Abstract
While newly built urban green spaces aim to address environmental concerns, the resulting green gentrification and social inequality caused by escalating property values have become critical topics of urban socio-spatial research. To prevent green initiatives from becoming unaffordable for their intended beneficiaries in rapidly urbanizing cities, it is essential to examine the spatial and temporal relationships between the construction of new green spaces and rising housing prices. This study employs a difference-in-differences methodology to analyze regional disparities, impact periodicity, and the influence of park size on housing prices, using Nanjing, China as a case study. This result reveals that the introduction of new-built parks in Nanjing significantly impacts housing prices within an 800 m radius. The premium effect of these parks is substantially higher in urban core areas compared to suburban locales, demonstrating spatial differentials. Suburban parks temporally exhibit a prolonged lag and a shorter premium impact duration. Moreover, among various park areas, medium-sized parks demonstrate the most pronounced leverage effect, approximately double that of large parks, while small parks do not significantly affect housing prices. To mitigate the exacerbation of premium effects and enhance social justice in green strategies, we advocate prioritizing the development of small parks, particularly in urban core areas, and leveraging the temporal delay in new-built park impacts for urban policy interventions.
1. Introduction
With the ongoing expansion of global urban boundaries and rapid population growth, urban green cover is progressively being replaced by gray infrastructure. This has resulted in a significant reduction in the scale of urban green spaces and has made their scarcity increasingly prominent [1]. High-density population concentrations often prioritize land for essential needs like residential, commercial, industrial, and transportation purposes, leading to the encroachment and growing scarcity of urban open spaces such as water systems, mountains, and green areas [2]. As we navigate into the post-epidemic era, individuals are reexamining and placing increased significance on their connection with the natural world, fostering a palpable eagerness to reestablish this bond within green spaces [3,4,5]. The interaction between humans and nature has shifted from remote travel to short-range, and it has gradually integrated into communities, residential areas, living circles, etc., showing daily involvement. UN-Habitat has advocated for prioritizing the multiple benefits of green infrastructure development, expanding these advantages to underserved communities, and progressing toward a more equitable and inclusive urban future.
In the context of China, a nation undergoing unprecedented urban expansion, the green space provision in communities with diverse built environments assumes paramount importance [5,6]. In contrast to green space which exists spontaneously or in less managed forms, such as forests or wetlands, parks are intentionally designed, planned, and maintained within urban areas, serving specific community functions. In response to the evolving needs of residents and a commitment to fostering high-quality urban development, China has experienced a significant surge in the establishment of parks. The number of green parks in China has increased by 4.55 times, while the area has expanded by 7.15 times over the past two decades [7]. Notably, in 2019, Chinese President Xi Jinping introduced the concept of a “Park City” as a novel model for urban renewal and development, representing a fresh approach to advancing ecological civilization construction in China. However, the construction of urban green spaces, often supported by public funds and coupled with the upgrading of the surrounding environment, does not consistently ensure equitable access for the entire population [8]. Beyond ecological service functions, a theme of understanding the impact of the “value spillover” from green space and socio-economic consequences has garnered researchers’ interest. [9,10,11].
The availability of high-quality green space has become increasingly rare and the competition for urban green spaces is intensifying due to limited urban land resources and a high-density population. In recent years, scholars and policymakers have increasingly turned their attention to the intricate relationship between green spaces and house affordability [4,12,13]. Green spaces have evolved into key attractions for middle-class individuals pursuing enhanced living quality. Based on this, real estate developers often emphasize green space as a selling point to advance their interest, resulting in increased housing prices or rent in areas near green spaces [14,15]. A noteworthy example is the research conducted by Katie Jo Black et al. on the High Line Park. Their findings revealed a substantial effect on surrounding house prices, with an average appreciation of 35.3% within an 80 m radius of the park, surpassing the appreciation observed in the rest of the area. Notably, this effect diminishes with increasing distance from the park [15].
The notable surge in housing prices has given rise to a pertinent concern known as green gentrification and green paradox [9,16]. As their economic value is increasingly recognized, the housing market has become a key mechanism for allocating green spaces [9,10]. This results in the elite, who have the willingness and ability to pay for the economic value of green spaces in the housing market, seizing green resource allocation, while vulnerable groups, such as low-income individuals, face displacement [17,18]. Urban renewal initiatives aimed at improving the green well-being of low-income residents often face a paradoxical dilemma between goals and outcomes, evolving into a form of “sustainable for a few” [16]. Slater highlights the importance of recognizing the indirect displacement effects, particularly those associated with economic exclusion [19]. The resultant displacement of these residents is a critical social equity issue [20].
With China’s rapid urbanization and economic growth, the middle class has expanded significantly, bringing the effects of new-build gentrification into sharper focus [21,22]. Research on cities such as Shanghai, Hangzhou, and Nanjing indicates that this middle class often benefits from rising property values and improved green amenities, particularly represented in high-end residential areas near urban green spaces [13,23,24]. This group enjoys stable employment and higher disposable incomes, making them the most active participants in the commercial housing market. They tend to embrace green and healthy lifestyles, frequently seeking residential environments that provide better access to natural surroundings. In contrast, low-income groups are more susceptible to displacement, as their housing expenditures are more elastic [25]. The complex interplay between value spillover and the socio-spatial impacts of green space development in China underscores the need for a comprehensive and nuanced approach to its research and management.
Several limitations can be identified in the existing body of research. Firstly, scholars measure the social equity of urban green spaces using objective indicators such as accessibility [26], visibility [27], and affordability [28], revealing varying degrees of social inequality at different regional scales [6,29]. However, these studies mainly focus on the economic benefits or social equity of green spaces, often overlooking the paradoxical issues that arise from the interaction between the two, especially in the context of rapid urbanization in developing countries [29]. The unique trajectory of rapidly urbanizing cities, characterized by significant green space initiatives alongside economic growth, provides a distinct context for examining green gentrification and exclusionary displacement. On the other hand, many researchers have conducted analyses to explore whether the location, scale, and function of parks and green spaces contribute to the surge in real estate values and the green gentrification effect in surrounding areas [13,24,30]. Nevertheless, the temporal and spatial heterogeneity of the impact of new green spaces on the housing market remains unclear, which is crucial to addressing the displacement effect resulting from reduced housing affordability during green gentrification. Most studies provide a snapshot of the immediate or short-term effects, neglecting the long-term periodic effects that these green spaces might have. Understanding how the influence of green spaces on housing prices evolves over time is crucial for urban planners and policymakers to make informed decisions.
This study investigates the leverage effect of newly constructed green spaces on housing prices, taking the new-built parks in Nanjing, China between 2010 and 2020 as an illustrative example. Utilizing a difference-in-differences method with multiple time periods, we dissect green space as a specific factor of housing price growth and accurately examine the impact scope of newly built parks. Furthermore, we identify the characteristics of housing price changes triggered by newly built parks and determine the park attributes that influence these changes, establishing temporal and spatial heterogeneity of the impact of new green spaces on the housing market. We aim to provide nuanced insights into the complex interplay between urban green spaces and housing markets by examining regional disparities, impact periodicity, and the influence of park size. Our findings contribute to mitigating the green paradox by which green space’s economic benefit affects social equity and seek to inform evidence-based policymaking and urban planning strategies aimed at promoting livable, affordable, and equitable urban environments in China and beyond.
2. Data, Methods, and Modeling
2.1. Study Area
Nanjing, situated in the Yangtze River Delta in China, boasts a thriving economy and a densely populated landscape (Figure 1). Renowned as a harmonious blend of “green city with mountains and rivers”, the city is adorned with notable landmarks such as Zijin Mountain, Xuanwu Lake, and Qinhuai River. Under rapid urbanization, Nanjing has witnessed a remarkable demographic shift, with its permanent population surging from 5.45 million in 2000 to an impressive 9.31 million in 2020, and the urbanization rate surged to 86.8%. Over the past two decades, the government has strategically guided and invested substantial resources to enhance existing parks and introduce new green spaces. Despite the commendable progress in enhancing residents’ quality of life through the construction and renovation of green spaces, a notable challenge has emerged. Specifically, the clustering of high-end residential areas around urban green spaces reduces the opportunities for low-income residents to fairly enter these areas and induces the problem of green gentrification in Nanjing [13]. In this context, Nanjing serves as an exemplary case, providing valuable insights into the leverage effect of green space on property value.
Figure 1.
Case location and study area.
This research encompasses the primary urban locales of Nanjing, namely Xuanwu District, Qinhuai District, Jianye District, Gulou District, Qixia District, and Yuhuatai District, as well as the Dongshan Zone of Jiangning District. Within this scope, the area bounded by the ring expressway constitutes an urban core area with a long city construction history, while the surrounding regions constitute its suburban periphery. Related research points out that the phenomenon of green gentrification in Nanjing predominantly manifests in urban expansion areas [13]. By contrasting the characteristics of urban cores and suburbs, our study aims to elucidate regional disparities of green space’s premium effect on house prices to explore the internal mechanism of green gentrification.
2.2. Data Source
This study focuses on the 101 parks newly constructed in Nanjing between 2010 and 2020 (Figure 2). Data required for analysis encompassed the year and location of new parks during this period, house price data within the corresponding locations, and additional built environment data. Point-of-interest (POI) data from Amap, a mapping platform, was employed for collecting information on new parks. Analysis indicated a notable surge in new park construction during specific years, particularly in 2014, 2015, 2017, and 2018. These years were identified as pivotal reference points for new park development and were cross-validated for accuracy using the Nanjing Statistical Almanac.
Figure 2.
Location of new parks and communities in Nanjing.
Examining the impact of park size on surrounding housing prices, 101 parks were categorized based on size: small neighborhood parks (less than 2 hectares), medium-sized regional parks (2 to 20 hectares), and large metropolitan parks (20 to 100 hectares) [31]. House price data from 2010 to 2020 were sourced from the China House Price Quotation Platform (http://www.cityre.cn/, accessed on 11 June 2022). We enabled the filtering of neighborhood house price data for both the control and treatment groups, resulting in a dataset comprising 2833 actual transaction price observations.
Recognizing that neighborhood prices are influenced by various factors, control variables were selected to ensure accurate and reliable experimental results. These basic control variables were chosen by reviewing relevant literature on factors affecting house prices and understanding characteristic price models [29,31,32]. Table 1 shows the descriptive statistics for each variable. To avoid multicollinearity, control variables were verified against the original explanatory variables. Data for control variables were extracted partly from the housing information accompanying house price data acquisition and partly from relevant POI data, including bus stops, supermarkets, hospitals, and schools, obtained through Amap. The shortest path was calculated using the network dataset in ArcGIS (10.2) to acquire control variable data. To maintain data integrity, neighborhoods with a substantial amount of missing house prices and property data were excluded. In total, 3% of the data was excluded from the analysis. For a limited number of missing data points, web searches were conducted for data completion.
Table 1.
Basic control variables.
2.3. Methods
2.3.1. Parallel Trend Assumption and Traditional DiD Model
This study employs the key assumption of parallel trends in the difference-in-differences (DiD) framework to analyze the determinants of housing price growth, isolating specific factors driving variations in price dynamics. The DiD framework is a widely accepted econometric method for identifying and estimating the causal effects of an intervention or policy change on certain outcomes [33]. In our application, the parallel trends assumption means that housing prices in both the treatment and control groups would have evolved similarly over time in the absence of the policy intervention. This assumption is essential, as it allows the DiD model to distinguish the effects of the new park intervention from other potential drivers of housing price fluctuations. In the context of our analysis, the parallel trends assumption implies that housing prices in areas both affected and unaffected by the introduction of new parks were on comparable trajectories prior to the park establishment. These trajectories account for the general upward trend observed from 2010 to 2020 in the broader housing market, thus controlling for background economic and market-wide dynamics. By making this assumption explicit, we control for pre-existing upward pressures and can attribute differences in post-intervention price trends to the establishment of the parks. To further strengthen the validity of our findings, we employed a placebo test, applying the DiD model to a period preceding the actual park establishment. This helps assess the robustness of the parallel trends assumption and ensures that any observed post-intervention differences in housing prices are not driven by spurious trends or unrelated shocks. By adhering to the parallel trends assumption and incorporating placebo tests, we mitigate potential confounding factors and ensure that any observed differences in housing prices between areas with and without new parks can be causally attributed to the park establishment, rather than to pre-existing trends, unobserved factors, or broader economic changes.
To test the net effect of a new park on the growth of neighboring house prices, we employ the following basic formula for the DiD model:
Here i represents the neighborhood, t denotes the year, and is the average price of housing units per area in neighborhood i during year t. D is a grouping dummy variable, designating the treatment group when the neighborhood is within 800 m of a new park (D = 1), and 0 otherwise (D = 0), representing the control group. T is a time dummy variable, equal to 1 after new park construction is completed and 0 otherwise. signifies the cross-term. encompasses control variables, and represents a randomized disturbance term.
In traditional DiD with two cycles (pre-policy versus post-policy start) and two groups (treated versus control), the primary parameter of interest is the ATT, defined as:
ATT = E[Yt(1) − Yt(0)|D = 1]
Yt(1) denotes the potential outcome of participating in treatment, and Yt(0) signifies the potential outcome of not participating in treatment. The formula represents the average difference between treated and untreated potential outcomes.
2.3.2. DiD Model with Multiple Time Periods
Our research aims to investigate whether the new parks in Nanjing have positively influenced house prices in surrounding neighborhoods, the extent of the spatial differentiation of these effects, and how this differentiation has evolved over time. Traditional difference-in-differences (DiD) models typically treat the timing of policy implementation as a uniform period, potentially introducing endogeneity problems due to variations in policy commencement across subjects. Acknowledging the limitations of traditional DiD models, particularly in multi-period analyses, previous research has often employed two-way fixed effects (TWFE) linear regression models. However, recent methodological advancements have revealed potential shortcomings of TWFE models in such contexts [33,34,35]. To address these issues, this study adopts the approach proposed by Callaway and Sant’Anna called “Difference-in-Differences with Multiple Time Periods,” implemented using R software (version 2.1.2) [36]. The treatment effect is estimated using the average treatment effect on the treated (ATT), considering multiple time points of policy shocks while controlling for parallel trend assumptions with relevant covariates. This approach mitigates biases present in TWFE regressions when multiple policy shocks occur simultaneously.
Generalizing the parameter of interest ATT from two cycles and two groups to multiple cycles involves defining group-time average treatment effects as follows:
ATT(g,t) = E[Yt(g) − Yt(0)|G = g]
This equation represents the average effect of the participation of a group of units treated in time period g and in time period t, where G is the time period in which a unit is treated.
To aggregate these average treatment effects and represent the overall effect of participation in treatment for all groups that have participated, the formula is:
Additionally, in a DiD setting with multiple time periods where treatment effects vary with the passage of time, understanding the dynamics of treatment effects is crucial. The formula for aggregating group time-averaged treatment effects to highlight treatment effect dynamics is as follows:
This equation captures the average effect of a group of units exposed to participate in treatment in time period e.
In this study, we define the area within an 800 m radius from the new park as the treatment group, while the area beyond 800 m serves as the control group. Many international studies have examined the price impact of green spaces at varying distances [15,27,32,37]. For instance, Black’s research identifies 800 m as the threshold within which the High Line Park significantly influences surrounding housing prices, with the effect dissipating beyond this distance [15]. Additionally, China’s “15 min living circle” concept, which advocates for convenient access to parks within a 15 min walk, further supports the selection of this 800 m threshold.
We assume that new parks in Nanjing exert a significant premium effect on house prices within the surrounding 800 m neighborhoods, with a more pronounced impact in urban core areas [30] and with larger parks [24]. In a robustness test, the study includes the green space ratio as a control variable to examine its potential influence on the rise of house prices near newly built parks. The study conducts seven sets of multi-period DiD analyses to explore the spatial heterogeneity and time-dynamic trends of new parks in Nanjing on surrounding house prices:
(1) Conduct DiD with multiple time periods of Nanjing without control variables.
(2) Conduct DiD with multiple time periods of Nanjing with control variables.
(3) and (4) Conduct DiD with multiple time periods and control variables for the core area and suburban areas of Nanjing, respectively.
(5), (6), and (7) Conduct DiD with multiple time periods and control variables for small, medium, and large parks in Nanjing.
3. Results
3.1. Leverage Impact of New-Built Parks on Housing Prices and Regional Disparities
The ATT, presented in Table 2 below, serves as the aggregate measure of group-specific treatment effects. In regression (1), which employs only the interaction term as an explanatory variable, the ATT is calculated based solely on the direct relationship between park proximity and housing prices. This regression serves as a baseline model, allowing us to observe the initial effects of the parks without the influence of other variables. In regression (2), we introduce control variables such as residential properties, traffic conditions, and surrounding facilities. This addition enhances the robustness of our findings by accounting for potential confounding factors that could influence housing prices. Despite these controls, both ATTs remain positive and statistically significant at the 10% level, reinforcing the hypothesis that new parks in Nanjing substantially elevate house prices. The results indicate that new parks in Nanjing significantly elevate house prices within 800 m, with an average overall increase of RMB 1291/m2.
Table 2.
Spatial impact of new-built parks on housing prices.
Further examinations (3) and (4) investigate the nuanced impact of new parks on house prices in urban core and suburban areas of Nanjing. The data unequivocally demonstrates that new parks exert a significant effect on housing prices within 800 m, both in the main and suburban regions. Specifically, new parks elevate overall house prices within 800 m in the urban core area by an average of RMB 1071/m2 and increase prices in the suburbs by RMB 566/m2 on average. Notably, the house price increase in urban core area is more than twice that observed in the suburbs.
3.2. Temporal Impact and Periodicity of New Parks on Housing Prices
The foregoing regression results offer average insights into the effects of new parks on neighboring housing prices but fall short on capturing the dynamic temporal trends associated with this impact. To address this limitation, we incorporate group-time effects through an event study approach. This involves averaging the group-time average treatment effects across various treatment exposure periods, providing a nuanced exploration of the time-trend dynamic effect for both urban core and the suburbs in regressions (3) and (4). The ATT in this context reflects the mean treatment effects across all durations of treatment exposure.
Dynamic effects testing reveals a noteworthy increase of 1761 yuan/m2 in the average house price in urban core area from 2010 to 2020, significant at the 10% level (Table 3). According to the dynamic effect test for (3) in Table 4, the third year following park completion marks the commencement of a sustained and significant rise in house prices, persisting until the fifth year. This indicates a lag in the impact of new park completion on neighborhood house prices, extending over a two-year period with a three-year duration. In the suburbs, the average house price increased by 788 yuan/m2 during this period, also significant at the 10% level. The dynamic effect test for (4) in Table 5 identifies the fifth-year post-park completion as the onset of a significant and lasting increase in housing prices, extending until the sixth year. This implies a lag in the impact of new park completion on neighboring house prices, extending over a four-year period with a two-year duration. Evidently, there exists a lag in the impact of new parks on house prices in surrounding neighborhoods, observed in both urban core and suburban areas. Suburbs exhibit longer lags and shorter impacts compared to the inner city.
Table 3.
Temporal impact of new-built parks on housing price.
Table 4.
Dynamic effects test for (3).
Table 5.
Dynamic effects test for (4).
3.3. Premium Impact of Different Sizes of New-Built Parks on Housing Prices
To assess the differential impact of various-sized new parks on neighboring house prices, we conducted regression analyses for three park classes, incorporating control variables in each analysis. The outcomes in Table 6 are detailed below: (5) analysis reveals a positive but statistically insignificant ATT for small parks. This suggests that small parks do not exert a significant influence on house prices in the surrounding neighborhoods within 800 m. (6) and (7) show a positive and statistically significant ATT at the 10% level for medium-sized and large parks, indicating that both categories enhance surrounding house prices. Notably, medium-sized parks exhibit a more substantial impact, signifying the most significant premium effect on surrounding house prices. On average, they elevate overall house prices within 800 m by RMB 2199/m2. In contrast, large parks contribute to an average increase of RMB 1340/m2. Numerically, the premium effect of medium-sized parks is nearly double that of large parks, underlining their more pronounced impact on house prices in the vicinity.
Table 6.
Impact of different sizes of new parks on housing prices.
3.4. Robustness Tests
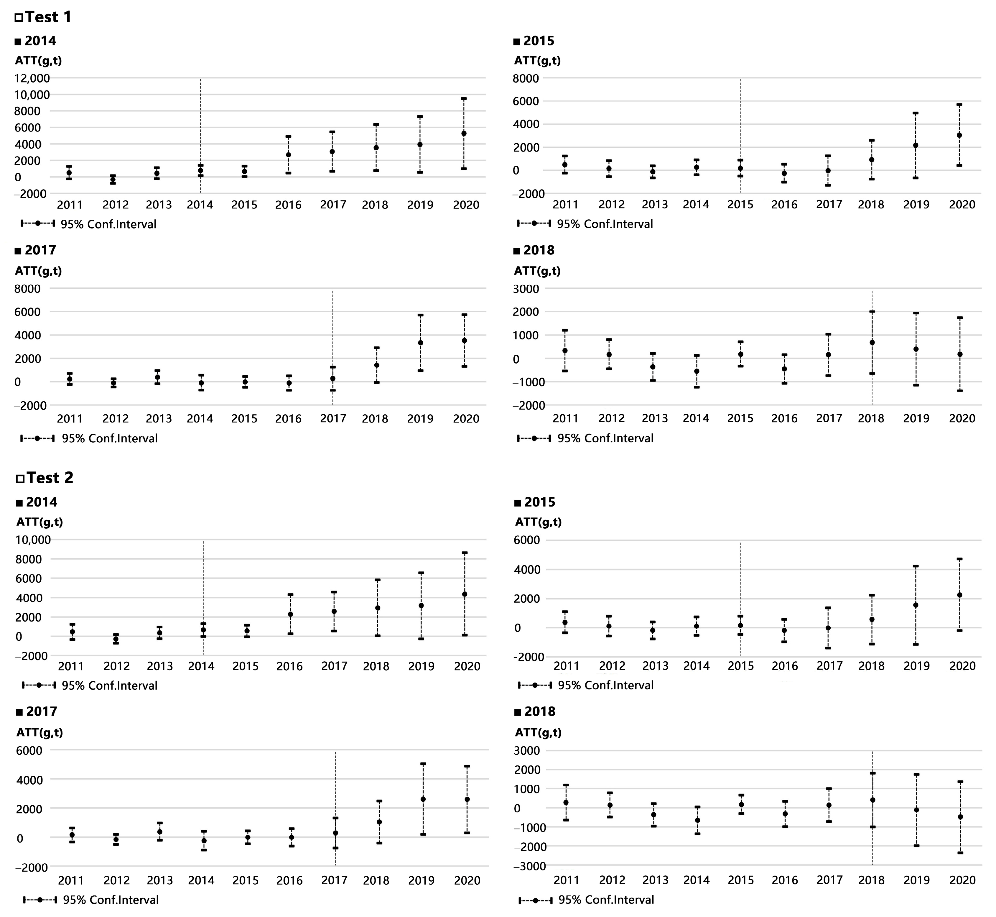
Figure 3 presented herein corresponds to a parallel trend test for a distinct DiD setting with multiple time periods. In the context of DiD with multiple time periods, the policy start time is not singular. Unlike the typical parallel trend test for DiD, the focus here is on observing the trend before the policy’s initiation in each period. The visual inspection of the seven tests reveals a convergence to zero before the commencement of the policy in each period. These trends exhibit uniformity, reinforcing the parallel trend assumption and thereby enhancing the robustness and validity of the DiD model with multiple time periods used in this study.


Figure 3.
Assessment of Parallel Trends.
Although the treatment and control groups displayed comparable trends before the parks’ construction, it is prudent to acknowledge that the observed post-construction trend changes may not be exclusively attributable to the park policy. To address this concern, we introduce the method of supplementary variables in our robustness test. We incorporate the green space rate of the neighborhood as a control variable in the model. This approach assesses whether a new park’s effect endures in areas already endowed with ample green space. A positive and significant ATT despite the inclusion of this variable would indicate that the green space rate does not undermine the positive impact of the new park on surrounding housing prices, affirming the model’s reliability. Examination of Table 7 below reveals that the ATT across all seven data sets remains positive and significant at the 10% level. This outcome suggests that the green space rate of the neighborhood does not impede the positive influence of the new park on surrounding house prices, reinforcing the reliability of the model.
Table 7.
Robustness tests.
Furthermore, we employ a counterfactual test by manipulating the timing of park construction in pursuit of result robustness. Our hypothesis posits an advancement of the park construction year in each region by three years. If, under this adjusted scenario, the ATT becomes significant and positive, it suggests that the escalation in neighborhood house prices around newly built parks may stem from alternative policy changes or stochastic factors rather than the parks’ construction. Conversely, if the ATT remains insignificant at this juncture, it implies that the surge in neighborhood house prices is indeed attributable to the new park construction. The outcomes, detailed in Table 8 below, demonstrate that all seven data sets are not significant at the 95% confidence interval. This observation indicates that the upswing in neighborhood house prices is closely linked to the construction of new parks rather than external policy changes or random influences.
Table 8.
Placebo test.
4. Discussion
4.1. Premium Effect of New-Built Parks, Park Sizes, and Regional Disparities
Our study of Nanjing reveals a substantial impact of these new high-quality parks on house prices within an 800 m radius, with an average increase of RMB 1291/m2 by 2020. This substantial increase in property values can be attributed to several factors. Firstly, the presence of parks can lead to improved air quality and a reduction in noise pollution, further increasing the attractiveness of these areas for potential homebuyers. Secondly, parks enhance the desirability of neighborhoods by providing green spaces for recreation, which is a highly valued amenity in a rapidly urbanizing city. Thirdly, green spaces have evolved into key attractions for middle-class individuals pursuing enhanced living quality, triggering real estate developers to emphasize green space as a selling point to advance their interests [37].
The premium benefits of new parks are not uniformly distributed, with the scale of green spaces differently contributing to surges in real estate values in surrounding areas. Our analysis indicates that medium-sized parks exhibit the strongest leverage effect, approximately twice that of large parks. This may be due to the balance medium-sized parks strike between providing substantial green space and being more easily integrated into the urban fabric compared to larger parks, which might require more extensive land use and urban infrastructure changes. Conversely, small parks do not seem to have a significant impact on housing prices, possibly because their limited size does not offer the same level of amenities or environmental benefits. These findings advocate for the promotion of smaller parks and green spaces, aligning with the recommendation by Wolch et al. to mitigate green gentrification through size control in new park development [38]. However, within the urban China context, it is noteworthy that the premium effect of medium-sized parks is more concerning than that of large parks.
The distance of parks from the city center is a crucial factor in determining whether they induce a premium effect on surrounding areas [13,39]. In Nanjing, the disparity between the inner city and suburban areas in terms of the premium effect highlights a significant concern. The value of house price enhancement of new parks in urban core areas is nearly twice as much as that in suburban areas. Urban core areas, characterized by higher population density, robust economic activity, abundant cultural resources, and superior transportation infrastructure, offer higher living standards, attracting individuals with higher incomes. Real estate developers strategically place high-quality parks in these areas, maximizing profits [40]. As a result, the effect of rising house prices and green gentrification is also more significant. This phenomenon coincides with existing research findings on whether park location affects green gentrification or not in American cities [39].
Urban core areas, where property values are already high, experience a more substantial increase in housing prices due to new parks, exacerbating the risk of displacement for vulnerable populations. On the other hand, suburban areas, while also experiencing increases in housing prices, show a more extended lag and a briefer premium impact. Moreover, the temporal dynamics of the premium effect reveal that the influence of new parks on housing prices in urban core areas tends to manifest with a two-year delay and persists for three years. This delayed yet sustained impact can provide a window for policy interventions aimed at mitigating displacement effects. In contrast, suburban areas experience a more extended lag but a shorter duration of the premium impact, suggesting different timelines for policy responses in these regions.
4.2. Price Shadow, Green Gentrification, and Addressing Green Paradox
The construction of green spaces to enhance urban quality results in unintended socio-economic consequences, particularly in the form of increased property values adjacent to green spaces. The green space creates a “price shadow” phenomenon where urban house prices are significantly higher than in other districts of the megacity [41]. This price shadow is confirmed in Nanjing, and new-built parks significantly impact housing prices within an 800 m radius. These rising house prices absorb affluent classes with consumption power, resulting in the inability of low-income groups to move to areas with high-quality landscape resources [42]. In addition, due to the gentrified changes that have occurred in the entire community (such as rising living costs, local shops being replaced by fashion alternatives, changes in public transportation methods, etc.), the current communities become increasingly uninhabitable for existing residents, causing tremendous psychological pressure. These residents, even though they are still barely able to stay in a green-gentrified community will be displaced sooner or later [43]. This phenomenon has led to exclusionary displacement pressure for low-income residents, prompting discussions on the distribution of green benefits.
The paradox of green gentrification, where the creation of new parks intended to enhance urban living conditions results in the exclusion of the very populations they are meant to benefit, poses a significant challenge for urban planners and policymakers. Curran and Hamilton introduce the concept of just green enough, proposing that an area may become too green, thereby exacerbating the process of gentrification [44]. To address this issue, Huang et al. endorse the creation of different characteristics of parks, seeking to strike a balance that minimizes the potential for gentrification pressures [13]. Wolch et al. argue that small and decentralized parks have a lower likelihood of promoting green gentrification compared to larger parks [38]. Our research once again confirmed one potential approach is to prioritize the development of small parks (less than 2 hectares), particularly in urban core areas, as they do not significantly drive up housing prices while still providing green space benefits. In addition, we also found large parks (20 to 100 hectares) amplify the natural ecological benefits of urban parks, thus mitigating the promoting effect of the socio-economic benefits of green gentrification. In light of this, this study proposes recommendations for incorporating community-centered or macro-natural parks into urban green space planning.
Furthermore, it is crucial to develop strategies promptly that ensure the equitable distribution of the benefits of green spaces especially in the top-down, government-led gentrification process in Chinese cities [21]. In our study, the temporal dynamics of the premium effect reveal that the influence of new parks on housing prices in urban core areas tends to manifest with a two-year delay, while suburban areas experience a more extended lag for four years. This delayed yet sustained impact can provide a window for policy interventions aimed at mitigating displacement effects. These could include measures such as affordable housing mandates, rent controls, and community land trusts to help maintain housing affordability for lower-income residents [38].
4.3. Limitations and Future Outlook
It is important to acknowledge the limitations in this study. First, while the 800 m threshold used is supported by both international literature and the “15 min living circle” concept in China, it may not account for variations in urban density, travel modes, and demographic factors, which can significantly impact the effective reach of green spaces. Furthermore, our study does not consider the qualitative aspects of green spaces, such as the type and quality of amenities provided, which can also influence their attractiveness and utility to the surrounding community. Additionally, our analysis primarily focuses on the effects of new green spaces on housing prices and green gentrification without delving deeply into the underlying mechanisms driving these effects.
Future research should address these limitations. We could delve deeper into the leverage impacts of urban green spaces on surrounding communities under different conditions. This could involve applying a multi-threshold approach with varying distances (e.g., 300 m, 500 m, 800 m), incorporating factors like car travel to calculate a 15 min accessibility range, or comparing areas with different road network densities or population characteristics for more nuanced insights. Additionally, future studies should examine the detailed aspects of green spaces, such as the spatial dimension, park functions, types of amenities, and the quality of maintenance. Analyzing the parametric variation in response to the addition of one square meter of green space could provide valuable insights. Integrating these factors with distance measurements could offer a more comprehensive understanding of the drivers behind green gentrification and exclusionary displacement. Moreover, since green gentrification is a social issue, future research could benefit from incorporating qualitative methods such as questionnaire interviews. These interviews can investigate typical gentrification areas, providing deeper insights into residents’ experiences and perceptions.
5. Conclusions
While new parks offer substantial environmental and economic benefits, their impact on housing prices and the potential for green gentrification must be carefully managed. Our study analyzes the premium impact of new parks on housing prices, utilizing a DiD approach with multiple periods and a sample of 2833 house units and 101 new-built parks in Nanjing. Firstly, the new-built parks in Nanjing significantly impact housing prices within an 800 m radius, with an average premium benefit of RMB 1291/m2 by 2020. Secondly, this study reveals spatial and temporal differences in the leverage effect of parks on housing prices in Nanjing. When differentiating between the urban expansion regions, the premium effect of new parks is nearly twice as high in the urban inner areas as in suburban areas. Additionally, analyzing existing data reveals a temporal lag in the leverage impact of new parks on housing prices. The new parks in urban core areas impact the surrounding housing prices for about a two-year lag and an impact period of three years. In the meantime, the suburban areas, with a four-year impact lag and a duration of two years, experience a more extended lag and a briefer premium impact compared to urban core areas. Thirdly, the size of new parks influences their leverage effect on house prices, with medium-sized parks showing the strongest effect, approximately twice as much as large parks. Surprisingly, small parks do not have a statistically significant effect. Recommendations include leveraging the lag in the impact of new parks for macro-control purposes and prioritizing small parks to reduce excessive premium effects, especially in urban core areas. By understanding and addressing the premium effect and its socio-economic consequences, cities can create more inclusive and equitable urban environments that truly benefit all residents.
Author Contributions
Conceptualization, S.Y.; methodology, S.Y., S.H. and Y.R.; software, S.H.; validation, S.H. and Y.R.; resources, W.S.; writing—original draft preparation, S.Y. and S.H.; writing—review and editing, S.Y.; visualization, S.H.; supervision, H.X.; funding acquisition, S.Y. All authors have read and agreed to the published version of the manuscript.
Funding
This research was funded by the Social Science Foundation of the Jiangsu Higher Education Institutions of China (Grant No. 2022SJYB0159).
Data Availability Statement
The datasets generated or analyzed during this study are available from the corresponding author on reasonable request.
Conflicts of Interest
The authors declare no conflicts of interest.
References
- Maury-Mora, M.; Gómez-Villarino, M.T.; Varela-Martínez, C. Urban green spaces and stress during COVID-19 lockdown: A case study for the city of Madrid. Urban For. Urban Green. 2022, 69, 127492. [Google Scholar] [CrossRef] [PubMed]
- Wu, S.; Chen, B.; Webster, C.; Xu, B.; Gong, P. Improved human greenspace exposure equality during 21st century urbanization. Nat. Commun. 2023, 14, 6460. [Google Scholar] [CrossRef] [PubMed]
- Cheng, Y.; Zhang, J.; Wei, W.; Zhao, B. Effects of urban parks on residents’ expressed happiness before and during the COVID-19 pandemic. Landsc. Urban Plan. 2021, 212, 104118. [Google Scholar] [CrossRef]
- Wu, C.; Du, Y.; Li, S.; Liu, P.; Ye, X. Does visual contact with green space impact housing prices? An integrated approach of machine learning and hedonic modeling based on the perception of green space. Land Use Policy 2022, 115, 106048. [Google Scholar] [CrossRef]
- Zhang, M.; He, J.; Liu, D.; Huang, J.; Yue, Q.; Li, Y. Urban green corridor construction considering daily life circles: A case study of Wuhan city, China. Ecol. Eng. 2022, 184, 106786. [Google Scholar] [CrossRef]
- Zhang, J.; Yu, Z.; Cheng, Y.; Chen, C.; Wan, Y.; Zhao, B.; Vejre, H. Evaluating the disparities in urban green space provision in communities with diverse built environments: The case of a rapidly urbanizing Chinese city. Build. Environ. 2020, 183, 107170. [Google Scholar] [CrossRef]
- National Bureau of Statistics of China. China Statistics Yearbook. 2022. Available online: http://www.stats.gov.cn/sj/ndsj/2022/indexch.htm (accessed on 28 April 2024).
- Anguelovski, I.; Connolly, J.J.; Garcia-Lamarca, M.; Cole, H.; Pearsall, H. New scholarly pathways on green gentrification: What does the urban ‘green turn’ mean and where is it going? Prog. Hum. Geogr. 2019, 43, 1064–1086. [Google Scholar] [CrossRef]
- Quastel, N. Political ecologies of gentrification. Urban Geogr. 2009, 30, 694–725. [Google Scholar] [CrossRef]
- Connolly, J.J. From Jacobs to the Just City: A foundation for challenging the green planning orthodoxy. Cities 2019, 91, 64–70. [Google Scholar] [CrossRef]
- Wu, J.; Wang, M.; Li, W.; Peng, J.; Huang, L. Impact of urban green space on residential housing prices: Case study in Shenzhen. J. Urban Plan. Dev. 2015, 141, 05014023. [Google Scholar] [CrossRef]
- Yuan, F.; Wei, Y.D.; Wu, J. Amenity effects of urban facilities on housing prices in China: Accessibility, scarcity, and urban spaces. Cities 2020, 96, 102433. [Google Scholar] [CrossRef]
- Huang, Y.; Hong, X.; Yao, X.; Yin, M. Which characteristics represent the gentrification affected by parks? A study case in Nanjing, China. Ecol. Indic. 2024, 160, 111862. [Google Scholar] [CrossRef]
- Immergluck, D.; Balan, T. Sustainable for whom? Green urban development, environmental gentrification, and the Atlanta Beltline. Urban Geogr. 2018, 39, 546–562. [Google Scholar] [CrossRef]
- Black, K.J.; Richards, M. Eco-gentrification and who benefits from urban green amenities: NYC’s high Line. Landsc. Urban Plan. 2020, 204, 103900. [Google Scholar] [CrossRef]
- Pearsall, H. From brown to green? Assessing social vulnerability to environmental gentrification in New York City. Environ. Plan. C Gov. Policy 2010, 28, 872–886. [Google Scholar] [CrossRef]
- Checker, M. Wiped out by the “greenwave”: Environmental gentrification and the paradoxical politics of urban sustainability. City Soc. 2011, 23, 210–229. [Google Scholar] [CrossRef]
- Sisman, S.; Aydinoglu, A.C. A modelling approach with geographically weighted regression methods for determining geographic variation and influencing factors in housing price: A case in Istanbul. Land Use Policy 2022, 119, 106183. [Google Scholar] [CrossRef]
- Slater, T. Missing Marcuse: On gentrification and displacement. City Anal. Urban Trends Cult. Theory Policy Action 2009, 13, 292–311. [Google Scholar] [CrossRef]
- Xiao, Y.; Wang, Z.; Li, Z.; Tang, Z. An assessment of urban park access in Shanghai–Implications for the social equity in urban China. Landsc. Urban Plan. 2017, 157, 383–393. [Google Scholar] [CrossRef]
- He, S. New-build gentrification in central Shanghai: Demographic changes and socioeconomic implications. Popul. Space Place 2010, 16, 345–361. [Google Scholar] [CrossRef]
- Zhu, Y.; Fu, Q.; Ye, C. State-embedded gentrification in China. Cities 2022, 131, 103926. [Google Scholar] [CrossRef]
- Chen, Y.; Yue, W.; La Rosa, D. Which communities have better accessibility to green space? An investigation into environmental inequality using big data. Landsc. Urban Plan. 2020, 204, 103919. [Google Scholar] [CrossRef]
- Chen, Y.; Xu, Z.; Byrne, J.; Xu, T.; Wang, S.; Wu, J. Can smaller parks limit green gentrification? Insights from Hangzhou, China. Urban For. Urban Green. 2021, 59, 127009. [Google Scholar] [CrossRef]
- Liu, K.; Du, J.; Cheng, Y.; Xia, Z.; Liu, J. Green gentrification and who will benefit from green infrastructure regeneration? A quasi-experimental study in China. Cities 2024, 153, 105307. [Google Scholar] [CrossRef]
- Dai, D. Racial/ethnic and socioeconomic disparities in urban green space accessibility: Where to intervene? Landsc. Urban Plan. 2011, 102, 234–244. [Google Scholar] [CrossRef]
- Fu, X.; Jia, T.; Zhang, X.; Li, S.; Zhang, Y. Do street-level scene perceptions affect housing prices in Chinese megacities? An analysis using open access datasets and deep learning. PLoS ONE 2019, 14, 0217505. [Google Scholar] [CrossRef]
- Dale, A.; Newman, L.L. Sustainable development for some: Green urban development and affordability. Local Environ. 2009, 14, 669–681. [Google Scholar] [CrossRef]
- Yang, H.; Jin, C.; Li, T. A Paradox of Economic Benefit and Social Equity of Green Space in Megacity: Evidence from Tianjin in China. Sustain. Cities Soc. 2024, 109, 105530. [Google Scholar] [CrossRef]
- Rigolon, A. A complex landscape of inequity in access to urban parks: A literature review. Landsc. Urban Plan. 2016, 153, 160–169. [Google Scholar] [CrossRef]
- Chen, Y.; Liu, G.; Yan, N.; Yang, Q.; Gao, H.; Su, L.; Santagata, R. Comprehensive evaluation of urban greenspace ecological values marketability through the spatial relationship between housing price and ecosystem services. Ecol. Model. 2023, 484, 110482. [Google Scholar] [CrossRef]
- Liu, T.; Hu, W.; Song, Y.; Zhang, A. Exploring spillover effects of ecological lands: A spatial multilevel hedonic price model of the housing market in Wuhan, China. Ecol. Econ. 2020, 170, 106568. [Google Scholar] [CrossRef]
- De Chaisemartin, C.; D’Haultfoeuille, X. Two-way fixed effects estimators with heterogeneous treatment effects. Am. Econ. Rev. 2020, 110, 2964–2996. [Google Scholar] [CrossRef]
- Goodman-Bacon, A. Difference-in-differences with variation in treatment timing. J. Econom. 2021, 225, 254–277. [Google Scholar] [CrossRef]
- Sun, L.; Abraham, S. Estimating dynamic treatment effects in event studies with heterogeneous treatment effects. J. Econom. 2021, 225, 175–199. [Google Scholar] [CrossRef]
- Callaway, B.; Sant’Anna, P.H. Difference-in-differences with multiple time periods. J. Econom. 2021, 225, 200–230. [Google Scholar] [CrossRef]
- Daams, M.N.; Sijtsma, F.J.; Veneri, P. Mixed monetary and non-monetary valuation of attractive urban green space: A case study using Amsterdam house prices. Ecol. Econ. 2019, 166, 106430. [Google Scholar] [CrossRef]
- Wolch, J.R.; Byrne, J.; Newell, J.P. Urban green space, public health, and environmental justice: The challenge of making cities ‘just green enough’. Landsc. Urban Plan. 2014, 125, 234–244. [Google Scholar] [CrossRef]
- Rigolon, A.; Németh, J. Green gentrification or ‘just green enough’: Do park location, size and function affect whether a place gentrifies or not? Urban Stud. 2020, 57, 402–420. [Google Scholar] [CrossRef]
- Williams, T.G.; Logan, T.M.; Zuo, C.T.; Liberman, K.D.; Guikema, S.D. Parks and safety: A comparative study of green space access and inequity in five US cities. Landsc. Urban Plan. 2020, 201, 103841. [Google Scholar] [CrossRef]
- Ley, D.; Tutchener, J.; Cunningham, G. Immigration, polarization, or gentrification? Accounting for changing house prices and dwelling values in gateway cities. Urban Geogr. 2002, 23, 703–727. [Google Scholar] [CrossRef]
- Mazer, K.M.; Rankin, K.N. The social space of gentrification: The politics of neighbourhood accessibility in Toronto’s Downtown West. Environ. Plan. D Soc. Space 2011, 29, 822–839. [Google Scholar] [CrossRef]
- Marcuse, P. To control gentrification: Anti-displacement zoning and planning for stable residential districts. NYU Rev. L. Soc. Chang. 1984, 13, 931. [Google Scholar]
- Curran, W.; Hamilton, T. Just green enough: Contesting environmental gentrification in Greenpoint, Brooklyn. Local Environ. 2012, 17, 1027–1042. [Google Scholar] [CrossRef]
Disclaimer/Publisher’s Note: The statements, opinions and data contained in all publications are solely those of the individual author(s) and contributor(s) and not of MDPI and/or the editor(s). MDPI and/or the editor(s) disclaim responsibility for any injury to people or property resulting from any ideas, methods, instructions or products referred to in the content. |
© 2024 by the authors. Licensee MDPI, Basel, Switzerland. This article is an open access article distributed under the terms and conditions of the Creative Commons Attribution (CC BY) license (https://creativecommons.org/licenses/by/4.0/).




