Spatial Effects of Economic Modernization on Carbon Balance in China
Abstract
1. Introduction
2. Materials and Methods
2.1. Framework for Analysis
2.2. Data Sources
2.3. Construction of the Indicator System for the Three Modernizations
2.4. Carbon Balance Ratio (CBR)
2.5. Control Variables
- (1)
- Level of economic development (GDPPC). This is gauged by the per capita GDP of each province and city.
- (2)
- Level of innovation. This is assessed by the count of effective invention patents in each province and city.
- (3)
- Openness. This is evaluated by the total foreign investment in each province and city.
- (4)
- Infrastructure. This is measured by the density of highways in each province and city.
2.6. Spatial Autocorrelation Test
2.7. Spatial Durbin Model (SDM)
3. Results
3.1. Spatial and Temporal Variations in CBR
3.2. Spatial Distribution of Agricultural Modernization, Industrialization, and Urbanization
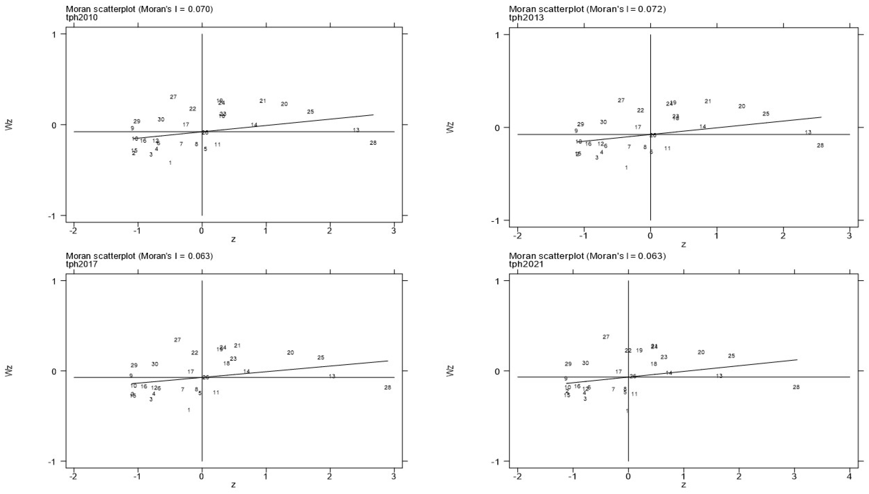
3.3. Spatial Autocorrelation Test
3.4. Spatial Spillover Effects of the CBR
3.5. SDM Model Regression Results
3.6. Robustness Testing
3.6.1. One-Period Lagged Explanatory Variables
3.6.2. Exclusion of Some Samples
3.7. Heterogeneity Analysis
4. Discussion
4.1. Spatial Spillover Effects of Three Modernizations on the Carbon Balance in China
4.2. Divergence of Spatial Spillover Effects of Infrastructure Development and Innovation Levels on the Carbon Balance
4.3. Regional Heterogeneity in the Spatial Effects of Agricultural Modernization and Industrialization on the Carbon Balance
4.4. Policy Recommendations
5. Conclusions
Author Contributions
Funding
Data Availability Statement
Conflicts of Interest
References
- Hou, J.; Wan, M.; Song, M. Carbon emission inequality and fairness from energy consumption by prefecture-level cities in China. Ecol. Indic. 2024, 158, 111364. [Google Scholar] [CrossRef]
- Li, K.; Luo, Z.; Hong, L.; Wen, J.; Fang, L. The role of China’s carbon emission trading system in economic decarbonization: Evidence from Chinese prefecture-level cities. Heliyon 2024, 10, e23799. [Google Scholar] [CrossRef]
- Feng, X.; Zhao, Y.; Yan, R. Does carbon emission trading policy has emission reduction effect?—An empirical study based on quasi-natural experiment method. J. Environ. Manag. 2024, 351, 119791. [Google Scholar] [CrossRef]
- Wang, G.; Hu, Q.; He, L.; Guo, J.; Huang, J.; Zhong, L. The estimation of building carbon emission using nighttime light images: A comparative study at various spatial scales. Sustain. Cities Soc. 2024, 101, 105066. [Google Scholar] [CrossRef]
- Chen, Y.; Xie, Y.; Dang, X.; Huang, B.; Wu, C.; Jiao, D. Spatiotemporal prediction of carbon emissions using a hybrid deep learning model considering temporal and spatial correlations. Environ. Model. Softw. 2023, 172, 105937. [Google Scholar] [CrossRef]
- Gershon, O.; Asafo, J.K.; Nyarko-Asomani, A.; Koranteng, E.F. Investigating the nexus of energy consumption, economic growth and carbon emissions in selected african countries. Energy Strategy Rev. 2024, 51, 101269. [Google Scholar] [CrossRef]
- Brundtland, G.H. Our Common Future: The World Commission on Environment and Development; Oxford University Press: Oxford, UK, 1987. [Google Scholar]
- Wen, Y.; Zhang, S. Assessing the impact of resource efficiency on sustainable development: Policies to cope with resource scarcity in Chinese provinces. Resour. Policy 2024, 90, 104754. [Google Scholar] [CrossRef]
- Du, P.; Gong, X.; Han, B.; Zhao, X. Carbon-neutral potential analysis of urban power grid: A multi-stage decision model based on RF-DEMATEL and RF-MARCOS. Expert. Syst. Appl. 2023, 234, 121026. [Google Scholar] [CrossRef]
- Tian, Y.; Jiang, G.; Zhou, D.; Li, G. Systematically addressing the heterogeneity in the response of ecosystem services to agricultural modernization, industrialization and urbanization in the Qinghai-Tibetan Plateau from 2000 to 2018. J. Clean. Prod. 2021, 285, 125323. [Google Scholar] [CrossRef]
- Wojewodzki, M.; Wei, Y.; Cheong, T.S.; Shi, X. Urbanisation, agriculture and convergence of carbon emissions nexus: Global distribution dynamics analysis. J. Clean. Prod. 2023, 385, 135697. [Google Scholar] [CrossRef]
- Zhang, X.; Wang, X.; Tang, C.; Lv, T.; Peng, S.; Wang, Z.; Meng, B. China’s cross-regional carbon emission spillover effects of urbanization and industrial shifting. J. Clean. Prod. 2024, 439, 140854. [Google Scholar] [CrossRef]
- Wang, P.; Wu, W.; Zhu, B.; Wei, Y. Examining the impact factors of energy-related CO2 emissions using the STIRPAT model in Guangdong Province, China. Appl. Energy 2013, 106, 65–71. [Google Scholar] [CrossRef]
- Li, H.; Mu, H.; Zhang, M.; Li, N. Analysis on influence factors of China’s CO2 emissions based on Path–STIRPAT model. Energy Policy 2011, 39, 6906–6911. [Google Scholar] [CrossRef]
- Wang, Z.; Shi, C.; Li, Q.; Wang, G. Impact of Heavy Industrialization on the Carbon Emissions: An Empirical Study of China. Energy Procedia 2011, 5, 2610–2616. [Google Scholar] [CrossRef]
- Xiao, Y.; Huang, H.; Qian, X.-M.; Zhang, L.-Y.; An, B.-W. Can new-type urbanization reduce urban building carbon emissions? New evidence from China. Sustain. Cities Soc. 2023, 90, 104410. [Google Scholar] [CrossRef]
- Xu, A.; Song, M.; Wu, Y.; Luo, Y.; Zhu, Y.; Qiu, K. Effects of new urbanization on China’s carbon emissions: A quasi-natural experiment based on the improved PSM-DID model. Technol. Forecast. Soc. Chang. 2024, 200, 123164. [Google Scholar] [CrossRef]
- Andal, E.G.T. Industrialisation, state-related institutions, and the speed of energy substitution: The case in Europe. Energy 2022, 239, 122274. [Google Scholar] [CrossRef]
- Zhao, L.; Rao, X.; Lin, Q. Study of the impact of digitization on the carbon emission intensity of agricultural production in China. Sci. Total Environ. 2023, 903, 166544. [Google Scholar] [CrossRef]
- He, Z.; Xu, S.; Shen, W.; Long, R.; Chen, H. Impact of urbanization on energy related CO2 emission at different development levels: Regional difference in China based on panel estimation. J. Clean. Prod. 2017, 140, 1719–1730. [Google Scholar] [CrossRef]
- Martínez-Zarzoso, I.; Maruotti, A. The impact of urbanization on CO2 emissions: Evidence from developing countries. Ecol. Econ. 2011, 70, 1344–1353. [Google Scholar] [CrossRef]
- Wang, Y.; Zhang, X.; Kubota, J.; Zhu, X.; Lu, G. A semi-parametric panel data analysis on the urbanization-carbon emissions nexus for OECD countries. Renew. Sustain. Energy Rev. 2015, 48, 704–709. [Google Scholar] [CrossRef]
- Zhang, Y.; Meng, W.; Yun, H.; Xu, W.; Hu, B.; He, M.; Mo, X.; Zhang, L. Is urban green space a carbon sink or source?—A case study of China based on LCA method. Environ. Impact Assess. Rev. 2022, 94, 106766. [Google Scholar] [CrossRef]
- Sejati, A.W.; Buchori, I.; Kurniawati, S.; Brana, Y.C.; Fariha, T.I. Quantifying the impact of industrialization on blue carbon storage in the coastal area of Metropolitan Semarang, Indonesia. Appl. Geogr. 2020, 124, 102319. [Google Scholar] [CrossRef]
- Sun, Y.; Xie, S.; Zhao, S. Valuing urban green spaces in mitigating climate change: A city-wide estimate of aboveground carbon stored in urban green spaces of China’s Capital. Glob. Chang. Biol. 2019, 25, 1717–1732. [Google Scholar] [CrossRef]
- Guo, Y.; Ren, Z.; Wang, C.; Zhang, P.; Ma, Z.; Hong, S.; Hong, W.; He, X. Spatiotemporal patterns of urban forest carbon sequestration capacity: Implications for urban CO2 emission mitigation during China’s rapid urbanization. Sci. Total Environ. 2024, 912, 168781. [Google Scholar] [CrossRef]
- Wei, Z.; Wei, K.; Liu, J.; Zhou, Y. The relationship between agricultural and animal husbandry economic development and carbon emissions in Henan Province, the analysis of factors affecting carbon emissions, and carbon emissions prediction. Mar. Pollut. Bull. 2023, 193, 115134. [Google Scholar] [CrossRef]
- Wang, R.; Zhang, Y.; Zou, C. How does agricultural specialization affect carbon emissions in China? J. Clean. Prod. 2022, 370, 133463. [Google Scholar] [CrossRef]
- Chen, W.; Wang, G.; Yang, L.; Huang, C.; Xu, N.; Gu, T.; Zeng, J. Spillover effects of urbanization on carbon emissions: A global view from 2000 to 2019. Environ. Impact Assess. Rev. 2023, 102, 107182. [Google Scholar] [CrossRef]
- Ma, L.; Xiang, L.; Wang, C.; Chen, N.; Wang, W. Spatiotemporal evolution of urban carbon balance and its response to new-type urbanization: A case of the middle reaches of the Yangtze River Urban Agglomerations, China. J. Clean. Prod. 2022, 380, 135122. [Google Scholar] [CrossRef]
- Zhang, Y.; Ge, M.; Zhang, Q.; Xue, S.; Wei, F.; Sun, H. What did irrigation modernization in China bring to the evolution of water-energy-greenhouse gas emissions? Agric. Water Manag. 2023, 282, 108283. [Google Scholar] [CrossRef]
- Ding, Y.; Li, F. Examining the effects of urbanization and industrialization on carbon dioxide emission: Evidence from China’s provincial regions. Energy 2017, 125, 533–542. [Google Scholar] [CrossRef]
- Libório, M.P.; de Abreu, J.F.; Ekel, P.I.; Machado, A.M.C. Effect of sub-indicator weighting schemes on the spatial dependence of multidimensional phenomena. J. Geogr. Syst. 2023, 25, 185–211. [Google Scholar] [CrossRef]
- Ma, M.; Tang, J. Interactive coercive relationship and spatio-temporal coupling coordination degree between tourism urbanization and eco-environment: A case study in Western China. Ecol. Indic. 2022, 142, 109149. [Google Scholar] [CrossRef]
- Li, M.; Li, C.; Zhang, M. Exploring the spatial spillover effects of industrialization and urbanization factors on pollutants emissions in China’s Huang-Huai-Hai region. J. Clean. Prod. 2018, 195, 154–162. [Google Scholar] [CrossRef]
- Meng, G.; Guo, Z.; Li, J. The dynamic linkage among urbanisation, industrialisation and carbon emissions in China: Insights from spatiotemporal effect. Sci. Total Environ. 2021, 760, 144042. [Google Scholar] [CrossRef]
- Raihan, A.; Muhtasim, D.A.; Farhana, S.; Pavel, M.I.; Faruk, O.; Rahman, M.; Mahmood, A. Nexus between carbon emissions, economic growth, renewable energy use, urbanization, industrialization, technological innovation, and forest area towards achieving environmental sustainability in Bangladesh. Energy Clim. Chang. 2022, 3, 100080. [Google Scholar] [CrossRef]
- Raihan, A.; Pavel, M.I.; Muhtasim, D.A.; Farhana, S.; Faruk, O.; Paul, A. The role of renewable energy use, technological innovation, and forest cover toward green development: Evidence from Indonesia. Innov. Green. Dev. 2023, 2, 100035. [Google Scholar] [CrossRef]
- Wu, Y.; Zong, T.; Shuai, C.; Jiao, L. How does new-type urbanization affect total carbon emissions, per capita carbon emissions, and carbon emission intensity? An empirical analysis of the Yangtze River economic belt, China. J. Environ. Manag. 2024, 349, 119441. [Google Scholar] [CrossRef]
- Tobler, W.R. A Computer Movie Simulating Urban Growth in the Detroit Region. Econ. Geogr. 1970, 46, 234. [Google Scholar] [CrossRef]
- Wei, G.; Bi, M.; Liu, X.; Zhang, Z.; He, B.-J. Investigating the impact of multi-dimensional urbanization and FDI on carbon emissions in the belt and road initiative region: Direct and spillover effects. J. Clean. Prod. 2023, 384, 135608. [Google Scholar] [CrossRef]
- Rong, J.; Hong, J.; Guo, Q.; Fang, Z.; Chen, S. Path mechanism and spatial spillover effect of green technology innovation on agricultural CO2 emission intensity: A case study in Jiangsu Province, China. Ecol. Indic. 2023, 157, 111147. [Google Scholar] [CrossRef]
- Zhang, M.; Tan, S.; Pan, Z.; Hao, D.; Zhang, X.; Chen, Z. The spatial spillover effect and nonlinear relationship analysis between land resource misallocation and environmental pollution: Evidence from China. J. Environ. Manag. 2022, 321, 115873. [Google Scholar] [CrossRef] [PubMed]
- Shi, Z.; Ma, L.; Wang, X.; Wu, S.; Bai, J.; Li, Z.; Zhang, Y. Efficiency of agricultural modernization in China: Systematic analysis in the new framework of multidimensional security. J. Clean. Prod. 2023, 432, 139611. [Google Scholar] [CrossRef]
- Forero, D.; Tena-Junguito, A. Industrialization as an engine of growth in Latin America throughout a century 1913–2013. Struct. Chang. Econ. Dyn. 2024, 68, 98–115. [Google Scholar] [CrossRef]
- Han, X.; Cao, T.; Sun, T. Analysis on the variation rule and influencing factors of energy consumption carbon emission intensity in China’s urbanization construction. J. Clean. Prod. 2019, 238, 117958. [Google Scholar] [CrossRef]
- Qiao, W.; Hu, B.; Kattel, G.R.; Liu, J. Impact of urbanization on net carbon sink efficiency in economically developed area: A case study of the Yangtze River Delta urban agglomeration, China. Ecol. Indic. 2023, 157, 111211. [Google Scholar] [CrossRef]
- Sui, Y.; Hu, J.; Zhang, N.; Ma, F. Exploring the dynamic equilibrium relationship between urbanization and ecological environment—A case study of Shandong Province, China. Ecol. Indic. 2024, 158, 111456. [Google Scholar] [CrossRef]
- Liang, J.; Pan, S.; Xia, N.; Chen, W.; Li, M. Threshold response of the agricultural modernization to the open crop straw burning CO2 emission in China’s nine major agricultural zones. Agric. Ecosyst. Environ. 2024, 368, 109005. [Google Scholar] [CrossRef]
- Rahman, M.M.; Khan, Z.; Khan, S.; Tariq, M. How is energy intensity affected by industrialisation, trade openness and financial development? A dynamic analysis for the panel of newly industrialized countries. Energy Strategy Rev. 2023, 49, 101182. [Google Scholar] [CrossRef]
- Saba, C.S.; Djemo, C.R.T.; Eita, J.H.; Ngepah, N. Towards environmental sustainability path in Africa: The critical role of ICT, renewable energy sources, agriculturalization, industrialization and institutional quality. Energy Rep. 2023, 10, 4025–4050. [Google Scholar] [CrossRef]
- Yang, L.; Chen, W.; Fang, C.; Zeng, J. How does the coordinated development of population urbanization and land urbanization affect residents’ living standards? Empirical evidence from China. Cities 2024, 149, 104922. [Google Scholar] [CrossRef]
- Pan, Y.; Teng, T.; Wang, S.; Wang, T. Impact and mechanism of urbanization on urban green development in the Yangtze River Economic Belt. Ecol. Indic. 2024, 158, 111612. [Google Scholar] [CrossRef]
- Li, S.; Li, R.; Liu, Y.; Deng, W.; Liu, C.; Wei, G. Impact of urbanization on carbon balance in the Poyang Lake region. Dili Yanjiu 2023, 42, 2245–2263. [Google Scholar] [CrossRef]
- Pu, X.; Cheng, Q.; Chen, H. Spatial–temporal dynamics of land use carbon emissions and drivers in 20 urban agglomerations in China from 1990 to 2019. Environ. Sci. Pollut. Res. 2023, 30, 107854–107877. [Google Scholar] [CrossRef] [PubMed]
- Gui, D.; He, H.; Liu, C.; Han, S. Spatio-temporal dynamic evolution of carbon emissions from land use change in Guangdong Province, China, 2000–2020. Ecol. Indic. 2023, 156, 111131. [Google Scholar] [CrossRef]
- Xiong, S.; Yang, F.; Li, J.; Xu, Z.; Ou, J. Temporal-spatial variation and regulatory mechanism of carbon budgets in territorial space through the lens of carbon balance: A case of the middle reaches of the Yangtze River urban agglomerations, China. Ecol. Indic. 2023, 154, 110885. [Google Scholar] [CrossRef]
- Liu, Y.; Liu, W.; Qiu, P.; Zhou, J.; Pang, L. Spatiotemporal Evolution and Correlation Analysis of Carbon Emissions in the Nine Provinces along the Yellow River since the 21st Century Using Nighttime Light Data. Land 2023, 12, 1469. [Google Scholar] [CrossRef]
- Zhao, X.; Zeng, S.; Ke, X.; Jiang, S. The impact of green credit on energy efficiency from a green innovation perspective: Empirical evidence from China based on a spatial Durbin model. Energy Strategy Rev. 2023, 50, 101211. [Google Scholar] [CrossRef]
- Guo, Q.; Dong, Y.; Feng, B.; Zhang, H. Can green finance development promote total-factor energy efficiency? Empirical evidence from China based on a spatial Durbin model. Energy Policy 2023, 177, 113523. [Google Scholar] [CrossRef]
- Ouyang, X.; Wei, X.; Wei, G.; Wang, K. The expansion efficiency of urban land in China’s urban agglomerations and its impact on ecosystem services. Habitat. Int. 2023, 141, 102944. [Google Scholar] [CrossRef]
- Zhao, M.; Lv, L.; Wu, J.; Wang, S.; Zhang, N.; Bai, Z.; Luo, H. Total factor productivity of high coal-consuming industries and provincial coal consumption: Based on the dynamic spatial Durbin model. Energy 2022, 251, 123917. [Google Scholar] [CrossRef]
- Wang, Z.; Rasool, Y.; Zhang, B.; Ahmed, Z.; Wang, B. Dynamic linkage among industrialisation, urbanisation, and CO2 emissions in APEC realms: Evidence based on DSUR estimation. Struct. Chang. Econ. Dyn. 2020, 52, 382–389. [Google Scholar] [CrossRef]
- Cheng, Z.; Li, L.; Liu, J. Industrial structure, technical progress and carbon intensity in China’s provinces. Renew. Sustain. Energy Rev. 2018, 81, 2935–2946. [Google Scholar] [CrossRef]
- Liu, Y.; Gao, C.; Lu, Y. The impact of urbanization on GHG emissions in China: The role of population density. J. Clean. Prod. 2017, 157, 299–309. [Google Scholar] [CrossRef]
- Li, Z.; Chen, X.; Ye, Y.; Wang, F.; Liao, K.; Wang, C. The impact of digital economy on industrial carbon emission efficiency at the city level in China: Gravity movement trajectories and driving mechanisms. Environ. Technol. Innov. 2024, 33, 103511. [Google Scholar] [CrossRef]
- Ma, M.; Tang, J. Nonlinear impact and spatial effect of tourism urbanization on human settlement environment: Evidence from the Yellow River Basin, China. J. Clean. Prod. 2023, 428, 139432. [Google Scholar] [CrossRef]
- Bai, C.; Chen, Z.; Wang, D. Transportation carbon emission reduction potential and mitigation strategy in China. Sci. Total Environ. 2023, 873, 162074. [Google Scholar] [CrossRef] [PubMed]
- Wang, J.; Guo, D. Siphon and radiation effects of ICT agglomeration on green total factor productivity: Evidence from a spatial Durbin model. Energy Econ. 2023, 126, 106953. [Google Scholar] [CrossRef]
- Yang, J.; Ma, R.; Yang, L. Spatio-temporal evolution and its policy influencing factors of agricultural land-use efficiency under carbon emission constraint in mainland China. Heliyon 2024, 10, e25816. [Google Scholar] [CrossRef]
- Liu, K.; Dong, S.; Han, M. Exploring the impact of green innovation on carbon emission intensity in Chinese metropolitan areas. Ecol. Indic. 2023, 156, 111115. [Google Scholar] [CrossRef]
- Chen, H.; Yi, J.; Chen, A.; Peng, D.; Yang, J. Green technology innovation and CO2 emission in China: Evidence from a spatial-temporal analysis and a nonlinear spatial durbin model. Energy Policy 2023, 172, 113338. [Google Scholar] [CrossRef]
- Wang, Z.; Sun, Y.; Wang, B. How does the new-type urbanisation affect CO2 emissions in China? An empirical analysis from the perspective of technological progress. Energy Econ. 2019, 80, 917–927. [Google Scholar] [CrossRef]
- Lee, C.T.; Lim, J.S.; Van Fan, Y.; Liu, X.; Fujiwara, T.; Klemeš, J.J. Enabling low-carbon emissions for sustainable development in Asia and beyond. J. Clean. Prod. 2018, 176, 726–735. [Google Scholar] [CrossRef]
- Sun, G.; Liu, Y.; Li, B.; Guo, L. Road to sustainable development of China: The pursuit of coordinated development between carbon emissions and the green economy. J. Clean. Prod. 2024, 434, 139833. [Google Scholar] [CrossRef]




| Types | Indicators | Description | Attributes |
|---|---|---|---|
| Agricultural Modernization Index (AMI) | Per capita disposable income of rural residents (CNY/person) [44] | + | |
| Engel’s coefficient of rural residents (%) [49] | Rural residents’ food expenditures as a percentage of consumption expenditures | − | |
| Degree of agricultural mechanization (kW/ha) [49] | Total power of agricultural machinery divided by area of cultivated land | + | |
| Grain yield (t/ha) [44] | Grain production divided by area sown to grain | + | |
| Industrialization Index (II) | Number of industrial enterprises above scale (number) [10] | + | |
| Industrial profit (million CNY) [50] | + | ||
| R&D Expenditure (%) [10] | R&D expenditure as a percentage of regional GDP | + | |
| Industrialization rate (%) [51] | Value added of industry as a percentage of GDP | + | |
| Urbanization Index (UI) | Share of urban population (%) [10] | Urban population as a percentage of total regional population | |
| Per capita disposable income of urban residents (CNY/person) [52] | + | ||
| Engel’s coefficient of urban residents (%) [52] | Urban residents’ food expenditure as a percentage of consumption expenditure | - | |
| Employment urbanization rate (%) [53] | Urban employment as a percentage of total employment | + |
| Land Types | Forestland | Grassland | Water | Unused Land | Wetland |
|---|---|---|---|---|---|
| Carbon absorption coefficient | 0.0578 | 0.0021 | 0.0252 | 0.0005 | 0.00006132 |
| Unit | kg/(m2·a) | kg/(m2·a) | kg/(m2·a) | kg/(m2·a) | kg/(m2·a) |
| Year | Carbon Sink (108 t) | Carbon Emission (108 t) | CBR |
|---|---|---|---|
| 2010 | 1.4952 | 1.0971 | 1.3628 |
| 2011 | 1.4974 | 1.0775 | 1.3898 |
| 2012 | 1.4971 | 1.1378 | 1.3158 |
| 2013 | 1.4935 | 1.1379 | 1.3125 |
| 2014 | 1.4913 | 1.1436 | 1.3040 |
| 2015 | 1.4918 | 1.1431 | 1.3050 |
| 2016 | 1.4937 | 1.1441 | 1.3055 |
| 2017 | 1.4967 | 1.1498 | 1.3017 |
| 2018 | 1.4978 | 1.1599 | 1.2914 |
| 2019 | 1.5009 | 1.1716 | 1.2811 |
| 2020 | 1.5002 | 1.1739 | 1.2780 |
| 2021 | 1.5015 | 1.1884 | 1.2635 |
| Year | I | z | p-Value | Year | I | z | p-Value |
|---|---|---|---|---|---|---|---|
| 2010 | 0.084 | 3.184 | 0.001 | 2016 | 0.080 | 3.096 | 0.001 |
| 2011 | 0.085 | 3.221 | 0.001 | 2017 | 0.076 | 2.996 | 0.001 |
| 2012 | 0.087 | 3.264 | 0.001 | 2018 | 0.073 | 2.929 | 0.002 |
| 2013 | 0.085 | 3.216 | 0.001 | 2019 | 0.075 | 2.980 | 0.001 |
| 2014 | 0.084 | 3.186 | 0.001 | 2020 | 0.068 | 2.818 | 0.002 |
| 2015 | 0.080 | 3.086 | 0.001 | 2021 | 0.076 | 2.991 | 0.001 |
| Test | Statistic | |
|---|---|---|
| Spatial error: | ||
| LM | Lagrange multiplier | 693.614 *** |
| Robust Lagrange multiplier | 221.39 *** | |
| Spatial lag: | ||
| Lagrange multiplier | 489.310 *** | |
| Robust Lagrange multiplier | 17.090 *** | |
| Hausman | 17.64 ** | |
| LR | Lagrange multiplier | 101.48 *** |
| Robust Lagrange multiplier | 93.88 *** | |
| Wald | Lagrange multiplier | 19.01 *** |
| Robust Lagrange multiplier | 19.17 *** |
| CBR | Direct | Indirect | Total |
|---|---|---|---|
| AMI | −1.284 *** (−3.30) | −3.401 *** (−2.680) | −4.686 *** (−3.990) |
| II | −2.529 *** (−4.480) | 6.217 ** (2.190) | 3.688 (1.250) |
| UI | −0.576 *** (−4.190) | −9.304 *** (−4.860) | −9.880 *** (−5.170) |
| GDPPC | 0.148 (0.460) | 5.756 *** (3.580) | 5.903 *** (3.680) |
| Openness | −0.148 *** (−3.550) | 0.891 *** (3.510) | 0.742 *** (3.510) |
| Infrastructure | −0.470 *** (−2.930) | 2.807 *** (4.130) | 2.337 *** (3.470) |
| Innovation | 2.520 *** (4.770) | −9.943 *** (−3.530) | −7.422 ** (−2.530) |
| Spatial rho | −0.833 *** (−3.300) | ||
| sigma2_e | 0.144 *** (13.170) |
| CBR | Direct | Indirect | Total |
|---|---|---|---|
| L1_AMI | −0.601 * (−1.800) | −3.534 *** (−3.950) | −4.135 *** (−5.340) |
| L1_II | −1.583 *** (−3.440) | 3.872 ** (2.200) | 2.289 (1.260) |
| L1_UI | −0.877 * (−1.760) | −9.523 *** (−5.550) | −10.401 *** (−6.140) |
| GDPPC | 0.370 (1.090) | 5.979 *** (4.380) | 6.349 *** (4.670) |
| Openness | −0.153 *** (−3.610) | 0.839 *** (4.400) | 0.686 *** (3.870) |
| Infrastructure | −0.389 ** (−2.440) | 2.158 *** (3.970) | 1.769 *** (3.500) |
| Innovation | 1.607 *** (3.720) | −7.410 *** (−4.340) | −5.803 *** (−3.310) |
| Spatial rho | −1.098 *** (−4.390) | ||
| sigma2_e | 0.139 *** (13.130) |
| CBR | Direct | Indirect | Total |
|---|---|---|---|
| AMI | −1.766 *** (−5.240) | −5.274 *** (−3.320) | −7.040 *** (−4.570) |
| II | −1.720 *** (−2.780) | 13.134 *** (2.820) | 11.414 ** (2.390) |
| UI | −0.545 *** (−3.890) | −14.966 *** (−3.760) | −15.511 *** (−3.840) |
| GDPPC | 1.144 *** (2.920) | 15.732 *** (4.840) | 16.876 *** (4.960) |
| Openness | −0.015 (−0.370) | 1.283 *** (3.870) | 1.268 *** (3.760) |
| Infrastructure | −1.004 *** (−5.500) | 2.053 * (1.850) | 1.049 (0.900) |
| Innovation | 1.175 *** (3.070) | −18.149 *** (−3.860) | −16.398 *** (−3.370) |
| Spatial rho | −0.274 *** (−3.230) | ||
| sigma2_e | 0.121 *** (12.500) |
| Eastern Region | Central and Western Regions | |||||
|---|---|---|---|---|---|---|
| CBR | Direct | Indirect | Total | Direct | Indirect | Total |
| AMI | −2.119 ** (−2.490) | −13.854 *** (−4.250) | −15.973 *** (−4.700) | −1.888 *** (−5.510) | 3.369 *** (3.260) | 1.481 (1.600) |
| II | 5.705 *** (4.300) | 19.458 *** (3.600) | 25.164 *** (3.920) | −5.227 *** (−9.010) | 2.950 (1.160) | −2.277 (−0.860) |
| UI | −1.900 *** (−2.680) | −11.281 *** (−4.510) | −13.181 *** (−4.840) | −1.835 *** (−2.580) | −5.890 *** (−2.600) | −7.725 *** (−3.400) |
| GDPPC | 1.800 *** (2.650) | 9.528 *** (3.650) | 11.329 *** (3.820) | 0.922 ** (2.470) | −1.130 (−0.750) | −0.208 (−0.130) |
| Openness | −0.487 * (−1.780) | 2.906 *** (4.020) | 2.419 *** (2.840) | 0.000 (0.010) | −0.102 (−0.590) | −0.102 (−0.580) |
| Infrastructure | −1.238 *** (−2.890) | −0.508 (−0.450) | −1.746 (−1.390) | −0.312 * (−1.910) | 2.083 *** (3.870) | 1.771 *** (3.050) |
| Innovation | −3.569 *** (−2.890) | −19.668 *** (−3.990) | −23.238 *** (−3.990) | 4.274 *** (8.340) | −3.087 (−1.320) | 1.187 (0.480) |
| Spatial rho | −0.439 ** (−2.060) | −0.683 *** (−2.920) | ||||
| sigma2_e | 0.046 *** (8.120) | 0.044 *** (9.480) | ||||
Disclaimer/Publisher’s Note: The statements, opinions and data contained in all publications are solely those of the individual author(s) and contributor(s) and not of MDPI and/or the editor(s). MDPI and/or the editor(s) disclaim responsibility for any injury to people or property resulting from any ideas, methods, instructions or products referred to in the content. |
© 2024 by the authors. Licensee MDPI, Basel, Switzerland. This article is an open access article distributed under the terms and conditions of the Creative Commons Attribution (CC BY) license (https://creativecommons.org/licenses/by/4.0/).
Share and Cite
Huang, N.; Liu, C.; Liu, Y.; Giannetti, B.F.; Bai, L. Spatial Effects of Economic Modernization on Carbon Balance in China. Land 2024, 13, 595. https://doi.org/10.3390/land13050595
Huang N, Liu C, Liu Y, Giannetti BF, Bai L. Spatial Effects of Economic Modernization on Carbon Balance in China. Land. 2024; 13(5):595. https://doi.org/10.3390/land13050595
Chicago/Turabian StyleHuang, Nan, Chenghao Liu, Yaobin Liu, Biagio Fernando Giannetti, and Ling Bai. 2024. "Spatial Effects of Economic Modernization on Carbon Balance in China" Land 13, no. 5: 595. https://doi.org/10.3390/land13050595
APA StyleHuang, N., Liu, C., Liu, Y., Giannetti, B. F., & Bai, L. (2024). Spatial Effects of Economic Modernization on Carbon Balance in China. Land, 13(5), 595. https://doi.org/10.3390/land13050595

