Effect of Soil Moisture Content on Condensation Water in Typical Loess and Sandy Soil
Abstract
1. Introduction
2. Materials and Methods
2.1. Measurement Site
2.2. Experimental Materials
2.3. Experimental Design
2.4. Data Processing
2.4.1. Soil Condensation Water
2.4.2. Dew Point Temperature
2.4.3. Data Statistics and Analysis
3. Results and Discussions
3.1. Analysis of Meteorological Factors
3.2. Variations in Soil Condensation Water
3.3. Correlation of Soil Condensation Water in Loess and Sandy Soil
3.4. Influencing Factors
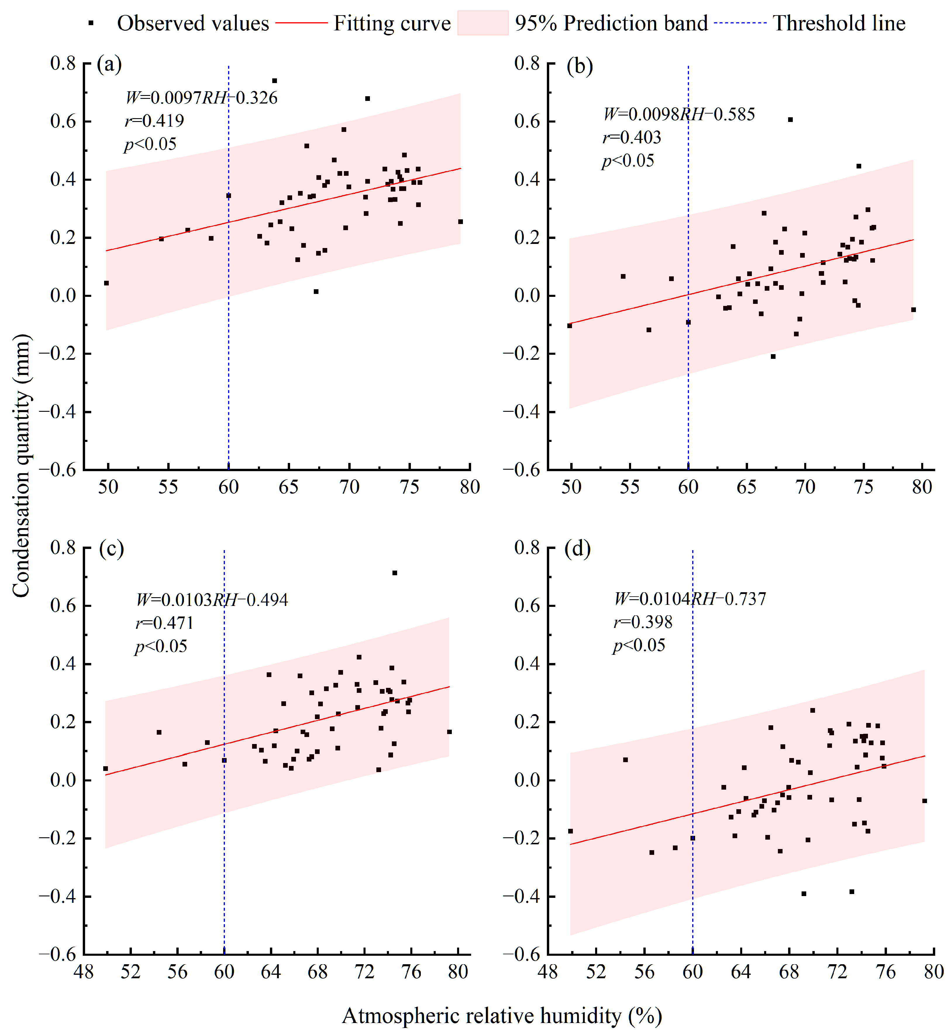
3.4.1. Atmospheric Relative Humidity
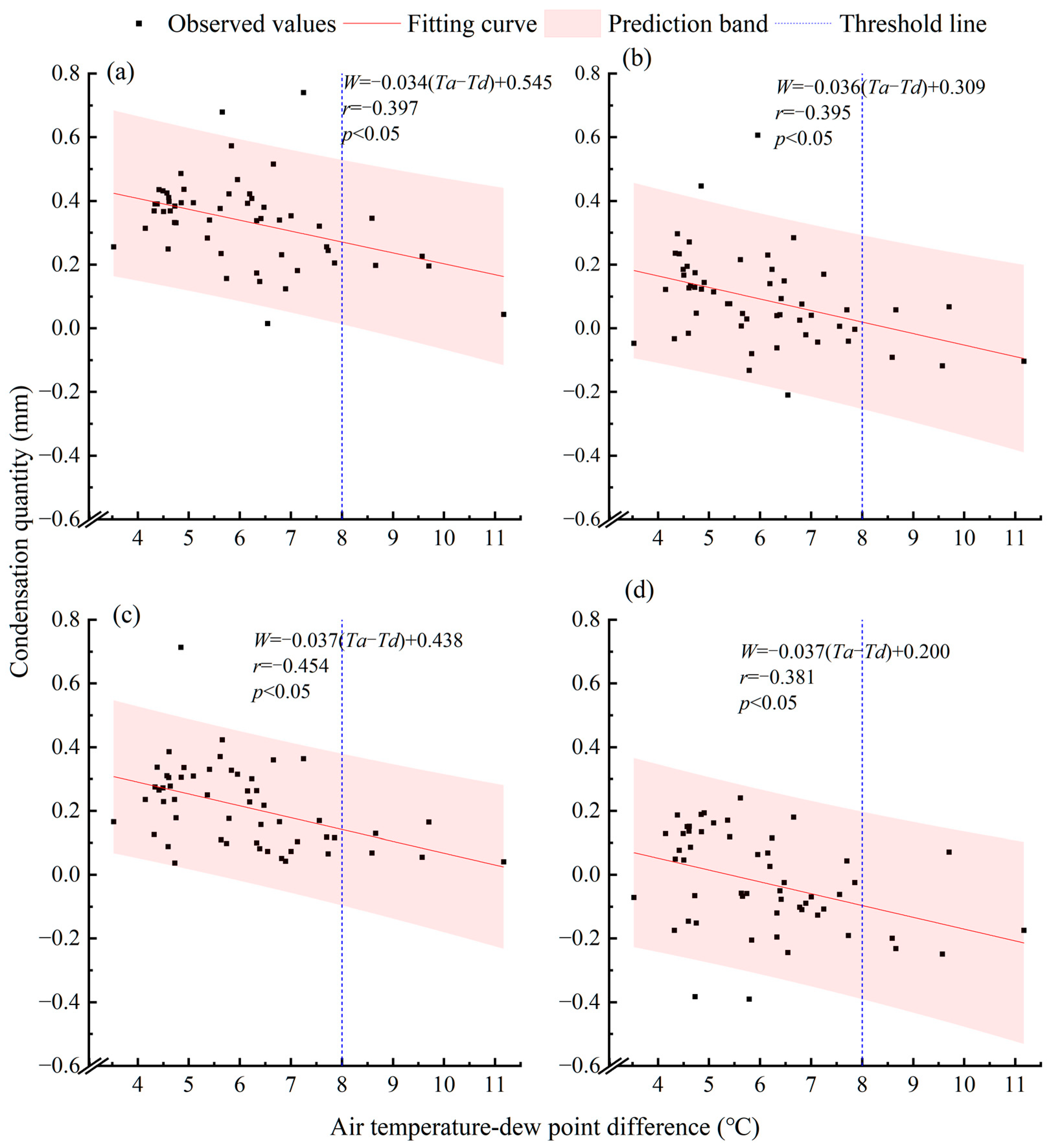
3.4.2. Differences between Air Temperature and Dew Point Temperature
4. Conclusions
- (i)
- Under the same soil moisture conditions, the amount of condensation and the number of days of condensation for loess are greater than those for sand because loess pores, which are smaller than sand pores, have a larger specific surface area, resulting in a higher adsorption capacity for water.
- (ii)
- The average soil condensation quantity (W) in loess and sandy soil showed a significant negative correlation with the gravimetric moisture content (θ). For loess, the regression model can be described as follows: W = −2.443θ + 0.240 (R2 = 0.790, p < 0.05); and for sandy soil, the regression model can be described as follows: W = −10.366θ + 0.296 (R2 = 0.975, p < 0.05).
- (iii)
- Soil condensation water quantities were positively correlated with RH and negatively correlated with air temperature–dew point differences. Soil condensation predominantly occurs under conditions with an RH above 60% and air temperature–dew point differences less than 8 °C.
Author Contributions
Funding
Data Availability Statement
Conflicts of Interest
References
- Uclés, O.; Villagarcía, L.; Cantón, Y.; Domingo, F. Partitioning of non rainfall water input regulated by soil cover type. Catena 2016, 139, 265–270. [Google Scholar] [CrossRef]
- Florentin, A.; Agam, N. Estimating non-rainfall-water-inputs-derived latent heat flux with turbulence-based methods. Agric. For. Meteorol. 2017, 247, 533–540. [Google Scholar] [CrossRef]
- Gutterman, Y.; Shem-Tov, S. Mucilaginous seed coat structure ofCarrichtera annuaandAnastatica hierochunticafrom the Negev Desert highlands of Israel, and its adhesion to the soil crust. J. Arid Environ. 1997, 35, 695–705. [Google Scholar] [CrossRef]
- Jacobs, A.F.G.; Heusinkveld, B.G.; Berkowicz, S.M. Dew deposition and drying in a desert system: A simple simulation model. J. Arid Environ. 1999, 42, 211–222. [Google Scholar] [CrossRef]
- Hughes, R.N.; Brimblecombe, P. Dew and guttation: Formation and environmental significance. Agric. For. Meteorol. 1994, 67, 173–190. [Google Scholar] [CrossRef]
- Wang, L.; Kaseke, K.F.; Seely, M.K. Effects of non-rainfall water inputs on ecosystem functions. Wiley Interdiscip. Rev.-Water. 2017, 4, e1179. [Google Scholar] [CrossRef]
- Pan, Y.X.; Wang, X.P.; Zhang, Y.F.; Hu, R. Dew formation characteristics at annual and daily scale in xerophyte shrub plantations at Southeast margin of Tengger desert, Northern China. Ecohydrology 2018, 11, e1968. [Google Scholar]
- Aguirre-Gutiérrez, C.A.; Holwerda, F.; Goldsmith, G.R.; Delgado, J.; Yepez, E.; Carbajal, N.; Escoto-Rodríguez, M.; Arredondo, J.T. The importance of dew in the water balance of a continental semiarid grassland. J. Arid Environ. 2019, 168, 26–35. [Google Scholar] [CrossRef]
- Kidron, G.J. Altitude dependent dew and fog in the Negev Desert, Israel. Agric. For. Meteorol. 1999, 96, 1–8. [Google Scholar] [CrossRef]
- Jabro, J.D. Water Vapor Diffusion Through Soil as Affected by Temperature and Aggregate Size. Transp. Porous Media 2009, 77, 417–428. [Google Scholar] [CrossRef]
- Arthur, E.; Tuller, M.; Moldrup, P.; de Jonge, L.W. Effects of biochar and manure amendments on water vapor sorption in a sandy loam soil. Geoderma 2015, 243–244, 175–182. [Google Scholar] [CrossRef]
- Arthur, E.; Tuller, M.; Moldrup, P.; Greve, M.H.; Knadel, M.; de Jonge, L.W. Applicability of the Guggenheim-Anderson-Boer water vapour sorption model for estimation of soil specific surface area. Eur. J. Soil Sci. 2018, 69, 245–255. [Google Scholar] [CrossRef]
- Shang, S.; Horne, R.N.; Ramey, H.J., Jr. Measurement of Surface Area and Water Adsorption Capacity of the Geysers Rocks; Petroleum Engineering Department, Stanford University: Stanford, CA, USA, 1994. [Google Scholar]
- Kidron, G.J.; Starinsky, A. Measurements and ecological implications of non-rainfall water in desert ecosystems—A review. Ecohydrology 2019, 12, e2121. [Google Scholar] [CrossRef]
- Jia, Z.F.; Zhao, Z.Q.; Zhang, Q.Y.; Wu, W.C. Dew Yield and Its Influencing Factors at the Western Edge of Gurbantunggut Desert, China. Water 2019, 11, 733. [Google Scholar] [CrossRef]
- Hao, X.; Li, C.; Guo, B.; Ma, J.; Ayup, M.; Chen, Z. Dew formation and its long-term trend in a desert riparian forest ecosystem on the eastern edge of the Taklimakan Desert in China. J. Hydrol. 2012, 472–473, 90–98. [Google Scholar] [CrossRef]
- Wang, H.; Zhang, J.; Cao, Y.; Wang, H.; Liu, X.; Sun, X.; Sun, K.; Li, Y.; Pei, Z. Surface Condensation Water under Salix psammophila Is the Main Water Source in Addition to Rainfall in the Kubuqi Desert. Water 2023, 15, 3098. [Google Scholar] [CrossRef]
- Kalthoff, N.; Fiebig-Wittmaack, M.; Meißner, C.; Kohler, M.; Uriarte, M.; Bischoff-Gauß, I.; Gonzales, E. The energy balance, evapo-transpiration and nocturnal dew deposition of an arid valley in the Andes. J. Arid Environ. 2006, 65, 420–443. [Google Scholar] [CrossRef]
- Moro, M.J.; Were, A.; Villagarcía, L.; Cantón, Y.; Domingo, F. Dew measurement by Eddy covariance and wetness sensor in a semiarid ecosystem of SE Spain. J. Hydrol. 2007, 335, 295–302. [Google Scholar] [CrossRef]
- Baier, W. Studies on dew formation under semi-arid conditions. Agric. For. Meteorol. 1966, 3, 103–112. [Google Scholar] [CrossRef]
- Chen, L.; Meissner, R.; Zhang, Y.Q.; Xiao, H.J. Studies on dew formation and its meteorological factors. J. Food Agric. Environ. 2013, 11, 1063–1068. [Google Scholar]
- Castillo, J.E.; Weibel, J.A.; Garimella, S.V. The effect of relative humidity on dropwise condensation dynamics. Int. J. Heat. Mass. Transf. 2015, 80, 759–766. [Google Scholar] [CrossRef]
- Shrestha, A.K.; Thapa, A.; Gautam, H.; Sandrolini, L. Solar Radiation, Air Temperature, Relative Humidity, and Dew Point Study: Damak, Jhapa, Nepal. Int. J. Photoenergy 2019, 2019, 8369231. [Google Scholar] [CrossRef]
- Beysens, D. The formation of dew. Atmos. Res. 1995, 39, 215–237. [Google Scholar] [CrossRef]
- Kidron, G.J.; Kronenfeld, R.; Temina, M. The different effects of regional and local winds on dew formation in the Negev desert. J. Hydrol. Hydromech. 2023, 71, 132–138. [Google Scholar] [CrossRef]
- Davis, P.A. An investigation of a method for predicting dew duration. Meteorol. Atmos. Phys. 1957, 10, 66–93. [Google Scholar] [CrossRef]
- Wang, L.; Shao, M.A.; Wang, Q.; Gale, W.J. Historical changes in the environment of the Chinese Loess Plateau. Environ. Sci. Policy 2006, 9, 675–684. [Google Scholar] [CrossRef]
- Haase, D.; Fink, J.; Haase, G.; Ruske, R.; Pécsi, M.; Richter, H.; Altermann, M.; Jäger, K.D. Loess in Europe—Its spatial distribution based on a European Loess Map, scale 1:2,500,000. Quat. Sci. Rev. 2007, 26, 1301–1312. [Google Scholar] [CrossRef]
- Muhs, D.R. The geochemistry of loess: Asian and North American deposits compared. J. Asian Earth Sci. 2018, 155, 81–115. [Google Scholar] [CrossRef]
- Li, Y.; Shi, W.; Aydin, A.; Beroya-Eitner, M.A.; Gao, G. Loess genesis and worldwide distribution. Earth-Sci. Rev. 2020, 201, 102947. [Google Scholar] [CrossRef]
- Swezey, C. Eolian sediment responses to late Quaternary climate changes: Temporal and spatial patterns in the Sahara. Palaeogeogr. Palaeoclimatol. Palaeoecol. 2001, 167, 119–155. [Google Scholar] [CrossRef]
- Al-Masrahy, M.A.; Mountney, N.P. A classification scheme for fluvial–aeolian system interaction in desert-margin settings. Aeolian Res. 2015, 17, 67–88. [Google Scholar] [CrossRef]
- Cohen, T.J.; Arnold, L.J.; Gázquez, F.; May, J.; Marx, S.K.; Jankowski, N.R.; Chivas, A.R.; Garćia, A.; Cadd, H.; Parker, A.G.; et al. Late Quaternary climate change in Australia’s arid interior: Evidence from Kati Thanda—Lake Eyre. Quat. Sci. Rev. 2022, 292, 107635. [Google Scholar] [CrossRef]
- Zhu, B.Q. Paleo-Atmospheric Precipitation Recharged to Groundwater in Middle-Latitude Deserts of Northern China. Atmosphere 2023, 14, 774. [Google Scholar] [CrossRef]
- Zhu, X.; Li, Y.; Peng, X.; Zhang, S. Soils of the loess region in China. Geoderma 1983, 29, 237–255. [Google Scholar]
- Dang, Y.; Li, S.; Wang, G.; Zhao, K. Fractal characteristics of soil particle composition for typical types of soil profile on Loess Plateau. Trans. Chin. Soc. Agric. Eng. 2009, 25, 74–78. [Google Scholar]
- Zhao, C.; Shao, M.; Jia, X.; Zhang, C. Particle size distribution of soils (0–500 cm) in the Loess Plateau, China. Geoderma Reg. 2016, 7, 251–258. [Google Scholar] [CrossRef]
- Jiang, Y.; Yin, X.; Luo, X.; Yu, L.; Sun, H.; Wang, N.; Mathews, S. Sorption of vanadium (V) on three typical agricultural soil of the Loess Plateau, China. Environ. Pollut. Bioavail. 2019, 31, 120–130. [Google Scholar] [CrossRef]
- Uclés, O.; Villagarcía, L.; Cantón, Y.; Lázaro, R.; Domingo, F. Non-rainfall water inputs are controlled by aspect in a semiarid ecosystem. J. Arid Environ. 2015, 113, 43–50. [Google Scholar] [CrossRef]
- Agam, N.; Berliner, P.R. Diurnal water content changes in the bare soil of a coastal desert. J. Hydrometeorol. 2004, 5, 922–933. [Google Scholar] [CrossRef]
- Matimati, I.; Musil, C.F.; Raitt, L.; February, E. Non rainfall moisture interception by dwarf succulents and their relative abundance in an inland arid South African ecosystem. Ecohydrology 2013, 6, 818–825. [Google Scholar] [CrossRef]
- Whalley, W.R. Considerations on the use of time-domain reflectometry (TDR) for measuring soil water content. Eur. J. Soil Sci. 1993, 44, 1–9. [Google Scholar] [CrossRef]
- Jones, S.B.; Wraith, J.M.; Or, D. Time domain reflectometry measurement principles and applications. Hydrol. Process. 2002, 16, 141–153. [Google Scholar] [CrossRef]
- Louki, I.I.; Al Omran, A.M.; Aly, A.A.; Al Harbi, A.R. Sensor effectiveness for soil water content measurements under normal and extreme conditions. Irrig. Drain. 2019, 68, 979–992. [Google Scholar] [CrossRef]
- Kidron, G.J.; Kronenfeld, R. Microlysimeters overestimate the amount of non-rainfall water–an experimental approach. Catena 2020, 194, 104691. [Google Scholar] [CrossRef]
- Duvdevani, S. An optical method of dew estimation. Q. J. R. Meteorol. Soc. 1947, 73, 282–296. [Google Scholar] [CrossRef]
- Zangvil, A. Six years of dew observations in the Negev Desert, Israel. J. Arid Environ. 1996, 32, 361–371. [Google Scholar] [CrossRef]
- Kidron, G.J. Analysis of dew precipitation in three habitats within a small arid drainage basin, Negev Highlands, Israel. Atmos. Res. 2000, 55, 257–270. [Google Scholar] [CrossRef]
- Griend, A.A.V.D.; Owe, M. Bare soil surface resistance to evaporation by vapor diffusion under semiarid conditions. Water Resour. Res. 1994, 30, 181–188. [Google Scholar] [CrossRef]
- Kaseke, K.F.; Mills, A.J.; Brown, R.; Esler, K.J.; Henschel, J.R.; Seely, M.K. A Method for Direct Assessment of the “Non Rainfall” Atmospheric Water Cycle: Input and Evaporation From the Soil. Pure Appl. Geophys. 2012, 169, 847–857. [Google Scholar] [CrossRef]
- Kidron, G.J.; Kronenfeld, R. Assessing the effect of micro-lysimeters on NRWI: Do micro-lysimeters adequately represent the water input of natural soil? J. Hydrol. 2017, 548, 382–390. [Google Scholar] [CrossRef]
- Hannes, M.; Wollschläger, U.; Schrader, F.; Durner, W.; Gebler, S.; Pütz, T.; Fank, J.; von Unold, G.; Vogel, H.J. A comprehensive filtering scheme for high-resolution estimation of the water balance components from high-precision lysimeters. Hydrol. Earth Syst. Sci. 2015, 19, 3405–3418. [Google Scholar] [CrossRef]
- Herbrich, M.; Gerke, H.H.; Bens, O.; Sommer, M. Water balance and leaching of dissolved organic and inorganic carbon of eroded Luvisols using high precision weighing lysimeters. Soil. Tillage Res. 2017, 165, 144–160. [Google Scholar] [CrossRef]
- Jannis, G.; Veronika, S.; Markus, H.; Alexander, G.; Harry, V.; Thomas, P. Determining dew and hoar frost formation for a low mountain range and alpine grassland site by weighable lysimeter. J. Hydrol. 2018, 563, 372–381. [Google Scholar]
- Baker, J.M.; Spaans, G.J. Measuring water exchange between soil and atmosphere with TDR-microlysimetry. Soil Sci. 1994, 158, 22–30. [Google Scholar] [CrossRef]
- Kinama, J.M.; Stigter, C.J.; Ong, C.K.; Ng Ang A, J.K.; Gichuki, F.N. Evaporation from soils below sparse crops in contour hedgerow agroforestry in semi-arid Kenya. Agric. For. Meteorol. 2005, 130, 149–162. [Google Scholar] [CrossRef]
- Dai, J.; Wang, H.; Ge, Q. Multiple phenological responses to climate change among 42 plant species in Xi’an, China. Int. J. Biometeorol. 2013, 57, 749–758. [Google Scholar] [CrossRef]
- Cervelli, E.W.; Lundholm, J.T.; Du, X. Spontaneous urban vegetation and habitat heterogeneity in Xi’an, China. Landsc. Urban. Plan. 2013, 120, 25–33. [Google Scholar] [CrossRef]
- Jia, Z.F.; Ma, Y.D.; Liu, P.; Yao, C.C. Relationship between sand dew and plant leaf dew and its significance in irrigation water supplementation in Guanzhong Basin, China. Environ. Earth Sci. 2019, 78, 1–10. [Google Scholar]
- Jia, Z.F.; Wang, Z.; Wang, H. Characteristics of Dew Formation in the Semi-Arid Loess Plateau of Central Shaanxi Province, China. Water 2019, 11, 126. [Google Scholar] [CrossRef]
- Riedl, A.; Li, Y.; Eugster, J.; Buchmann, N.; Eugster, W. Technical note: High-accuracy weighing micro-lysimeter system for long-term measurements of non-rainfall water inputs to grasslands. Hydrol. Earth Syst. Sci. 2022, 26, 91–116. [Google Scholar] [CrossRef]
- Jia, Z.; Chang, Y.; Liu, H.; Li, G.; Guan, Z.; Zhang, X.; Xi, R.; Liu, P.; Liu, Y. Characteristics and Estimation of Dew in the Loess Hilly Region of Northern Shaanxi Province, China. Sustainability 2024, 16, 2482. [Google Scholar] [CrossRef]
- Boast, C.W.; Robertson, T.M. A “Micro-Lysimeter” Method for Determining Evaporation from Bare Soil: Description and Laboratory Evaluation. Soil Sci. Soc. Am. J. 1982, 46, 689–696. [Google Scholar] [CrossRef]
- Lawrence, M.G. The Relationship between Relative Humidity and the Dewpoint Temperature in Moist Air: A Simple Conversion and Applications. Bull. Am. Meteorol. Soc. 2005, 86, 225–233. [Google Scholar] [CrossRef]
- Alduchov, O.A.; Eskridge, R.E. Improved Magnus Form Approximation of Saturation Vapor Pressure. J. Appl. Meteorol. 1996, 35, 601–609. [Google Scholar] [CrossRef]
- Puth, M.; Neuhäuser, M.; Ruxton, G.D. Effective use of Pearson’s product–moment correlation coefficient. Anim. Behav. 2014, 93, 183–189. [Google Scholar] [CrossRef]
- Ly, A.; Marsman, M.; Wagenmakers, E.J. Analytic posteriors for Pearson’s correlation coefficient. Stat. Neerl. 2018, 72, 4–13. [Google Scholar] [CrossRef] [PubMed]
- van den Heuvel, E.; Zhan, Z. Myths About Linear and Monotonic Associations: Pearson’s r, Spearman’s ρ, and Kendall’s τ. Am. Stat. 2022, 76, 44–52. [Google Scholar] [CrossRef]
- Chen, M.; Zeng, W.; Arthur, E.; Gaiser, T.; Lei, G.; Zha, Y.; Ao, C.; Fang, Y.; Wu, J.; Huang, J. Relating soil salinity, clay content and water vapour sorption isotherms. Eur. J. Soil Sci. 2020, 71, 399–414. [Google Scholar] [CrossRef]
- Arthur, E.; Rehman, H.U.; Tuller, M.; Pouladi, N.; Nørgaard, T.; Moldrup, P.; de Jonge, L.W. Estimating Atterberg limits of soils from hygroscopic water content. Geoderma 2021, 381, 114698. [Google Scholar] [CrossRef]
- Ghanbarian, B.; Hunt, A.G.; Bittelli, M.; Tuller, M.; Arthur, E. Estimating specific surface area: Incorporating the effect of surface roughness and probing molecule size. Soil Sci. Soc. Am. J. 2021, 85, 534–545. [Google Scholar] [CrossRef]
- Song, X.; Chen, C.; Arthur, E.; Tuller, M.; Zhou, H.; Shang, J.; Ren, T. Cation exchange capacity and soil pore system play key roles in water vapour sorption. Geoderma 2022, 424, 116017. [Google Scholar] [CrossRef]
- Li, G.; Zhan, L.; Hu, Z.; Chen, Y. Effects of particle gradation and geometry on the pore characteristics and water retention curves of granular soils: A combined DEM and PNM investigation. Granul. Matter. 2021, 23, 9. [Google Scholar] [CrossRef]
- Altuhafi, F.N.; Coop, M.R.; Georgiannou, V.N. Effect of Particle Shape on the Mechanical Behavior of Natural Sands. J. Geotech. Geoenviron. Eng. 2016, 142, 4016071. [Google Scholar] [CrossRef]
- Li, X.; Sun, J.; Ren, H.; Lu, T.; Ren, Y.; Pang, T. The effect of particle size distribution and shape on the microscopic behaviour of loess via the DEM. Environ. Earth Sci. 2022, 81, 290. [Google Scholar] [CrossRef]
- Chen, J.; Wang, E.; Xue, J.; Cui, L.; Zheng, X.; Du, Q. Effects of soil particle size and gradation on the transformation between shallow phreatic water and soil water under laboratory freezing-thawing action. J. Hydrol. 2023, 619, 129323. [Google Scholar] [CrossRef]
- Ritchie, J.T.; Porter, C.H.; Judge, J.; Jones, J.W.; Suleiman, A.A. Extension of an Existing Model for Soil Water Evaporation and Redistribution under High Water Content Conditions. Soil Sci. Soc. Am. J. 2009, 73, 792–801. [Google Scholar] [CrossRef]
- Schwartz, R.C.; Baumhardt, R.L.; Evett, S.R. Tillage effects on soil water redistribution and bare soil evaporation throughout a season. Soil Tillage Res. 2010, 110, 221–229. [Google Scholar] [CrossRef]
- Fang, J. Variability in condensation water and its determinants in arid regions of north-western China. Ecohydrology 2020, 13, e2226. [Google Scholar] [CrossRef]
- Kidron, G.J.; Kronenfeld, R. Assessing the likelihood of the soil surface to condense vapour: The Negev experience. Ecohydrology 2020, 13, e2200. [Google Scholar] [CrossRef]
- Lin, X.; Hu, Q.; Chen, Z.; Wang, Q.; Zhang, T.; Sun, M. Changes in water vapor adsorption and water film thickness in clayey materials as a function of relative humidity. Vadose Zone J. 2020, 19, e20063. [Google Scholar] [CrossRef]
- Monteith, J.L. Dew. Q. J. R. Meteorol. Soc. 1957, 83, 322–341. [Google Scholar] [CrossRef]
- Atashi, N.; Rahimi, D.; Al Kuisi, M.; Jiries, A.; Vuollekoski, H.; Kulmala, M.; Vesala, T.; Hussein, T. Modeling long-term temporal variation of dew formation in Jordan and its link to climate change. Water 2020, 12, 2186. [Google Scholar] [CrossRef]
- Moratiel, R.; Soriano, B.; Centeno, A.; Spano, D.; Snyder, R.L. Wet-bulb, dew point, and air temperature trends in Spain. Theor. Appl. Climatol. 2017, 130, 419–434. [Google Scholar] [CrossRef]
- Bui, A.; Johnson, F.; Wasko, C. The relationship of atmospheric air temperature and dew point temperature to extreme rainfall. Environ. Res. Lett. 2019, 14, 074025. [Google Scholar] [CrossRef]
- Beysens, D.; Clus, O.; Mileta, M.; Milimouk, I.; Muselli, M.; Nikolayev, V.S. Collecting dew as a water source on small islands: The dew equipment for water project in Biševo (Croatia). Energy 2007, 32, 1032–1037. [Google Scholar] [CrossRef]
- Maestre-Valero, J.F.; Martin-Gorriz, B.; Martínez-Alvarez, V. Dew condensation on different natural and artificial passive surfaces in a semiarid climate. J. Arid Environ. 2015, 116, 63–70. [Google Scholar] [CrossRef]
- Agam, N.; Berliner, P.R. Dew formation and water vapor adsorption in semi-arid environments—A review. J. Arid Environ. 2006, 65, 572–590. [Google Scholar] [CrossRef]
- Ansari, E.; Ferber, N.L.; Milošević, T.; Barron, J.; Karanikolos, G.N.; AlMarzooqi, F.; Dumée, L.F.; Calvet, N. Atmospheric water generation in arid regions—A perspective on deployment challenges for the Middle East. J. Water Process. Eng. 2022, 49, 103163. [Google Scholar] [CrossRef]
- Kool, D.; Agra, E.; Drabkin, A.; Duncan, A.; Fendinat, P.P.; Leduc, S.; Lupovitch, G.; Nambwandja, A.N.; Ndilenga, N.S.; Nguyễn Thị, T.; et al. The overlooked non-rainfall water input sibling of fog and dew: Daily water vapor adsorption on a! Nara hummock in the Namib Sand Sea. J. Hydrol. 2021, 598, 126420. [Google Scholar] [CrossRef]









| Soil Type | Sand Particles | Silt Particles | Clay Particles | |||||
|---|---|---|---|---|---|---|---|---|
| 2–1 mm | 1–0.5 mm | 0.5–0.25 mm | 0.25–0.1 mm | 0.1–0.05 mm | 0.05–0.02 mm | 0.02–0.002 mm | 0–0.002 mm | |
| Loess | 0 | 0 | 0 | 8.33 | 41.70 | 42.68 | 7.29 | 0 |
| Sandy soil | 12.01 | 24.73 | 35.19 | 12.75 | 1.81 | 4.31 | 8.80 | 0.39 |
| Soil Type | Soil Moisture Content | 0% | 3% | 7% | 11% | 15% |
|---|---|---|---|---|---|---|
| Loess | 0% | 1 | ||||
| 3% | 0.530 * | 1 | ||||
| 7% | 0.527 * | 0.895 * | 1 | |||
| 11% | 0.505 * | 0.888 * | 0.893 * | 1 | ||
| 15% | 0.491 * | 0.781 * | 0.870 * | 0.871 * | 1 | |
| Sandy soil | 0% | 1 | ||||
| 3% | 0.669 * | 1 | ||||
| 7% | 0.336 * | 0.638 * | 1 | |||
| 11% | −0.040 | 0.293 * | 0.583 * | 1 | ||
| 15% | −0.027 | 0.210 | 0.352 * | 0.691 * | 1 |
Disclaimer/Publisher’s Note: The statements, opinions and data contained in all publications are solely those of the individual author(s) and contributor(s) and not of MDPI and/or the editor(s). MDPI and/or the editor(s) disclaim responsibility for any injury to people or property resulting from any ideas, methods, instructions or products referred to in the content. |
© 2024 by the authors. Licensee MDPI, Basel, Switzerland. This article is an open access article distributed under the terms and conditions of the Creative Commons Attribution (CC BY) license (https://creativecommons.org/licenses/by/4.0/).
Share and Cite
Jin, C.; Jia, Z.; Li, G.; Zhao, L.; Ren, Y. Effect of Soil Moisture Content on Condensation Water in Typical Loess and Sandy Soil. Land 2024, 13, 934. https://doi.org/10.3390/land13070934
Jin C, Jia Z, Li G, Zhao L, Ren Y. Effect of Soil Moisture Content on Condensation Water in Typical Loess and Sandy Soil. Land. 2024; 13(7):934. https://doi.org/10.3390/land13070934
Chicago/Turabian StyleJin, Cheng, Zhifeng Jia, Ge Li, Lingke Zhao, and Yuze Ren. 2024. "Effect of Soil Moisture Content on Condensation Water in Typical Loess and Sandy Soil" Land 13, no. 7: 934. https://doi.org/10.3390/land13070934
APA StyleJin, C., Jia, Z., Li, G., Zhao, L., & Ren, Y. (2024). Effect of Soil Moisture Content on Condensation Water in Typical Loess and Sandy Soil. Land, 13(7), 934. https://doi.org/10.3390/land13070934
