Composite Fingerprint Analysis of Sediment Sources in a Watershed Disturbed by Road Construction in Southeastern Tibet
Abstract
1. Introduction
2. Materials and Methods
2.1. Study Area
2.2. Field Sampling and Road Survey
2.3. Laboratory Analysis
2.4. Selection of Composite Fingerprints
2.5. Apportionment of Sediment Sources
2.6. Statistical Analysis
3. Results
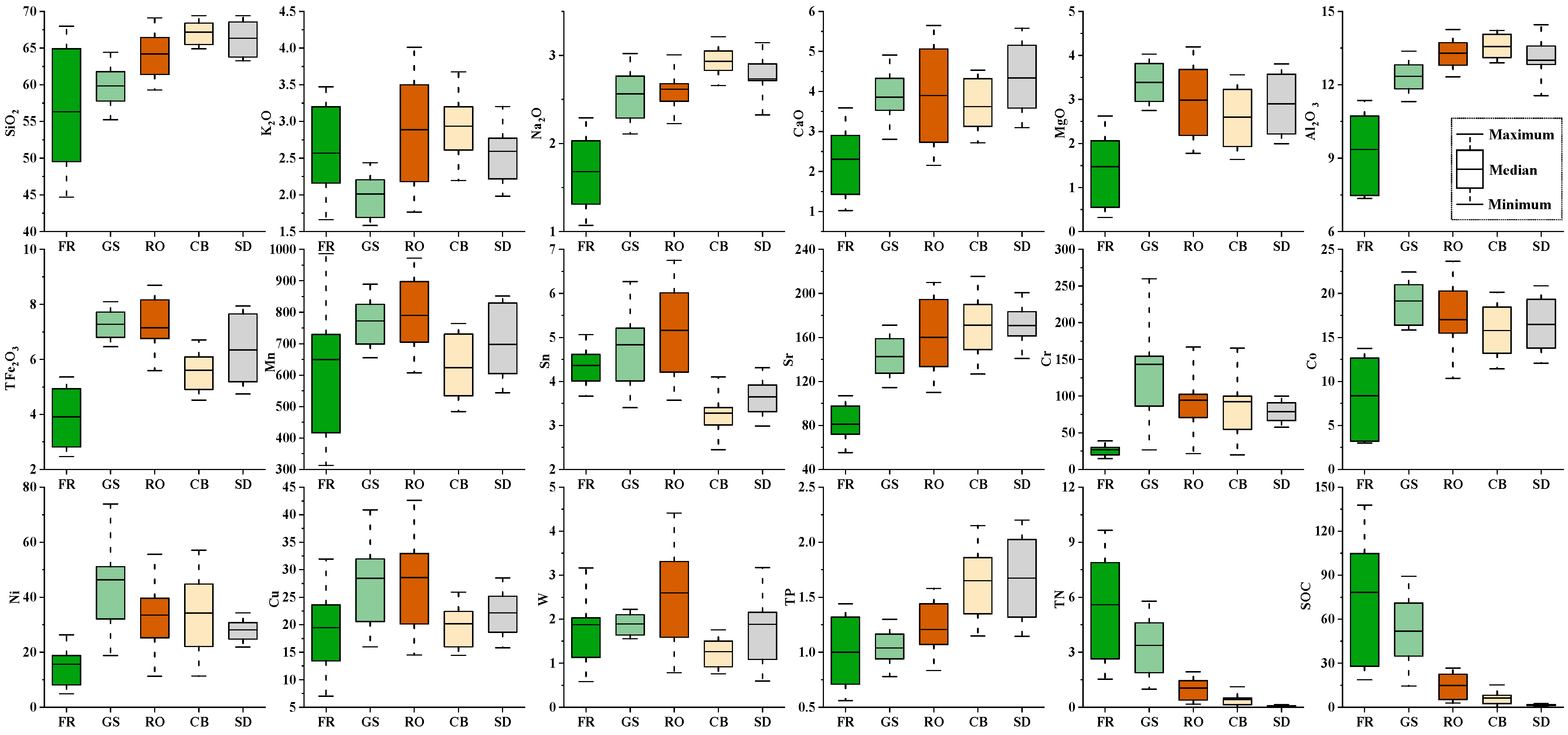
3.1. Selecting the Composite Source Fingerprint
3.2. Contribution from Sediment Sources
3.3. Factors That Influence Road-Related Sediment Contributions
4. Discussion
4.1. Contribution of Road-Related Sediment
4.2. Mechanism of Spatial Variation in Sediment Contributed by Roads
5. Conclusions
Author Contributions
Funding
Data Availability Statement
Acknowledgments
Conflicts of Interest
References
- Borrelli, P.; Robinson, D.A.; Fleischer, L.R.; Lugato, E.; Ballabio, C.; Alewell, C.; Meusburger, K.; Modugno, S.; Schütt, B.; Ferro, V.; et al. An assessment of the global impact of 21st century land use change on soil erosion. Nat. Commun. 2013, 8, 2013. [Google Scholar] [CrossRef]
- Collins, A.L.; Walling, D.E.; Stroud, R.W.; Robson, M.; Peet, L.M. Assessing damaged road verges as a suspended sediment source in the Hampshire Avon catchment, southern United Kingdom. Hydrol. Process. 2010, 24, 1106–1122. [Google Scholar] [CrossRef]
- Zhang, L.T.; Gao, Z.L.; Yang, S.W.; Li, Y.H.; Tian, H.W. Dynamic processes of soil erosion by runoff on engineered landforms derived from expressway construction: A case study of typical steep spoil heap. Catena 2015, 128, 108–121. [Google Scholar] [CrossRef]
- Nosrati, K.; Collins, A.L.; Madankan, M. Fingerprinting sub-basin spatial sediment sources using different multivariate statistical techniques and the Modified MixSIR model. Catena 2018, 164, 32–43. [Google Scholar] [CrossRef]
- Laurance, W.F.; Balmford, A. A global map for road building. Nature 2013, 495, 308–309. [Google Scholar] [CrossRef]
- Jimenez, M.D.; Ruiz-Capillas, P.; Mola, I.; Pérez-Corona, E.; Casado, M.A.; Balaguer, L. Soil development at the roadside: A case study of a novel ecosystem. Land Degrad. Dev. 2013, 24, 564–574. [Google Scholar] [CrossRef]
- Cao, L.X.; Elliot, W.; Long, J.W. Spatial simulation of forest road effects on hydrology and soil erosion after a wildfire. Hydrol. Process. 2021, 35, e14139. [Google Scholar] [CrossRef]
- Gucinski, H.; Furniss, M.J.; Ziemer, R.R.; Brookes, M.H. Forest Roads: A Synthesis of Scientific Information; General Technical Report PNW-GTR-509; U.S. Dept. of Agriculture, Forest Service: Portland, OR, USA, 2001; p. 103. [Google Scholar]
- Miller, M.E.; Elliot, W.J.; Billmire, M.; Robichaud, P.R.; Endsley, K.A. Rapid-response tools and datasets for post-fire remediation: Linking remote sensing and process-based hydrological models. Int. J. Wildland Fire 2016, 25, 1061–1073. [Google Scholar] [CrossRef]
- Poesen, J. Soil erosion in the Anthropocene: Research needs. Earth Surf. Process. Landf. 2018, 43, 64–84. [Google Scholar] [CrossRef]
- Krasa, J.; Dostal, T.; Jachymova, B.; Bauer, M.; Devaty, J. Soil erosion as a source of sediment and phosphorus in rivers and reservoirs—Watershed analyses using WaTEM/SEDEM. Environ. Res. 2019, 171, 470–483. [Google Scholar] [CrossRef] [PubMed]
- Pant, N.; Dubey, R.K.; Bhatt, A.; Rai, S.P.; Semwal, P.; Mishra, S. Soil erosion and flood hazard zonation using morphometric and morphotectonic parameters in Upper Alaknanda river basin. Nat. Hazards 2020, 103, 3263–3301. [Google Scholar] [CrossRef]
- Zhao, L.S.; Meng, P.; Zhang, J.S.; Zhang, J.X.; Li, J.X.; Wang, X.M. The contribution of human activities to runoff and sediment changes in the Mang River basin of the Loess Plateau, China. Land Degrad. Dev. 2023, 34, 28–41. [Google Scholar] [CrossRef]
- Collins, A.L.; Pulley, S.; Foster, I.D.L.; Gellis, A.; Porto, P.; Horowitz, A.J. Sediment source fingerprinting as an aid to catchment management: A review of the current state of knowledge and a methodological decision-tree for end-users. J. Environ. Manag. 2017, 194, 86–108. [Google Scholar] [CrossRef]
- Walling, D.E.; Owens, P.N.; Leeks, G.J.L. Fingerprinting suspended sediment sources in the catchment of the River Ouse, Yorkshire, UK. Hydrol. Process. 1999, 13, 955–975. [Google Scholar] [CrossRef]
- Gaspar, L.; Blake, W.H.; Smith, H.G.; Lizaga, I.; Navas, A. Testing the sensitivity of a multivariate mixing model using geochemical fingerprints with artificial mixtures. Geoderma 2019, 337, 498–510. [Google Scholar] [CrossRef]
- Pulley, S.; Foster, I.; Antunes, P. The application of sediment fingerprinting to floodplain and lake sediment cores: Assumptions and uncertainties evaluated through case studies in the Nene Basin, UK. J. Soils Sediments 2015, 15, 2132–2154. [Google Scholar] [CrossRef]
- Gellis, A.C.; Sanisaca, L.G. Sediment Fingerprinting to Delineate Sources of Sediment in the Agricultural and Forested Smith Creek Watershed, Virginia, USA. J. Am. Water Resour. Assoc. 2018, 54, 1197–1221. [Google Scholar] [CrossRef]
- Kemper, J.T.; Rathburn, S.L.; Friedman, J.M.; Nelson, J.M.; Mueller, E.R.; Vincent, K.R. Fingerprinting historical tributary contributions to floodplain sediment using bulk geochemistry. Catena 2022, 214, 106231. [Google Scholar] [CrossRef]
- Fatahi, A.; Gholami, H.; Esmaeilpour, Y.; Fathabadi, A. Fingerprinting the spatial sources of fine-grained sediment deposited in the bed of the Mehran River, southern Iran. Sci. Rep. 2022, 12, 3880. [Google Scholar] [CrossRef]
- Nosrati, K.; Haddadchi, A.; Collins, A.L.; Jalali, S.; Zare, M.R. Tracing sediment sources in a mountainous forest catchment under road construction in northern Iran: Comparison of Bayesian and frequentist approaches. Environ. Sci. Pollut. Res. 2018, 25, 30979–30997. [Google Scholar] [CrossRef] [PubMed]
- Cheng, Q.Y.; Wang, S.J.; Peng, T.; Cao, L.; Zhang, X.B.; Buckerfield, S.J.; Zhang, Y.S.; Collins, A.L. Sediment sources, soil loss rates and sediment yields in a Karst plateau catchment in Southwest China. Agric. Ecosyst. Environ. 2020, 304, 107114. [Google Scholar] [CrossRef]
- Huang, D.H.; Pei, M.Z.; Zhou, L.L.; Fan, H.M.; Jia, Y.F. Identification of sediment sources and exploration of scale effects in the black soil region of Northeast China. Catena 2020, 195, 104848. [Google Scholar] [CrossRef]
- Shi, Z.L.; Blake, W.H.; Wen, A.B.; Chen, J.C.; Yan, D.C.; Long, Y. Channel erosion dominates sediment sources in an agricultural catchment in the Upper Yangtze basin of China: Evidence from geochemical fingerprints. Catena 2021, 199, 105111. [Google Scholar] [CrossRef]
- Tian, P.; An, Z.F.; Zhao, G.J.; Gao, P.; Li, P.F.; Sun, W.Y.; Mu, X.M. Assessing sediment yield and sources using fingerprinting method in a representative catchment of the Loess Plateau, China. Environ. Earth Sci. 2019, 78, 261. [Google Scholar] [CrossRef]
- Guo, Q.K.; Shan, Z.J.; Lu, W.; Qin, W.; Yin, Z.; Xu, H.C. Fingerprinting sediment sources in two typical watersheds in the dry-hot valleys of Southwest China: The role of gully and orchard land. Catena 2023, 233, 107479. [Google Scholar] [CrossRef]
- Motha, J.A.; Wallbrink, P.J.; Hairsine, P.B.; Grayson, R.B. Unsealed roads as suspended sediment sources in an agricultural catchment in south-eastern Australia. J. Hydrol. 2004, 286, 1–18. [Google Scholar] [CrossRef]
- Nosrati, K.; Collins, A.L. Investigating the importance of recreational roads as a sediment source in a mountainous catchment using a fingerprinting procedure with different multivariate statistical techniques and a Bayesian un-mixing model. J. Hydrol. 2019, 569, 506–518. [Google Scholar] [CrossRef]
- Nematollahi, S.; Fakheran, S.; Soffianian, A. Ecological impact assessment of road networks at landscape scale using spatial road disturbance index (SPROADI). J. Environ. Eng. Landsc. Manag. 2017, 25, 297–304. [Google Scholar] [CrossRef][Green Version]
- Zhao, Y.; Zhang, F.; Zeng, C.; Shi, X.A.; Kong, J.Y.; Xie, S.Q. Quantifying the sources of suspended sediments in the Nianchu River Basin, southern Tibetan Plateau: Evaluation and application of a semiempirical fingerprinting framework. J. Hydrol. 2024, 630, 130711. [Google Scholar] [CrossRef]
- Huang, Z.; Lin, B.L.; Sun, J.; Nima, L.Z.; Da, P.; Dawa, J.M. Suspended Sediment Transport Responses to Increasing Human Activities in a High-Altitude River: A Case Study in a Typical Sub-Catchment of the Yarlung Tsangpo River. Water 2020, 12, 952. [Google Scholar] [CrossRef]
- Wasson, R.; Acharjee, S.; Rakshit, R. Towards identification of sediment sources, and processes of sediment production, in the Yarlung-Tsangpo-Brahmaputra River catchment for reduction of fluvial sediment loads. Earth-Sci. Rev. 2022, 226, 103932. [Google Scholar] [CrossRef]
- Shi, X.N.; Zhang, F.; Lu, X.X.; Wang, Z.Y.; Gong, T.L.; Wang, G.X.; Zhang, H.B. Spatiotemporal variations of suspended sediment transport in the upstream and midstream of the Yarlung Tsangpo River (the upper Brahmaputra), China. Earth Surf. Process. Landf. 2018, 43, 432–443. [Google Scholar] [CrossRef]
- Li, J.L.; Wang, G.X.; Song, C.L.; Sun, S.Q.; Ma, J.P.; Wang, Y.; Guo, L.M.; Li, D.F. Recent intensified erosion and massive sediment deposition in Tibetan Plateau rivers. Nat. Commun. 2024, 15, 722. [Google Scholar] [CrossRef] [PubMed]
- Chen, S.; Zhu, S.C.; Wen, X.; Shao, H.Y.; He, C.J.; Qi, J.G.; Lv, L.F.; Han, L.B.; Liu, S.H. Mapping Potential Soil Water Erosion and Flood Hazard Zones in the Yarlung Tsangpo River Basin, China. Atmosphere 2023, 14, 49. [Google Scholar] [CrossRef]
- Chen, H.S.; Lan, L.; Nie, Y.P.; Wang, Y.G.; Wang, X.K. Assessment of sediment transport in Luxiapuqu watershed using RUSLE-TLSD and InSAR techniques: Yarlung Tsangpo River, China. Environ. Sci. Pollut. Res. 2024, 31, 8082–8098. [Google Scholar] [CrossRef]
- Teng, H.F.; Liang, Z.Z.; Chen, S.C.; Liu, Y.; Rossel, R.A.V.; Chappell, A.; Yu, W.; Shi, Z. Current and future assessments of soil erosion by water on the Tibetan Plateau based on RUSLE and CMIP5 climate models. Sci. Total Environ. 2018, 635, 673–686. [Google Scholar] [CrossRef] [PubMed]
- Bravo-Linares, C.; Ovando-Fuentealba, L.; Muñoz-Arcos, E.; Kitch, J.L.; Millward, G.E.; López-Gajardo, R.; Cañoles-Zambrano, M.; Del Valle, A.; Kelly, C.; Blake, W.H. Basin scale sources of siltation in a contaminated hydropower reservoir. Sci. Total Environ. 2024, 914, 169952. [Google Scholar] [CrossRef] [PubMed]
- Elliot, W.J. WEPP internet interfaces for forest erosion prediction. J. Am. Water Resour. Assoc. 2004, 40, 299–309. [Google Scholar] [CrossRef]
- Laceby, J.P.; Evrard, O.; Smith, H.G.; Blake, W.H.; Olley, J.M.; Minella, J.P.G.; Owens, P.N. The challenges and opportunities of addressing particle size effects in sediment source fingerprinting: A review. Earth-Sci. Rev. 2017, 169, 85–103. [Google Scholar] [CrossRef]
- Li, X.; Shi, M.M.; Cao, L.X.; Chen, G.; Wang, Y.; Yao, L.F. A composite fingerprinting analysis of sediment sources in a construction-disturbed small watersheds of Southeast Tibet. Sci. Soil Water Conserv. 2023, 21, 113–122. [Google Scholar] [CrossRef]
- Wilkinson, S.N.; Hancock, G.J.; Bartley, R.; Hawdon, A.A.; Keen, R.J. Using sediment tracing to assess processes and spatial patterns of erosion in grazed rangelands, Burdekin River basin, Australia. Agric. Ecosyst. Environ. 2013, 180, 90–102. [Google Scholar] [CrossRef]
- Collins, A.L.; Walling, D.E.; Leeks, G.J.L. Source type ascription for fluvial suspended sediment based on a quantitative composite fingerprinting technique. Catena 1997, 29, 1–27. [Google Scholar] [CrossRef]
- Franz, C.; Makeschin, F.; Weiss, H.; Lorz, C. Sediments in urban river basins: Identification of sediment sources within the Lago Paranoa catchment, Brasilia DF, Brazil—Using the fingerprint approach. Sci. Total Environ. 2014, 466, 513–523. [Google Scholar] [CrossRef]
- Minella, J.P.G.; Walling, D.E.; Merten, G.H. Combining sediment source tracing techniques with traditional monitoring to assess the impact of improved land management on catchment sediment yields. J. Hydrol. 2008, 348, 546–563. [Google Scholar] [CrossRef]
- Walling, D.E. Tracing suspended sediment sources in catchments and river systems. Sci. Total Environ. 2005, 344, 159–184. [Google Scholar] [CrossRef] [PubMed]
- Liaw, A.; Wiener, M. Classification and regression by randomForest. R News 2002, 2, 18–22. [Google Scholar]
- Thomaz, E.L.; Vestena, L.R.; Scharrón, C.E.R. The effects of unpaved roads on suspended sediment concentration at varying spatial scales—A case study from Southern Brazil. Water Environ. J. 2014, 28, 547–555. [Google Scholar] [CrossRef]
- Farias, T.R.L.; Medeiros, P.H.A.; de Araújo, J.C.; Navarro-Hevia, J. The role of unpaved roads in the sediment budget of a semiarid mesoscale catchment. Land Degrad. Dev. 2021, 32, 5443–5454. [Google Scholar] [CrossRef]
- Cao, L.X.; Zhang, K.L.; Dai, H.L.; Liang, Y. Modeling Interrill Erosion on Unpaved Roads in the Loess Plateau of China. Land Degrad. Dev. 2015, 26, 825–832. [Google Scholar] [CrossRef]
- Zhang, Y.; Zhao, Y.Y.; Liu, B.Y.; Wang, Z.Q.; Zhang, S. Rill and gully erosion on unpaved roads under heavy rainfall in agricultural watersheds on China’s Loess Plateau. Agric. Ecosyst. Environ. 2019, 284, 106580. [Google Scholar] [CrossRef]
- Cao, L.X.; Zhang, K.L.; Zhang, W. Detachment of road surface soil by flowing water. Catena 2009, 76, 155–162. [Google Scholar] [CrossRef]
- Negishi, J.N.; Sidle, R.C.; Ziegler, A.D.; Noguchi, S.; Rahim, N.A. Contribution of intercepted subsurface flow to road runoff and sediment transport in a logging-disturbed tropical catchment. Earth Surf. Process. Landf. 2008, 33, 1174–1191. [Google Scholar] [CrossRef]
- Shu, C.B.; Liu, G.; Zhang, Q.; Xu, J.H.; Chen, H.; Dan, C.X.; Wang, X.K.; Shen, Y.L.; Liu, Y.; Guo, Z.; et al. Fingerprinting sediment sources in mountainous catchments disturbed by plantation and construction activities in southern China. Land Degrad. Dev. 2024, 35, 3287–3301. [Google Scholar] [CrossRef]
- Zhao, Q.H.; Jing, Y.R.; Wang, A.; Yu, Z.H.; Liu, Y.; Yu, J.H.; Liu, G.S.; Ding, S.Y. Response of Sediment Connectivity to Altered Convergence Processes Induced by Forest Roads in Mountainous Watershed. Remote Sens. 2022, 14, 3603. [Google Scholar] [CrossRef]
- Ramos-Scharrón, C.E.; Alicea-Díaz, E.E.; Figueroa-Sánchez, Y.A.; Viqueira-Ríos, R. Road cutslope erosion and control treatments in an actively-cultivated tropical montane setting. Catena 2022, 209, 105814. [Google Scholar] [CrossRef]
- Robichaud, P.R.; Storrar, K.A.; Wagenbrenner, J.W. Effectiveness of straw bale check dams at reducing post-fire sediment yields from steep ephemeral channels. Sci. Total Environ. 2019, 676, 721–731. [Google Scholar] [CrossRef] [PubMed]
- Cao, L.X.; Zhang, K.L.; Liang, Y. Factors affecting rill erosion of unpaved loess roads in China. Earth Surf. Process. Landf. 2014, 39, 1812–1821. [Google Scholar] [CrossRef]
- Cao, L.X.; Wang, Y.; Liu, C. Study of unpaved road surface erosion based on terrestrial laser scanning. Catena 2021, 199, 105091. [Google Scholar] [CrossRef]
- Luce, C.H.; Black, T.A. Sediment production from forest roads in western Oregon. Water Resour. Res. 1999, 35, 2561–2570. [Google Scholar] [CrossRef]
- MacDonald, L.H.; Sampson, R.W.; Anderson, D.M. Runoff and road erosion at the plot and road segment scales, St John, US Virgin Islands. Earth Surf. Process. Landf. 2001, 26, 251–272. [Google Scholar] [CrossRef]
- Sosa-Pérez, G.; MacDonald, L. Wildfire effects on road surface erosion, deposition, and road-stream connectivity. Earth Surf. Process. Landf. 2017, 42, 735–748. [Google Scholar] [CrossRef]
- Parsakhoo, A.; Lotfalian, M.; Kavian, A.; Hosseini, S.A. Prediction of the soil erosion in a forest and sediment yield from road network through GIS and SEDMODL. Int. J. Sediment Res. 2014, 29, 118–125. [Google Scholar] [CrossRef]
- Benda, L.; James, C.; Miller, D.; Andras, K. Road Erosion and Delivery Index (READI): A Model for Evaluating Unpaved Road Erosion and Stream Sediment Delivery. J. Am. Water Resour. Assoc. 2019, 55, 459–484. [Google Scholar] [CrossRef]
- Dangle, C.L.; Bolding, M.C.; Aust, W.M.; Barrett, S.M.; Schilling, E.B. Best Management Practices Influence Modeled Erosion Rates at Forest Haul Road Stream Crossings in Virginia. J. Am. Water Resour. Assoc. 2019, 55, 1169–1182. [Google Scholar] [CrossRef]
- Ramos-Scharrón, C.E. Impacts of off-road vehicle tracks on runoff, erosion and sediment delivery—A combined field and modeling approach. Environ. Modell. Softw. 2021, 136, 104957. [Google Scholar] [CrossRef]
- Elliot, W.J.; Hall, D.E.; Scheele, D.L. WEPP Interface for Predicting Forest Road Runoff, Erosion and Sediment Delivery; Technical Documentation; U.S.D.A. Forest Service Rocky Mountain Research Station: Moscow, ID, USA; Available online: http://forest.moscowfsl.wsu.edu/fswepp/docs/wepproaddoc.html (accessed on 2 May 2024).







| Abbreviation | Name | Calculation Method |
|---|---|---|
| CL | Channel length | Horizontal channel length between two adjacent sampling sites |
| RL | Road length | Horizontal road segment length between two adjacent sampling sites in the channel |
| R/C | Ratio of the road length to the channel length | Road segment length divided by the channel length at a point above the same sampling site |
| CS | Channel gradient | Elevation difference between two adjacent channel sites divided by the channel length |
| RS | Average road segment gradient | Elevation difference between the high point and low point divided by the road segment length |
| CRD | Average distance from the river to the road | Average Euclidean distance between the road and channel within the area between two adjacent sampling sites |
| CRS | Average slope between the river and the road | Average hillslope gradient between the road and channel within the area between two adjacent sampling sites |
| FL | Flow length | Flow length between one sampling site and the nearest road culvert |
| FLS | Slope gradient along the flow length | Elevation difference divided by the flow length |
| Potential Identifiers | H-Value | p Value | Potential Identifiers | H-Value | p Value |
|---|---|---|---|---|---|
| SiO2 | 28.73 | 0.000 | Sn | 27.48 | 0.000 |
| K2O | 21.32 | 0.000 | Sr | 39.26 | 0.000 |
| Na2O | 42.29 | 0.000 | Cr | 37.87 | 0.000 |
| CaO | 18.61 | 0.000 | Co | 36.23 | 0.000 |
| MgO | 29.31 | 0.000 | Ni | 28.69 | 0.000 |
| Al2O3 | 51.94 | 0.000 | Cu | 17.21 | 0.001 |
| TFe2O3 | 46.87 | 0.000 | W | 21.95 | 0.000 |
| Mn | 16.23 | 0.001 | TP | 16.17 | 0.001 |
| Step | Fingerprint Property Selected | Wilks’ Lambda | Source Types Classified Correctly |
|---|---|---|---|
| 1 | Al2O3 | 0.288 | 55.83 |
| 2 | TFe2O3 | 0.158 | 73.14 |
| 3 | Sn | 0.094 | 79.74 |
| 4 | TP | 0.073 | 81.83 |
| 5 | Cr | 0.058 | 81.83 |
| 6 | Na2O | 0.047 | 82.91 |
| 7 | Mn | 0.040 | 83.08 |
| 8 | W | 0.035 | 85.16 |
| 9 | SiO2 | 0.031 | 86.60 |
| 10 | Sr | 0.027 | 92.66 |
| Sediment Site | Relative Rates of Sediment Contributed by Different Sources/% | Res | GOF | |||
|---|---|---|---|---|---|---|
| Forest | Grass | Road | Bank | |||
| S1 | 3.73% | 10.01% | 84.15% | 2.11% | 0.376 | 0.962 |
| S2 | 2.64% | 13.53% | 1.21% | 82.62% | 0.580 | 0.942 |
| S3 | 2.13% | 8.05% | 73.93% | 15.88% | 0.350 | 0.965 |
| S4 | 3.88% | 5.65% | 2.18% | 88.29% | 0.437 | 0.956 |
| S5 | 1.71% | 7.12% | 42.03% | 49.14% | 0.398 | 0.960 |
| S6 | 2.35% | 1.34% | 33.29% | 63.02% | 0.456 | 0.954 |
| S7 | 2.62% | 1.61% | 20.56% | 75.21% | 0.545 | 0.945 |
| S8 | 1.07% | 28.52% | 4.33% | 66.08% | 0.468 | 0.953 |
| S9 | 3.64% | 2.90% | 22.42% | 71.03% | 0.441 | 0.956 |
| S10 | 5.42% | 16.32% | 38.11% | 40.16% | 0.329 | 0.967 |
| S11 | 1.65% | 29.22% | 1.42% | 67.71% | 0.392 | 0.961 |
| S12 | 39.32% | 1.12% | 38.37% | 21.19% | 0.220 | 0.978 |
| S13 | 1.82% | 2.43% | 73.40% | 22.35% | 0.297 | 0.970 |
| S14 | 21.32% | 2.68% | 3.90% | 72.10% | 0.405 | 0.959 |
| S15 | 3.18% | 1.12% | 52.56% | 43.14% | 0.122 | 0.988 |
| S16 | 2.18% | 1.03% | 36.41% | 60.38% | 0.161 | 0.984 |
| AVE | 6.17% | 8.29% | 33.02% | 52.52% | 0.374 | 0.963 |
Disclaimer/Publisher’s Note: The statements, opinions and data contained in all publications are solely those of the individual author(s) and contributor(s) and not of MDPI and/or the editor(s). MDPI and/or the editor(s) disclaim responsibility for any injury to people or property resulting from any ideas, methods, instructions or products referred to in the content. |
© 2024 by the authors. Licensee MDPI, Basel, Switzerland. This article is an open access article distributed under the terms and conditions of the Creative Commons Attribution (CC BY) license (https://creativecommons.org/licenses/by/4.0/).
Share and Cite
Li, X.; Zhu, B.; Cao, L.; Li, R.; Bai, C.; Wang, X. Composite Fingerprint Analysis of Sediment Sources in a Watershed Disturbed by Road Construction in Southeastern Tibet. Land 2024, 13, 929. https://doi.org/10.3390/land13070929
Li X, Zhu B, Cao L, Li R, Bai C, Wang X. Composite Fingerprint Analysis of Sediment Sources in a Watershed Disturbed by Road Construction in Southeastern Tibet. Land. 2024; 13(7):929. https://doi.org/10.3390/land13070929
Chicago/Turabian StyleLi, Xin, Baicheng Zhu, Longxi Cao, Rui Li, Chunlian Bai, and Xinjun Wang. 2024. "Composite Fingerprint Analysis of Sediment Sources in a Watershed Disturbed by Road Construction in Southeastern Tibet" Land 13, no. 7: 929. https://doi.org/10.3390/land13070929
APA StyleLi, X., Zhu, B., Cao, L., Li, R., Bai, C., & Wang, X. (2024). Composite Fingerprint Analysis of Sediment Sources in a Watershed Disturbed by Road Construction in Southeastern Tibet. Land, 13(7), 929. https://doi.org/10.3390/land13070929
