Abstract
With global warming and rapid urban development, the urban surface temperature in summer has been increasing, seriously affecting people’s work and life. The formation and changes in surface temperature are directly related to material surroundings and spatial functions. Urban construction has led to an increase in POIs (points of interest), and the POI represents the functional activity within the space to a certain extent. Therefore, this paper attempts to reproduce the process of the urban internal function development of Chengdu according to the distribution characteristics of different types of points of interest. It also delves into the influence of internal spatial functions on surface temperature in Chengdu. The results show that the surface heat values for all types of functions show a significant increase from 2009 to 2022. The rate of increase is particularly pronounced for public transportation, with temperatures increasing by an average of 0.317 °C per year. In addition, there are differences in the thermal contribution values of different functions. The residential and commercial functions have the most significant impact on surface temperature, with both accounting for more than 0.45 of all functional contribution values. Public transportation has a small thermal contribution value but shows a trend of doubling growth. The findings will provide some insights into the design of cooling in future urban planning.
1. Introduction
As a gathering place of resources (including more employment opportunities, better medical and educational environment, and more convenient living and transportation conditions), cities attract a large population to settle down. Urban space is gathering more and more resources and population in the process of urbanization, from the spatial expansion in the early stage to the shrewd contraction later, making the living environment increasingly crowded [1]. And intensive artificial construction has caused unprecedented damage, making the urban environment the crux and burden of the entire ecosystem’s circular development. The weakening of its self-regulation and recovery function has resulted in many urban problems, represented by the growing heat island effect as the most apparent sign [2]. Thus, ecological greenness and sustainability have come to be the core ideas of contemporary urban development [3,4]. To meet the needs of a wide range of groups, urban space now offers different functions. Different functional physical spaces vary in their utilization efficiency and development, leading to differences in their relation to the warming of the space.
In recent years, experts and scholars at home and abroad have conducted extensive explorations on urban thermal environments at different scales and from different perspectives. At the micro-scale, most studies, using numerical models validated with ground measurement data [5,6], have explored the effects of factors such as sky openness [7], green space morphology [8,9], street aspect ratio [10], and vertical greening [11] on the thermal environment in public spaces such as parks, squares, or settlements. At the local scale, some studies have segmented the space using uniform grids, irregular roads, and fractal networks to quantify the mechanisms by which different land use mixes [4], building density and average height [12], and other characteristic factors contribute to the surface thermal environment. At the urban scale, the studies have mainly analyzed the evolution of urban thermal environment patterns based on surface temperature inversion. For the mechanism of the thermal environment, the studies have explored the intrinsic connection between ecological features and surface temperature based on landscape ecological patterns [13,14]; analyzed the quantitative relationship between the area of the underlying surface and the change in surface temperature based on the underlying surface change [15]; and indicated the characteristics of the NDVI in the thermal environment field in different scale intervals based on the Normalized Difference Vegetation Index (NDVI) [16,17]. And scholars have analyzed the spatial pattern of the thermal environment according to the urban thermal landscape changes. They have also constructed an urban thermal environment prediction model based on MARKOV-CA and established urban thermal environment risk judgment rules [18,19,20,21,22].
A large number of past studies have focused on the direct influencing factors of the thermal environment (material spatial patterns) [23,24,25,26,27,28,29]. However, urban planning includes not only the limitation of the material space capacity and pattern, but also the proportion of its internal functions. There are fewer studies addressing function and surface temperature in the existing literature. Wang Y, Li Y et al. constructed a two-factor weighted dominant function vector model of “population heat-land use scale” [30,31]. They analyzed the spatial differentiation between urban functional areas and the surface thermal environment and its driving factors using a random forest algorithm and geographically weighted regression model, from the perspective of matching the supply and demand of urban functions. Zhang S et al. combined POI data with nighttime light (NTL) data based on an open street map road network. Through kernel density analysis, two-factor combinatorial mapping, and zoning identification, they defined the spatial structural characteristics of the central urban area and divided it into different functional zones [32]. Chen Y et al. identified urban functional zones using Open Street Map and point-of-interest data and inverted the surface temperature based on Landsat 8 remote sensing images to evaluate the contribution of different urban functional zones to the urban thermal environment by random forest algorithm [33]. Most of these studies choose to explore the significance and magnitude of the impact factors based on static data. This approach is unable to visualize the thermal impact trends of different functions from the spatial and temporal evolution. Due to its disadvantage in fully revealing urban thermal environment issues, guiding strategies are proposed. In addition, since the traditional regression method (least squares model) ignores the spatial dependence of data, the machine learning spatial regression model is mostly used in data analysis. The model describes the nonlinear relationship of the urban thermal environment and effectively quantifies the contribution of different functional areas to the urban thermal environment.
POI data are important geographic big data, widely used in urban research [34,35,36]. They provide a new perspective and method for the study of urban spatial structure, functional division, and economic development. Li X et al. accurately identified and categorized urban leisure spaces using POI and AOI data. They also analyzed the correlation between the two through multiple linear regression based on population activity intensity data from the Baidu heat map [37]. Qu, X, He, D and Sun, X et al. analyzed the spatial pattern of tourism, culture, and ecology and their influencing factors using POI data [38,39,40]. Lu, C et al. analyzed the spatial clustering-discrete distribution of urban economic geographic elements, as well as the overall spatial structure of the city, using industrial POI data according to the nearest neighbor, kernel density, and location entropy [41]. It is clear that, in addition to its own categorical identification, POI permits more precise and in-depth urban internal function delineation and identification when used in combination with other multi-source heterogeneous data, such as high-resolution remote sensing imagery, OSM road network data, land use data, and demographic data.
In summary, urban functional areas are key to probing the interaction between human and surface thermal environments, and the study of their temperature change drivers is crucial for optimizing the urban thermal environment. Due to the abundance and diversity of behavioral activities in limited urban spaces, the function of the urban land is not able to visually reflect the internal functional activity, although it carries human behavioral activities. The current research on the thermal environment impact of functional areas based on human activities is insufficient. And, as an important economic center in southwest China and the core city of Chengdu–Chongqing Economic Circle, Chengdu has witnessed a continuous increase in population and an increasing urban capacity in recent years. However, the continuous rise in summer temperature and frequent extreme hot weather [42] have seriously interfered with work and life, making it urgent to improve the thermal environment. Therefore, this study identifies and analyzes the functional development of the main urban area of Chengdu based on POI data. It also inverts the surface temperature based on additional Landsat 8 remote sensing imagery and deeply explores the correlation between the evolution of different functions within the city and the thermal environment by Random Forest (RF). The findings are of great value for optimizing the functional structure in future urban planning and implementing targeted cooling strategies so as to promote urban sustainability.
2. Data Source and Calculation Method
2.1. Data Acquisition and Processing
- (1)
- Landsat 8 OLI_TIRS image data (downloaded from the Geospatial Data Cloud) was used to retrieve LST information. Landsat 8 image data of July–August 2009, 2014, and 2022 were selected based on the acquisition time of urban POI data and remote sensing image quality, with less than 5% cloud cover. A Landsat 8 Thermal Infrared Sensor (TIRS) is arranged with two thermal infrared bands, Band 10 and Band 11, both with a spatial resolution of 100 m. Because of its high calibration accuracy, Band 10 is often chosen to implement single-window algorithms to quantitatively invert the land surface temperature (LST). In the data processing, we resampled the TIRS data to the same 30 m resolution as the OLI (Operational Land Imager) data using the nearest neighbor interpolation method, so as to merge the resampled TIRS data with the OLI data to form a multispectral image containing all bands. And we also captured meteorological parameters such as temperature, humidity, and barometric pressure at the time of the satellite overflight of the study area from the historical meteorological data website and made geometric corrections to them. The image scope covers not only the study area but also the surrounding cities and counties, as shown in Table 1.
Table 1. Image information.
- (2)
- This study identified urban internal functions based on POI data and incorporated human activities into urban internal function spaces for intuitive functional evolution and impact analysis. The point-of-interest data came from the Amap API open data platform, and the data with a granularity of 0.05 were collected, followed by defects management, completion, and coordinate transformation. Finally, the POI data were reclassified into six categories—residence, work, commerce, public service facilities, public transportation, and recreational facilities—according to the Industrial Classification for National Economic Activities. Each category in turn contains subcategories (Table 2). For classification with different POI types at the same location, all points with the same coordinates were screened first, and then their functions were identified in sequence. The residential function was found to overlap with each of the other five functions, while the other functions were independent of each other with no overlap. Therefore, points overlapping with residential functions were reclassified based on the realistic functional mix share. That is, when the residence overlaps with the work, public service facilities, public transportation, and recreational facilities, the points are categorized as residential due to the very small percentage of non-residential functional POIs, which is in the range of 1~5%. When there is an overlap between residential and commercial functions, small commercial buildings with 2–3 floors or large commercial buildings with more floors with a capacity less than that of residential function are also categorized as residential. In addition, to improve the quality of the habitat, the regulations started to require that residential and commercial functions must be designed separately in 2018, reducing the error created by the overlap described above. At the end of classification, this study randomly selected some POI for manual check to ensure that their classifications matched the actual functions using the visualization tool Amap. In addition, they were compared with the Baidu POI data set to check the consistency of classification.
Table 2. Functions classification based on POI data.
2.2. Extraction and Grading of Surface Temperature Strength
The study performed temperature inversion of the image based on ENVI software through a single window algorithm, including pre-processing such as radiometric calibration and geographic correction, and, finally, obtained a surface temperature grid map [43]. It then classified the intensity of the surface heat field into 5 categories from low to high using the natural discontinuity point classification method (Jenks), which represents the low surface temperature zone, medium surface temperature zone, medium–high surface temperature zone, high surface temperature zone, and extreme high surface temperature zone. The classification and evolution are shown in Table 3. The quantitative analysis of surface temperature intensity effectively reflects the spatial distribution pattern of the urban thermal environment.
Table 3.
Surface temperature levels evolve with proportion.
2.3. Data Analysis
We first functionally divided the POIs with kernel density analysis by attribute filtering in Arcgis. Then, we read the row and column numbers corresponding to the computed points of the raster data and extracted the surface temperature values at the row and column numbers depending on the GDAL library. Next, we statistically analyzed the extracted surface temperature values by Origin2021 to find out the temperature evolution pattern of different functions. Finally, we determined whether there were significant differences in surface temperatures across functions based on one-way ANOVA, and calculated the factor contributions by machine learning RF algorithm [44]. By ranking the average impurity reduction in the feature split points in each tree, this method enables determining the features more important in predicting the target variable. And it also allows for capturing nonlinear relationships between variables. Therefore, the RF algorithm was introduced to quantify the contribution of all functions to the urban thermal environment in different years. The parameters are as follows: n_estimators = 115, bootstrap = True, criterion = ‘entropy’, max_features = 5, min_samples_leaf = 1, min_samples_split= 2. The average accuracy of the model on the test set during cross-validation was 83.1%.
3. Evolution Characteristics of Surface Temperature in Urban Functional Areas
3.1. Basic Information of Chengdu
Chengdu is strategically located in the hinterland of Southwest China and is the center of the rapidly developing Chengdu–Chongqing Economic Circle. Chengdu is located in the west of the Sichuan Basin, on the eastern edge of the Qinghai–Tibet Plateau. It is the capital city of Sichuan Province, geographically lying between 102°54′ and 104°53′ east longitude and 30°05′ and 31°26′ north latitude. It features a humid subtropical monsoon climate, with a calm wind at most throughout the year, followed by a north wind in June, July, and August, and then a north–northeast wind in other months. It has a terrain dominated by hills, with a total area of about 14,300 km2 and a population of 21.403 million at the end of 2023. The study area is the highly urbanized central downtown, including Jinjiang District, Qingyang District, Jinniu District, Wuhou District, Chenghua District, and Gaoxin District, with an area of 464.598 km² (Figure 1).
Figure 1.
Location of the central downtown of Chengdu and its annual climate.
3.2. Evolution of Internal Functions in Chengdu’s Central Downtown
The distribution of POIs in the geographic space of Chengdu shows significant multi-core clustering characteristics, covering a variety of types such as commercial, residential, work, public services, public transportation, and recreational facilities, presenting clear spatial differentiation and correlation (Figure 2). This distribution pattern deeply reflects the development trend of diversification and refinement of its urban functions, while also revealing the close connection and interaction between its internal functional areas.
Figure 2.
Evolution pattern of spatial kernel density of POIs with different functions in Chengdu’s central downtown.
Specifically, the gathering centers of POIs are highly coupled with the urban functional cores, in a contiguous distribution with important functional areas such as developed commercial zones, transportation hubs, and large parks and green spaces. POIs grow faster in places closer to the functional cores, fully demonstrating the strong attraction and driving effect of functional cores on the surrounding POIs.
From the perspective of quantity change, the growth of POIs shows different characteristics. Public transportation service POIs have experienced significant growth, with the number in 2022 already reaching as much as 5 times that in 2019. This growth highlights Chengdu’s remarkable achievements in the construction of transportation infrastructure and also reflects the strong demand of citizens for efficient and convenient means of public transportation. With the improvement of public transportation facilities such as subways and buses, as well as the rise in new modes of public transportation such as shared bicycles and online cars, the number of public transportation service POIs has seen explosive growth. Public service POIs grew at a slower pace, but also achieved an overall growth of 2.65 times. Despite the slow pace, the steady growth of public service POIs is of great significance in ensuring the essential needs of citizens. Commercial POIs are mainly concentrated in developed business areas of the city, such as Chunxi Road and Taikoo Li. These areas are the economic centers of the city, with a high concentration of people, logistics, and capital flows, making them dense distribution areas for commercial POIs. And the distribution of commercial POIs is also closely related to other types of POIs, and they together make up the living and working space of the city. Residential POIs are mainly distributed in residential areas of the city, close to public services such as schools, hospitals, and parks, providing residents with a convenient daily living environment. As the city grows, new centers of life and consumption come into being in emerging residential areas along with the rise in commercial POIs. Work POIs are mainly in economic growth poles such as business centers and technology parks, and their agglomeration has also driven the development of surrounding commercial and residential POIs, driving the integration of industry and city. Recreational facilities POIs are mainly in parks, scenic spots, and other areas of Chengdu to meet the needs of citizens for touring and entertainment. With the development of the city and the improvement of living standards, the growth of recreational facilities POIs is also accelerating.
According to the high-density patterns of subdivided functional spaces, the residential function evolves from a central contiguous distribution to a surrounding multi-core point-like distribution. As a supporting facility for residents’ lives, public services have a spatio-temporal evolution pattern similar to residential functions. With the expansion of residential functions, public services have been gradually established in the surrounding areas to provide residents with a full range of educational, medical, cultural, and other services. Public services have diverse subsets, which determine a wider range of kernel density values and larger areas of high density. The evolution of commercial functions presents a specific trend. From the initial point-like dispersed distribution, a number of commercial clusters have been gradually built up with a balanced spatial distribution. Work functions are clustered from the center to the south and west, and the clustering center exhibits a certain geographic division of labor, with industry dominating the west and business dominating the south. The business agglomeration area is coupled with the public transportation function, and the efficient transportation network provides strong support for the business boom in the south. In contrast, recreational facilities services have a slower evolution with a narrower distribution range, gradually spreading from the urban center to the surrounding areas (Figure 3).
Figure 3.
Evolution trends of spatial high-density patterns of POIs with different functions.
3.3. Evolution of Surface Thermal Environment in Chengdu’s Central Downtown
With the flourishing of the central downtown of Chengdu, the surface thermal environment is undergoing profound changes. The wave of urbanization has not only driven the expansion of city size, but also contributed to a significant increase in surface temperature in the process. This surface temperature rise is not isolated, but accompanied by the complex thermal environment evolution of urban development.
In the time dimension, the surface temperature in the central downtown of the city has experienced a continuous rise. In 2009, areas of high surface temperatures at Level IV and above were mainly found in the south and east of the city, which are usually closely linked to industrialized and densely populated districts. However, over time, this high surface temperature situation underwent significant changes in 2014. High-surface temperature areas began to spread from the periphery to the city center, and the originally scattered high-surface temperature points started to merge and contributed to a contiguous heat island effect. In 2022, the surface thermal environment in the central downtown of Chengdu fundamentally changed. Much of the region was covered by high surface temperatures of Level IV and above and even areas with extreme high surface temperatures were emerging in clusters. The high surface temperatures and wide range of these extreme heat zones pose unprecedented challenges to the ecology of the city and the lives of its inhabitants.
During the evolution of the surface thermal environment, the northwest of the central downtown of Chengdu has remained relatively cool. This unique phenomenon may be closely related to the natural environment and urban planning strategies of the area. Its northwest has favorable natural elements such as abundant green space and watersheds, which provide an effective buffer to keep a low surface temperature. In addition, urban planning in the region may be more ecological and sustainable, thus reducing the anthropogenic impact on surface temperature (Figure 4).
Figure 4.
Evolution of surface thermal environment in Chengdu’s central downtown.
According to the statistical analysis of detailed data from the perspective of spatial distribution, we can obtain an accurate view of the evolution of surface temperature distribution in the central downtown of Chengdu. Firstly, in 2009, the surface temperatures of Level II and III dominated the main areas, accounting for a total of 78%, indicating that the surface temperature in the central downtown of Chengdu was in a medium–high stable range. However, significant changes took place in 2014. Level II, III, and IV surface temperatures together dominated with a whopping 92.02%. The proportion of Level Ⅳ surface temperature increased significantly, reaching 3.26 times that in 2009. The change was manifested as a significant expansion of the high surface temperature area in the geographical space, indicating that the thermal environment problems in the central downtown of Chengdu are becoming increasingly severe. In 2022, the trend was even more pronounced. Level III and IV surface temperatures continued to dominate with a combined share of 85.3%. Notably, the share of Level IV surface temperature increased significantly further compared to 2014, by a factor of 2.32. And the share of extreme high surface temperature of Level V also increased threefold, further highlighting the urgency and severity of thermal environment issues (Table 3).
It is evident that the surface thermal environment in the central downtown of Chengdu is undergoing an unprecedented evolution. This evolution may find expression in the continuous rise in surface temperature, and even more so in the complexity and extremes of the thermal environment. Therefore, we must deeply recognize the harm of the urban heat island effect and take active measures to reduce the surface temperature effectively, to protect the ecological environment and the health of the residents.
3.4. Development Patterns of Thermal Environment in Different Functions of Chengdu’s Central Downtown
There is a significant direct link between urban construction and changes in spatial surface temperature. Especially in the built-up areas of urban centers, their spatial heat can be characterized to some extent by the number of POIs. To gain insight into this relationship, we extracted data on changes in heat value ratings for different functional types between 2009 and 2022. From the analysis, we found a common trend: the heat values of different functions showed a significant rise. However, this increase did not happen overnight, and the calorific changes in different functions also showed marked differences.
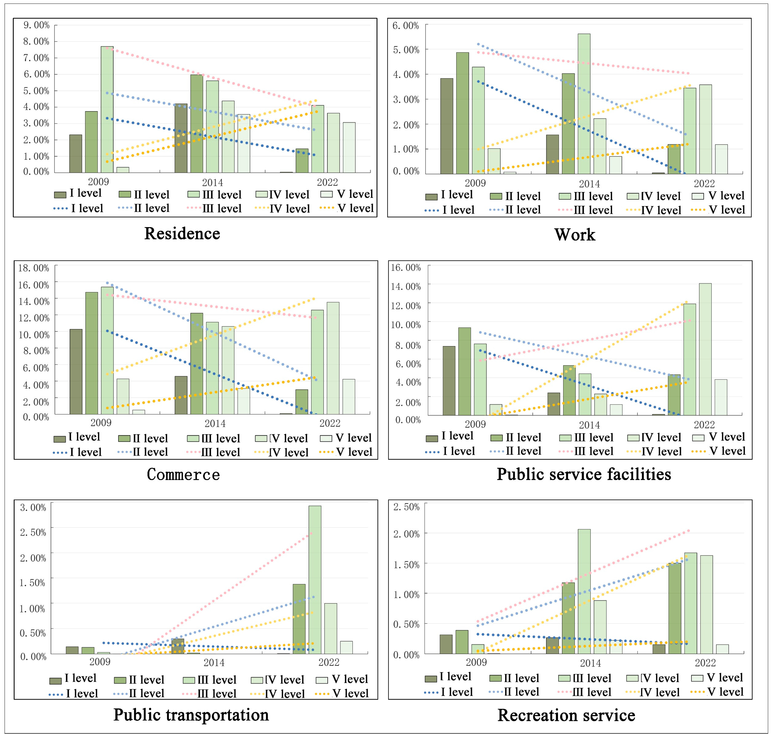
High surface temperature areas were widespread in residential functions, with an evolution towards Level IV–V and extremely high surface temperatures (Figure 5 and Figure 6). Areas with Level IV surface temperature increased by as much as 10 times, especially in the adjacent areas of the city center, due to the fact that these areas received spillover resources from urban centers resulting in higher residential densities, which led to extreme high surface temperatures. The public service function, which is closely related to the residential function, also showed significant changes in heat value. Most of the sample points evolved from the surface temperature below the medium–high surface temperature of Level III to the high surface temperature of Level IV, which was not in a smooth manner, by leaps and bounds. The high surface temperature was mainly found in areas with large buildings, for example, in the vicinity of large public buildings such as the provincial gymnasium and the municipal library. The thermal rating of commercial and work functions showed a similar trend. The share of Level I and II gradually decreased, while the share of Level IV gradually increased, all with a factor around 1. The surface temperature changes in these two functions in the south of the city were more drastic than those in the north. It coincides with Chengdu’s adherence to the development strategy of “expanding to the south and reforming in the north”. The southern region is the focus of the expansion, and the large increase in construction has led to a rapid rise in surface temperature. The change in heat value of public transportation function is mainly characterized by an evolution from medium and low surface temperature (Level I and II) to medium and high surface temperature (Level III). The heat value remained largely in the low to mid-surface temperature range between 2009 and 2014, but increased rapidly in 2022. The change is largely attributed to its vigorous implementation of the Transportation-oriented Development (TOD) strategy since 2017. In 2019 alone, Chengdu established 14 TOD demonstration projects, involving comprehensive development within a radius of 500–800 m around rail transit stations.
Figure 5.
Evolution of the share of heat value grades in different functions.
Figure 6.
Surface temperature and nuclear density superimposed map.
This large-scale construction has led to a significant rise in the surface temperature of the surrounding public transportation functions. Finally, the recreational facilities service evolved from surface temperature levels I and II to levels II and III between 2009 and 2014. But in 2022, the surface temperature remained between levels II and IV, with an insignificant rise. It is closely related to Chengdu’s recent efforts to build a beautiful and livable park city. With the increase in public demand for recreational facilities service, the construction of park cities focuses on ecological service systems. The integration of urban idle space has increased recreational facilities service facilities such as pocket parks, which effectively controls the overdevelopment of recreational facilities service functions and keeps the surface temperature in the area at a stable level.
We also derived precise values for the annual acceleration of the mean heat value for each function according to data calculations and in-depth analysis. The results showed that the average heat value acceleration of the six functions exceeded the baseline of 0.25 and was higher than the overall average of 0.24 in the study area (Table 4).
Table 4.
Functions and average surface temperature over the study area.
The public transportation function ranked first, reaching as high as 0.317, indicating that it has shown extremely high activity and growth in the urban heat value growth. Following closely behind was the public service function, with a heat value acceleration of 0.284, also showing rapid growth. The commercial and recreational facilities service functions followed with a score of 0.272 and 0.268, respectively, indicating their contribution to the rise in urban heat. In contrast, the average heat value acceleration of residential and work functions was low, but still reached 0.257, above the regional average.
In summary, the heat value of urban functions rose rapidly in general and was significantly higher than the regional average. Different functions showed significant variability in heat value rise, with the public transportation function being particularly prominent. The finding is of great reference value for understanding the changes in the urban thermal environment and guiding urban planning and management.
4. Divergence of Thermal Environmental Contributions of Different Functions in the City
The significant p-values of ANOVA for 2009, 2014, and 2022 are all less than 0.05, indicating that there is a significant difference in urban surface temperature between different functional areas and different years. The analysis of the impact of different urban functions on surface temperature by human activities shows the following:
- (1)
- The thermal contribution of residential and commercial functions in the city has always remained at a significant level that is stable at above 0.21. It is mainly attributed to the close link between residential and commercial services and daily life, with a wide distribution and large area share of POIs, up to 58.73% of the area share of residential space in the study area alone. Meanwhile, the extensive use of air conditioning and refrigeration equipment in residential areas during summer and frequent activities in commercial areas result in higher energy consumption and heat emissions. And high-density buildings, on the one hand, reduce the surface permeability and, on the other hand, impede air circulation, leading to the accumulation of heat in localized areas, thus resulting in surface temperature rise. Construction materials, such as those used in residential and commercial buildings and road surfacing materials (e.g., concrete, asphalt), have a high heat capacity and low reflectivity. They tend to absorb and store heat, leading to higher surface temperatures.
- (2)
- The heat contribution of public transportation in the city shows the most significant growth, with the value doubling in 2009 compared to 2002. The growth is the main result of the space in the city to provide mobility services. To meet the extensive evacuation needs, the surrounding area is paved with a large amount of hard underlying surface made of asphalt or concrete. The thermal properties of these materials result in surface temperature rise. Moreover, due to the convenient transportation and crowd-gathering effect, the surrounding areas often attract a large number of commercial, office, and residential projects for development and construction. It drives the gradual transformation of areas originally dominated by public transportation services into mixed-service areas, and even the eventual evolution of some areas into areas dominated by commercial and residential services, with drastic changes in urban spatial patterns and a sustained rise in surface temperatures. For example, the railroad station as an important transportation hub of the city has played a positive role in promoting the economic development of the surrounding areas, and a mature station area often serves as the city’s sub-center. However, the high-density and high-capacity buildings in these areas as well as the complex above-ground and underground structures cause the temperature of the already hot public transportation service area to rise further, leading to an increasingly significant heat island effect in localized spaces.
- (3)
- The recreational facilities service in the city has a small thermal contribution. It is mainly due to the fact that urban recreational facilities service spaces are usually rich in blue-green elements, such as water, green spaces, and trees, which play a positive role in reducing urban surface temperatures. In addition, under the guidance of the idea of a park city, Chengdu has been making efforts to protect the local ecological environment and build an ecological service system since 2018, which effectively enhances the cooling effect of green space, thereby reducing the heat contribution of recreational facilities services (Figure 7).
Figure 7. Contribution values by functional area.
5. Strategy and Conclusions
5.1. Strategies for Heat Mitigation
- (1)
- Control the heat value acceleration of the public transportation function
The areas with the greatest heat value acceleration in the city are also the areas with the fastest increase in future construction volume. Take the public transportation service function as an example. By combining TOD with the park city idea, that is, integrating ecological space with production and living space, we can build new natural systems to provide ecological services for the city, such as reducing localized high surface temperature, increasing humidity, and reducing air pollution, while increasing economic benefits. And by controlling the spatial form of the surrounding additions, we can ensure that the spatial form of the additions is rational and orderly, to enable spatial cooling fully by natural winds relying on effective ventilation design for climate regulation.
- (2)
- Reduce the thermal contribution of residential and commercial functions
The mitigation measures for high surface temperatures in urban residential and commercial functions need to fully consider the elements such as green space, light-colored materials, ventilation, and building energy efficiency, so as to establish a comprehensive and systematic surface temperature mitigation system and improve the quality of life of residents. (a) Increase blue-green space. Green spaces and waters such as parks, gardens, fountains, and artificial lakes should be increased and expanded in residential areas. In addition to absorbing solar radiation to mitigate the urban heat island effect, these blue-green spaces will provide shade and improve air quality for residents. (b) Encourage roof greening. That is, we can grow plants on the building roofs to absorb solar radiation, lower roof temperatures, and increase the green coverage of the city. (c) Improve urban ventilation. Ventilation in residential areas can be improved through reasonable urban planning and building design to allow for hot air circulation and surface temperature reduction. Measures should be taken to protect and optimize urban wind channels, focusing on the protection of wind sources in the main direction, while eliminating the construction of buildings that block wind channels.
- (3)
- Enhance the cooling effect of recreational facilities service
Under the guidance of park city construction, it is necessary to create a sound ecological foundation on the foundation of mountains and rivers with priority given to ecological and green development. And positive actions should be taken to build the urban greenway network, refine the planning of the greenway system, and build a park city grid system by connecting mountains, rivers, parks, and roads through the greenway, to integrate natural elements into the city. Ecology and form should be dialectically unified, focusing on the coupling and coordination of urban park green space system and urban spatial structure.
And the recreational facilities service should be monitored and evaluated to keep abreast of the effects and problems of cooling. Timely adjustments to planning strategies and management measures should be made according to the results of the assessment through comprehensive measures and scientific management to ensure a comfortable, environmentally friendly, and energy-saving leisure environment. Also, consideration can be given to the introduction of intelligent technologies, such as intelligent fogsen systems, to maintain the natural cooling effect of the leisure service area (Table 5).
Table 5.
Cooling strategies for different functions.
5.2. Conclusions
This study summarized the evolutionary characteristics of different functions within the city using POIs. And it presented the development of the thermal environment such as the increasing surface temperature in the main urban area of Chengdu and the obvious rise in high-temperature areas using the spatio-temporal surface temperature. It also further explored trends in the impact of urban internal functions on the thermal environment through dynamic sample data.
The findings show the following: (1) Functional evolution follows urban development and construction, and different functions evolve in different ways. As urban construction goes on, POIs are gradually becoming active due to crowd activity. Different from the functional zoning of land use, it is a clear reflection of the urban internal function vitality. And, due to the different stages of space development, the intensity of demand for each type is also different, resulting in unique evolution for each function. (2) Residential and commercial functions have the highest thermal contribution value as the key to solving thermal environment problems. Residential and commercial functions are densely populated, with high electricity consumption for household and commercial activities, which are the main sources of heat. In addition, these areas tend to be densely built up, and buildings release heat as they absorb solar radiation, especially in the summer. Rising building surface temperatures further increase surface temperatures. And these areas often sacrifice the possibility of creating sufficient green space and open space to address issues of traffic and evacuation. Green spaces help reduce temperatures through evaporative cooling, and insufficient green spaces mean the loss of natural cooling mechanisms. Therefore, optimizing these two functions with a large proportion of the city will lead to a significant improvement in the quality of the human environment and the thermal environment of the city as a whole. (3) The thermal contribution of public transportation is small but growing at the fastest rate, and it will be a risk leading to surface temperature rise in the future if guidance is absent. It differs from previous analyses based on data from a certain time cross-section that have concluded that public transportation has less of an impact on surface temperature. This study is based on spatio-temporal evolutionary data. It is found that the environmental capacity limitations were neglected in the comprehensive development of transportation stations. The appearance of peripheral clustered spatial patterns leads to a rapid increase in the surface heat value of the travel function. As found in the above analysis, public transportation has the greatest acceleration in temperature rise, and the thermal contribution value in 2020 is equivalent to twice that of 2009.
The findings, on the one hand, highlight the importance of implementing targeted cooling strategies. For example, more green belts can be arranged and highly reflective materials can be used in commercial areas to reduce heat absorption, or green roofs and community gardens can be encouraged in residential areas to improve evaporative cooling. On the other hand, it indicates the necessity of constructing climate-resilient infrastructures, such as addressing spatial agglomeration around transportation infrastructures to lower surface temperature.
5.3. Limitations and Prospects
The urban thermal environment is closely linked to our lives, affecting not only our living comfort but also our health and well-being. The way urban physical space is constructed and used is constantly shaping the thermal environment of the city. However, traditional urban planning and design often ignore building vacancies and human activities, which prevents us from accurately identifying the complex mechanisms of urban spatial warming. Therefore, it is of great significance to explore the link between the development characteristics of different urban functions and the evolution pattern of the thermal environment using POI data in human-centered thermal environment research.
The findings are extremely valuable to urban planners, as they provide new perspectives for exploring ways of thermal mitigation. Urban planners were enabled to comprehensively explore the differences in the impact of functional areas on surface temperature at more scales and from more perspectives, based on measured data and simulation analysis. And extending these case studies to other developed and high-temperature cities, such as Chongqing and Japan, will help us to summarize a complete and universal system for improving the thermal environment. The system can be used to improve urban thermal environments globally. It will effectively alleviate the urban heat island effect, improve the life quality of urban residents, and provide strong support for coping with future climate change.
Author Contributions
Conceptualization, L.F. and X.C.; Data Curation, L.F. and X.C.; Formal Analysis, L.F.and G.W.; Funding Acquisition, X.C.; Investigation, L.F.and G.W.; Methodology, L.F. and X.C.; Project Administration, X.C.; Resources, L.F.; Software, L.F.and G.W.; Supervision, X.C.; Validation, L.F. and X.C.; Visualization, X.C.; Writing—Original Draft, L.F.; Writing—Review and Editing, L.F. All authors have read and agreed to the published version of the manuscript.
Funding
This study was funded by the Natural Science Foundation Project (U20A20330), China.
Data Availability Statement
The data that support the findings of this study are available from the corresponding author upon reasonable request.
Conflicts of Interest
The authors declare no conflicts of interest.
References
- Mouratidis, K. Compact city, urban sprawl, and subjective well-being. Cities 2019, 92, 261–272. [Google Scholar] [CrossRef]
- Zhou, D.C.; Zhao, S.Q.; Liu, S.; Zhang, L.; Zhu, C. Surface urban heat island in China’s 32 major cities: Spatial patterns and drivers. Remote Sens. Environ. 2014, 152, 51–61. [Google Scholar] [CrossRef]
- Memon, R.A.; Leung, D.Y.C.; Chunho, L. A review on the generation, determination and mitigation of Urban Heat Island. J. Environ. Sci. 2008, 20, 120–128. [Google Scholar]
- Santamouris, M. Recent progress on urban overheating and heat island research. Integrated assessment of the energy, environmental, vulnerability and health impact. Synergies with the global climate change. Energy Build. 2020, 207, 109482. [Google Scholar] [CrossRef]
- Yang, Y.; Li, J. Study on urban thermal environmental factors in a water network area based on CFD simulation: A case study of Chengnan new district, Xiantao city, Hubei Province. Environ. Technol. Innov. 2020, 20, 101086. [Google Scholar] [CrossRef]
- Zhu, S.; Gao, M.; Chen, T.; Zhang, G. Simulation and Analysis of Urban Near-Surface Air Temperature Based on ENVI-met Model:A Case Study in Some Areas of Nanjing. Clim. Environ. Res. 2017, 22, 499–507. [Google Scholar]
- He, X.; Miao, S.; Shen, S.; Li, J.; Zhang, B.; Zhang, Z.; Chen, X. Influence of sky view factor on outdoor thermal environment and physiological equivalent temperature. Int. J. Biometeorol. 2014, 59, 285–297. [Google Scholar] [CrossRef]
- Ng, E.; Chen, L.; Wang, Y.; Yuan, C. A study on the cooling effects of greening in a high-density city: An experience from Hong Kong. Build. Environ. 2012, 47, 256–271. [Google Scholar] [CrossRef]
- Jia, L.; Qiu, J. Study of Urban Green Patch’s Thermal Environment Effect with Remote Sensing: A Case Study of Chengdu City. Chin. Landsc. Archit. 2009, 25, 97–101. [Google Scholar]
- Chen, G.; Wang, D.; Wang, Q.; Li, Y.; Wang, X.; Hang, J.; Gao, P.; Ou, C.; Wang, K. Scaled outdoor experimental studies of urban thermal environment in street canyon models with various aspect ratios and thermal storage. Sci. Total Environ. 2020, 726, 138147. [Google Scholar] [CrossRef]
- Peng, H.; Zhai, Z.; Zhou, X. Measurement and prediction of vertical temperature distribution above urban building roofs at an ultra-microenvironment scale. Energy Build. 2024, 324, 114892. [Google Scholar] [CrossRef]
- Yoo, C.; Lee, Y.; Cho, D.; Im, J.; Han, D. Improving local climate zone classification using incomplete building data and Sentinel 2 images based on convolutional neural networks. Remote Sens. 2020, 12, 3552. [Google Scholar] [CrossRef]
- Connors, J.P.; Galletti, C.S.; Chow, W.T.L. Landscape configuration and urban heat island effects: Assessing the relationship between landscape characteristics and land surface temperature in Phoenix, Arizona. Landsc. Ecol. 2013, 28, 271–283. [Google Scholar] [CrossRef]
- Li, Y.; Pan, J. Spatial-temporal Pattern of Thermal Environment and Cooling Effect of Parks in Summer of Xi’an. Environ. Sci. Technol. 2017, 40, 15–26. [Google Scholar]
- Xu, H. Analysis of Impervious Surface and its Impact on Urban Heat Environment using the Normalized Difference Impervious Surface Index (NDISI). Photogramm. Eng. Remote Sens. 2010, 76, 557–565. [Google Scholar] [CrossRef]
- Gao, X.; Wu, G.; Du, G.; Li, C.; Shen, H. Spatio-temporal Changes of Thermal Landscape Pattern Based on a Multifractal Model: A Case Study of Zhengzhou City. Acta Ecol. Sin. 2015, 35, 6774–6787. [Google Scholar]
- Wang, Y.; Zhang, P.; Dong, W.; Yan, F. Research on Land Surface Thermal Field Change in Chongqing City from MODIS Data. Res. Environ. Sci. 2008, 21, 98–103. [Google Scholar]
- Sun, T.; Xiao, R.; Cai, Y.; Wang, Y.; Wu, G. Research Progress and Development Trend of Quantitative Assessment Techniques for Urban Thermal Environment. Chin. J. Appl. Ecol. 2016, 27, 2717–2728. [Google Scholar]
- Zhang, Y.; Peng, W.; Liu, Y. Study on Urban Thermal Environment Ecological Security Evaluation Based on the Spatial Pattern. Ecol. Econ. 2016, 32, 165–169. [Google Scholar]
- Qiao, Z.; He, T.; Lu, Y.; Sun, Z.; Xu, X.; Yang, J. Quantifying the Contribution of Land Use Change Based on the Effects of Global Climate Change and Human Activities on Urban Thermal Environment in the Beijing-Tianjin-Hebei Urban Agglomeration. Geogr. Res. 2022, 41, 1932–1947. [Google Scholar]
- Li, Y.; Geng, S.; Chen, F.; Li, C.; Zhang, X.; Dong, X. Evaluation of thermal sensation among customers: Results from field investigations in underground malls during summer in Nanjing, China. Build. Environ. 2018, 136, 28–37. [Google Scholar] [CrossRef]
- Guo, J.; Pan, J. Evolution and Prediction of Thermal Environment Pattern in Nanjing Based on CA-Markov Model. J. Atmos. Environ. Opt. 2020, 15, 143–153. [Google Scholar]
- Wang, Y.; Liang, Z.; Ding, J.; Shen, J.; Wei, F.; Li, S. Prediction of Urban Thermal Environment Based on Multi-Dimensional Nature and Urban Form Factors. Atmosphere 2022, 13, 1493. [Google Scholar] [CrossRef]
- Yang, Z.; Chen, Y.; Wu, Z. How urban expansion affects the thermal environment? A study of the impact of natural cities on the thermal field value and footprint of thermal environment. Ecol. Indic. 2021, 126, 107632. [Google Scholar] [CrossRef]
- Chen, M.; Chen, Y.; Guo, G.; Feng, Z. Temporal and Spatial Changes of Urban Thermal Environment and Driving Mechanism in Dongguan City. Geogr. Res. 2011, 30, 1431–1438. [Google Scholar]
- Feng, X.; Shi, H. Dynamic changes of urban heat environment pattern in Xi’an of Northwest China. Chin. J. Ecol. 2012, 31, 2921–2925. [Google Scholar]
- Zhou, B.; Rybski, D.; Kropp, J.P. The role of city size and urban form in the surface urban heat island. Sci. Rep. 2017, 7, 4791. [Google Scholar] [CrossRef]
- Zhang, Q.; Wu, Z.; Singh, V.P.; Liu, C. Impacts of Spatial Configuration of Land Surface Features on Land Surface Temperature across Urban Agglomerations, China. Remote Sens. 2021, 13, 4008. [Google Scholar] [CrossRef]
- Zhang, N.; Zhang, J.; Chen, W.; Su, J. Block-based variations in the impact of characteristics of urban functional zones on the urban heat island effect: A case study of Beijing. Sustain. Cities Soc. 2022, 76, 103529. [Google Scholar] [CrossRef]
- Wang, Y.; Yang, S. Identification of surface thermal environment differentiation and driving factors in urban functional zones based on multisource data: A case study of Lanzhou, China. Front. Environ. Sci. 2024, 12, 1466542. [Google Scholar] [CrossRef]
- Wang, Y.; Yang, S.; Tang, X.; Ding, Z.; Li, Y. Refined Identification of Urban Functional Zones Integrating Multisource Data Features: A Case Study of Lanzhou, China. Sustainability 2024, 16, 8957. [Google Scholar] [CrossRef]
- Wang, G.; Hu, J.; Wang, M.; Zhang, S. Research on the Spatial Structure of Xinjiang Port Cities Basedon Multi-Source Geographic Big Data—A Case of Central Kashi City. Sustainability 2024, 16, 6852. [Google Scholar]
- Chen, Y.; Yang, J.; Yang, R.; Xiao, X.; Xia, J. Contribution of urban functional zones to the spatial distribution of urban thermal environment. Build. Environ. 2022, 216, 109000. [Google Scholar] [CrossRef]
- Zhu, L.; Wang, L.; Li, X.; Zhang, L. A Summary of analysis and application research on the spatial distribution of POI data based on urban service industry. J. Phys. Conf. Ser. 2020, 1634, 012070. [Google Scholar] [CrossRef]
- Zhou, N. Research on urban spatial structure based on the dual constraints of geographic environment and POI big data. J. King Saud. Univ.—Sci. 2022, 34, 101887. [Google Scholar] [CrossRef]
- Xu, Y.; Zhou, B.; Jin, S.; Xie, X.; Chen, Z.; Hu, S.; He, N. A framework for urban land use classification by integrating the spatial context of points of interest and graph convolutional neural network method. Comput. Environ. Urban. Syst. 2022, 95, 101807. [Google Scholar] [CrossRef]
- Li, X.; Kozlowski, M.; Ismail, S.B.; Salih, S.A. Spatial Distribution Characteristics of Leisure Urban Spaces and the Correlation with Population Activity Intensity: A Case Study of Nanjing, China. Sustainability 2024, 16, 7160. [Google Scholar] [CrossRef]
- Sun, X.; Liu, H.; Liao, C.; Nong, H.; Yang, P. Understanding Recreational Ecosystem Service Supply-Demand Mismatch and Social Groups’ Preferences: Implications for Urban–Rural Planning. Landsc. Urban Plan. 2023, 241, 104903. [Google Scholar] [CrossRef]
- Qu, X.; Xu, G.; Qi, J.; Bao, H. Identifying the Spatial Patterns and Influencing Factors of Leisure and Tourism in Xi’an Based on Point of Interest (POI) Data. Land. 2023, 12, 1805. [Google Scholar] [CrossRef]
- He, D.; Chen, Z.; Ai, S.; Zhou, J.; Lu, L.; Yang, T. The Spatial Distribution and Influencing Factors of Urban Cultural and Entertainment Facilities in Beijing. Sustainability 2021, 13, 12252. [Google Scholar] [CrossRef]
- Lu, C.; Pang, M.; Zhang, Y.; Li, H.; Lu, C.; Tang, X.; Cheng, W. Mapping Urban Spatial Structure Based on POI (Point of Interest) Data: A Case Study of the Central City of Lanzhou, China. ISPRS Int. J. Geo-Inf. 2020, 9, 92. [Google Scholar] [CrossRef]
- Xia, Y.; Shi, C.; Li, Y.; Jiang, X.; Ruan, S.; Gao, X.; Chen, Y.; Huang, W.; Li, M.; Xue, R.; et al. Effects of ambient temperature on mortality among elderly residents of Chengdu city in Southwest China, 2016–2020: A distributed-lag non-linear time series analysis. BMC Public Health 2023, 23, 149. [Google Scholar] [CrossRef]
- Qin, Z.; Karnieli, A.; Berliner, P. A mono-window algorithm for retrieving land surface temperature from Landsat TM data and its application to the Israel-Egypt border region. Int. J. Remote Sens. 2001, 22, 3719–3746. [Google Scholar] [CrossRef]
- Belgiu, D. Random forest in remote sensing: A review of applications and future directions. ISPRS J. Photogramm. 2016, 114, 24–31. [Google Scholar] [CrossRef]
Disclaimer/Publisher’s Note: The statements, opinions and data contained in all publications are solely those of the individual author(s) and contributor(s) and not of MDPI and/or the editor(s). MDPI and/or the editor(s) disclaim responsibility for any injury to people or property resulting from any ideas, methods, instructions or products referred to in the content. |
© 2024 by the authors. Licensee MDPI, Basel, Switzerland. This article is an open access article distributed under the terms and conditions of the Creative Commons Attribution (CC BY) license (https://creativecommons.org/licenses/by/4.0/).






