Optimized Resource Allocation for Sustainable Development in Beijing: Integrating Water, Land, Energy, and Carbon Nexus
Abstract
1. Introduction
2. Literature Review
2.1. Research on Resource Management in Megacities
2.2. Application of System Dynamics in Megacity Resource Management
2.3. Application of Muti-Objective Model in Megacity Resource Management
3. Materials and Methods
3.1. Model Preparation
3.2. Building the Water–Land–Energy–Carbon Nexus Using the SD Model
3.3. Finding Optimal Resource Allocation Using the NSGA-III Model
3.3.1. Objective Function
- (1)
- Ecological Environment Dimension
- (2)
- Resource Efficiency Dimension
- (3)
- Socio-Economic Dimension
3.3.2. Constraints
- (1)
- Energy Constraint
- (2)
- Water Resource Constraint
- (3)
- Farmland Protection Policy Constraint
- (4)
- Economic Growth Constraint
4. Results and Discussion
4.1. Time Trends and Analysis of Resource-Related Carbon Emissions in Beijing
4.2. Scenario Simulation of Resource Allocation Scheme
Scenario Simulation of Resource Allocation Without Constraints
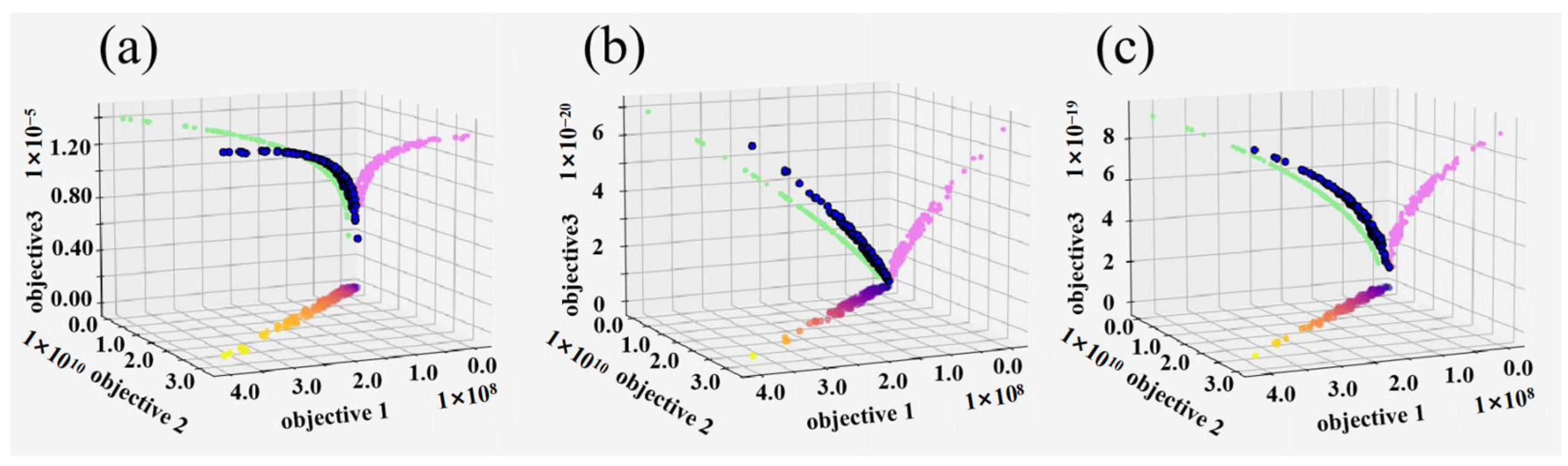
4.3. Scenario Simulation of Resource Allocation with Constraints
4.4. Policy Implications and Recommendations
5. Conclusions and Outlook
Author Contributions
Funding
Data Availability Statement
Conflicts of Interest
Correction Statement
References
- Zhu, X.; Luo, H. Development trajectories of megacities in China. Urban Stud. 2020, 57, 1011–1028. [Google Scholar]
- Wang, L.; Liu, M. The role of megacities in China’s economic development. Urban Stud. 2019, 56, 789–807. [Google Scholar]
- Li, Q.; Zhang, Y.; Liu, Z. Carbon emission challenges in China’s megacities. J. Environ. Sci. Technol. 2021, 55, 289–298. [Google Scholar]
- Chen, X.; Wang, Y.; Li, J. Urban sustainability: Issues and solutions. Environ. Manag. 2022, 60, 45–62. [Google Scholar]
- Yang, X.; Hu, Y.; Jia, Q.; Gao, J.; Qi, Q. Inspiration from the international metropolis’ zero emission action plan to the carbon neutrality of Beijing. Sci. Geogr. Sin. 2024, 44, 109–120. [Google Scholar]
- Li, B.; Sivapalan, M.; Xu, X. An urban sociohydrologic model for exploration of Beijing’s water sustainability challenges and solution spaces. Water Resour. Res. 2019, 55, 5918–5940. [Google Scholar] [CrossRef]
- Zhou, Y.; Chen, M.; Tang, Z.; Mei, Z. Urbanization, land use change, and carbon emissions: Quantitative assessments for city-level carbon emissions in Beijing-Tianjin-Hebei region. Sustain. Cities Soc. 2021, 66, 102701. [Google Scholar] [CrossRef]
- McPhearson, T.; Cook, E.M.; Berbes-Blazquez, M.; Cheng, C.; Grimm, N.B.; Andersson, E.; Troxler, T.G. A social-ecological-technological systems framework for urban ecosystem services. One Earth 2022, 5, 505–518. [Google Scholar] [CrossRef]
- Zhang, L.; Chen, X.; Liu, M. Challenges and solutions in urban water management. J. Environ. Manag. 2021, 292, 112805. [Google Scholar]
- Estahbanati, S.; Fahrenfeld, N.L. Influence of wastewater treatment plant discharges on microplastic concentrations in surface water. Chemosphere 2016, 162, 277–284. [Google Scholar] [CrossRef]
- Flörke, M.; Schneider, C.; McDonald, R.I. Water competition between cities and agriculture driven by climate change and urban growth. Nat. Sustain. 2018, 1, 51–58. [Google Scholar] [CrossRef]
- Ding, J.; Jiang, Y.; Liu, Q.; Hou, Z.; Liao, J.; Fu, L.; Peng, Q. Influences of the land use pattern on water quality in low-order streams of the Dongjiang River basin, China: A multi-scale analysis. Sci. Total Environ. 2016, 551, 205–216. [Google Scholar] [CrossRef]
- Feng, M.; Zhao, R.; Huang, H.; Xiao, L.; Xie, Z.; Zhang, L.; Chuai, X. Water–energy–carbon nexus of different land use types: The case of Zhengzhou, China. Ecol. Indic. 2022, 141, 109073. [Google Scholar] [CrossRef]
- Kong, L.; Mu, X.; Hu, G.; Tu, C. Will energy efficiency improvements reduce energy consumption? Perspective of rebound effect and evidence from Beijing. Energy 2023, 263, 125665. [Google Scholar] [CrossRef]
- Zaheer, A. Sustainability and resilience in megacities through energy diversification, land fragmentation and fiscal mechanisms. Sustain. Cities Soc. 2020, 53, 101841. [Google Scholar] [CrossRef]
- Pingale, S.M.; Jat, M.K.; Khare, D. Integrated urban water management modelling under climate change scenarios. Resour. Conserv. Recycl. 2014, 83, 176–189. [Google Scholar] [CrossRef]
- Yu, H.; Yang, Z.; Li, B. Sustainability assessment of water resources in Beijing. Water 2020, 12, 1999. [Google Scholar] [CrossRef]
- Kyriakopoulos, G.L. Land use planning and green environment services: The contribution of trail paths to sustainable development. Land 2023, 12, 1041. [Google Scholar] [CrossRef]
- Allouhi, A.; Rehman, S.; Buker, M.S.; Said, Z. Recent technical approaches for improving energy efficiency and sustainability of PV and PV-T systems: A comprehensive review. Sustain. Energy Technol. Assess. 2023, 56, 103026. [Google Scholar] [CrossRef]
- Fuhrman, J.; Bergero, C.; Weber, M.; Monteith, S.; Wang, F.M.; Clarens, A.F.; McJeon, H. Diverse carbon dioxide removal approaches could reduce impacts on the energy–water–land system. Nat. Clim. Chang. 2023, 13, 341–350. [Google Scholar] [CrossRef]
- Feng, T.; Liu, B.; Ren, H.; Yang, J.; Zhou, Z. Optimized model for coordinated development of regional sustainable agriculture based on water–energy–land–carbon nexus system: A case study of Sichuan Province. Energy Convers. Manag. 2023, 291, 117261. [Google Scholar] [CrossRef]
- He, L.; Xu, Z.; Wang, S.; Bao, J.; Fan, Y.; Daccache, A. Optimal crop planting pattern can be harmful to reach carbon neutrality: Evidence from food-energy-water-carbon nexus perspective. Appl. Energy 2022, 308, 118364. [Google Scholar] [CrossRef]
- Wang, J.; Duan, Y.; Jiang, H.; Wang, C. China’s energy-water-land system co-evolution under carbon neutrality goal and climate impacts. J. Environ. Manag. 2024, 352, 120036. [Google Scholar] [CrossRef]
- Zhu, S.; Huang, J.; Zhao, Y. Coupling coordination analysis of ecosystem services and urban development of resource-based cities: A case study of Tangshan city. Ecol. Indic. 2022, 136, 108706. [Google Scholar] [CrossRef]
- Shen, Y.; Shi, X.; Zhao, Z.; Sun, Y.; Shan, Y. Measuring the low-carbon energy transition in Chinese cities. iScience 2022, 26, 105803. [Google Scholar] [CrossRef]
- Swanson, J. Business dynamics—Systems thinking and modeling for a complex world. J. Oper. Res. Soc. 2002, 53, 472–473. [Google Scholar] [CrossRef]
- Xing, L.; Xue, M.; Hu, M. Dynamic simulation and assessment of the coupling coordination degree of the economy–resource–environment system: Case of Wuhan City in China. J. Environ. Manag. 2019, 230, 474–487. [Google Scholar] [CrossRef]
- Forrester, J.W. Urban dynamics. IMR Ind. Manag. Rev. (Pre-1986) 1970, 11, 67. [Google Scholar] [CrossRef]
- Pejic Bach, M.; Tustanovski, E.; Ip, A.W.; Yung, K.L.; Roblek, V. System dynamics models for the simulation of sustainable urban development: A review and analysis and the stakeholder perspective. Kybernetes 2020, 49, 460–504. [Google Scholar] [CrossRef]
- Luo, L.; Wu, J.; Hu, H.; Chen, Y.; Xu, Z. Analysis and forecast of water supply and demand in beijing through system dynamics modeling. Urban Water J. 2020, 17, 512–524. [Google Scholar] [CrossRef]
- Yao, S.; Li, Y.; Jiang, H.; Wang, X.; Ran, Q.; Ding, X.; Ding, A. Predicting Land Use Changes under Shared Socioeconomic Pathway–Representative Concentration Pathway Scenarios to Support Sustainable Planning in High-Density Urban Areas: A Case Study of Hangzhou, Southeastern China. Buildings 2024, 14, 2165. [Google Scholar] [CrossRef]
- Freeman, R. Modelling the socio-political feasibility of energy transition with system dynamics. Environ. Innov. Soc. Transit. 2021, 40, 486–500. [Google Scholar] [CrossRef]
- Phan, T.D.; Bertone, E.; Stewart, R.A. Critical review of system dynamics modelling applications for water resources planning and management. Clean. Environ. Syst. 2021, 2, 100031. [Google Scholar] [CrossRef]
- Deb, K.; Jain, H. An evolutionary many-objective optimization algorithm using reference-point-based nondominated sorting approach, part I: Solving problems with box constraints. IEEE Trans. Evol. Comput. 2013, 18, 577–601. [Google Scholar] [CrossRef]
- Lin, G.; Jiang, D.; Yin, Y.; Fu, J.A. carbon-neutral scenario simulation of an urban land–energy–water coupling system: A case study of Shenzhen, China. J. Clean. Prod. 2023, 383, 135534. [Google Scholar] [CrossRef]
- Zhai, R.; Li, K. Land–Water–Energy Coupling System and Low-Carbon Policy Simulation: A Case Study of Nanjing, China. Land 2023, 12, 2000. [Google Scholar] [CrossRef]
- Dariane, A.B.; Ghasemi, M.; Karami, F.; Azaranfar, A.; Hatami, S. Crop pattern optimization in a multi-reservoir system by combining many-objective and social choice methods. Agric. Water Manag. 2021, 257, 107162. [Google Scholar] [CrossRef]
- Cao, X.; Wang, H.; Zhang, B.; Liu, J.; Yang, J.; Song, Y. Land use spatial optimization for city clusters under changing climate and socioeconomic conditions: A perspective on the land-water-energy-carbon nexus. J. Environ. Manag. 2024, 349, 119528. [Google Scholar] [CrossRef]
- Yue, Q.; Wu, H.; Wang, Y.; Guo, P. Achieving sustainable development goals in agricultural energy-water-food nexus system: An integrated inexact multi-objective optimization approach. Resour. Conserv. Recycl. 2021, 174, 105833. [Google Scholar] [CrossRef]
- Jacobson, A.; Milman, A.D.; Kammen, D.M. Letting the (energy) Gini out of the bottle: Lorenz curves of cumulative electricity consumption and Gini coefficients as metrics of energy distribution and equity. Energy Policy 2005, 33, 1825–1832. [Google Scholar] [CrossRef]
- Hu, Z.; Chen, Y.; Yao, L.; Wei, C.; Li, C. Optimal allocation of regional water resources: From a perspective of equity–efficiency tradeoff. Resour. Conserv. Recycl. 2016, 109, 102–113. [Google Scholar] [CrossRef]
- Li, Y.; Yao, S.; Jiang, H.; Wang, H.; Ran, Q.; Gao, X.; Ge, D. Spatial-temporal evolution and prediction of carbon storage: An integrated framework based on the MOP–PLUS–InVEST model and an applied case study in Hangzhou, East China. Land 2022, 11, 2213. [Google Scholar] [CrossRef]
- Kong, Y.; Zhao, T.; Yuan, R.; Chen, C. Allocation of carbon emission quotas in Chinese provinces based on equality and efficiency principles. J. Clean. Prod. 2019, 211, 222–232. [Google Scholar] [CrossRef]







| Sources of Carbon Emissions and Sequestration | Calculation Formula | NO | Sectors |
|---|---|---|---|
| Direct Sources of Carbon Emissions | |||
| Coal (Industrial Usage) | (1) | E | |
| Natural Gas (Heating and Cooking) | (2) | E | |
| Transportation (Public and Private Vehicles) | (3) | L | |
| Residential and Commercial Buildings (Heating Systems) | (4) | W, E | |
| Waste Treatment and Landfill | (5) | E | |
| Indirect Carbon Emissions | |||
| Electricity (Urban Grid) | (6) | W, E | |
| Other Indirect Carbon Emissions | |||
| Domestic Sewage (City Water Supply System) | (7) | W | |
| Production Wastewater | (8) | W | |
| Agricultural Irrigation (Surrounding Agricultural Activities) | (9) | W, E | |
| Agricultural Cultivation | (10) | W, E | |
| Agricultural Films | (11) | L | |
| Fertilizers | (12) | E | |
| Pesticides | (13) | E | |
| Petroleum (Transportation and Industrial Usage) | (14) | E | |
| Energy Consumption in Commercial Buildings | (15) | E | |
| Urban Green Space and Park Management | (16) | W, L, E | |
| Urban Lighting | (17) | E | |
| Construction Activities | (18) | L, E | |
| Food Processing and Transportation | (19) | W, E | |
| Water Resource Management | (20) | E | |
| Sources of Carbon Sequestration | |||
| Grain Crops | (21) | W, L | |
| Cash Crop | (22) | W, L | |
| Other Crops | (23) | W, L | |
| Surface and Water Facilities | (24) | W, L, E | |
| Woodland | (25) | W, L | |
| Grasslands | (26) | W, L | |
| Garden Area | (27) | W, L | |
| Unutilized Land | (28) | L |
| Scenario | Fairness-Oriented | Efficiency-Oriented | Balanced |
|---|---|---|---|
| Lambda (λ) | 0.2 | 0.8 | 0.5 |
| Gini Coefficient | 0.2 | 0.5 | 0.3 |
| Selection Principle | Prioritize equity in resource allocation and carbon emission reduction | Maximize economic efficiency of resource use | Balance social equity and economic efficiency |
Disclaimer/Publisher’s Note: The statements, opinions and data contained in all publications are solely those of the individual author(s) and contributor(s) and not of MDPI and/or the editor(s). MDPI and/or the editor(s) disclaim responsibility for any injury to people or property resulting from any ideas, methods, instructions or products referred to in the content. |
© 2024 by the authors. Licensee MDPI, Basel, Switzerland. This article is an open access article distributed under the terms and conditions of the Creative Commons Attribution (CC BY) license (https://creativecommons.org/licenses/by/4.0/).
Share and Cite
Gao, Y.; Shi, X.; Zhang, H.; Tang, R. Optimized Resource Allocation for Sustainable Development in Beijing: Integrating Water, Land, Energy, and Carbon Nexus. Land 2024, 13, 1723. https://doi.org/10.3390/land13101723
Gao Y, Shi X, Zhang H, Tang R. Optimized Resource Allocation for Sustainable Development in Beijing: Integrating Water, Land, Energy, and Carbon Nexus. Land. 2024; 13(10):1723. https://doi.org/10.3390/land13101723
Chicago/Turabian StyleGao, Yanning, Xiaowen Shi, Haozhe Zhang, and Renwu Tang. 2024. "Optimized Resource Allocation for Sustainable Development in Beijing: Integrating Water, Land, Energy, and Carbon Nexus" Land 13, no. 10: 1723. https://doi.org/10.3390/land13101723
APA StyleGao, Y., Shi, X., Zhang, H., & Tang, R. (2024). Optimized Resource Allocation for Sustainable Development in Beijing: Integrating Water, Land, Energy, and Carbon Nexus. Land, 13(10), 1723. https://doi.org/10.3390/land13101723
