the effect of decentralization on environmental quality at the local level? What is the potential channel through which decentralizing land approval authority leads to economic growth and environmental improvement?
This paper uses the 2011 pilot reform of the urban industrial land approval system approved by the State Council, along with satellite data and micro-enterprise data, to identify the causal effect of the land approval management system reform on the improvement of local public services. The research framework is shown in Figure 1. Our novel contribution lies in the use of a staggered DID approach to capture the causal effects of this reform, offering a nuanced understanding of its dual impact on economic and environmental outcomes.
Specifically, before the reform, the land use in some large cities in China needed to be approved by the State Council. Starting in 2011, some of these cities were designated as pilot cities, where provincial departments reviewed the compliance of land use applications instead of the central government. This pilot policy reduced land market regulation and increased the flexibility of local government land supply. Using this pilot policy as a quasi-natural experiment, we employ a staggered DID (Difference-in-Differences) method, which compares outcomes over time between treated and untreated groups, accounting for the staggered adoption of reforms across regions. This approach allows us to examine how the reform of industrial land approval affects two aspects of subnational service provision—economic growth and environmental protection. We find that the reform not only promotes local economic growth but also reduces pollution levels. These conclusions are supported by a series of robustness checks.
In our mechanism tests, we find that the industrial land approval reform (ILAR) significantly reduces land resource misallocation in pilot cities and promotes both total factor productivity and green total factor productivity. Furthermore, compared to the control group, the pilot cities allocate more urban industrial land to tertiary industry, facilitating industrial structure adjustment and overall industrial upgrading.
In cities with poor fiscal conditions or larger budget deficits, local officials face greater financial pressure and may be more motivated to focus on efficiency in land supply policies [18]. The optimization effect of the pilot policy on land allocation may be stronger under such fiscal pressures [18]. We measure the fiscal pressure faced by local governments by calculating the ratio of the budget deficit to general budget revenue one year before the policy implementation, and perform a grouped regression based on whether the fiscal pressure is greater than the sample median. The results show that the pilot policy significantly impacts cities facing high fiscal pressure. However, it does not affect cities with low fiscal pressure. This suggests that local governments under higher fiscal pressure are more likely to fully utilize land approval and allocation authority to flexibly match suitable industrial land for enterprises, thereby optimizing land allocation efficiency, promoting economic growth, and reducing environmental pollution.
This paper makes three key contributions to the literature. First, it improves understanding of the effects of land use regulation by linking industrial land approval to local service provision, specifically economic growth and environmental protection. While the existing studies often focus on the economic impacts of land use regulation [5,7], this paper addresses the gap by exploring how such regulations influence local service outcomes.
Second, it contributes to the literature on the socioeconomic benefits of decentralization. Although decentralization is known to impact local governance and efficiency, studies often show mixed results [12,13,14,15,16]. This paper enriches the understanding of decentralization by specifically examining the effects of devolving industrial land approval authority on local service provision, providing new insights into its benefits.
Third, it advances the literature on local government service levels [16,19,20]. By investigating how the decentralization of land approval affects local economic growth and environmental protection, this paper highlights how improving land allocation efficiency can simultaneously support industrial upgrading and environmental goals, offering a broader perspective on local governance and resource management.
The remainder of this paper is structured as follows: Section 2 provides background information and a theoretical framework. Section 3 presents the research design, including variables, data, and models. Section 4 reports the baseline regression results and robustness checks. Section 5 explores potential mechanisms. Section 6 presents a scientific discussion. The final section is the conclusion.

2. Institutional Background and Theoretical Framework

2.1. Institutional Background

2.1.1. China’s Land Approval Management System

With the deepening of economic reforms and the intensification of conflicts between population, resources, and the environment, there has been a severe shortage of industrial land resources in China [21]. Post-reform, the loss of arable land has been significant. Consequently, China implemented a hierarchical land approval system, where industrial land is managed and approved at five government levels. The 1986 revised Land Administration Law stipulated that the use of over 1000 Mu of arable land or 2000 Mu of other land for national industrial projects must be approved by the State Council1. For land within provincial or autonomous regional administrative areas, the provincial or autonomous regional governments are responsible for approval [18,22]. For the requisition of less than 3 Mu of arable land or less than 10 Mu of other land, county-level governments are responsible for approval [18,22].
After the enactment of the 1986 Land Administration Law, the State Land Administration organized the first round of comprehensive land use planning, ensuring that land use followed a pre-determined plan [22]. In December 1987, the General Office of the State Council issued a notification emphasizing that comprehensive land use planning should be a guiding, long-term framework classified into three levels: national, provincial (including autonomous regions and municipalities), and municipal/county [18].
In April 1999, the State Council approved the National Land Use Plan Outline (1997–2010), which focused on protecting arable land and proposed a dynamic balance of total arable land. This plan established a top-down approach, distributing land use quotas through an annual plan based on indicators and zoning, providing a basis for allocating industrial land quotas2.
During the second round of land use planning, China’s land use control system was formally established, creating a top-down five-level planning system nationwide. Town-level plans delineated land use control zones, specifying the basic uses of each plot. Land users, whether individuals or entities, had to adhere strictly to the planned land use [21,22].
Under this system, the approval process for industrial land in China became very complex [22]. It often took several months or even a year from project initiation to approval, leading to the unauthorized use of land in practice [18]. Additionally, land approval authority is concentrated at the central and provincial government levels, resulting in significant workloads and lengthy approval cycles, ranging from a quarter to a year or more [18]. City and county governments have minimal approval authority, causing the speed of administrative land approvals to lag behind economic and social development, hindering local investment and industrial projects, and constraining economic development [18].

2.1.2. Pilot Reform of the State Council-Approved Urban Industrial Land Approval System

Urban industrial land in China is subject to strict regulation by the land approval management system [18]. This system includes pre-approval of land use for industrial projects, approval for converting agricultural land to industrial land, land acquisition approval, and land supply approval, involving multiple levels of government [23]. The State Council-approved urban industrial land approval system is a crucial part of this regulatory framework [21]. Within the scope of land use plans for municipalities directly under the central government, cities listed separately in the national plan, provincial and autonomous region capitals, and cities with populations over 500,000, the use of land involving the conversion of agricultural land to industrial land must be approved by the State Council [22]. Based on these standards, the former Ministry of Land and Resources identified 84 cities in 1999 where the conversion of agricultural land to industrial land required State Council approval [24].
In 2011, the former Ministry of Land and Resources issued a notice to pilot a reform aimed at improving the approval process for urban industrial land requiring State Council approval [24]. The pilot policy aimed to enhance approval efficiency and ensure the availability of urban industrial land [18]. The primary content involved delegating the responsibility for land parcel reviews to provincial governments [22]. In pilot cities, responsibilities were divided according to the principle of “central approval of scale, local control of structure”, with provincial departments reviewing specific land use compliance [18]. When provincial governments reviewed the conversion of agricultural land and land acquisition implementation plans, substantive reviews were conducted to improve efficiency and reduce redundant reviews [18]. The pilot policy was implemented in three phases. In the first phase in 2011, 35 pilot cities began the reform. In the second phase in 2012, 20 additional cities were included. By the third phase in 2016, the pilot policy expanded to all cities requiring State Council-approved land [18]3.
The significance of this reform lies in reducing land market regulation and increasing the flexibility of land supply by local governments. Local governments no longer need to submit specific project-related information to the central government in advance, allowing them to match suitable land use enterprises after obtaining land use quotas [18]. This increased flexibility helps local governments to leverage their informational advantages to provide enterprises with land that meets their needs, enhancing the efficiency of the land market [24].

2.2. Theoretical Framework

2.2.1. Decentralization, Resource Misallocation, and Economic Growth

According to Oates’ Decentralization Theorem, since local governments have informational advantages, the delegation of power from central governments to local governments can enhance the efficiency of local governments in providing public goods and stimulating economic growth [25]. This proposition is supported by a substantial body of literature and is corroborated by the experiences of both developed and developing countries that have undergone decentralization reforms [26,27]. According to this theory, in land resource allocation, local governments have at least two advantages over central governments: deeper knowledge of the enterprises within their jurisdiction and a better understanding of the industrial structure in their areas [28]. Therefore, when local governments gain greater autonomy in land approval processes, the misallocation of land resources among different enterprises and industries within their jurisdictions can be alleviated to some extent [26].
Total factor productivity (TFP) is a crucial determinant of output levels, and a significant portion of the output differences across countries can be explained by TFP disparities [29]. Early theories generally attributed TFP differences primarily to technological differences [30]. However, Restuccia and Rogerson (2008) introduce a new perspective in their pioneering research, suggesting that, in addition to technology levels, misallocation of resources among firms can also significantly impact productivity [6,31]. Baqaee and Farhi (2020) systematically summarized this theory and, in their model, differentiated productivity differences into two components: technological efficiency differences and allocative efficiency differences [32].
According to these theories, decentralization can improve resource allocation efficiency by alleviating information asymmetries, thereby promoting productivity enhancement and increasing total output [29,30,31,32]. Consequently, under the influence of ILAR, granting local governments greater authority in land approvals can contribute to local economic development.

2.2.2. Decentralization, Government Attention, and Environmental Quality

Oates’ theory posits that decentralization enhances the provision of public goods [25], but some literature also highlights that this theory faces many complex challenges [28]. On the one hand, decentralization itself is complex. There are various types of decentralization, and real-world decentralization reforms often involve multiple aspects of government power [28,33]. On the other hand, the entities to which power is decentralized, local governments, have highly heterogeneous decision-making processes and agendas [16,28]. Government attention theory suggests that the allocation of government attention to specific issues fluctuates [34]; at different times, governments may increase their focus on certain policies while decreasing attention to others [16]. Government attention allocation is an active choice, so when local governments gain more discretionary power through decentralization, they have greater leeway to adjust their attention allocation [16]. In China, because it is closely tied to promotion prospects, economic growth tends to attract more attention from local government officials [35]. According to this theory, in China, decentralization might lead local governments to allocate more attention to economic development, while neglecting environmental protection.
However, the aforementioned government attention theory also faces two challenges. First, this theory requires a high degree of decentralization in terms of scope and intensity [28]. Second, it needs to consider spillover effects between different government matters [16]. The ILAR focused on in this paper is a very narrow reform, involving only the right to approve land use. Thus, the policy does not provide a large enough space for local governments to significantly affect the allocation of attention across different matters. Moreover, although early development in China was perceived as having sacrificed the environment, this was largely a result of the industrialization process [16]. As China’s level of industrialization has increased, economic development is now often driven by innovation and industrial upgrading, which can promote economic growth while also generating positive environmental externalities [36]. Therefore, while ILAR promotes local economic growth, it may also concurrently improve environmental quality.

2.2.3. Land Resource Misallocation, Economic Growth, and Environmental Quality

Misallocation of land resources affects both economic growth and environmental quality by hindering the advancement of the manufacturing sector and obstructing the transition towards a service-oriented industrial structure. Since the tax-sharing reform, the central government has centralized fiscal power, but the division of responsibilities between the central and local governments has remained largely unchanged, leading to increased financial pressure on local governments [37]. In the pursuit of maximizing fiscal revenue and under a performance evaluation system that emphasizes economic growth, local governments are incentivized to attract large-scale investment, often prioritizing the development of capital-intensive industries or heavy industry [38]. As land is the most fundamental and crucial economic resource for local development, it has become a key tool for local governments to gain a competitive advantage in attracting investments [39]. Consequently, urban construction land has primarily been allocated to the construction of infrastructure related to industrial production and the industrial sector itself, leading to the repetitive construction of capital-intensive industries and heavy industry across regions and resulting in a homogeneous industrial structure dominated by such sectors [39]. This biased allocation of land towards industrial development has also squeezed the space available for the modern service industry, hindering its growth and slowing the progress of industrial restructuring towards services [40]. The modern service industry is characterized by high technological content, significant economies of scale, rapid productivity improvements, and low energy consumption and pollution. Therefore, promoting the development of the modern service industry and increasing its share in the economic structure is crucial for reducing air pollution and improving air quality [40]. However, as urban spaces continue to expand and land supply increases, a large portion of construction land has been allocated to industrial and related fields. Local governments often allocate 40% to 50% of the acquired construction land to industrial development at low or zero land prices, while only 20% to 30% of the land is sold at higher prices for commercial services and housing development [41]. This not only directly hinders the development of the modern service industry but also raises the cost of production and operation for this sector, limiting its full development and clustering [40].
Secondly, misallocation of land resources undermines urban technological innovation, weakening cities’ growth potential and pollution control capabilities. Local governments’ strategies of lowering industrial land prices and expanding the scale of industrial land sales to attract investments can result in inefficient enterprises entering the region due to low land costs. This reduces the overall TFP and innovation capacity of industrial enterprises in the city, which is detrimental to the development, promotion, and application of clean production technologies and the effective control of air pollution [39]. Under the pressure of economic growth competition and political promotion incentives, local governments not only engage in bottom-line competition by expanding the scale of land sales and lowering land prices but also by lowering the quality of the attracted investments [37]. The GDP-focused evaluation mechanism drives local governments to allocate land and other resources towards capital-intensive industries that favor short-term economic growth [38]. These industries are often targeted by development zones and industrial parks for major investment projects [40]. Due to the short-term focus on the scale of the attracted investments rather than the quality, a large number of inefficient enterprises investing in scarce industrial land inevitably leads to outdated technology, low technological content, and bleak future prospects for middle-to-low-end production capacity. This impedes the overall enhancement of urban R&D capabilities and the continuous improvement of green technology levels, making it difficult to effectively control and improve pollution through the development and innovation of green and clean technologies [41]. Furthermore, government-induced distortions in industrial land prices can disrupt the selection effect, preventing high-productivity firms from entering the city due to non-market factors, while allowing low-productivity firms with weak innovation capabilities to occupy valuable land [40]. When inefficient enterprises occupy industrial land at low prices, they can still achieve significant profits despite low productivity and innovation levels, reducing their incentive to invest in R&D and technological innovation, which is unfavorable for the development and promotion of green production technologies [42].
Finally, in terms of scale effects, misallocation of land resources can weaken agglomeration effects, hindering economic growth and exacerbating pollution. Generally, in the absence of excessive administrative intervention, enterprises would choose optimal locations for agglomeration based on efficiency principles under the influence of market forces [38]. Market-driven industrial agglomeration emphasizes the intrinsic connections between enterprises and the alignment of corporate behavior with local comparative advantages, which can effectively stimulate economies of scale and technological spillovers over the long term. This enhances production and energy-saving technologies, thereby reducing environmental pollution [38,42]. However, local governments’ bottom-line competition to lower industrial land prices and expand land sales for investment attraction effectively intervenes in the land market by offering land rent discounts and implicit subsidies, significantly reducing production costs and investment risks for enterprises within the region, leading to the concentration of numerous external enterprises attracted by these “land incentives” [40]. Because this concentration does not follow market principles, the government-induced agglomeration of enterprises through land policy incentives may lead to rapid economic growth and increased tax revenue in the short term, but it fails to effectively harness technological spillovers and economies of scale. This reduces the potential pollution reduction effects of industrial agglomeration, leads to the repetitive low-level construction of industries, wastes resources, and further exacerbates pollution [40,43].

3. Research Design

3.1. Empirical Model

This paper utilizes the exogenous impact of a land approval reform, employing the DID method to estimate the effect of the ILAR on subnational services and channels. According to the relevant regulations, there were initially 84 cities requiring State Council approval for industrial land. In 2011, the first batch of the reform pilot included 35 cities, with an additional 20 cities included in 2012. Thus, this study considers the 84 cities initially identified as requiring State Council approval as the total sample. A total of 53 cities from the initial and subsequent pilot phases belong to the treatment group, while the control group consists of the 31 cities not selected for the pilot. Given that the pilot program was rolled out in two stages in 2011 and 2012, this study employs a staggered DID model, as illustrated in Equation (1).
O u t C o m e s c t = β 0 + β 1 D I D c t + β 2 X c t + θ c + μ t + ε c t
Here, the subscripts c and t represent city and year, respectively. The dependent variable OutComect is a set of dependent variables of city c in year t, including PM2.5 concentration (PM25), nighttime light intensity (Light), government-reported PM2.5 concentrations (LnPM), GDP growth rate (Gdp_Grow), land resource misallocation within cities (MIS), total factor productivity (TFP), green total factor productivity (GTFP), the proportion of land supply for the primary (LS_1), secondary (LS_2), and tertiary (LS_3) industries, and the industrial upgrading index (Upgrade_1 and Upgrade_2). DIDct is the core explanatory variable of the model, taking a value of 1 if city c is in the pilot state in year t, and 0 otherwise. Xct represents the control variables at the city level. θ c and μ t are city and year fixed effects, respectively. ε c t is the random disturbance term. In this model, the coefficient β 1 reflects the causal effect of the land approval system reform pilot policy on the dependent variable. Standard errors are clustered at the city level in the empirical process.
The validity of the DID model estimates relies on the parallel trend assumption between the treatment and control groups before the intervention. We employ an event study approach to test whether our sample and model satisfy the parallel trend assumption. Specifically, we use the following model:
P M 25 / L i g h t i t = λ 0 + λ 1 P r e _ 2 c t + λ 2 P r e _ 1 c t + λ 3 C u r r e n t c t + λ 4 P o s t _ 1 c t + λ 5 P o s t _ 2 c t + λ 6 P o s t _ 3 c t + λ 7 X c t + θ c + μ t + ε c t
where Pre_2 indicates whether the observation from 2009 is affected by ILAR (1 if true, 0 otherwise). Pre_1 does the same for 2010, Current for 2011, Post_1 for 2012, Post_2 for 2013, and Post_3 for 2014. All other variables follow the definitions given in Equation (1).

3.2. Data and Variables

3.2.1. Data Sources

Databases used in this paper include the satellite data from Washington University in St. Louis, the China City Statistical Yearbook, National Enterprise Tax Survey Database of China, CEIC database, and China Land Market Network’s Land Transaction Database.
Among these databases, the National Enterprise Tax Survey Database of China is the only micro database, which includes value-added tax revenue accounting for approximately 75% of the total national value-added tax revenue annually. We cleaned the database as follows: ① Excluded samples from Lhasa due to severe data gaps. ② Retained only industrial enterprises labeled as “manufacturing” in the original database, and unified industry codes post-2011 using the 2002 National Economic Industry Classification. ③ Excluded samples with missing or zero values for “urban land use tax payable” and “taxable land area”. ④ Excluded samples with non-positive values for “new fixed asset investment”, “industrial added value”, or “fixed assets”. ⑤ Excluded samples with “number of employees” less than or equal to 8 or missing. ⑥ Excluded the top and bottom 1% of enterprises in each industry based on “industrial added value”, “number of employees”, “fixed assets”, “land area stock”, and “new fixed asset investment”. ⑦ Excluded enterprises in the “tobacco manufacturing” and “petroleum processing, coking, and nuclear fuel processing” industries. ⑧ Excluded city–industry samples with fewer than five enterprises in a given year.

3.2.2. Variables

The dependent variables in this study include PM2.5 concentration (PM25), nighttime light intensity (Light), government-reported PM2.5 concentrations (LnPM), GDP growth rate (Gdp_Grow), land resource misallocation within cities (MIS), total factor productivity (TFP), green total factor productivity (GTFP), the proportion of land supply for the primary (LS_1), secondary (LS_2), and tertiary (LS_3) industries, and the industrial upgrading index (Upgrade_1 and Upgrade_2).
As suggested by Yao et al. (2022) [44] and Li et al. (2021) [16], we proxy city-level PM2.5 concentrations (PM25) as a measure of environmental quality4 and proxy nighttime light density (Light) as a measurement of economic growth. We obtained raw satellite data from Washington University in St. Louis and calculated these two variables using the grid method, according to Yao et al. (2022). We also verified the baseline regression conclusions using local government-reported PM2.5 concentrations (LnPM) and GDP growth (Gdp_Grow) data in robustness checks, which remained robust.
Another dependent variable, the degree of land resource misallocation within cities, is calculated following Duranton et al. (2015) [48]. Using the Olley and Pakes (1992) method [49], we constructed a land misallocation index (MIS) at the prefecture level to quantify the extent of land factor misallocation among enterprises within each city.
Total factor productivity (TFP) is measured by the Slack-Based Measure (SBM) model with undesirable outputs from Data Envelopment Analysis (DEA), according to Lee et al. (2022) [29]. Similarly, the SBM model with undesirable output is used to gauge green total factor productivity (GTFP).
To calculate the proportion of land supply for the primary (LS_1), secondary (LS_2), and tertiary (LS_3) industries, we categorized each land transaction based on its use and associated industry into three categories, primary, secondary, and tertiary industries, and calculated the proportion of each type in the total land transaction area for each city.
We used two different indicators to measure industrial upgrading in each city. First, following Yuan and Zhu (2018) [50], we used the industrial structure coefficient to represent the relative changes in the proportions of the three major industries, depicting the evolution of their relative scales (Upgrade_1). The specific calculation formula is:
U p g r a d e c t = m = 1 3 y c m t × m ,   m = 1,2 , 3 .
where ycmt denotes the proportion of industry m in region i in period t, reflecting the transition of China’s three major industries from dominance by the primary industry to relative dominance by the secondary and tertiary industries. Secondly, we used the ratio of the output values of the tertiary to the secondary industry as another measure of industrial upgrading (Upgrade_2).
The city-level control variables used in this study include population (LnPop), per capita GDP (LnPerGDP), administrative area (LnArea), fiscal self-sufficiency (Fiscal), export–import ratio (Exp_Imp), and level of industrialization (Ind_Stru). The measurement methods and sources of these variables are reported in Table 1, and the descriptive statistics of all variables are reported in Table 2.
Ultimately, considering data availability and the time window, we used an unbalanced panel dataset covering 84 cities from 2008 to 2014 for empirical analysis5.

4. Empirical Analysis

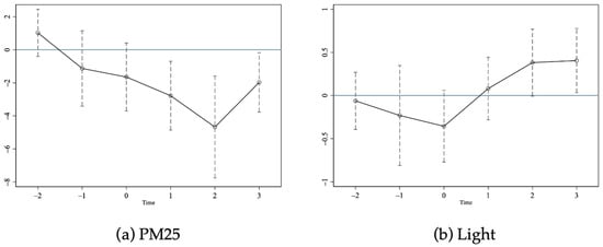
4.1. Parallel Trend Test

We first report the results of parallel trend tests to show the validity of the DID model estimates. Figure 2 reports the estimation results based on Equation (3). Panel (a) shows the estimated results on PM25, and Panel (b) shows the estimated results on Light. Both panels indicate no statistically significant differences before 2011 between the two types of cities, validating our DID specification. Figure 2 also reflects the dynamic impacts of ILAR, showing that the negative impact on PM2.5 intensity becomes significant in the first year after ILAR, while the effect on economic growth becomes significant in the second year after ILAR.

4.2. Baseline Regression Results

First, we utilize Equation (1) to examine the causal effects of the ILAR (industrial land approval reform) pilot policy on urban environmental protection and economic growth. The results are detailed in Table 3. Columns (1) and (3) include only city and time fixed effects, without other control variables. Columns (2) and (4) account for city-level characteristics in addition to fixed effects. In both scenarios, the coefficients of the primary explanatory variable are statistically significant. Specifically, in Column (2), the coefficient is −1.036 and significant at the 95% confidence level, indicating that ILAR reduces PM2.5 concentration by 3% in the treatment group compared to the control group. In Column (4), the coefficient is 0.377 and significant at the 99% confidence level, suggesting that ILAR increases nighttime light density by 26% in the treatment group relative to the control group. These results suggest that ILAR significantly promotes economic growth while also enhancing environmental quality.
While these results suggest that ILAR significantly promotes economic growth, it is important to note that the magnitude of its impact on economic growth, as measured by nighttime light density, is greater than its impact on environmental quality, as measured by PM2.5 concentration. Therefore, although ILAR contributes to both economic growth and environmental quality, the improvements are not necessarily equal. This nuanced finding highlights the complex trade-offs inherent in a policy design aimed at achieving simultaneous economic and environmental objectives.

4.3. Robustness Checks

To confirm the robustness of the baseline regression results, we perform several robustness checks, including variable substitution, placebo tests, Bacon decomposition, and CS-DID.
First, we replace the satellite data-based PM2.5 concentration and nighttime light data with the logarithm of PM2.5 emissions and GDP growth rate reported by the cities. Using these as new dependent variables, we rerun our baseline model and report the results in Table 4. The results in Column (1) indicate that ILAR significantly reduces PM2.5 emissions, while the results in Column (2) show that ILAR significantly promotes economic growth. The conclusions in Table 4 are consistent with those of the baseline regression.
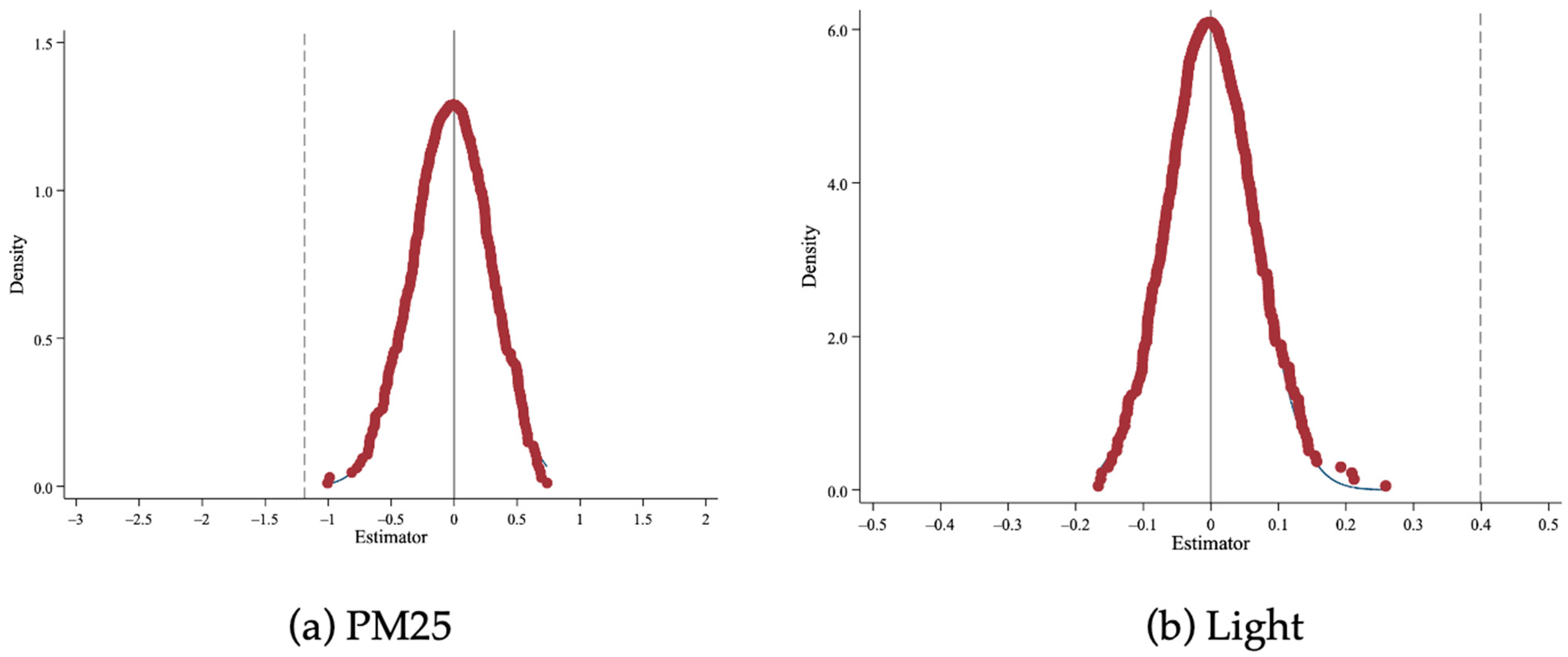
Second, to ensure the robustness of the baseline regression results, we perform placebo tests. Specifically, we randomly select 34 and 19 sample cities as the first and second batch of treatment group cities, respectively, and re-estimate the baseline regression. Using PM25 and Light as the dependent variable, we conduct 500 random samples for the treatment group. We report the results in Figure 3. The results indicate that the main coefficient estimates from the 500 random samples are centered around zero, but the coefficient estimates from the baseline regression are significantly different from zero, further demonstrating the robustness of our baseline regression results.
Recent econometric research suggests that when pilot policies are implemented at different times, the multiple-period DID regression estimates under double fixed effects may be biased [51]. This bias arises due to differences in treatment timing and heterogeneous treatment effects. First, we decompose the average treatment effect in our baseline regression according to the method provided by Goodman-Bacon (2021) [51]. The results show that the difference between early and late-treated samples contributes only about 1% to the average treatment effect, and the bias from the “forbidden control group” is minimal, indicating that our baseline regression results are reliable. Second, we apply the robust estimation method of Callaway and Sant’Anna (2021) to our baseline model, re-estimating the average treatment effect of the pilot policy [52]. The results are similar to those of the baseline regression, suggesting that ILAR significantly reduces pollution emissions and promotes economic growth even when using more robust estimation methods6.

5. Mechanisms

So far, our empirical research confirms that decentralizing industrial land approval authority from the central to the provincial government effectively promotes economic growth and enhances environmental quality. In Section 6, we explore the channels through which ILAR affects economic growth and environmental quality.

5.1. Does ILAR Effectively Decrease Misallocation of Land in Cities?

The existing research suggests that regulation is an important institutional basis for misallocation [16], and resource misallocation can simultaneously impact economic growth and environmental protection [53]. ILAR can be seen as a mitigation of land market regulation. Therefore, we predict that ILAR will lead to a reduction in urban land resource misallocation.
We use the degree of land resource misallocation between different productivity enterprises within cities, based on the tax survey database, as the dependent variable. Using Equation (1), we examine the causal effect of ILAR on land resource misallocation. Table 5 reports the regression results. Column (1) controls only for city and time fixed effects, while Column (2) additionally controls for city-level characteristics. The coefficients of the explanatory variable of interest are significantly negative in both columns. In Column (2), the estimated coefficient is −0.079 and significant at the 99% confidence level. This means that, relative to the mean, ILAR reduces the degree of land resource misallocation in the treatment group by 37% compared to the control group.

5.2. Does ILAR Effectively Increase Productivity?

ILAR can leverage local governments’ information advantages, allowing them to match suitable plots of land to enterprises with heterogeneous land marginal returns, thereby bringing the total land input and output of enterprises closer to the optimal production scale. Previous studies have repeatedly found that relaxing land regulation can effectively enhance productivity [7]. Therefore, we hypothesize that ILAR increases total factor productivity (TFP) and green total factor productivity (GTFP), thereby promoting economic growth and enhancing environmental quality.
We use TFP and GTFP as dependent variables to assess ILAR’s impact, with the results shown in Table 6. Columns (1) and (2) present the findings for TFP, while Columns (3) and (4) focus on GTFP. The coefficients for the explanatory variables in both cases are significantly positive, indicating that ILAR notably enhances TFP and GTFP in the pilot cities. Specifically, in Column (2), the coefficient of 0.136, significant at the 99% confidence level, suggests ILAR boosts TFP in pilot cities by 9% compared to the control group. In Column (4), the coefficient of 0.013, significant at the 95% confidence level, indicates that ILAR increases GTFP by 1.3% in the pilot cities relative to the control group. This demonstrates that ILAR has a more pronounced effect on TFP compared to GTFP, consistent with our baseline regression results, which also showed that ILAR has a greater impact on economic growth than on environmental quality.

5.3. Does ILAR Promote Industrial Upgrading?

With greater autonomy in land use, local governments may allocate land resources to guide local industrial upgrading based on regional development strategies and industrial policy goals. Zhang et al. (2023) found that local governments tend to favor key industries during land allocation [18]. Therefore, we anticipate that when local governments gain greater autonomy in land use, they will allocate more land resources to higher-end industries to promote local economic transformation and upgrading, which will, in turn, bring economic growth and environmental improvement.
We first calculate the proportion of land sold annually for different purposes and industries in each city based on the CLMNLTD. We then estimate the causal effects of ILAR on the proportion of land allocated to each industry. Table 7 reports our results. In Column (1), the estimated coefficient of the explanatory variable is zero and insignificant, indicating that ILAR did not affect land allocation for primary industry. However, in Columns (2) and (3), the estimated coefficients of the explanatory variable are significantly negative and positive, respectively. This indicates that pilot cities with greater land autonomy tend to allocate less land to secondary industry but more to tertiary industry. Specifically, relative to the mean, ILAR reduces the proportion of land allocated to secondary industry in pilot cities by 8% but increases the proportion of land allocated to tertiary industry by 7%. Therefore, ILAR can achieve industrial upgrading by reducing the proportion of land allocated to secondary industry and increasing the proportion allocated to tertiary industry.
Next, we examine whether the bias towards land supply for the tertiary sector in ILAR pilot cities indeed fosters industrial upgrading. We select two proxy variables for industrial upgrading and use Equation (1) to test the causal effect of ILAR on industrial upgrading. The results are reported in Table 8. In Table 8, the estimated coefficients of the explanatory variable in Columns (1) and (2) are both significantly positive. This indicates that ILAR not only causes cities to favor land supply for the tertiary sector but also indeed promotes industrial upgrading in these cities.

5.4. Does Fiscal Incentive Matter?

We have confirmed that when local governments gain greater land use rights, they choose more optimal land resource allocations. In cities with poor fiscal conditions or larger fiscal deficits, local officials face greater fiscal pressure and may have more motivation to increase the efficiency of land supply policies to promote local enterprise development and expand the tax base. The land allocation optimization effect of the pilot policy might be stronger in such cities.
We calculate the ratio of fiscal deficit to general budgetary revenue in the year before ILAR implementation, measuring the fiscal pressure faced by local governments. We then perform grouped regressions based on whether local governments’ fiscal pressure is above or below the median of the sample. The results are detailed in Table 9. Columns (1) and (3) display results for subsamples with lower fiscal pressure, while Columns (2) and (4) present findings for subsamples with higher fiscal pressure. The coefficients of the explanatory variable are significant only in Columns (2) and (4), with signs consistent with those observed in the baseline regression. This means that the pilot policy has a significant effect in cities with a higher fiscal pressure, but not in cities with a lower fiscal pressure. This suggests that local governments with a higher fiscal pressure are more likely to fully utilize their land approval and allocation rights, flexibly matching suitable industrial land to enterprises to optimize land allocation efficiency, thereby promoting local economic growth and improving local environmental quality.

6. Discussion

Our findings align with the perspectives of Hsieh and Klenow (2009) and Restuccia and Rogerson (2017) on the positive impact of efficient resource allocation on productivity growth in both developed and developing countries [5,6]. This paper further focuses on land resource allocation, supporting the views of Duranton et al. (2015) on the relationship between land resource misallocation and productivity [48]. Unlike them, we extend the impact of land resource misallocation caused by land resource regulation to industrial upgrading, economic growth, and environmental quality. Specifically, unlike most literature that focuses on the productivity channel, we have discovered a new channel through which land resource allocation affects economic growth—industrial upgrading [7,18,43,48]. This paper also responds to the literature on the impact of decentralization theory. Based on the government attention allocation theory, Li et al. (2021) found that decentralization promotes economic development, but the government neglects environmental protection [16]. In contrast, our study shows that the decentralization of industrial land approval rights in China has promoted local economic growth while reducing pollution. This indicates that, by promoting economic and environmental outcomes, industrial land allocation reform (ILAR) can provide a more balanced approach to decentralization. Our conclusion implies that the delegation of a single right can effectively avoid the government’s attention allocation issues brought about by complex decentralization. In addition, our research results also support the Porter hypothesis [54,55], indicating that economic growth and environmental protection can be achieved simultaneously [54,55,56]. Unlike previous studies, this paper proposes that the effective allocation of land resources is an effective means to achieve a common development of economic growth and environmental quality.
Our research conclusions have broad policy implications. Although there are differences in land ownership among different countries, almost all countries have their own land use planning [5,57]. Even developed countries that advocate a free economy and have abundant land resources are no exception. For example, the Canadian federal government implements land use control measures such as the establishment of the “Land Zoning Management Act”, land parcel control, land development plan control, and the change of agricultural land grade restrictions to control urban land and agricultural land use [58], through legal requirements for local governments to delineate urban growth lines, develop in phases and batches, and control the total amount of building permits according to the local economic development status and the current land use situation, to control the scale of urban development and protect high-quality arable land [59]. According to an OECD report, there are more than 100,000 land use regulations and related laws and regulations in the 32 surveyed OECD countries [57]. Our conclusion shows that for these countries with land use approval and planning, delegating this approval power to more efficient local governments will help promote local economic development and the improvement of environmental quality.
First, the success of ILAR in stimulating local economic growth and reducing pollution suggests that similar land use reforms should be expanded and adapted to other regions, especially those with significant industrial activities. Second, to further optimize resource allocation, local governments should be granted greater flexibility in land approval processes, particularly in areas facing high fiscal pressure. This might involve decentralizing more administrative powers to local governments, allowing them to better align land use with regional economic and environmental priorities. Lastly, policies that encourage the allocation of more land to the tertiary sector could be promoted to facilitate industrial upgrading and sustainable urban development across China.
One limitation of our study is the time frame of the data. Due to data availability, our sample period is confined to the years 2008 to 2014. This limitation prevents us from analyzing the long-term effects of ILAR. Future research with a more extended data period could provide further insights into the sustained impacts of this reform. Our research is based on a single country. However, as we mentioned, land use regulation is a widespread phenomenon globally, and future research can also be further tested using data from other countries or transnational comparisons.

7. Conclusions

This study investigates the impact of ILAR on environmental protection and economic growth. By utilizing a DID model and a comprehensive dataset covering multiple Chinese cities, we provide robust empirical evidence on the causal effects of devolving industrial land approval authority from the central government to provincial governments.
Our baseline regression results demonstrate that ILAR significantly reduces PM2.5 concentration and increases nighttime light intensity, indicating simultaneous improvements in environmental quality and economic growth. Specifically, our findings show that ILAR decreases PM2.5 concentrations by approximately 3% and increases nighttime light intensity by about 26% relative to the control group.
Mechanism analyses reveal that ILAR effectively reduces land misallocation within cities, as evidenced by a 37% decrease in land resource misallocation. Furthermore, ILAR enhances TFP and GTFP in pilot cities, contributing to economic growth and environmental quality. The positive impacts on TFP and GTFP align with our baseline results, indicating that the economic benefits of ILAR outweigh the environmental gains. We also find that ILAR promotes industrial upgrading by favoring land allocation to the tertiary sector, which significantly boosts local economic transformation and development. This shift from secondary to tertiary sector land use underscores ILAR’s role in facilitating structural economic changes.
Lastly, our results highlight the role of fiscal incentives in the effectiveness of ILAR. Cities with higher fiscal pressure exhibit more significant positive effects from the reform, suggesting that local governments with greater fiscal stress are more motivated to optimize land allocation for economic and environmental gains.
In conclusion, this study provides comprehensive evidence that devolving industrial land approval authority to provincial governments through ILAR not only fosters economic growth but also enhances environmental protection. These findings underscore the importance of local governance and fiscal incentives in the successful implementation of land reform policies. Future research could further explore the long-term impacts of ILAR and other decentralization policies on sustainable urban development. Based on these findings, we recommend that policymakers sustain decentralization efforts and consider further incentives for cities under fiscal stress.

Author Contributions

Conceptualization, X.Z. and K.D.; Data curation, L.Y. and X.W.; Funding acquisition, K.D.; Methodology, X.Z. and L.Y.; Software, X.Z. and L.Y.; Writing—original draft, X.Z.; Writing—review and editing, X.Z. and K.D. All authors have read and agreed to the published version of the manuscript.

Funding

This study was supported by the National Social Science Foundation of China (23CJY017), Natural Science Foundation of Fujian Province (2023J05098), and Social Science Foundation of Fujian Province (FJ2023C035).

Data Availability Statement

Data are available upon request.

Acknowledgments

We would like to thank the editor and the anonymous reviewers for their helpful suggestions and comments.

Conflicts of Interest

The authors declare no conflicts of interest.

Appendix A

Table A1. The results of DID with multiple periods estimator.
Table A1. The results of DID with multiple periods estimator.
Dependent VariablesPM25Light
(1)(2)(3)(4)
ATT−2.021 *−1.826 **0.373 ***0.427 ***
(1.105)(0.836)(0.118)(0.121)
N510510510510
Notes: This table presents the estimated results implementing the DID with multiple periods estimator proposed by Callaway and Sant’Anna (2021), which is called CSDID. Columns (1) and (3) show the results using observations of those never treated as control group, while Columns (2) and (4) show the results using observations of those never treated and those not yet treated as control group. Statistical significance is indicated by ***, **, and * for significance at the 1%, 5%, and 10% levels, respectively.
Table A2. The baseline regression results with alternative measurement.
Table A2. The baseline regression results with alternative measurement.
Dependent VariablesLnEPI
(1)(2)
DID−0.159 **−0.153 **
(0.075)(0.075)
LnPop 1.149
(0.809)
LnPerGDP −0.340
(0.349)
LnArea 0.445
(0.606)
Fiscal −0.162
(0.273)
Exp_Imp 0.001
(0.002)
Ind_Stru −0.008
(0.009)
Constant−2.296 ***−12.589 ***
(0.025)(2.521)
City Fixed EffectsYesYes
Year Fixed EffectsYesYes
N516516
Adj R20.9330.937
Notes: This table presents the impact of ILAR on environmental quality using alternative measurement of dependent variables. The dependent variable is LnEPI, which is the natural logarithm of the environmental pollution index (EPI), which is based on the annual wastewater discharge, industrial sulfur dioxide emissions, and industrial dust emissions of various cities, calculated using the entropy weight method. The independent variable is DID, which is a dummy variable taking a value of 1 if city c is in the pilot state in year t, and 0 otherwise. Other control variables include LnPop, LnPerGDP, LnArea, Fiscal, Exp_Imp, and Ind_Stru. Table 1 offers comprehensive definitions for these variables. Standard errors, adjusted for clustering at the municipal level, are shown in parentheses. Statistical significance is indicated by *** and ** for significance at the 1%, 5%, and 10% levels, respectively.
Table A3. The baseline regression results with samples from 2001 to 2019.
Table A3. The baseline regression results with samples from 2001 to 2019.
Dependent VariablesPM25Light
(1)(2)(3)(4)
DID−2.347 ***−1.930 ***0.283 ***0.172 **
(0.521)(0.533)(0.088)(0.079)
LnPop −8.252 *** 5.862 ***
(2.131) (1.211)
LnPerGDP −0.317 −0.040
(1.252) (0.302)
LnArea 1.689 −2.597 ***
(1.618) (0.656)
Fiscal −6.798 *** 1.724 **
(1.969) (0.717)
Exp_Imp 0.000 0.000 **
(0.001) (0.000)
Ind_Stru 0.078 −0.017
(0.047) (0.012)
Constant38.598 ***76.576 ***1.217 ***−10.037 **
(0.187)(16.581)(0.032)(4.454)
City Fixed EffectsYesYesYesYes
Year Fixed EffectsYesYesYesYes
N1501150115011501
Adj R20.9220.9240.8820.909
Notes: This table presents the baseline regression results with samples from 2001 to 2019. Dependent variables include PM25, which is the PM2.5 intensity from the satellite data from Washington University in St. Louis, and Light, which is the nighttime light intensity from the satellite data from Washington University in St. Louis. The independent variable is DID, which is a dummy variable taking a value of 1 if city c is in the pilot state in year t, and 0 otherwise. Other control variables include LnPop, LnPerGDP, LnArea, Fiscal, Exp_Imp, and Ind_Stru. Table 1 offers comprehensive definitions for these variables. Standard errors, adjusted for clustering at the municipal level, are shown in parentheses. Statistical significance is indicated by *** and ** for significance at the 1%, 5%, and 10% levels, respectively.

Notes

1
1 Mu is about 667 square meters.
2
3
4
We use PM2.5 intensity as a proxy of the environmental quality of Chinese cities for the following reasons: ① Significance in China: In recent decades, PM2.5 pollution has become a critical environmental issue in Chinese cities. As high PM2.5 concentrations are linked to serious health problems and adverse effects on the climate, they have received widespread attention from the entire society [45]. The significance of PM2.5 in China makes it a crucial indicator for assessing environmental quality. ② Literature Support: Pollutant emission is widely used in the literature as a measure of environmental quality. For example, Li et al. (2023) employ PM2.5 to assess environmental impacts [16], while Omri et al. (2015) use CO2 emissions. PM2.5 is a commonly accepted metric due to its well-documented impacts on health and the environment [46]. ③ Data Integrity: Given the potential concern on the data manipulation of Chinese governments [47], PM2.5 data are generally reliable and less prone to manipulation compared to some other environmental indicators because they are collected from the global satellite database [16]. We also report our baseline results using a composite environmental pollution index as the proxy of environmental quality. We thank the reviewer’s comments.
5
Our sample time span is limited by the database used for the mechanism test. We present the results of benchmark regressions based on a longer time span in the appendix. Moreover, in unreported results, we tested for multicollinearity among the variables. The test results showed that the variance inflation factor (VIF) for each variable was well below 10, with an average VIF of 1.85. Therefore, it can be concluded that our data do not have serious multicollinearity issues. We thank the reviewers for their advices.
6
The results of the CSDID are reported in Table A1 in Appendix A.

References

  1. Liu, Y.; Zhou, Y. Reflections on China’s Food Security and Land Use Policy under Rapid Urbanization. Land Use Policy 2021, 109, 105699. [Google Scholar] [CrossRef]
  2. Cao, Y.; Liu, R.; Qi, W.; Wen, J. Urban Land Regulation and Heterogeneity of Housing Conditions of Inter-Provincial Migrants in China. Land 2020, 9, 428. [Google Scholar] [CrossRef]
  3. Kok, N.; Monkkonen, P.; Quigley, J.M. Land Use Regulations and the Value of Land and Housing: An Intra-Metropolitan Analysis. J. Urban Econ. 2014, 81, 136–148. [Google Scholar] [CrossRef]
  4. Ye, L.; Huang, X.; Yang, H.; Chen, Z.; Zhong, T.; Xie, Z. Effects of Dual Land Ownerships and Different Land Lease Terms on In-dustrial Land Use Efficiency in Wuxi City, East China. Habitat Int. 2018, 78, 21–28. [Google Scholar] [CrossRef]
  5. Restuccia, D.; Rogerson, R. The Causes and Costs of Misallocation. J. Econ. Perspect. 2017, 31, 151–174. [Google Scholar] [CrossRef]
  6. Hsieh, C.-T.; Klenow, P.J. Misallocation and Manufacturing TFP in China and India. Q. J. Econ. 2009, 124, 1403–1448. [Google Scholar] [CrossRef]
  7. Herkenhoff, K.F.; Ohanian, L.E.; Prescott, E.C. Tarnishing the Golden and Empire States: Land-Use Restrictions and the US Economic Slowdown. J. Monet. Econ. 2018, 93, 89–109. [Google Scholar] [CrossRef]
  8. DeCanio, S. Efficiency, Legitimacy, and the Administrative State. Soc. Philos. Policy 2021, 38, 198–219. [Google Scholar] [CrossRef]
  9. Bond, E.W.; Crucini, M.J.; Potter, T.; Rodrigue, J. Misallocation and Productivity Effects of the Smoot–Hawley Tariff. Rev. Econ. Dyn. 2013, 16, 120–134. [Google Scholar] [CrossRef]
  10. Fajgelbaum, P.D.; Morales, E.; Suárez Serrato, J.C.; Zidar, O. State Taxes and Spatial Misallocation. Rev. Econ. Stud. 2019, 86, 333–376. [Google Scholar]
  11. Rabinovich, S.; Wolthoff, R. Misallocation Inefficiency in Partially Directed Search. J. Econ. Theory 2022, 206, 105559. [Google Scholar] [CrossRef]
  12. Megginson, W.L.; Netter, J.M. From State to Market: A Survey of Empirical Studies on Privatization. J. Econ. Lit. 2001, 39, 321–389. [Google Scholar] [CrossRef]
  13. Aghion, P.; Tirole, J. Formal and Real Authority in Organizations. J. Political Econ. 1997, 105, 1–29. [Google Scholar] [CrossRef]
  14. Acemoglu, D.; Aghion, P.; Zilibotti, F. Distance to Frontier, Selection, and Economic Growth. J. Eur. Econ. Assoc. 2006, 4, 37–74. [Google Scholar] [CrossRef]
  15. Huang, Z.; Li, L.; Ma, G.; Xu, L.C. Hayek, Local Information, and Commanding Heights: Decentralizing State-Owned Enterprises in China. Am. Econ. Rev. 2017, 107, 2455–2478. [Google Scholar] [CrossRef]
  16. Li, Y.; Chen, S.; Peng, Y. In the Shadow of Administrative Decentralization: The Impact of Devolution on Subnational Service Provision. Am. Rev. Public Adm. 2023, 53, 280–295. [Google Scholar] [CrossRef]
  17. Jin, H.; Qian, Y.; Weingast, B.R. Regional Decentralization and Fiscal Incentives: Federalism, Chinese Style. J. Public Econ. 2005, 89, 1719–1742. [Google Scholar] [CrossRef]
  18. Zhang, L.; Liu, Z.; Cheng, K.; Huang, W. Reform of Industrial Land Approval and Resource Allocation Efficiency—A Study Based on Micro-enterprise Land Stock Data. China Ind. Econ. 2023, 61, 61–79. (In Chinese) [Google Scholar]
  19. Wang, Y.; Huang, X.; Zhang, T.; Jiang, B.; Wang, X. Impact of Fiscal Decentralization and Local Government Competition on the Supply of Basic Public Services: Based on the Empirical Evidence of Prefecture-Level Cities in China. Heliyon 2024, 10, e26511. [Google Scholar] [CrossRef]
  20. Faguet, J.-P.; Sánchez, F. Decentralization’s Effects on Educational Outcomes in Bolivia and Colombia. World Dev. 2008, 36, 1294–1316. [Google Scholar] [CrossRef]
  21. Wen, L.; Chatalova, L.; Zhang, A. Can China’s Unified Construction Land Market Mitigate Urban Land Shortage? Evidence from Deqing and Nanhai, Eastern Coastal China. Land Use Policy 2022, 115, 105996. [Google Scholar] [CrossRef]
  22. Lin, G.C.; Ho, S.P. The State, Land System, and Land Development Processes in Contemporary China. Ann. Assoc. Am. Geogr. 2005, 95, 411–436. [Google Scholar] [CrossRef]
  23. Lin, J.; Zhao, B.; Liu, S. Urban and Rural Land Use Planning Evolution in Modern China from the Perspective of Land Management System. Urban Plan. Int. 2019, 34, 23–30. [Google Scholar] [CrossRef]
  24. Chen, Y.; Zhang, X.; Chau, K.; Yang, L. How the Institutional Change in Urban Redevelopment Affects the Duration of Land Redevelopment Approval in China? Land Use Policy 2022, 119, 106160. [Google Scholar] [CrossRef]
  25. Oates, W. Fiscal Federalism; Harcourt Brace Jovanovich: New York, NY, USA, 1972. [Google Scholar]
  26. Akai, N.; Sakata, M. Fiscal Decentralization Contributes to Economic Growth: Evidence from State-Level Cross-Sectional Data for the United States. J. Urban Econ. 2002, 52, 93–108. [Google Scholar] [CrossRef]
  27. Lin, J.; Liu, Z. Fiscal Decentralization and Economic Growth in China. Econ. Dev. Cult. Chang. 2000, 49, 1–21. [Google Scholar] [CrossRef]
  28. Iimi, A. Decentralization and Economic Growth Revisited: An Empirical Note. J. Urban Econ. 2005, 57, 449–461. [Google Scholar] [CrossRef]
  29. Hall, R.E.; Jones, C.I. Why Do Some Countries Produce So Much More Output per Worker Than Others? Q. J. Econ. 1999, 114, 83–116. [Google Scholar] [CrossRef]
  30. Howitt, P. Endogenous Growth and Cross-Country Income Differences. Am. Econ. Rev. 2000, 90, 829–846. [Google Scholar] [CrossRef]
  31. Restuccia, D.; Rogerson, R. Policy Distortions and Aggregate Productivity with Heterogeneous Plants. Rev. Econ. Dyn. 2008, 11, 707–720. [Google Scholar] [CrossRef]
  32. Baqaee, D.R.; Farhi, E. Productivity and Misallocation in General Equilibrium. Q. J. Econ. 2020, 135, 105–163. [Google Scholar] [CrossRef]
  33. Davoodi, H.; Zou, H. Fiscal Decentralization and Economic Growth: A Cross-Country Study. J. Urban Econ. 1998, 43, 244–257. [Google Scholar] [CrossRef]
  34. Jones, B.D.; Baumgartner, F.R. From There to Here: Punctuated Equilibrium to the General Punctuation Thesis to a Theory of Government Information Processing. Policy Stud. J. 2012, 40, 1–20. [Google Scholar] [CrossRef]
  35. Wu, M.; Zhou, L.A. Political Incentives and City Construction: The Visibility of Public Projects. Econ. Res. 2018, 63, 97–111. (In Chinese) [Google Scholar]
  36. Lee, C.-C. How Does Green Finance Affect Green Total Factor Productivity? Evidence from China. Energy Econ. 2022, 107, 105863. [Google Scholar] [CrossRef]
  37. Li, H.; Zhou, L.-A. Political Turnover and Economic Performance: The Incentive Role of Personnel Control in China. J. Public Econ. 2005, 89, 1743–1762. [Google Scholar] [CrossRef]
  38. Lu, M.; Feng, H. Agglomeration and emission reduction: An empirical study on the influence of urban scale gap on industrial pollution intensity. World Econ. 2014, 37, 86–114. (In Chinese) [Google Scholar]
  39. Li, L.; Huang, P.; Ma, G. Mismatch of Land Resources and Productivity Difference of Industrial Enterprises in China. Manag. World 2016, 32, 86–96. [Google Scholar]
  40. Han, F.; Yu, Y.; Xie, R. How does the mismatch of land resources affect smog pollution? -Spatial econometric analysis based on land market transaction price and PM 2.5 data. Econ. Sci. 2021, 4, 68–83. (In Chinese) [Google Scholar]
  41. Xie, R.; Wei, D.; Han, F.; Lu, Y.; Fang, J.; Liu, Y.; Wang, J. The Effect of Traffic Density on Smog Pollution: Evidence from Chinese Cities. Technol. Forecast. Soc. Chang. 2019, 144, 421–427. [Google Scholar] [CrossRef]
  42. Han, F.; Xie, R.; Fang, J.; Liu, Y. The Effects of Urban Agglomeration Economies on Carbon Emissions: Evidence from Chinese Cities. J. Clean. Prod. 2018, 172, 1096–1110. [Google Scholar] [CrossRef]
  43. Zhang, J.; Fan, J.; Mo, J. Government Intervention, Land Market, and Urban Development: Evidence from Chinese Cities. Econ. Inq. 2017, 55, 115–136. [Google Scholar] [CrossRef]
  44. Yao, Y.; Li, X.; Smyth, R.; Zhang, L. Air Pollution and Political Trust in Local Government: Evidence from China. J. Environ. Econ. Manag. 2022, 115, 102724. [Google Scholar] [CrossRef]
  45. Huang, X.; Tang, G.; Zhang, J.; Liu, B.; Liu, C.; Zhang, J.; Cong, L.; Cheng, M.; Yan, G.; Gao, W.; et al. Characteristics of PM2. 5 Pollution in Beijing after the Improvement of Air Quality. J. Environ. Sci. 2021, 100, 1–10. [Google Scholar] [CrossRef] [PubMed]
  46. Omri, A.; Daly, S.; Rault, C.; Chaibi, A. Financial Development, Environmental Quality, Trade and Economic Growth: What Causes What in MENA Countries. Energy. Econ. 2015, 48, 242–252. [Google Scholar] [CrossRef]
  47. Tang, X.; Wang, Y.; Yi, H. Data Manipulation through Patronage Networks: Evidence from Environmental Emissions in China. J. Public Adm. Res. Theory 2023, 33, 342–356. [Google Scholar]
  48. Duranton, G.; Ghani, S.E.; Grover, A.; Kerr, W.; Kerr, W.R. The Misallocation of Land and Other Factors of Production in India. World Bank Policy Res. Work. Pap. 2015, 23, 2584246. [Google Scholar]
  49. Olley, S.; Pakes, A. The Dynamics of Productivity in the Telecommunications Equipment Industry. Econometrica 1996, 64, 1263–1297. [Google Scholar]
  50. Yuan, H.; Zhu, C. Does National High-Tech Zone Promote the Transformation and Upgrading of China’s Industrial Structure? China Ind. Econ. 2018, 60–77. Available online: https://link.cnki.net/doi/10.19581/j.cnki.ciejournal.2018.08.004 (accessed on 1 June 2024). (In Chinese).
  51. Goodman-Bacon, A. Difference-in-Differences with Variation in Treatment Timing. J. Econom. 2021, 225, 254–277. [Google Scholar] [CrossRef]
  52. Callaway, B.; Sant’Anna, P.H. Difference-in-Differences with Multiple Time Periods. J. Econom. 2021, 225, 200–230. [Google Scholar] [CrossRef]
  53. Wang, S.; Sun, X.; Song, M. Environmental Regulation, Resource Misallocation, and Ecological Efficiency. Emerg. Mark. Financ. Trade 2021, 57, 410–429. [Google Scholar] [CrossRef]
  54. Ambec, S.; Barla, P. A Theoretical Foundation of the Porter Hypothesis. Econ. Lett. 2002, 75, 355–360. [Google Scholar] [CrossRef]
  55. Brännlund, R.; Lundgren, T. Environmental Policy without Costs? A Review of the Porter Hypothesis. Int. Rev. Environ. Resour. Econ. 2009, 3, 75–117. [Google Scholar] [CrossRef]
  56. Lanoie, P.; Patry, M.; Lajeunesse, R. Environmental Regulation and Productivity: Testing the Porter Hypothesis. J. Product. Anal. 2008, 30, 121–128. [Google Scholar] [CrossRef]
  57. OECD. Land-Use Planning Systems in the OECD: Country Fact Sheets; OECD Regional Development Studies; OECD Publishing: Paris, France, 2017. [Google Scholar] [CrossRef]
  58. Booth, A.L.; Muir, B.R. Environmental and Land-Use Planning Approaches of Indigenous Groups in Canada: An Overview. J. Environ. Policy Plan. 2011, 13, 421–442. [Google Scholar] [CrossRef]
  59. BenDor, T.K.; Spurlock, D.; Woodruff, S.C.; Olander, L. A Research Agenda for Ecosystem Services in American Environmental and Land Use Planning. Cities 2017, 60, 260–271. [Google Scholar] [CrossRef]
Figure 1. Research framework.
Figure 1. Research framework.
Land 13 01422 g001
Figure 2. Parallel trend tests. Notes: This figure shows the results of the parallel trends tests according to Equation (3). Panel (a) reports the estimated results on PM25, and Panel (b) reports the estimated results on Light.
Figure 2. Parallel trend tests. Notes: This figure shows the results of the parallel trends tests according to Equation (3). Panel (a) reports the estimated results on PM25, and Panel (b) reports the estimated results on Light.
Land 13 01422 g002
Figure 3. Placebo tests. Notes: This figure shows the results of the placebo tests. Panel (a) reports the estimated results on PM25, and Panel (b) reports the estimated results on Light.
Figure 3. Placebo tests. Notes: This figure shows the results of the placebo tests. Panel (a) reports the estimated results on PM25, and Panel (b) reports the estimated results on Light.
Land 13 01422 g003
Table 1. Variable definitions and data sources.
Table 1. Variable definitions and data sources.
VariablesSourcesMeasurement
PM25APM2.5 concentration calculated from satellite data suggested by Yao et al. (2022) [44].
LightANighttime light density calculated from satellite data suggested by Li et al. (2021) [16].
Gdp_GrowB(GDP in year t minus GDP in year t − 1)/(GDP in year t − 1)
LnPMBNatural logarithm of PM2.5 emissions reported by local governments.
MISCLand misallocation among firms in the same city, calculated using O-P method suggested by Duranton et al. (2015) [48].
TFPB, DCity level total factor productivity calculated using SBM-DEA model suggested by Lee et al. (2022) [36].
GTFPB, DCity level green total factor productivity calculated using SBM-DEA model suggested by Lee et al. (2022) [36].
LS_1EPrimary industry land supply divided by total land supply.
LS_2ESecondary industry land supply divided by total land supply.
LS_3ETertiary industry land supply divided by total land supply.
Upgrade_1B, DThe relative changes in the proportions of the three major industries according to Yuan and Zhu (2018) [50].
Upgrade_2B, DThe output of the tertiary divided by the output of the secondary industry.
LnPopBNatural logarithm of population.
LnPerGDPBNatural logarithm of GDP per person.
LnAreaBNatural logarithm of administrative area.
FiscalB, DFiscal revenue divided by fiscal expenditure.
Exp_ImpDTotal exports divided by total imports.
Ind_StruBTotal output of the secondary industry divided by GDP.
Notes: A is the satellite data from Washington University in St. Louis. B is the China City Statistical Yearbook. C is the National Enterprise Tax Survey Database. D is the CEIC database. E is the China Land Market Network’s Land Transaction Database.
Table 2. Descriptive statistics.
Table 2. Descriptive statistics.
NMeanSDMinP25MedianP75Max
Dependent Variables
PM2552441.65815.65511.02729.84641.27955.24773.656
Light5241.4692.1910.0410.3170.6811.53912.930
Gdp_Grow52410.8882.8072.3409.26010.98012.62719.400
LnPM5243.9650.6292.8603.4663.8924.4076.159
MIS524−0.2150.240−0.815−0.351−0.221−0.1020.526
TFP5241.4790.7950.1440.7621.4252.1483.083
GTFP5241.0120.0290.9610.9871.0111.0391.069
LS_15240.0060.0110.0000.0000.0020.0070.066
LS_25240.6740.1340.2210.6060.6890.7700.916
LS_35240.2830.1270.0490.1910.2660.3490.716
Upgrade_15246.8570.5355.7496.4136.7497.2618.315
Upgrade_25240.9430.5180.3650.6520.8211.0693.855
Control Variables
LnPop5246.2240.6045.0895.7796.3426.6268.115
LnPerGDP5241.4630.6340.3910.9671.3831.8663.636
LnArea5249.2610.7387.3618.9109.3309.67111.324
Fiscal5240.6540.2060.1140.4970.6410.8181.045
Exp_Imp5244.32612.8120.0010.7401.4682.933174.255
Ind_Stru52449.8399.12019.92044.78050.39555.63082.240
Table 3. Baseline regression results.
Table 3. Baseline regression results.
Dependent VariablesPM25Light
(1)(2)(3)(4)
DID−0.947 *−1.036 **0.434 ***0.377 ***
(0.492)(0.453)(0.136)(0.138)
LnPop 9.867 2.213
(5.952) (1.535)
LnPerGDP 0.433 0.809
(1.775) (0.731)
LnArea −12.877 *** −0.755
(4.628) (1.023)
Fiscal −5.234 ** −0.045
(2.518) (0.626)
Exp_Imp 0.019 −0.003
(0.018) (0.002)
Ind_Stru 0.063 −0.050 **
(0.068) (0.019)
Constant42.018 ***99.437 ***1.330 ***−4.084
(0.160)(28.380)(0.044)(4.673)
City Fixed EffectsYesYesYesYes
Year Fixed EffectsYesYesYesYes
N523523523523
Adj R20.9710.9720.9300.932
Notes: This table presents the regression results of our baseline model. Dependent variables include PM25, which is the PM2.5 intensity from the satellite data from Washington University in St. Louis, and Light, which is the nighttime light intensity from the satellite data from Washington University in St. Louis. The independent variable is DID, which is a dummy variable taking a value of 1 if city c is in the pilot state in year t, and 0 otherwise. Other control variables include LnPop, LnPerGDP, LnArea, Fiscal, Exp_Imp, and Ind_Stru. Table 1 offers comprehensive definitions for these variables. Standard errors, adjusted for clustering at the municipal level, are shown in parentheses. Statistical significance is indicated by ***, **, and * for significance at the 1%, 5%, and 10% levels, respectively.
Table 4. Robustness tests with alternative dependent variables.
Table 4. Robustness tests with alternative dependent variables.
Dependent VariablesLnPMGdp_Grow
(1)(2)
DID−0.394 ***0.573 *
(0.029)(0.323)
LnPop−0.42317.548 ***
(0.298)(4.046)
LnPerGDP0.1915.104 ***
(0.124)(1.763)
LnArea−0.442−14.194 ***
(0.292)(2.863)
Fiscal−0.120−0.318
(0.115)(1.716)
Exp_Imp0.003 ***−0.015
(0.001)(0.021)
Ind_Stru−0.007 *0.042
(0.004)(0.049)
Constant10.950 ***23.598
(1.580)(14.384)
City Fixed EffectsYesYes
Year Fixed EffectsYesYes
N523523
Adj R20.9820.679
Notes: This table presents the regression results of our robustness tests with alternative dependent variables. Dependent variables include LnPM, which is the natural logarithm of PM2.5 emissions, and GDP_Grow, which is the GDP growth rate. The independent variable is DID, which is a dummy variable taking a value of 1 if city c is in the pilot state in year t, and 0 otherwise. Other control variables include LnPop, LnPerGDP, LnArea, Fiscal, Exp_Imp, and Ind_Stru. Table 1 offers comprehensive definitions for these variables. Standard errors, adjusted for clustering at the municipal level, are shown in parentheses. Statistical significance is indicated by *** and * for significance at the 1% and 10% levels, respectively.
Table 5. The impact of ILAR on land misallocation within cities.
Table 5. The impact of ILAR on land misallocation within cities.
Dependent VariableMIS
(1)(2)
DID−0.084 ***−0.079 ***
(0.032)(0.034)
LnPop 0.780 ***
(0.268)
LnPerGDP 0.041
(0.214)
LnArea −0.616 ***
(0.166)
Fiscal −0.648 ***
(0.177)
Exp_Imp 0.000
(0.002)
Ind_Stru 0.014 ***
(0.005)
Constant−0.188 ***0.325
(0.010)(1.225)
City Fixed EffectsYesYes
Year Fixed EffectsYesYes
N523523
Adj R20.3480.380
Notes: This table presents the regression results of the impact of ILAR on land misallocation within cities. The dependent variable is MIS, which is the land misallocation index calculated by the authors. The independent variable is DID, which is a dummy variable taking a value of 1 if city c is in the pilot state in year t, and 0 otherwise. Other control variables include LnPop, LnPerGDP, LnArea, Fiscal, Exp_Imp, and Ind_Stru. Table 1 offers comprehensive definitions for these variables. Standard errors, adjusted for clustering at the municipal level, are shown in parentheses. Statistical significance is indicated by *** for significance at the 1% levels, respectively.
Table 6. The impact of ILAR on productivity.
Table 6. The impact of ILAR on productivity.
Dependent VariablesTFPGTFP
(1)(2)(3)(4)
DID0.149 ***0.136 ***0.011 **0.013 **
(0.045)(0.045)(0.005)(0.005)
LnPop 0.265 −0.049
(0.305) (0.058)
LnPerGDP 0.279 * −0.004
(0.156) (0.024)
LnArea −0.605 ** −0.045
(0.274) (0.049)
Fiscal 0.295 −0.054 *
(0.224) (0.030)
Exp_Imp −0.001 0.000 **
(0.001) (0.000)
Ind_Stru 0.000 0.000
(0.006) (0.001)
Constant1.428 ***4.780 ***1.009 ***1.762 ***
(0.015)(1.570)(0.002)(0.244)
City Fixed EffectsYesYesYesYes
Year Fixed EffectsYesYesYesYes
N523523523523
Adj R20.8890.8900.1650.184
Notes: This table presents the regression results of the impact of ILAR on productivity. Dependent variables include TFP, which is the total factor productivity, and GTFP, which is the green total factor productivity. The independent variable is DID, which is a dummy variable taking a value of 1 if city c is in the pilot state in year t, and 0 otherwise. Other control variables include LnPop, LnPerGDP, LnArea, Fiscal, Exp_Imp, and Ind_Stru. Table 1 offers comprehensive definitions for these variables. Standard errors, adjusted for clustering at the municipal level, are shown in parentheses. Statistical significance is indicated by ***, **, and * for significance at the 1%, 5%, and 10% levels, respectively.
Table 7. The impact of ILAR on land allocation among industries.
Table 7. The impact of ILAR on land allocation among industries.
Dependent VariablesLS_1LS_2LS_3
(1)(2)(3)
DID0.000−0.053 **0.055 ***
(0.002)(0.022)(0.021)
LnPop0.0040.145−0.076
(0.016)(0.331)(0.287)
LnPerGDP−0.015 *−0.0560.075
(0.009)(0.114)(0.111)
LnArea−0.001−0.0910.055
(0.013)(0.256)(0.236)
Fiscal−0.0020.026−0.031
(0.008)(0.087)(0.085)
Exp_Imp0.0000.0000.000
(0.000)(0.000)(0.000)
Ind_Stru0.000−0.0010.001
(0.000)(0.003)(0.003)
Constant0.0090.7550.105
(0.069)(1.483)(1.422)
City Fixed EffectsYesYesYes
Year Fixed EffectsYesYesYes
N523523523
Adj R20.2920.5250.544
Notes: This table presents the regression results of the impact of ILAR on land allocation among industries. Dependent variables include LS_1, which is the primary industry land supply divided by total land supply; LS_2, which is the secondary industry land supply divided by total land supply; and LS_3, which is the tertiary industry land supply divided by total land supply. The independent variable is DID, which is a dummy variable taking a value of 1 if city c is in the pilot state in year t, and 0 otherwise. Other control variables include LnPop, LnPerGDP, LnArea, Fiscal, Exp_Imp, and Ind_Stru. Table 1 offers comprehensive definitions for these variables. Standard errors, adjusted for clustering at the municipal level, are shown in parentheses. Statistical significance is indicated by ***, **, and * for significance at the 1%, 5%, and 10% levels, respectively.
Table 8. The impact of ILAR on industrial upgrading.
Table 8. The impact of ILAR on industrial upgrading.
Dependent VariablesUpgrade_1Upgrade_2
(1)(2)
DID0.654 ***0.064 ***
(0.011)(0.015)
LnPop0.224 **0.085
(0.104)(0.112)
LnPerGDP0.160 **0.073
(0.076)(0.067)
LnArea−0.237 ***−0.051
(0.068)(0.139)
Fiscal−0.023−0.009
(0.043)(0.061)
Exp_Imp0.0000.000
(0.000)(0.000)
Ind_Stru−0.013 ***−0.033 ***
(0.002)(0.002)
Constant7.877 ***2.408 **
(0.527)(0.995)
City Fixed EffectsYesYes
Year Fixed EffectsYesYes
N523523
Adj R20.9960.979
Notes: This table presents the regression results of the impact of ILAR on industrial upgrading. Dependent variables include Upgrade_1, which is the industrial upgrading index calculated with Equation (2), and Upgrade_2, which is the output of tertiary industry divided by the output of secondary industry. The independent variable is DID, which is a dummy variable taking a value of 1 if city c is in the pilot state in year t, and 0 otherwise. Other control variables include LnPop, LnPerGDP, LnArea, Fiscal, Exp_Imp, and Ind_Stru. Table 1 offers comprehensive definitions for these variables. Standard errors, adjusted for clustering at the municipal level, are shown in parentheses. Statistical significance is indicated by *** and ** for significance at the 1% and 5% levels, respectively.
Table 9. The moderating role of fiscal pressure.
Table 9. The moderating role of fiscal pressure.
Dependent VariablesPM25Light
FP = 0FP = 1FP = 0FP = 1
(1)(2)(3)(4)
Treat*Post−0.553−1.180 *0.1550.624 ***
(0.592)(0.699)(0.203)(0.219)
LnPop18.933 ***−4.2953.169−0.543
(3.706)(6.351)(2.241)(2.848)
LnPerGDP0.727−1.2911.580 **−0.364
(2.389)(3.628)(0.751)(1.784)
LnArea17.590−2.480−4.9341.220
(31.086)(4.083)(11.536)(1.555)
Fiscal−13.149 ***2.475−0.7000.831
(3.878)(4.136)(0.733)(1.049)
Exp_Imp−0.0070.058 ***−0.004 *−0.002
(0.010)(0.012)(0.002)(0.003)
Ind_Stru0.0820.106−0.052 *−0.033 **
(0.116)(0.086)(0.029)(0.015)
Constant−224.59491.074 ***27.717−5.051
(284.373)(23.443)(106.594)(8.462)
City Fixed EffectsYesYesYesYes
Year Fixed EffectsYesYesYesYes
N244264244264
Adj R20.9830.9520.8930.952
Notes: This table presents the grouped regression results of our baseline model. We split our sample into two subsamples according to the ratio of fiscal deficit to general budgetary revenue in the year before ILAR implementation. FP is a dummy variable, taking a value of 0 if the ratio of fiscal deficit to general budgetary revenue in the year before ILAR implementation is lower than the sample average, and 1 otherwise. Dependent variables include PM25, which is the PM2.5 intensity, and Light, which is the nighttime light intensity. The independent variable is DID, which is a dummy variable taking a value of 1 if city c is in the pilot state in year t, and 0 otherwise. Other control variables include LnPop, LnPerGDP, LnArea, Fiscal, Exp_Imp, and Ind_Stru. Table 1 offers comprehensive definitions for these variables. Standard errors, adjusted for clustering at the municipal level, are shown in parentheses. Statistical significance is indicated by ***, **, and * for significance at the 1%, 5%, and 10% levels, respectively.
Disclaimer/Publisher’s Note: The statements, opinions and data contained in all publications are solely those of the individual author(s) and contributor(s) and not of MDPI and/or the editor(s). MDPI and/or the editor(s) disclaim responsibility for any injury to people or property resulting from any ideas, methods, instructions or products referred to in the content.

Share and Cite

MDPI and ACS Style

Zhang, X.; Duan, K.; Yang, L.; Wei, X. Land Regulation and Local Service Provision: Can Economic Growth and Environmental Protection Be Achieved Simultaneously? Land 2024, 13, 1422. https://doi.org/10.3390/land13091422

AMA Style

Zhang X, Duan K, Yang L, Wei X. Land Regulation and Local Service Provision: Can Economic Growth and Environmental Protection Be Achieved Simultaneously? Land. 2024; 13(9):1422. https://doi.org/10.3390/land13091422

Chicago/Turabian Style

Zhang, Xiaodong, Kaifeng Duan, Lun Yang, and Xiaokun Wei. 2024. "Land Regulation and Local Service Provision: Can Economic Growth and Environmental Protection Be Achieved Simultaneously?" Land 13, no. 9: 1422. https://doi.org/10.3390/land13091422

APA Style

Zhang, X., Duan, K., Yang, L., & Wei, X. (2024). Land Regulation and Local Service Provision: Can Economic Growth and Environmental Protection Be Achieved Simultaneously? Land, 13(9), 1422. https://doi.org/10.3390/land13091422

Note that from the first issue of 2016, this journal uses article numbers instead of page numbers. See further details here.

Article Metrics

Back to TopTop