Assessment of Urban Spatial Integration Using Human Settlement Environmental Geographic Dataset: A Case Study in the Guangzhou–Foshan Metropolitan Area
Abstract
1. Introduction
2. Materials and Methods
2.1. Study Area
2.2. Delineation of Adjacent Areas
2.3. Land Use and Land Cover Changes
2.4. Human Settlement Environmental Geographic Dataset
2.5. Urban–Rural Gradients Using Local Climate Zones
2.6. Statistical Analysis
3. Results
3.1. Spatiotemporal Changes in Land Use and Land Cover
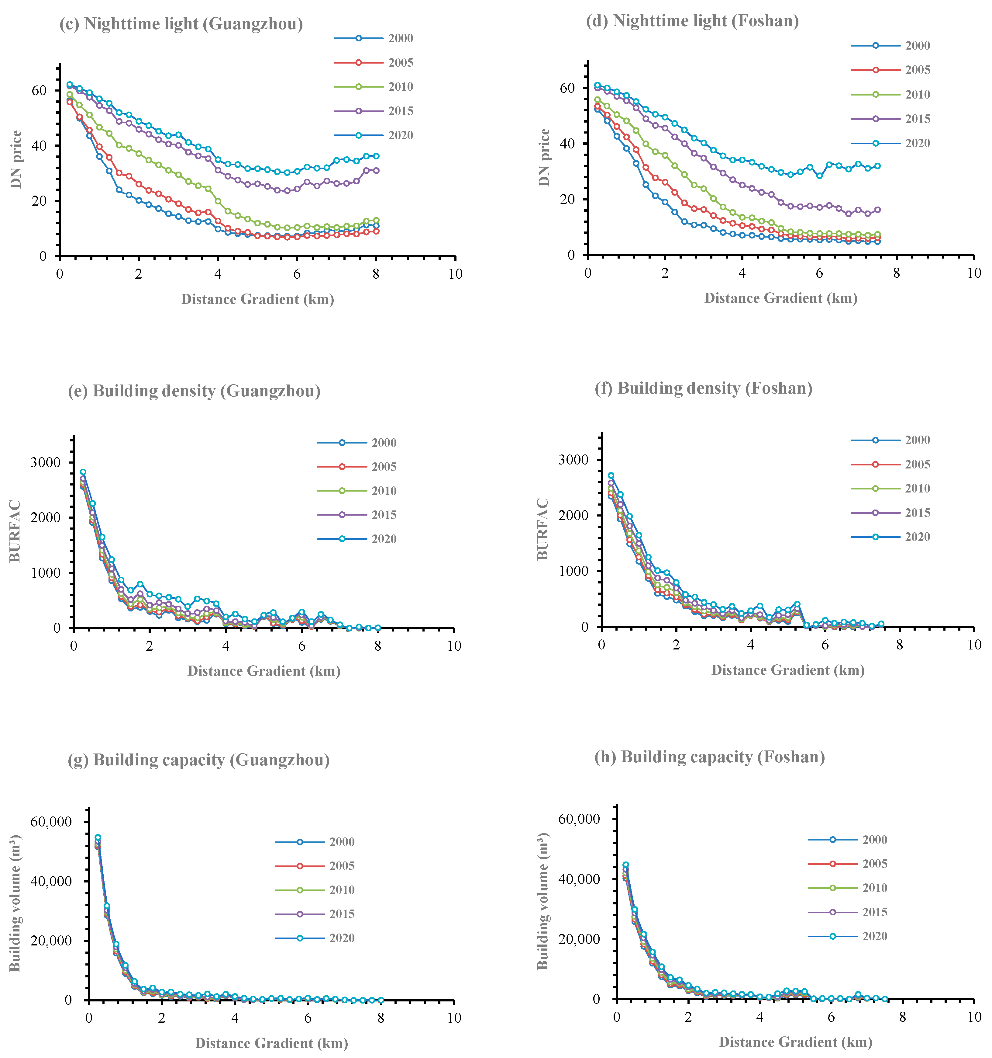
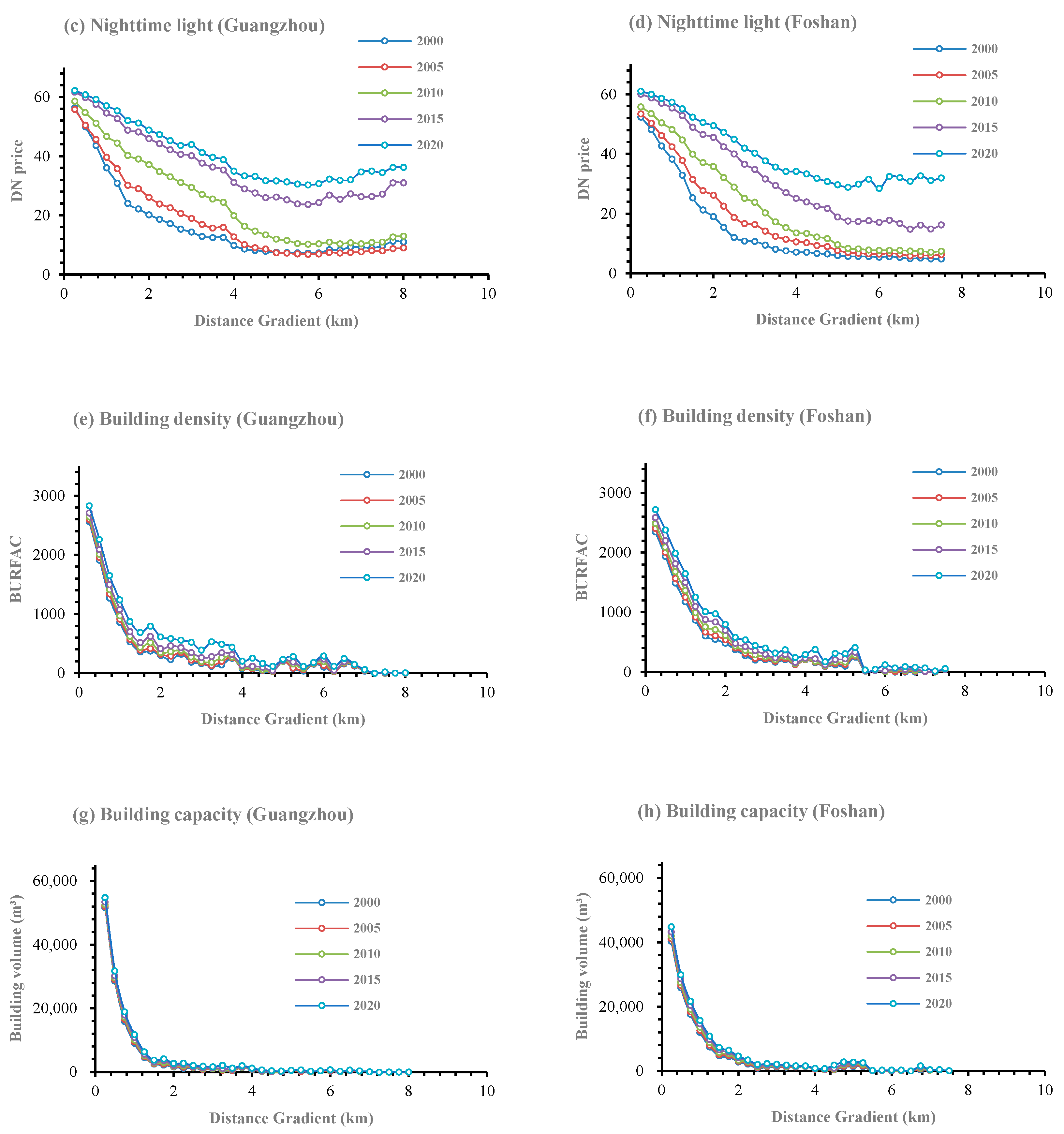
3.2. Spatiotemporal Changes in the Human Settlement Environmental Geographic Dataset across Urban–Rural Gradients
3.3. Evaluating Spatiotemporal Integration of Adjacent Areas in the Guangzhou–Foshan Metropolitan Area across Urban–Rural Gradients
4. Discussion
4.1. Spatiotemporal Structure Characteristics of Urban Integration
4.2. Comparative Analysis of Urban Spatial Structure in China
4.3. LCZ Provides a Tool for Regional and Inter-City Comparisons
5. Conclusions
Author Contributions
Funding
Data Availability Statement
Acknowledgments
Conflicts of Interest
References
- Deng, X.; Gao, F.; Liao, S.; Liu, Y.; Chen, W. Spatiotemporal Evolution Patterns of Urban Heat Island and Its Relationship with Urbanization in Guangdong-Hong Kong-Macao Greater Bay Area of China from 2000 to 2020. Ecol. Indic. 2023, 146, 109817. [Google Scholar] [CrossRef]
- Li, Z.; Jiao, L.; Zhang, B.; Xu, G.; Liu, J. Understanding the Pattern and Mechanism of Spatial Concentration of Urban Land Use, Population and Economic Activities: A Case Study in Wuhan, China. Geo-Spat. Inf. Sci. 2021, 24, 678–694. [Google Scholar] [CrossRef]
- Wen, D.; Wang, X.; Liu, J.; Xu, N.; Zhou, W.; Hong, M. Maintaining Key Ecosystem Services under Multiple Development Scenarios: A Case Study in Guangdong–Hong Kong–Macao Greater Bay Area, China. Ecol. Indic. 2023, 154, 110691. [Google Scholar] [CrossRef]
- Zhang, P.; Wu, H.; Zhang, J.; Sun, Q.; Ji, Z.; Lin, X.; Chen, J.; Sun, D. Understanding Archetypal Spatial Gradient Patterns in Urban Economic, Population and Air Quality Nexus: New Insights from a Geographic-Process Perspective. Sustain. Cities Soc. 2023, 95, 104596. [Google Scholar] [CrossRef]
- Xu, T.; Wei, S.; Wang, Y. Discussion on the Concept of Urbanization and Its Definition Issues. Soc. Sci. 2014, 56–60. [Google Scholar] [CrossRef]
- Gottmann, J. Megalopolis or the Urbanization of the Northeastern Seaboard. Econ. Geogr. 1957, 33, 189. [Google Scholar] [CrossRef]
- Li, X.; Wu, Y.; Wu, R. Research on the Governance of City Intergration: A Case of Guangzhou-Foshan. Human Geography 2016, 31, 1–6. [Google Scholar]
- Huang, X.; Huang, X. Urban Integration and Cooperation Mechanism: A Perspective of Institution Collective Action. Mod. Urban Res. 2016, 60–66. Available online: https://caod.oriprobe.com/articles/49305210/Urban_Integration_and_Cooperation_Mechanism__A_Per.htm (accessed on 19 June 2024).
- Wang, D.; Song, Y.; Shen, C.; Zhu, C. A Review on the Implementation of City Integration Strategy. Urban Plan. Forum 2009, 182, 74–78. [Google Scholar]
- Wang, Y.; Wang, Z. Basic Conditions and Realization Paths of the Beijing-Tianjin Urbanization Development. J. Party Sch. Tianjin Comm. CPC 2015, 3, 95–101. [Google Scholar]
- Gao, X.; Wang, H. A Brief Analysis of Metropolitan Economic Zones and Urbanization Issues. Enterp. Econ. 2007, 89–91. [Google Scholar]
- Li, X.; Xie, S.; Du, Z.; Wu, R. From administrative division adjustment to cross-boundary planning; transformation of regional government in China. City Plan. Rev. 2016, 101, 72–77. [Google Scholar]
- Allen, P.M. Cities and Regions as Self-Organizing Systems: Models of Complexity, 1st ed.; Routledge: London, UK, 2012. [Google Scholar]
- Ehlers, N. The Utopia of the Binational City. GeoJournal 2001, 54, 21–32. [Google Scholar] [CrossRef]
- Ramasamy, B.; Cremer, R.D. Cities, Commerce and Culture: The Economic Role of International Sister-City Relationships between New Zealand and Asia. J. Asia Pac. Econ. 1998, 3, 446–461. [Google Scholar] [CrossRef]
- Musolino, D. Characteristics and Effects of Twin Cities Integration: The Case of Reggio Calabria and Messina, ‘Walled Cities’ in Southern Italy. Reg. Sci. Policy Pract. 2018, 10, 315–334. [Google Scholar] [CrossRef]
- Jiao, Z.; Sun, J. Research on China’s Urban Cohesion Mode and System Design. Mod. Urban Res. 2011, 26, 7–10. [Google Scholar]
- Zhang, B.; Zhong, C.; Gao, Q.; Shabrina, Z.; Tu, W. Delineating Urban Functional Zones Using Mobile Phone Data: A Case Study of Cross-Boundary Integration in Shenzhen-Dongguan-Huizhou Area. Comput. Environ. Urban Syst. 2022, 98, 101872. [Google Scholar] [CrossRef]
- Li, Y.; Chen, T.; Li, X.; Xu, W.; Lang, W. Identification and Patterns of Employment and Residential Centers in a Cross-Border Region Based on Mobile Phone Signaling Data: A Case Study of Guangzhou and Foshan. Trop. Geogr. 2020, 40, 206–216. [Google Scholar]
- He, Z.; Guo, Q.; Yang, Y.; Xiao, L. An Evaluation Of Xiamen-Zhangzhou-Quanzhou Integrate Development Based On POI. Planners 2018, 34, 33–37. [Google Scholar]
- Shi, Y. Study on the Urbanization Development and Economic Connection Intensity of Hu-Bao-Hubei Urban Agglomeration. Inn. Mong. Sci. Technol. Econ. 2019, 4, 16–19. [Google Scholar]
- Wang, S.; Zhao, M. Intercity Trips and Activities: The Case of Guangzhou and Foshan. Urban Plan. Forum 2012, 3, 23–29. [Google Scholar]
- Li, P.; Cao, X. The Road Network Accessibility and Spatial Pattern of Guangzhou-Foshan Metropolitan Area. Econ. Geogr. 2011, 31, 371–378. [Google Scholar]
- Lin, J.; Wu, W. Investigating the Land Use Characteristics of Urban Integration Based on Remote Sensing Data: Experience from Guangzhou and Foshan. Geocarto Int. 2019, 34, 1608–1620. [Google Scholar] [CrossRef]
- Zhan, W.; Ban, P.; Yuan, Q. Guangzhou-Foshan Cross-Boundary City Zoning Based on Multi-Source Data. South Archit. 2022, 207, 10–17. [Google Scholar]
- Zhan, W.; Chen, C.; Sun, W.; Ban, P. Characteristics of the Urban Gravity Structure in the Guangzhou-Foshan Metropolitan Area Based on Multi-Source Data. Trop. Geogr. 2021, 41, 1292–1302. [Google Scholar]
- Huang, D.; Zhang, S. Temporal and Spatial Characteristics of the Urban Expansions in Guangzhou-Foshan City under the Assimilation Policy between Guangzhou and Foshan. Mod. Urban Res. 2015, 12, 76–81. [Google Scholar]
- Wang, J.; Zheng, L. Measurement of Urbanization Level and Analysis of Temporal and Spatial Evolution Characteristics of the Wuhan Metropolitan Area. Stat. Decis. 2022, 38, 77–81. [Google Scholar]
- He, J.; Song, Y.; Hu, W. Spatial Expansion Study of Guangzhou-Foshan Metropolitanspatial Metropolitan Area Since the Reform and Opening. Hum. Geogr. 2014, 29, 101–107. [Google Scholar]
- Zhou, Y.; Zhao, Y.; Huang, Y. Study on measurement of urbanization in Ningbo, Yuyao and Cixi. In Proceedings of the Urban Era, Collaborative Planning—2013 China Urban Planning Annual Conference, Qingdao, China, 16–18 October 2013; p. 11. [Google Scholar]
- Ma, X.; Dou, P. The Development Process and Comparative Study of Urban Agglomeration Integration in China. Reg. Econ. Rev. 2018, 35, 105–115. [Google Scholar]
- Xie, J.; Ren, C.; Li, X.; Chung, L.C.H. Investigate the Urban Growth and Urban-Rural Gradients Based on Local Climate Zones (1999–2019) in the Greater Bay Area, China. Remote Sens. Appl. Soc. Environ. 2022, 25, 100669. [Google Scholar] [CrossRef]
- Zheng, Z.; Wu, Z.; Chen, Y.; Yang, Z.; Marinello, F. Detection of City Integration Processes in Rapidly Urbanizing Areas Based on Remote Sensing Imagery. Land 2020, 9, 378. [Google Scholar] [CrossRef]
- Zhang, X.; Liu, L.; Chen, X.; Gao, Y.; Xie, S.; Mi, J. GLC_FCS30: Global Land-Cover Product with Fine Classification System at 30 m Using Time-Series Landsat Imagery. Earth Syst. Sci. Data 2021, 13, 2753–2776. [Google Scholar] [CrossRef]
- Pesaresi, M.; Huadong, G.; Blaes, X.; Ehrlich, D.; Ferri, S.; Gueguen, L.; Halkia, M.; Kauffmann, M.; Kemper, T.; Lu, L.; et al. A Global Human Settlement Layer From Optical HR/VHR RS Data: Concept and First Results. IEEE J. Sel. Top. Appl. Earth Obs. Remote Sens. 2013, 6, 2102–2131. [Google Scholar] [CrossRef]
- Wu, Y.; Shi, K.; Chen, Z.; Liu, S.; Chang, Z. Developing Improved Time-Series DMSP-OLS-Like Data (1992–2019) in China by Integrating DMSP-OLS and SNPP-VIIRS. IEEE Trans. Geosci. Remote Sens. 2022, 60, 4407714. [Google Scholar] [CrossRef]
- Stewart, I.D.; Oke, T.R. Local Climate Zones for Urban Temperature Studies. Bull. Am. Meteorol. Soc. 2012, 93, 1879–1900. [Google Scholar] [CrossRef]
- Xie, J.; Li, X.; Chung, L.C.H.; Webster, C.J. Effects of Land Surface Temperatures on Vegetation Phenology along Urban–Rural Local Climate Zone Gradients. Landsc. Ecol. 2024, 39, 62. [Google Scholar] [CrossRef]
- Xie, J.; Zhou, S.; Chung, L.C.H.; Chan, T.O. Evaluating Land-Surface Warming and Cooling Environments across Urban–Rural Local Climate Zone Gradients in Subtropical Megacities. Build. Environ. 2024, 251, 111232. [Google Scholar] [CrossRef]
- Zhou, S.; Zheng, H.; Liu, X.; Gao, Q.; Xie, J. Identifying the Effects of Vegetation on Urban Surface Temperatures Based on Urban–Rural Local Climate Zones in a Subtropical Metropolis. Remote Sens. 2023, 15, 4743. [Google Scholar] [CrossRef]
- Xie, J.; Wei, N.; Gao, Q. Assessing Spatiotemporal Population Density Dynamics from 2000 to 2020 in Megacities Using Urban and Rural Morphologies. Sci. Rep. 2024, 14, 14166. [Google Scholar] [CrossRef]
- Yuan, Q.; Li, G.; Qi, F. Spatial Evolution and Reconstruction of Guangzhou-Foshan Metropolitans in Guangdong-Hong Kong-Macao Greater Bay Area. South Archit. 2019, 194, 52–58. [Google Scholar]
- She, L.; Xu, X.; Yuan, Y. A Research on Foshan Administrative Division Adjustment and Integrated Development. Trop. Geogr. 2005, 3, 228–232. [Google Scholar]
- Ye, G.; Li, L. Effects of Administrative Division Adjustments and Structural Reforms on Economic Development of Economically Strong Counties: A Case Study on Shunde. Trop. Geogr. 2018, 38, 394–404. [Google Scholar]
- Du, M.; Zhang, Y.; Su, W.; Cao, X. Measurement and Analysis on Progress, Influence Factors of Market Integration in Beijing-Tianjin-Hebei Areas. Resour. Dev. Mark. 2018, 34, 813–818. [Google Scholar]
- Fan, J.; Zhang, Y. Analysis on the Spatial Structure Characteristics of Guangzhou-Foshan Region under the Background of “Urbanization”. In Proceedings of the Annual National Planning Conference 2019, Chongqing, China, 19–21 October 2019; Volume 12. [Google Scholar]
- Liao, K.; Fu, L.; Werner, B.; Cai, Y.; Tan, X. The Integration of Neighbouring Cities Based on a Border Theory: The Case of Guangzhou and Foshan. Urban Dev. Stud. 2021, 28, 115–123. [Google Scholar]
- Zhang, Z.; Xiong, Y. Strategic Thoughts and Suggestions of Promoting the Integrated Development of Chengdu—Chongqing Twin Cities Economic Circle. West. China 2019, 12, 1–12. [Google Scholar]
- Wang, W. Research on the Construction and Development of the Integrated Transportation System in the Chengdu-Chongqing Twin City Economic Circle. Contemp. Econ. 2022, 39, 50–55. [Google Scholar]
- Tu, Q.; Yu, Q. Regional High-Quality Integrated Development: From Geographic Space to Multiple Dimensional Connections. Nanjing J. Soc. Sci. 2022, 6, 43–58. [Google Scholar]
- Niu, X.; Li, K. Inter-City Functional Linkages in Shanghai Metropolitan Region from the Perspective of Close Daily Communication Area. Shanghai Urban Plan. Rev. 2019, 3, 16–22. [Google Scholar]
- Cao, X. From Integration to City Integration: Learning from Suzhou’s Development Experience with Shanghai. Sci-Tech Financ. Mon. 2021, 11, 60–64. [Google Scholar]













| TL | TN | ||||
|---|---|---|---|---|---|
| A1 | A2 | An | |||
| A1 | P11 | P12 | … | P1n | P1* |
| A2 | P21 | P22 | … | P2n | P2* |
| … | … | … | … | … | |
| An | Pn1 | Pn2 | … | Pnn | Pn* |
| P*1 | P*2 | … | P*n | ||
| (a) Sources of urban construction land inthe Guangzhou–Foshan metropolitan area | |||||
| 2000–2005 | 2005–2010 | 2010–2015 | 2015–2020 | 2000–2020 | |
| Settlement | 76.2% | 81.6% | 89.4% | 93.8% | 52.2% |
| Cropland | 20.3% | 15.7% | 9.0% | 4.8% | 39.9% |
| Forest | 2.4% | 1.7% | 1.1% | 0.9% | 5.1% |
| Grassland | 0.2% | 0.1% | 0.1% | 0.1% | 0.5% |
| Wetland | 0 | 0 | 0 | 0 | 0 |
| Water | 0.9% | 0.9% | 0.4% | 0.4% | 2.2% |
| Other | 0 | 0 | 0 | 0 | 0 |
| Overall | 100% | 100% | 100% | 100% | 100% |
| (b) Sources of urban construction land inthe Guangzhou–Foshan adjacent area | |||||
| 2000–2005 | 2005–2010 | 2010–2015 | 2015–2020 | 2000–2020 | |
| Settlement | 80.2% | 83.3% | 90.8% | 95.4% | 57.9% |
| Cropland | 16.5% | 14.2% | 7.9% | 3.6% | 35.0% |
| Forest | 2.1% | 1.5% | 0.8% | 0.5% | 4.2% |
| Grassland | 0.2% | 0.1% | 0.1% | 0.1% | 0.4% |
| Wetland | 0 | 0 | 0 | 0 | 0 |
| Water | 1.0% | 0.9% | 0.4% | 0.4% | 2.5% |
| Other | 0 | 0 | 0 | 0 | 0 |
| Overall | 100% | 100% | 100% | 100% | 100% |
| (c) Change rate of urban construction land in the adjacent area compared with that in the Guangzhou–Foshan metropolitan area (dimensionless unit: 1) | |||||
| 2000–2005 | 2005–2010 | 2010–2015 | 2015–2020 | 2000–2020 | |
| Settlement | 1.052 | 1.021 | 1.015 | 1.017 | 1.110 |
| Cropland | 0.813 | 0.903 | 0.880 | 0.756 | 0.876 |
| Forest | 0.882 | 0.894 | 0.789 | 0.561 | 0.822 |
| Grassland | 0.861 | 0.904 | 0.811 | 0.639 | 0.770 |
| Wetland | 1.000 | 1.000 | 1.000 | 1.000 | 1.000 |
| Water | 1.128 | 1.021 | 0.911 | 0.934 | 1.106 |
| Other | 1.000 | 1.000 | 1.000 | 1.000 | 1.000 |
Disclaimer/Publisher’s Note: The statements, opinions and data contained in all publications are solely those of the individual author(s) and contributor(s) and not of MDPI and/or the editor(s). MDPI and/or the editor(s) disclaim responsibility for any injury to people or property resulting from any ideas, methods, instructions or products referred to in the content. |
© 2024 by the authors. Licensee MDPI, Basel, Switzerland. This article is an open access article distributed under the terms and conditions of the Creative Commons Attribution (CC BY) license (https://creativecommons.org/licenses/by/4.0/).
Share and Cite
Chen, R.; Zhou, S.; Liu, S.; Li, Z.; Xie, J. Assessment of Urban Spatial Integration Using Human Settlement Environmental Geographic Dataset: A Case Study in the Guangzhou–Foshan Metropolitan Area. Land 2024, 13, 1262. https://doi.org/10.3390/land13081262
Chen R, Zhou S, Liu S, Li Z, Xie J. Assessment of Urban Spatial Integration Using Human Settlement Environmental Geographic Dataset: A Case Study in the Guangzhou–Foshan Metropolitan Area. Land. 2024; 13(8):1262. https://doi.org/10.3390/land13081262
Chicago/Turabian StyleChen, Rui, Siyu Zhou, Shuyuan Liu, Zifeng Li, and Jing Xie. 2024. "Assessment of Urban Spatial Integration Using Human Settlement Environmental Geographic Dataset: A Case Study in the Guangzhou–Foshan Metropolitan Area" Land 13, no. 8: 1262. https://doi.org/10.3390/land13081262
APA StyleChen, R., Zhou, S., Liu, S., Li, Z., & Xie, J. (2024). Assessment of Urban Spatial Integration Using Human Settlement Environmental Geographic Dataset: A Case Study in the Guangzhou–Foshan Metropolitan Area. Land, 13(8), 1262. https://doi.org/10.3390/land13081262

